UNIVERSAL ELECTROCATALYTIC SYSTEM FOR CONVERSION OF ALCOHOLS INTO CARBONYL COMPOUNDS AND CARBOXY ACID FUNCTIONAL DERIVATIVES
- Authors: Kashparova V.P.1, Shubina E.N.1,2, Tokarev D.V.1, Antropov G.P.2, Zhukova I.Y.2
-
Affiliations:
- Platov South-Russian State Polytechnic University (NPI)
- Don State Technical University
- Issue: Vol 59, No 10 (2023)
- Pages: 579-592
- Section: Articles
- URL: https://medbiosci.ru/0424-8570/article/view/141822
- DOI: https://doi.org/10.31857/S0424857023100079
- EDN: https://elibrary.ru/YIZUEZ
- ID: 141822
Cite item
Full Text
Abstract
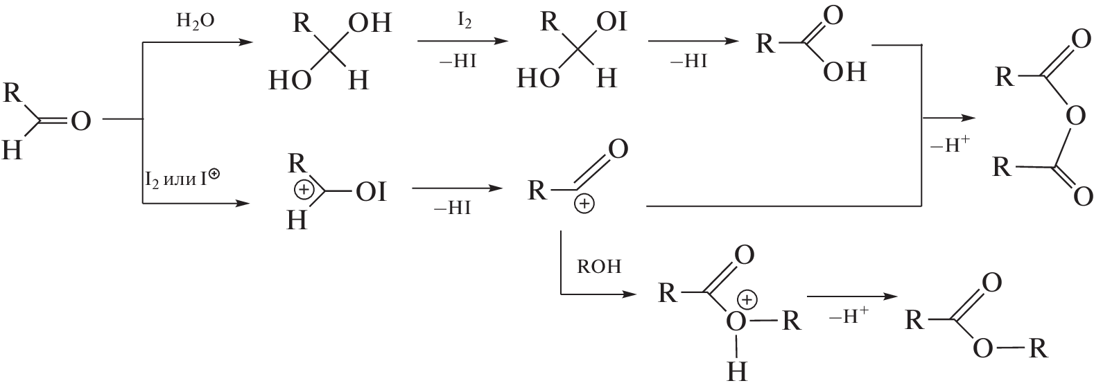
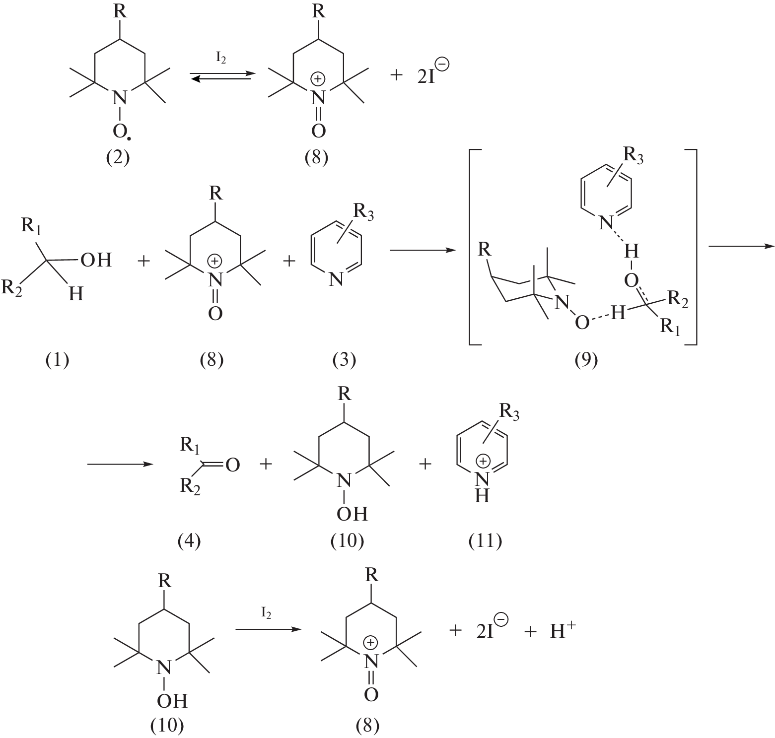
A universal catalytic system 4-acetamido-2,2,6,6-tetramethylpiperidine-1-oxyl/KI/pyridine base for the conversion of alcohols into carbonyl compounds and derivatives of carboxylic acids has been developed. The use of pyridine, 2,6-lutidine or collidine made it possible to obtain carbonyl compounds (yield up to 100%) after 2-2.2 F/mol. In the presence of pyridine, aliphatic alcohols are converted to esters (yield up to 35%) after 3-4 F/mol. Acid anhydrides (yield up to 80%) are formed using 2,6-lutidine or collidine after 5-6 F/mol. Nitriles were obtained in the presence of 2,6-lutidine and a source of nitrogen (yield up to 99%) after 3-4 F/mol.
About the authors
V. P. Kashparova
Platov South-Russian State Polytechnic University (NPI)
Email: kashparova2013@mail.ru
Russia, 346428, Novocherkassk,
st. Prosveshcheniya, 132
E. N. Shubina
Platov South-Russian State Polytechnic University (NPI); Don State Technical University
Email: iyuzh@mail.ru
Russia, 346428, Novocherkassk,st. Prosveshcheniya, 132; Russia, 344000, Rostov-on-Don, sq. Gagarina, 1
D. V. Tokarev
Platov South-Russian State Polytechnic University (NPI)
Email: iyuzh@mail.ru
Russia, 346428, Novocherkassk, st. Prosveshcheniya, 132
G. P. Antropov
Don State Technical University
Email: iyuzh@mail.ru
Russia, 344000, Rostov-on-Don, sq. Gagarina, 1
I, Yu. Zhukova
Don State Technical University
Author for correspondence.
Email: iyuzh@mail.ru
Russia, 344000, Rostov-on-Don, sq. Gagarina, 1
References
- Cernansky, R., Chemistry: green refill., Nature, 2015, vol. 519, no. 7543, p. 379. https://doi.org/10.1038/NJ7543-379A
- Kärkäs, M.D., Electrochemical strategies for C–H functionalization and C–N bond formation, Chem. Soc. Rev., 2018, vol. 47, no. 15, p. 5786. https://doi.org/10.1039/c7cs00619e
- Waldvogel, S.R. and Janza, B., Renaissance of electrosynthetic methods for the construction of complex molecules, Angew. Chem. Int. Ed. Engl., 2014, vol. 53, no. 28, p. 7122. https://doi.org/10.1002/anie.201405082
- Wiebe, A., Gieshoff, T., Möhle, S., Rodrigo, E., Zirbes, M., and Waldvogel, S.R., Electrifying Organic Synthesis, Angew. Chem., Int. Ed. Engl., 2018, vol. 57, no. 20, p. 5594. https://doi.org/10.1002/anie.201711060
- Yan, M., Kawamata, Y., and Baran, P.S., Synthetic organic electrochemical methods since 2000: on the verge of a renaissance, Chem. Rev., 2017, vol. 117, no. 21, p. 13230. https://doi.org/10.1021/acs.chemrev.7b00397
- Trincado, M., Banerjee, D., and Gruetzmacher, H., Molecular catalysts for hydrogen production from alcohols, Energy & Environmental Sci., 2014, vol. 7, no. 8, p. 2464. https://doi.org/10.1038/ncomms7859
- Cha, H.G. and Choi, K.-S., Combined biomass valorization and hydrogen production in a photoelectrochemical cell, Nature chem., 2015, vol. 7, no. 4, p. 328. https://doi.org/0.1038/nchem.2194
- Cantillo, D., Synthesis of active pharmaceutical ingredients using electrochemical methods: keys to improve sustainabilit, Chem. Commun., 2022, vol. 58, no. 5, p. 619. https://doi.org/10.1039/d1cc06296d
- Rafiee, M., Miles, K.C., and Stahl, S.S., Electrocatalytic Alcohol Oxidation with TEMPO and Bicyclic Nitroxyl Derivatives: Driving Force Trumps Steric Effects, J. Amer. Chem. Soc., 2015, vol. 137, no. 46, p. 14751. https://doi.org/10.1021/jacs.5b09672
- Nutting, J.E., Rafiee, M., and Stahl, S.S., Tetramethylpiperidine N-Oxyl (TEMPO), Phthalimide N-Oxyl (PINO), and Related N-Oxyl Species: Electrochemical Properties and Their Use in Electrocatalytic Reactions, Chem. Rev., 2018, vol. 118, no. 9, p. 4834. https://doi.org/10.1021/acs.chemrev.7b00763
- Rafiee, M., Konz, Z.M., Graaf, M.D., Koolman, H.F., and Stahl, S.S., Electrochemical oxidation of alcohols and aldehydes to carboxylic acids catalyzed by 4-acetamido-TEMPO: An alternative to “Anelli” and “Pinnick” oxidations, ACS Catalysis, 2018, vol. 8, no. 7, p. 6738. https://doi.org/10.1021/acscatal.8b01640
- Ciriminna, R., Ghahremani, M., Karimi, B., and Pagliaro, M., Electrochemical alcohol oxidation mediated by TEMPO-like nitroxyl radicals, Chem. Open, 2017, vol. 6, no. 1, p. 5. https://doi.org/10.1002/open.201600086
- Manda, S., Nakanishi, I., Ohkubo, K., Yakumaru, H., Matsumoto, K., Ozawa, T., Ikota, N., Fukuzumi, Sh., and Anzai, K., Nitroxyl radicals: electrochemical redox behaviour and structure–activity relationships, Organic & biomolec. chem., 2007, vol. 5, no. 24, p. 3951. https://doi.org/10.1039/b714765a
- Bobbitt, J.M., Brückner, C., and Merbouh, N., Oxoammonium—Nitroxide-Catalyzed Oxidations of Alcohols, Org. Reactions, 2004, p. 103. https://doi.org/10.1002/0471264180.or074.02
- Bobbitt, J.M., Bartelson, A.L., Bailey, W.F., Hamlin, T.A., and Kelly, Ch.B., Oxoammonium Salt Oxidations of Alcohols in the Presence of Pyridine Bases, J. Org. Chem., 2014, vol. 79, no. 3, p. 1055. https://doi.org/10.1021/jo402519m
- Sheldon, R.A. and Arends, I.W., Organocatalytic oxidations mediated by nitroxyl radicals, Advanced Synthesis & Catalysis, 2004, vol. 346, no. 9–10, p. 1051. https://doi.org/10.1002/adsc.200404110
- Merbouh, N., Bobbitt, J.M., and Brückner, C., Oxoammonium Salts. 9. Oxidative Dimerization of Polyfunctional Primary Alcohols to Esters. An Interesting β Oxygen Effect, J. Org. Chem., 2004, vol. 69, no. 15, p. 5116. https://doi.org/10.1021/jo049461j
- Chen, Q., Fang, Ch., Shen, Zh., and Li, M., Electrochemical synthesis of nitriles from aldehydes using TEMPO as a mediator, Electrochem. Commun., 2016, vol. 64, p. 51. https://doi.org/10.1016/j.elecom.2016.01.011
- Cha, H.G. and Choi, K.-S., Combined biomass valorization and hydrogen production in a photoelectrochemical cell, Nat Chem., 2015, vol. 7, no. 4, p. 328. https://doi.org/10.1038/nchem.2194
- Ciriminna, R., Pagliaro, M., and Luque, R., Heterogeneous catalysis under flow for the 21st century fine chemical industry, Green Energy & Environment, 2021, vol. 6, no. 2, p. 161. https://doi.org/10.1016/j.gee.2020.09.013
- Tojo, G. and Fernández, M., Oxidation of primary alcohols to carboxylic acids. Springer New York: Science + Business Media LLC, 2007. 124 p. https://doi.org/10.1007/0-387-35432-8
- Kopylovich, M.N., Ribeiro, A.P., Alegria, E.C., Martins, N.M., Martins, L.M., and Pombeiro, A.J.L., Advances in Organometallic Chemistry. Chapter Three – Catalytic Oxidation of Alcohols: Recent Advances, Massachusetts: Acad. Press, 2015. p. 91–174. https://doi.org/10.1016/bs.adomc.2015.02.004
- Badalyan, A. and Stahl, S.S., Cooperative Electrocatalytic Alcohol Oxidation with Electron-Proton-Transfer Mediators, Nature, 2016, vol. 535, p. 406. https://doi.org/10.1038/nature18008
- Inokuchi, T., Matsumoto, S., and Torii, S., Indirect Electrooxidation of Alcohols by a Double Mediatory System with Two Redox Couples of [R2N+ =O]/R2NO• and [Br• or Br+]/Br– in an Organic-Aqueous Two-Phase Solution, J. Org. Chem., 1991, vol. 56, p. 2416. https://doi.org/10.1021/jo00007a031
- Inokuchi, T., Liu, P., and Torii, S., Oxidations of Dihydroxyalkanoates to Vicinal Tricarbonyl Compounds with a 4-BzoTEMPO-Sodium Bromite System or by Indirect Electrolysis Using 4-BzoTEMPO and Bromide Ion, Chem. Lett., 1994, vol. 23, p. 1411. https://doi.org/10.1002/chin.199507075
- Tebben, L. and Studer, A., Nitroxides: Applications in Synthesis and in Polymer Chemistry, Angewandte Chemie, 2011, vol. 50, p. 5034. https://doi.org/10.1002/anie.201002547
- Каган, Е.Ш., Кашпарова, В.П., Жукова, И.Ю., Кашпаров, И.И. Окисление спиртов электрохимически генерируемым иодом в присутствии нитроксильных радикалов. Журн. прикл.. химии. 2010. Т.83. Вып. 4. С. 693. [Kagan, E.S., Kashparova, V.P., Zhukova, I.Yu., and Kashparov, I.I., Oxidation of alcohols by iodine in the presence of nitroxyl radicals generated electrochemically, Russ. J. Appl. Chem., 2010, vol. 83, no. 4, p. 745.] https://doi.org/10.1134/S1070427210040324
- Kashparova, V.P., Klushin, V.A., Leontyeva, D.V., Smirnova, N.V., Chernyshev, V.M., and Ananikov, V.P., Selective Synthesis of 2,5-Diformylfuran by Sustainable 4-acetamido-TEMPO/Halogen-Mediated Electrooxidation of 5-Hydroxymethylfurfural, Chem. Asian J., 2016, vol. 11, no. 18, p. 2578. https://doi.org/10.1002/asia.201600801
- Kashparova, V.P., Klushin, V.A., Zhukova, I.Yu., Kashparov, I.S., Chernysheva, D.V., Il’chibaeva, I.B., Smirnova, N.V., Kagan, E.Sh., and Chernyshev, V.M., A TEMPO-like nitroxide combined with an alkyl-substituted pyridine: An efficient catalytic system for the selective oxidation of alcohols with iodine, Tetrahedron Letters, 2017, vol. 58, no. 36, p. 3517. https://doi.org/10.1016/J.TETLET.2017.07.088
- Hayness, W.M., Lide, D.R., and Bruno, T.J., Handbook of chemistry and physics, USA: CRC Press Taylor & Francis Group, 2014. 2666 p. http://www.crcpress.com
- Kim, J. and Stahl, S.S., Cu/nitroxyl-catalyzed aerobic oxidation of primary amines into nitriles at room temperature, ACS catalysis, 2013, vol. 3. no. 7, p. 1652. https://doi.org/10.1021/cs400360e
- Miller, R.A. and Hoerrner, R.S., Iodine as a Chemoselective Reoxidant of TEMPO: Application to the Oxidation of Alcohols to Aldehydes and Ketones, Organic Letters, 2003, vol. 5, no. 3, p. 285. https://doi.org/10.1021/ol0272444
- Hamlin, T.A., Kelly, Ch.B., Ovian, J.M., Wiles, R.J., Tilley, L.J., and Leadbeater, N.E., Toward a Unified Mechanism for Oxoammonium Salt-Mediated Oxidation Reactions: A Theoretical and Experimental Study Using a Hydride Transfer Model, J. Org. Chem., 2015, vol. 80, no. 16, p. 8150. https://doi.org/10.1021/acs.joc.5b01240
- Inokuchi, T., Matsumoto, S., Fukushima, M., and Torii, S., A New Oxidizing System for Aromatic Alcohols by the Combination of N-Oxoammonium Salt and Electrosynthesized Tetraalkylammonium Tribromide, Bull. Chem. Soc. Japan., 1991, vol. 64, no. 3, p. 796. https://doi.org/10.1246/BCS.J.64.796
- Кашпарова, В.П., Кашпаров, И.С., Жукова, И.Ю., Астахов, А.В., Ильчибаева, И.Б., Каган, Е.Ш. Окислительная димеризация спиртов в присутствии каталитической системы нитроксильный радикал–йод. Журн. общей химии. 2016. Т. 86. Вып. 11. С. 1779. [Kashparova, V.P., Kashparov, I.S., Zhukova, I.Yu., Astakhov, A.V., Ilchibaeva, I.B., and Kagan, E.Sh., Oxidative dimerization of alcohols in the presence of nitroxyl radical–iodine catalytic system, Russ. J. General Chem., 2016, vol. 86, no 11, p. 2423.] https://doi.org/10.1134/S1070363216110049
- Toledo, H., Pisarevsky, E., Abramovich, A., and Szpilman, A.M., Organocatalytic oxidation of aldehydes to mixed anhydrides, Chem. Commun., 2013, vol. 49, no. 39. p. 4367. https://doi.org/10.1039/C2CC35220F
- Singha, R., Ghosh, M., Nuree, Ya., and Ray, J.K., TBHP-Promoted and Iodide-Catalyzed Synthesis of Anhydrides via Cross Dehydrogenative Coupling (CDC) of Aldehydes, Tetrahedron Letters, 2016, vol. 57, no. 12, p. 1325. https://doi.org/10.1016/j.,tetlet.2016.02.036
- Кашпарова, В.П., Папина, Е.Н., Кашпаров, И.И., Жукова, И.Ю., Ильчибаева, И.Б., Каган, Е.Ш. Однореакторный электрохимический синтез ангидридов кислот из спиртов. Журн. общей химии. 2017. Т. 87. Вып. 11. С. 1911. [Kashparova, V.P., Papina, E.N., Kashparov, I.I., Ilchibaeva, I.B., Zhukova, I.Y., and Kagan, E.S., One-pot electrochemical synthesis of acid anhydrides from alcohols, Russ. J. General Chem., 2017, vol. 87, no. 11, p. 2733.] https://doi.org/10.1134/S1070363217110330
- Brayer, G.D. and James, M.N.G., A charge-transfer complex: bis(2,4,6-trimethyl-1-pyridyl)iodonium perchlorate, Acta Crystallographica, Section B, 1982, no. 38(2). p. 654. https://doi.org/10.1107/S0567740882003689
- Mori, N. and Togo, H., Facile oxidative conversion of alcohols to esters using molecular iodine, Tetrahedron, 2005, vol. 61, no. 24, p. 5915. https://doi.org/10.1016/j.tet.2005.03.097
- Kelly, C.B., Lambert, K.M., Mercadante, M.A., John, M., Ovian, J.M., Bailey, W.F., and Leadbeater, N.E., Access to Nitriles from Aldehydes Mediated by an Oxoammonium Salt. Angewandte Chemie, 2015, vol. 54, no. 14, p. 4241. https://doi.org/10.1002/anie.201412256
- Vatèle, J.-M., One-pot oxidative conversion of alcohols into nitriles by using a TEMPO/PhI (OAc) 2/NH4OAc system, Synlett., 2014, vol. 25, no. 9, p. 1275. https://doi.org/10.1055/s-0033-1341124
- Talukdar, S., Hsu, J.-L., Chou, T.-Ch., and Fang, J.-M., Direct transformation of aldehydes to nitriles using iodine in ammonia wate, Tetrahedron Lett., 2001, vol. 42, no. 6, p. 1103. https://doi.org/10.1016/S0040-4039(00)02195-X
- Dighe, S.U., Chowdhury, D., and Batra, S., Iron Nitrate/TEMPO: a superior homogeneous catalyst for oxidation of primary alcohols to nitriles in air, Advanced Synthesis & Catalysis, 2014, vol. 356, no. 18, p. 3892. https://doi.org/10.1002/adsc.201400718
- Jagadeesh, R., Junge, H., and Beller, M., Green synthesis of nitriles using non-noble metal oxides-based nanocatalysts, Nature Commun., 2014, vol. 5, p. 4123. https://doi.org/10.1038/ncomms5123
- Fan, Z., Yang, X., Chen, Ch., Shen, Zh., and Li M., One-pot electrochemical oxidation of alcohols to nitriles mediated by TEMPO, J. Electrochem. Soc., 2017, vol. 164, no. 4, p. G54. https://doi.org/10.1149/2.1561704jes
- Yang, X., Fan, Zh., Shen, Zh., and Li, M., Electrocatalytic synthesis of nitriles from aldehydes with ammonium acetate as the nitrogen source, Electrochim. Acta, 2017, vol. 226, p. 53. https://doi.org/10.1016/j.electacta.2016.12.168
- Rodrigues, R.M., Thadathil, D.A., Ponmudi, K., George, A., and Varghese, A., Recent Advances in Electrochemical Synthesis of Nitriles: A Sustainable Approach, ChemistrySelect, 2022, vol. 7, no. 12, p. e202200081. https://doi.org/10.1002/slct.202200081
- Кашпарова, В.П., Шубина, Е.Н., Ильчибаева, И.Б., Кашпаров, И.И., Жукова, И.Ю., Каган, Е.Ш. Превращение спиртов в нитрилы в условиях электрокаталитического окисления. Электрохимия. 2020. Т. 56. С. 446. Doi [Kashparova, V.P., Shubina, E.N., Il’chibaeva, I.B., Kashparov, I.I., Zhukova, I.Yu., and Kagan, E.Sh., Transformation of Alcohols into Nitriles under Electrocatalytic Oxidation Conditions, Russ. J. Electrochem., 2020, vol. 56, p. 422.] https://doi.org/10.1134/S102319352005005510.1134/S1023193520050055https://doi.org/10.31857/S0424857020050059
Supplementary files





