COMPOSITE MATERIALS BASED ON THERMALLY EXPANDED GRAPHITE FOR BIPOLAR PLATES OF FUEL CELLS
- Authors: Eroshenko V.D.1, Andreeva V.E.2, Tokarev D.V.2, Medennikov O.A.2, Klushin V.A.2, Fesenko L.N.2, Smirnova N.V.2
-
Affiliations:
- "GrafitEl - Moscow Electrode Plant"
- Platov South-Russian State Polytechnic University (NPI)
- Issue: Vol 59, No 12 (2023)
- Pages: 798-806
- Section: Articles
- URL: https://medbiosci.ru/0424-8570/article/view/232691
- DOI: https://doi.org/10.31857/S0424857023120058
- EDN: https://elibrary.ru/QGKMDP
- ID: 232691
Cite item
Full Text
Abstract
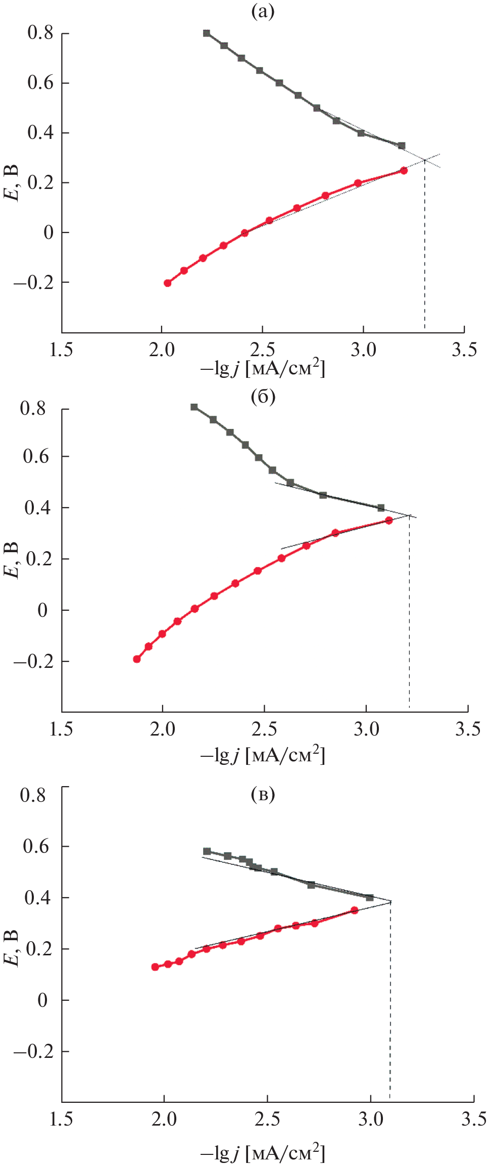
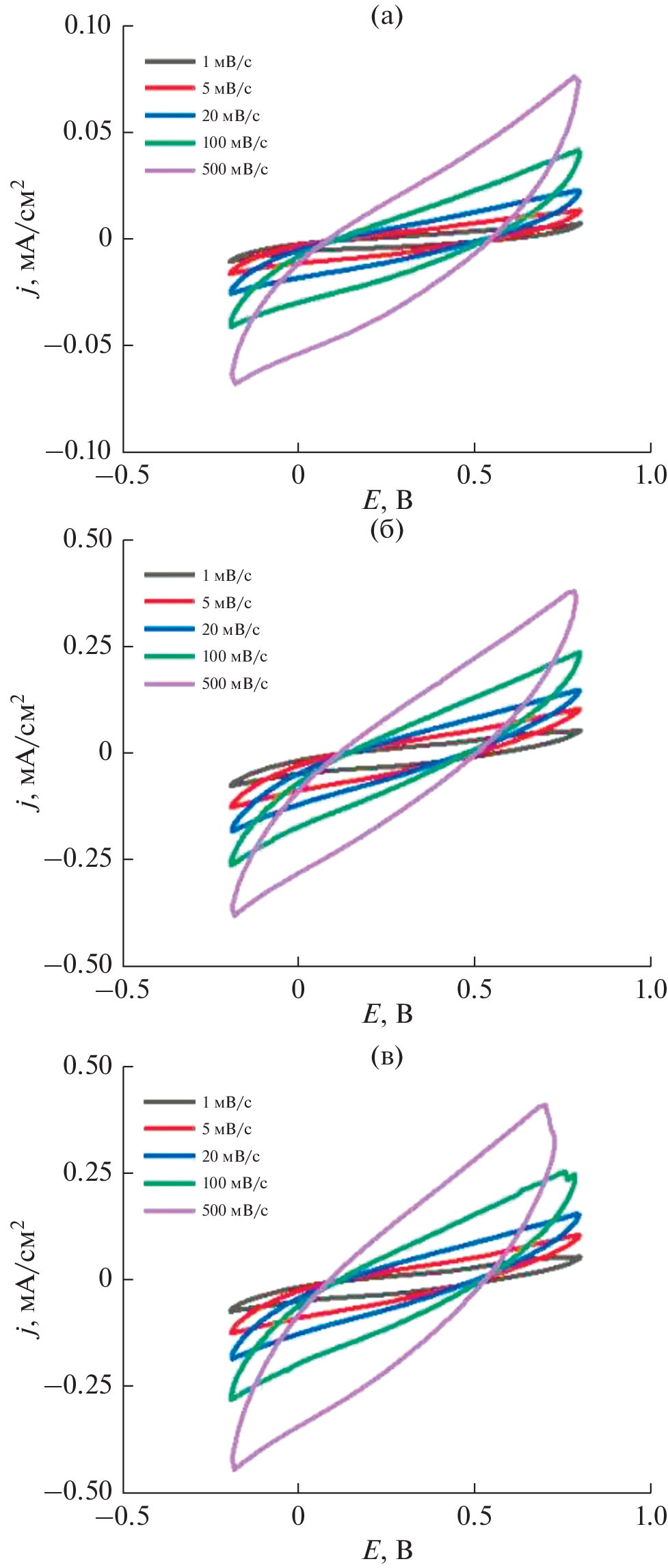
Composite materials based on a thermosetting binder and thermally expanded graphite with a filler content of 50-70% were obtained by hot pressing. The influence of the method of introducing the filler into the composite on its physical, mechanical and electrochemical characteristics has been studied. Materials obtained by mixing air-dry components are characterized by high electrical conductivity (up to 195 S/cm) and strength properties (more than 25 MPa), low interfacial contact resistance (less than 10 mΩ cm2) and a corrosion current not exceeding 1 μA/cm2, which will allow ensure high efficiency of energy conversion in PEM FC.
About the authors
V. D. Eroshenko
"GrafitEl - Moscow Electrode Plant"
Email: viktor.eroshenko.89@mail.ru
Russia, 111123, Moscow, 31 building 2, Entouziastov Chosse
V. E. Andreeva
Platov South-Russian State Polytechnic University (NPI)
Email: smirnova_nv@mail.ru
Russia, 346428, Novocherkassk, 132 Prosveschenina st.
D. V. Tokarev
Platov South-Russian State Polytechnic University (NPI)
Email: smirnova_nv@mail.ru
Russia, 346428, Novocherkassk, 132 Prosveschenina st.
O. A. Medennikov
Platov South-Russian State Polytechnic University (NPI)
Email: smirnova_nv@mail.ru
Russia, 346428, Novocherkassk, 132 Prosveschenina st.
V. A. Klushin
Platov South-Russian State Polytechnic University (NPI)
Email: smirnova_nv@mail.ru
Russia, 346428, Novocherkassk, 132 Prosveschenina st.
L. N. Fesenko
Platov South-Russian State Polytechnic University (NPI)
Email: smirnova_nv@mail.ru
Russia, 346428, Novocherkassk, 132 Prosveschenina st.
N. V. Smirnova
Platov South-Russian State Polytechnic University (NPI)
Author for correspondence.
Email: smirnova_nv@mail.ru
Russia, 346428, Novocherkassk, 132 Prosveschenina st.
References
- Sharma, P. and Pandey, O.P., Proton exchange membrane fuel cells: fundamentals, advanced technologies, and practical applications. In PEM Fuel Cells, Elsevier, 2022, p. 1–24. https://doi.org/10.1016/B978-0-12-823708-3.00006-7
- Bazhenov, S., Dobrovolsky, Y., Maximov, A., and Zhdaneev, O.V., Key challenges for the development of the hydrogen industry in the Russian Federation, Sustainable Energy Technologies and Assessments, 2022, vol. 54, p. 102867. https://doi.org/10.1016/j.seta.2022.102867
- Younas, T., Bipolar plates for the permeable exchange membrane: carbon nanotubes as an alternative, In PEM Fuel Cells, Elsevier, 2022, p. 71-89. https://doi.org/10.1016/B978-0-12-823708-3.00006-7
- Tang, A., Crisci, L., Bonville, L., and Jankovic, J., An overview of bipolar plates in proton exchange membrane fuel cells, J. Renewable and Sustainable Energy, 2021, vol. 13(2), p. 022701. https://doi.org/10.1063/5.0031447
- Porstmann, S., Tannemacher, T., and Drossel, W.-G., A comprehensive comparison of state-of-the-art manufacturing methods for fuel cell bipolar plates including anticipated future industry trends, J. Manufacturing Proc., 2020, vol. 60, p. 366. https://doi.org/10.1016/j.jmapro.2020.10.041
- Stein, T. and Ein-Eli, Y., Challenges and Perspectives of Metal-Based Proton Exchange Membrane’s Bipolar Plates: Exploring Durability and Longevity, Energy Technol., 2020, vol. 8, p. 2000007. https://doi.org/10.1002/ente.202000007
- Wang, H. and Turner, J.A., Reviewing Metallic PEMFC Bipolar Plates, Fuel Cells, 2010, vol. 10, p. 510. https://doi.org/10.1002/fuce.200900187
- Li, Y., Jia, X., Zhang, W., Fang, C., Wang, X., Qin, F., Yamaura, S., and Yokoyama, Y., Effects of Alloying Elements on the Thermal Stability and Corrosion Resistance of an Fe-based Metallic Glass with Low Glass Transition Temperature, Metall. Mater. Trans. A., 2013, vol. 45, p. 2393. https://doi.org/10.1007/s11661-013-2071-6
- Ji, S., Hwang, Y.S., Park, T., Lee, Y.H., Paek, J.Y., Chang, I., Lee, M.H., and Cha, S.W., Graphite foil based assembled bipolar plates for polymer electrolyte fuel cells, Int. J. Precis. Eng. Man., 2012, vol. 13, p. 2183. https://doi.org/10.1007/s12541-012-0289-7
- Fan, R., Peng, Y., Tian, H., Zheng, J., Ming, P., and Zhang, C., Graphite-filled composite bipolar plates for fuel cells: material, structure, and performance, Acta Physico-Chimica Sinica, 2021, vol. 37(9), p. 2009095. https://doi.org/10.3866/PKU.WHXB202009095
- Badrul, F., Halim, K.A., Salleh, M.M., Omar, M.F., Osman, A.F., and Zakaria, M.S., Modeling electrical conductivity and tensile properties of conductive polymer composites (CPCs) based on percolation threshold theory-A short review, In AIP Conf. Proc., 2021, July, vol. 2347, no. 1, p. 020240. AIP Publishing LLC. https://doi.org/10.1063/5.0052346
- Chen, H., Liu, H.B., Xia, X.H., Yang, L., and He, Y.D., Preparation and properties of graphite/phenolic resin composite bipolar plate, Acta Mater. Compos. Sin., 2015, vol. 32, p. 744. https://doi.org/10.13801/j.cnki.fhclxb.201503.008
- Suherman, H., Sulong, A. B., and Sahari, J., Effect of the compression molding parameters on the in-plane and through-plane conductivity of carbon nanotubes/graphite/epoxy nanocomposites as bipolar plate material for a polymer electrolyte membrane fuel cell, Ceram. Intern., 2013, vol. 39, p. 1277. https://doi.org/10.1016/j.ceramint.2012.07.059
- Kim, M., Lim, J.W., and Lee, D.G., Electrical contact resistance between anode and cathode bipolar plates with respect to surface conditions, Compos. Struct., 2018, vol. 189, p. 79. https://doi.org/10.1016/j.compstruct.2018.01.067
- Yao, K., Adams, D. L., Hao, A., Zheng, J.P., and Liang, R., Highly Conductive, Strong, Thin and Lightweight Graphite-Phenolic Resin Composite for Bipolar Plates in Proton Exchange Membrane Fuel Cells, ECS Trans., 2017, vol. 77, p. 1303. https://doi.org/10.1149/07711.1303ecst
- Stübler, N., Meiners, D., Ziegmann, G., and Hickmann, T., Investigation of the properties of polymer composite bipolar plates in fuel cells, J. Plastics Technology, 2014, vol. 10(3), p. 68.
- Diaz, J., Rigail-Cedeño, A., Barzola-Monteses, J., and Espinoza-Andaluz, M., A pre-feasibility experimental study of using surface-enhanced flake graphite to build up PEFC bipolar plates, Energy Procedia, 2019, vol. 158, p. 1502. https://doi.org/10.1016/j.egypro.2019.01.358
- Antunes, R.A., Oliveira, M.C.L.D., Ett, G., and Ett, V., Carbon materials in composite bipolar plates for polymer electrolyte membrane fuel cells: A review of the main challenges to improve electrical performance, J. Power Sources, 2011, vol. 196, p. 2945. https://doi.org/10.1016/j.jpowsour.2010.12.041
- Фиалков, А.С. Углерод, межслоевые соединения и композиты на его основе, М.: Аспект Пресс, 1997. 718 с. [Fialkov, A.S. Carbon, interlayer compounds and composites based on it (in Russian), Moscow: Aspect Press, 1997. 718 p.]
- ГОСТ Р 56810–2015. Композиты полимерные. Метод испытания на изгиб плоских образцов, М.: Стандартинформ, 2016, 20 с. [GOST R 56810–2015. Polymer composites. Bending test method for flat specimens (in Russian), Moscow: Standartinform, 2016, 20 p.]
- ГОСТ Р 56785–2015 Композиты полимерные. Метод испытания на растяжение плоских образцов, М.: Стандартинформ, 2016, 16 с. [GOST R 56785–2015 Polymer composites. Tensile testing method for flat specimens (in Russian), Moscow: Standartinform, 2016, 16 p.]
- ГОСТ Р 56652–2015. Композиты полимерные. Методы определения водопоглощения материалов внутреннего слоя “сэндвич”-конструкций, М.: Стандартинформ, 2016, 15 с. [GOST R 56652-2015. Polymer composites. Methods for determining the water absorption of the materials of the inner layer of “sandwich” structures (in Russian), Moscow: Standartinform, 2016, 15 p.]
- Davies, D. P., et al., Bipolar plate materials for solid polymer fuel cells, J. Appl. Electrochem., 2000, vol. 30, no. 1, p. 101. https://doi.org/10.1023/A:1003831406406
- Fuel Cell Technical Team Roadmap, https://www.energy.gov/sites/default/files/2017/11/f46/FCTT_Roadmap_Nov_2017_FINAL.pdf.
- Chen, Z., Chen, Y., and Liu, H., Pyrolysis of phenolic resin by TG-MS and FTIR analysis, Adv. Mater. Res., 2013, vol. 631–632, p. 104. https://doi.org/10.4028/www.scientific.net/AMR.631-632.104
- Wlodarczyk, R., Carbon-based materials for bipolar plates for low-temperatures PEM fuel cells – A review, Functional Mater. Lett., 2019, vol. 12, no. 02, p. 1930001. https://doi.org/10.1142/S1793604719300019
Supplementary files






