Kinetics of Electrooxidation of Dimethyl Sulfoxide on a Platinum Electrode with Sulphuric Acid and Alkaline Solutions
- Authors: Ibragimova K.O.1, Khidirov S.S.1, Suleymanov S.I.1,2
-
Affiliations:
- Dagestan State University
- Far Eastern Federal Research Center of the Russian Academy of Sciences
- Issue: Vol 60, No 8 (2024)
- Pages: 574-586
- Section: Articles
- URL: https://medbiosci.ru/0424-8570/article/view/275155
- DOI: https://doi.org/10.31857/S0424857024080057
- EDN: https://elibrary.ru/PORYCJ
- ID: 275155
Cite item
Full Text
Abstract
In this work, an electrochemical study of the mechanism of electrooxidation of dimethyl sulfoxide (DMSO) on a platinum electrode in acidic and alkaline solutions was carried out. On stationary polarization anodic curves taken within DMSO in an acidic and alkaline environment, the processing currents are processed manually than in dissolved light. When analyzing linear sections of anodic voltammograms, the values of the coefficients of the Tafel equation were achieved. This definition defines the current density measurement range and conditions for the electrooxidation of DMSO on a platinum (Pt) electrode. Electrolysis was carried out at controlled current densities in an electrolyzer without separation and with separation of the anode and cathode compartments using MK-40, MA-40 membranes and a fluoropolymer sulfcationite membrane MF-4SK. The high electrical conductivity and selectivity of the membranes ensures good performance of the electrolysis process and obtains a high-purity final product. Raman spectroscopy and gas chromatography-mass spectrometry have confirmed that the products of DMSO electrooxidation in an acidic environment are dimethyl sulfone (DMSO2) and methanesulfonic acid (MSA), and in an alkaline environment DMSO2 and sodium methanesulfonate. The method of quantum chemical calculations showed good adsorption of DMSO molecules on platinum within the framework of the cluster model. It has been established that the formation of MSA on the surface of a platinum electrode at high current densities occurs via the radical ion mechanism, by breaking the C–S bond. Based on the experimental results obtained, a scheme for the electrochemical oxidation of dimethyl sulfoxide on platinum is proposed.
Full Text
ВВЕДЕНИЕ
Для исследования кинетики и механизма электрохимических процессов в водно-органических растворах существенную роль играет природа электрода и рН среды. Понимание механизма электрохимической реакции позволяет эффективно управлять процессами синтеза наночастиц металлов и композиционных материалов на их основе и получать продукты с заданными структурными характеристиками [1–4].
Достоинством электрохимического метода синтеза является возможность управления активностью реагента и процессом препаративного электролиза, которые также являются экологически безопасными, не требуют сложного оборудования, отличаются простотой в осуществлении, высоким выходом и чистотой конечных продуктов [5]. Ключевым моментом в обеспечении быстрого протекания реакции электроокисления органических веществ является использование электрохимически активного и стабильного анода. При этом важно сохранение постоянства электрохимически активной поверхности (ЭХАП) в процессе эксплуатации [6]. Многоэлектронные реакции электроокисления органических веществ сочетаются с реакциями электровосстановления [7, 8].
Соединения серы, содержащие функциональные группы сульфонов и сульфоксидов, можно описать как высокоионные и сильно поляризуемые группы, которые характеризуются положительным зарядом на атоме серы [9]. Эффективный заряд на атоме серы составляет +1.208 [10].
Gutmann V. и Schöber G. в 1959 г. впервые использовали ДМСО для полярографии ионов различных металлов, который в дальнейшем также был использован в качестве неводного растворителя в потенциометрических исследованиях [11]. ДМСО является важным биполярным апротонным растворителем благодаря своей сильной растворяющей способности. Также ДМСО часто используется как растворитель для ЯМР-спектроскопии, в химии карбанионов, в химических реакциях с участием неорганических солей, в химических источниках тока [12–14].
Sobkowski J. и др. [15] ранее установили, что при адсорбции молекулы ДМСО на Pt/Pt-электроде восстанавливаются в водородной области потенциалов до диметилсульфида и предположительно окисляются в кислородной области потенциалов до диметилсульфона. В работе [16] было изучено поведение ДМСО в неводной среде. Методом функционала плотности (DFT) показано [17, 18], что молекула ДМСО наиболее сильно взаимодействует с поверхностью Pt через атом S в группе SO, а модификация поверхностной электронной структуры Pt ограничивается атомом Pt, непосредственно контактирующим с атомом S [19, 20]. Электроокисление и восстановление ДМСО и сульфолана на платине в 0.5 М серной кислоте исследовалось с использованием стандартных электрохимических методов с последующим анализом летучих продуктов [21]. Установлено, что в случае прямого электроокисления ДМСО до ДМСО2 на Pb/PbO2-электроде в среде метансульфокислоты (МСК) выход составляет более 90% [22]. Выбор анодного материала в электрохимическом синтезе также может повлиять на выход целевого продукта [23]. В работе [24] установлено, что основными продуктами фотоокисления диметилсульфида являются ДМСО, метансульфиновая кислота, метансульфокислота и серная кислота. Реакция электроокисления ДМСО включает стадии его адсорбции, образования интермедиатов, таких как Oадс, OHадс, COНадс и др. [25] с последующим электроокислением адсорбированного вещества и его десорбцией в объем раствора [26–30]. Прочная адсорбция интермедиатов значительно снижает активность Pt-катализатора за счет блокировки активных центров. Следует подчеркнуть, что при одном и том же значении потенциала электрода скорость и направление электродных процессов могут существенным образом зависеть от адсорбции компонентов раствора [31]. Авторами работы [32] ДМСО использовался для улавливания гидроксильных радикалов при низких плотностях тока путем получения стабильного промежуточного продукта – метансульфоната, а в работах [33, 34] было исследовано электрохимическое поведение вторичных продуктов захвата радикалов ОН молекулами ДМСО с использованием лазерной фотоэмиссии.
Изучение влияния кислородсодержащих частиц, адсорбированных из воды, на электродах из компактной платины, в том числе на монокристаллах, представлено в работах [35–40]. В работе [35] низкий наклон тафелевской зависимости для электровосстановления кислорода на платине при высоких потенциалах авторы объясняют адсорбцией промежуточных продуктов реакции в условиях изотермы Темкина, главным образом PtOH. Позже было высказано предположение [36, 37], что торможение реакции связано с реакцией окисления воды на платине, отрицательный электронный эффект на кинетику электровосстановления кислорода обнаружен также для бисульфат-аниона [38].
Вместе с тем, в мировой литературе сведения о кинетике, возможности образования других продуктов и выявления вероятных путей анодного окисления ДМСО на Pt-электроде носят отрывочный характер. В настоящей работе изучена кинетика электроокисления ДМСО на платиновом электроде в сернокислом и щелочном растворах в широкой области потенциалов с использованием комплекса экспериментальных данных (анализа стационарных поляризационных кривых и препаративного электролиза) и теоретическим методом квантово-химических расчетов.
ЭКСПЕРИМЕНТАЛЬНАЯ ЧАСТЬ
В работе использованы следующие реактивы: серная кислота, диметилсульфоксид, гидроксид натрия (все марки “ос.ч.”), бидистиллированная вода.
Для проведения электрохимических измерений использовали современный электрохимический комплекс, включающий автоматизированный потенциостат-гальваностат IPC-Pro MF (НТФ “Вольта”, Россия), подключенный к трехэлектродной ячейке. Потенциалы измеряли относительно обратимого водородного электрода сравнения в 1.0 М растворе H2SO4 при температуре 20 ± 2°С. Все потенциалы в работе приведены относительно обратимого водородного электрода сравнения. Водород со степенью чистоты 99.9999 получали с помощью генератора ГВЧ-6 (НПП Химэлектроника, Россия). Электрод сравнения с помощью электролитического мостика подводили к рабочему электроду через капилляр Луггина, заполненный рабочим раствором.
Поверхность платинового электрода предварительно очищали путем его анодно-катодной поляризации. Плотность тока при этом составляет 10–20 мА/см2 в расчете на видимую поверхность. Методом кривых заряжения определяли ЭХАП по количеству электричества, затраченного на электрохимическую десорбцию атомарного водорода. ЭХАП электрода составляет 0.056 см2. Фактор шероховатости ƒ = Sист/Sгеом = 1.86. Значение потенциала рабочего электрода постепенно повышали в анодную сторону относительно равновесного потенциала. При каждом значении потенциала компьютерная программа IPC 2000.Ex фиксировала значения токов, которые затем были пересчитаны в плотности токов с учетом истинной поверхности электродов. Степень заполнения (θ) рассчитывали по методике [30, 41].
Исследование кинетических закономерностей проводили путем анализа стационарных поляризационных кривых в координатах η – lg (j), по которым определяли значения тангенса наклона (b). Величина b мало зависит от материала электрода и является характеристикой самого электрохимического процесса, которая во многом характеризуют кинетику и механизм электрохимической реакции. Также коэффициент b отражает зависимость энергии активации анодного процесса и с ростом концентрации возрастает.
Кинетика адсорбции в области высоких анодных потенциалов имеет много общего с кинетикой в области небольших потенциалов и формально подчиняется закономерностям хемосорбции на неоднородных поверхностях в соответствии с уравнением
, (1)
где f – фактор неоднородности. Зависимость величины αf не только от природы вещества, но и от потенциала электрода обусловлена тем, что хемосорбция носит конкурентный характер и связана с взаимным вытеснением хемосорбированных частиц.
Для препаративного электролиза водных растворов ДМСО применялся платиновый анод (S = 8 см2). Катодом служила графитовая пластина. Ток подводили от выпрямителя постоянного тока со стабилизированным напряжением – TYPE: TR-9252 [42].
После окончания электролиза раствор нейтрализовывали, упаривали, а затем охлаждали. По мере охлаждения выпадают белые игольчатые кристаллы, представляющие собой ДМСО2, и расплывающаяся на воздухе кристаллическая масса, идентифицированная как МСК. Количественное определение проводили гравиметрическим методом и методом титрования. Результаты представлены в табл. 2.
Таблица 1. Значения коэффициентов уравнения Тафеля, определенные на Pt-электроде в растворе фонового электролита в присутствии ДМСО в интервале потенциалов 1.2–1.6 В (о.в.э.)
СДМСО, М | a | b | R2 | j0, мA/см2 |
0.5 М раствор H2SO4 | ||||
0 | 0.65 ± 0.03 | 0.20 ± 0.01 | 0.99 | 0.039 |
0.5 | 0.65 ± 0.03 | 0.22 ± 0.02 | 0.97 | 0.052 |
1.0 | 0.65 ± 0.03 | 0.23 ± 0.01 | 0.97 | 0.059 |
0.5 М раствор NaOH | ||||
0 | 0.20 ± 0.03 | 0.65 ±0.03 | 0.99 | 0.73 |
0.5 | 0.20 ± 0.03 | 0.70 ± 0.01 | 0.99 | 0.75 |
1.0 | 0.20 ± 0.03 | 0.84 ± 0.03 | 0.98 | 0.79 |
Таблица 2. Данные препаративного электроокисления 0.2 М раствора ДМСО
Электролит | Плотность тока, A/см2 | Мембрана | Q, А/ч | Конечный продукт | Выход по веществу, % |
0.5 М H2SO4 | 0.015 | отсутствует | 0.536 | CH3S(O)2CH3 | 92 |
МФ-4CК | 1.072 | CH3S(O)2CH3 | 57 | ||
МК-40 | 1.072 | CH3S(O)2CH3 | 59 | ||
МА-40 | 1.072 | CH3S(O)2CH3 | 52 | ||
0.120 | отсутствует | 1.072 | CH3S(O)2OH | 94 | |
МФ-4CК | 2.144 | CH3S(O)2OH | 57 | ||
МК-40 | 2.144 | CH3S(O)2OH | 60 | ||
МА-40 | 2.144 | CH3S(O)2OH | 50 | ||
0.5 M NaOH | 0.005 | отсутствует | 0.536 | CH3S(O)2CH3 | 89 |
МФ-4CК | 1.072 | CH3S(O)2CH3 | 52 | ||
МК-40 | 1.072 | CH3S(O)2CH3 | 57 | ||
МА-40 | 1.072 | CH3S(O)2CH3 | 50 | ||
0.018 | отсутствует | 1.072 | CH3S(O)2ONa | 90 | |
МФ-4CК | 2.144 | CH3S(O)2OH | 54 | ||
МК-40 | 2.144 | CH3S(O)2OH | 58 | ||
МА-40 | 2.144 | CH3S(O)2ONa | 50 |
Идентификация продуктов электросинтеза проводилась с помощью газового хроматографа с масс-селективным детектором МАЭСТРО ГХ 7820 с масс-селективным детектором 5975 фирмы (Agilent Technologie США, 2011), а также путем регистрации спектров на спектральном комплексе комбинационного рассеяния – DXR Smart Raman Research (Thermo Scientific, США) с лазерным возбуждением (λ = 532 нм и мощностью 10 мВт), спектральный диапазон измерения 50–3500 см–1, время интегрирования каждого скана – 20 с.
Для объяснения наиболее вероятных путей окисления ДМСО на Pt нами был проведен квантово-химический расчет. Для расчета использовалась модель платины, содержащей в структуре 8 атомов. Оптимизированная структура представлена на рис. 7. Молекула ДМСО помещалась рядом с кластером Pt8. 3D-модели исследуемых молекулярных структур строили в программе ACD/Labs Freeware 2015. Геометрическую оптимизацию и расчет полных энергий проводили методом функционала плотности (DFT) B3LYP [43] c базисным набором def2-TZVP [44] и с учетом влияния водной среды на уровне модельной теории CPCM [18]. Все квантовые расчеты были выполнены с помощью программы Orca 4.2.0 [45].
Энергию поверхностного взаимодействия ДМСО рассчитывали по формуле:
. (2)
РЕЗУЛЬТАТЫ И ОБСУЖДЕНИЕ
На рис. 1 приведены анодные вольтамперограммы в 0.5 и 1.0 М растворах ДМСО на фоне 0.5 М серной кислоты в стационарном режиме. На стационарных поляризационных кривых относительно кривой фонового раствора в области потенциалов 1.6–2.1 В наблюдаются токи окисления диметилсульфоксида. Следует отметить, что в присутствии диметилсульфоксида токи окисления появляются на 0.2 В раньше, чем в фоновом растворе. Перенапряжение выделения кислорода на платине в присутствии ДМСО возрастает как в кислой, так и в щелочной средах. Это объясняется торможением реакции выделения кислорода и более ранним окислением ДМСО [25, 46]. В области потенциалов 1.1–1.6 и 2.1–2.4 В имеются прямолинейные участки, подчиняющиеся тафелевской зависимости.
Рис. 1. Анодные вольтамперограммы Pt-электрода в 0.5 М растворе H2SO4 (1) и в присутствии ДМСО, М: 0.5 (2), 1.0 (3), снятые в стационарном режиме
На рис. 2 приведены аналогичные вольтамперограммы щелочного раствора в присутствии различных концентраций ДМСО.
Рис. 2. Анодные вольтамперограммы Pt-электрода в 0.5 М растворе NaOH (1) и в присутствии ДМСО, М: 0.5 (2), 1.0 (3), снятые в стационарном режиме
Наибольшая разница между стационарной кривой в фоновом электролите и в присутствии 0.5 М диметилсульфоксида наблюдается в области потенциалов 2.0–2.4 В. При увеличении концентрации до 1.0 М поляризационная потенциостатическая кривая имеет три прямолинейных участка, подчиняющихся тафелевской зависимости.
По наклону линейных участков вольтамперограмм (рис. 1 и рис. 2) в области потенциалов 1.2–1.6 В в растворах 0.5 М H2SO4 и в 0.5 М NaOH были определены значения коэффициентов уравнения Тафеля (табл. 1).
Как видно по величине коэффициента а (табл. 1), изменение концентрации ДМСО (0.5 и 1.0 М) не оказывает влияния на изменение потенциала платинового электрода при разомкнутой цепи. Сдвиг потенциала в сторону меньших или больших значений свидетельствует о протекании процессов электроокисления или электровосстановления органического вещества [47]. Значение коэффициента а в сернокислом растворе показывает, что процесс выделения кислорода происходит гораздо позже, чем в щелочной среде. Высокие значения тангенса угла наклона в щелочной среде указывают на протекание брутто-процессов, сопряженных со стадией химического окисления. Ток обмена (j0) зависит от концентрации ионов в растворе и является скоростью реакции при обратимом потенциале. По данным табл. 1 видно, что с ростом концентрации ДМСО ток обмена растет в интервале указанных потенциалов.
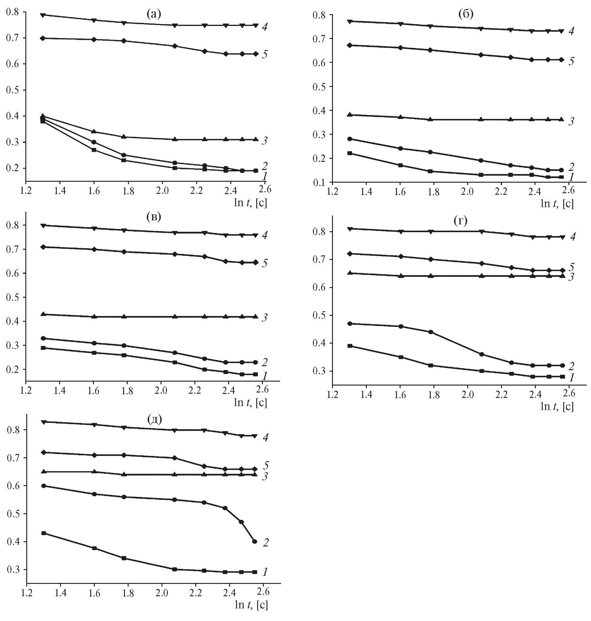
На рис. 3 представлены кинетические кривые – зависимости степени заполнения поверхности платины диметилсульфоксидом от времени при различных анодных потенциалах в растворах различных концентраций ДМСО.
Рис. 3. Степень заполнения поверхности платины частицами диметилсульфоксида при объемной концентрации С, М: 0.001 (а), 0.01 (б), 0.1 (в), 0.2 (г), 0.5 (д) при потенциалах, В: 1.0 (1); 1.2 (2); 1.4 (3); 1.6 (4); 1.8 (5)
Как и для большинства органических соединений, зависимость степени заполнения от времени в случае диметилсульфоксида имеет неоднозначный характер. Как видно из этих рисунков, максимальная величина степени заполнения достигается за первые секунды, затем уменьшается и предельное заполнение поверхности платины адсорбированными частицами ДМСО происходит за 6 мин. Аналогичная картина наблюдается при всех потенциалах в пределах 0.001–0.5 М растворов ДМСО. При всех потенциалах характер кинетических кривых заполнения поверхности платины частицами ДМСО однотипный, т.е. величина степени заполнения со временем уменьшается. Следует отметить, что величина степени заполнения ДМСО при потенциалах 1.6 и 1.8 В значительно выше во всех растворах, чем при потенциалах 1.0–1.4 В. Вместе с тем при потенциале 1.8 В величина степени заполнения при всех концентрациях ДМСО ниже, чем при потенциале 1.6 В. Для многих органических веществ с ростом потенциала проявляется тенденция к уменьшению степени заполнения. Это можно объяснить вытеснением адсорбированных органических веществ хемосорбированным кислородом либо окислением этих частиц промежуточными и конечными продуктами реакции выделения кислорода.
Характер изменения величины степени заполнения кислорода во времени в растворах в присутствии различных концентраций ДМСО (рис. 3) отличается при потенциалах 1.0–1.4 В, но имеет сходство при потенциалах 1.6 и 1.8 В. Однако при потенциалах 1.6 и 1.8 В величины степени заполнения диметилсульфоксида за первые 60 с, в отличие от кислорода в фоновом растворе, практически совпадают в течение 1-й мин.
Для установления состава продуктов, образующихся при электроокислении ДМСО, проводился препаративный электролиз водных растворов ДМСО на платиновом аноде при контролируемых плотностях тока. Электролизу подвергался 0.2 М раствор ДМСО в 0.5 М H2SO4 и в 0.5 М NaOH при контролируемой температуре 30–35°С при контролируемых плотностях анодного тока, соответствующих значениям потенциала окисления ДМСО, найденным по анодным стационарным вольтамперограммам в кислой и щелочной средах (рис. 1 и 2). Расчет количества электричества Q проводили в соответствии с суммарным уравнением реакции окисления ДМСО до ДМСО2 и МСК.
Качественное определение продуктов электроокисления проводилось с применением газожидкостного хроматографа (ГЖХ) (рис. 4) с масс-селективным детектором (рис. 5). Пробоподготовку исследуемого образца проводили путем растворения продукта, выделенного после электролиза в хлороформе. Для регистрации масс-спектров метансульфокислота была переведена в этиловый эфир в соответствии с методикой [48].
Рис. 4. Ионная хроматограмма: а – диметилсульфоксида, б – диметилсульфона и в – этилового эфира метансульфоновой кислоты (этилметансульфоната). Растворитель – CHCl3
Рис. 5. Экспериментальные масс-спектры: а – диметилсульфоксида, б – диметилсульфона и в – этилового эфира метансульфоновой кислоты (этилметансульфоната) с характерными пиками. Растворитель – CHCl3
Полученный продукт после электролиза также был проанализирован путем регистрации КР-спектра (рис. 6).
Рис. 6. КР-спектр комбинационного рассеяния диметилсульфоксида (а) и продуктов электроокисления диметилсульфоксида–диметилсульфона (б) и метансульфокислоты (в)
КР-спектр исходного ДМСО, см–1: 306–387 (δ S–C); 674 (νs C–S), 702 (νas C–S); 1052 (ν S=O); 1424 (δ НСН); 2914 (νs C–H); 3000 (νas С–Н).
КР-спектр полученного ДМСО2, см–1: 70–108 (νs C–S–C); 300 (δs C–S); 330 (δas C–S); 470 (νs C–S), 501 (νas C–S); 706 (ν1 C–S); 774 (ν2 C–S); 1020 (νas S=O); 1126 (νs S=O); 1272 (δ S=O); 1452–1405 (δ НСН); 2940 (νs C–H); 3022 (νas С–Н).
КР-спектр полученной МСК, см–1: 295 (δs C–S); 327 (δas C–S); 465 (νas C–S), 498 (νs C–S); 702 (ν1 C–S); 774 (ν2 C–S); 1012 (νas S=O); 1121 (νs S=O); 1268 (δ S=O); 1452–1405 (δ НСН); 2937 (νs C–H); 3025 (νas С–Н).
Как видно, функциональные группы продуктов электролиза существенно отличаются от исходного сырья. Образование ДМСО2 подтверждается характеристическими скелетными колебаниями в области 108 см–1 до 1020–1120 см–1. Колебания, характерные для сульфогруппы, 1121–1112 см–1 [49–51]. Поиск библиотечной базы масс-спектров (NIST14 и Wiley) подтверждает, что выделенными веществами являются ДМСО2, МСК.
Для получения конечного продукта высокой чистоты и повышения селективности процесса были использованы мембраны.
Диметилсульфон представляет собой кристаллическое вещество в форме игольчатых кристаллов белого цвета, tпл – 110°С, что соответствует справочному значению его температуры плавления. Метансульфокислота, синтезируемая путем электролиза водных растворов диметилсульфоксида, получается в виде расплывающейся на воздухе массы высокой чистоты.
Из табл. 2 видно, что в отсутствие диафрагмы выход по веществу максимальный, что указывает на хорошую окислительную способность ДМСО. При наличии диафрагмы максимальный выход наблюдался при использовании мембраны марки МК-40, минимальный – при МА-40. Так как ДМСО обладает свойством “кроссовер эффекта” и проникает в катодное отделение, то соответственно концентрация исходного вещества в анодном отделении понижается и это сказывается на выходе конечного продукта. В присутствии мембраны получены конечные продукты высокой чистоты.
Поликристаллическая поверхность платинового электрода моделировалась в рамках кластерной модели с 8 “замороженными” атомами платины (Pt8), межатомные расстояния соответствуют кристаллографическим экспериментальным данным.
В табл. 3 представлены некоторые геометрические и энергетические параметры молекулы ДМСО до и после взаимодействия платины с ДМСО.
Таблица 3. Геометрические и энергетические характеристики молекулы ДМСО до и после взаимодействия с кластером в растворе
Соединение | l(S–O), Å | l(C–H), Å | EВЗМО, эВ | EНВМО, эВ | ∆E, эВ |
(CH3)2SO | 1.51 | 1.09 | –6.494 | 0.899 | 7.393 |
Pt8(CH3)2SO | 1.54 | 1.14 | –5.436 | –4.162 | 1.274 |
Процессу взаимодействия платины с ДМСО с образованием структуры, изображенной на рис. 7, соответствует термохимическая реакция с энергетическим эффектом, вычисленным по формуле (2):
.
Рис. 7. Оптимизированная структура молекулы ДМСО на поверхности модельного кластера Pt8
Значительный экзотермический эффект свидетельствует о хорошей адсорбции молекул ДМСО на поликристаллическом платиновом электроде в рамках кластерной модели. По квантово-химическим данным видно, что молекула ДМСО будет притягиваться к поверхности платины через атом кислорода, это можно наблюдать по межатомным расстояниям, а также атом серы может являться реакционным центром, так как склонен к окислению.
Исходя из данных табл. 3 об энергиях высшей заполненной молекулярной орбитали (ЕВЗМО) и низшей вакантной молекулярной орбитали (ЕНВМО), можно сделать вывод, что после сорбции частицы Pt8(CH3)2SO будут проявлять сильные электроноакцепторные свойства, причем до взаимодействия платины с ДМСО подобные свойства молекул ДМСО слабо выражены. Также, исходя из представленных геометрических параметров, видно, что наблюдается незначительное искажение молекулы ДМСО при ее приближении к частице Pt8 в процессе взаимодействия с поверхностью платины.
Из расчетных данных энергии (∆E, кДж/моль) (табл. 4) видно, что наиболее высокое значение ∆E проявляется в реакции образования COHадс и CO2, а минимальное значение ∆E – при взаимодействии CH3S(O)OH с Oадс с образованием метасульфокислоты.
Таблица 4. Рассчитанные методом DFT энергии возможных реакций
A → B | Характеристика связи | |
∆E, эВ | ∆E, кДж/моль | |
3H2O → 2H3О+ + Oадс | 0.462 | 1213.027 |
2H2O → OHадс + H3O+ | 0.192 | 115.526 |
CH3SOCH3 → CH3SO• + CH3• | 0.054 | 141.782 |
CH3• + 5H2O → COHадс + 4H3O+ | 0.71 | 1864.176 |
COHадс + 4H2O → CO2 + 3H3O+ | 0.667 | 1751.275 |
CH3SO• + OHадс → ch3s(o)oh | 0.187 | 490.987 |
CH3S(O)OH + Oадс → ch3s(o2)oh | –0.027 | –70.891 |
По результатам экспериментальных данных нами была предложена схема электрокаталитического окисления ДМСО на платиновом электроде (рис. 8).
Рис. 8. Схема электроокисления диметилсульфоксида на Pt-электроде
ЗАКЛЮЧЕНИЕ
На стационарных поляризационных анодных кривых, снятых в присутствии ДМСО в кислой и щелочной средах в присутствии диметилсульфоксида, токи окисления появляются на 0.2 В раньше, чем в фоновом растворе. В области потенциалов 1.2–1.6 В и 2.1–2.4 В наблюдаются прямолинейные участки, подчиняющиеся тафелевской зависимости. Изменение концентрации ДМСО не оказывает влияния на изменение потенциала Pt-электрода при разомкнутой цепи. С ростом концентрации ДМСО ток обмена увеличивается. На основании данных кинетических параметров определено, что с ростом концентрации ДМСО величина степени заполнения при изученных потенциалах со временем уменьшается. Метод квантово-химических расчетов подтвердил хорошую адсорбцию молекул ДМСО на поликристаллическом платиновом электроде в рамках кластерной модели. Установлено, что механизм образования ДМСO2 и МСК на поверхности платинового электрода проходит путем разрыва связи C–S по ион-радикальному механизму. Электролиз проводили при контролируемых плотностях тока в электролизере без разделения и с разделением анодного и катодного отделений мембранами МК-40, МА-40 и фторполимерной сульфкатионитовой мембраной МФ-4СК. Так как ДМСО обладает свойством “кроссовер эффекта” и проникает в катодное отделение, то соответственно концентрация исходного вещества понижается и это сказывается на выходе конечного продукта. В присутствии мембраны получены конечные продукты высокой чистоты.
Методами КР-спектроскопии, хромато-масс-спектрометрии и газожидкостного хроматографического анализа подтверждено, что конечными продуктами анодного окисления диметилсульфоксида в кислой среде являются диметилсульфон и метансульфокислота, а в щелочной среде – диметилсульфон и метансульфонат натрия. Предложена схема электрохимического поведения диметилсульфоксида на платиновом электроде.
КОНФЛИКТ ИНТЕРЕСОВ
Авторы заявляют, что у них нет конфликта интересов.
About the authors
K. O. Ibragimova
Dagestan State University
Author for correspondence.
Email: camila.06@mail.ru
Russian Federation, Makhachkala
Sh. Sh. Khidirov
Dagestan State University
Email: camila.06@mail.ru
Russian Federation, Makhachkala
S. I. Suleymanov
Dagestan State University; Far Eastern Federal Research Center of the Russian Academy of Sciences
Email: s.sagim.i@yandex.ru
Russian Federation, Makhachkala; Makhachkala
References
- Куриганова, А.Б., Леонтьева, Д.В., Смирнова Н.В. О механизме электрохимического диспергирования платины под действием переменного тока. Изв. АН. Сер. хим. 2015. Т. 64. С. 2769. [Kuriganova, A.B., Leontyeva, D.V., and Smirnova, N.V., On the mechanism of electrochemical dispersion of platinum under the action of alternating current, Russ. Chem. Bull., 2015, vol. 64, p. 2769.] doi: 10.1007/s11172-015-1223-9
- Вотченко, Е.Ю., Кубанова, М.С., Смирнова, Н.В. Петрий, О.А. Адсорбция и электроокисление диметилового эфира на платинированном платиновом электроде в сернокислом растворе. Электрохимия. 2010. Т. 46. С. 221. [Votchenko, E.Y., Kubanova, M.S., Smirnova, N.V., and Petrii O.A., Adsorption and electrooxidation of dimethyl ether on platinized platinum electrode in sulfuric acid solution, Russ. J. Eleсtrochem., 2010, vol. 46, p. 212.] doi: 10.1134/S1023193510020138
- Ахмедов, М.А., Хидиров, Ш.Ш. Электрокаталитическое окисление этанола на платиновом электроде в растворе метансульфокислоты. Электрохимия. 2022. Т. 58. С. 273. [Akhmedov, M.A. and Khidirov, Sh.Sh., Electrocatalytic oxidation of ethanol on the platinum electrode in solution of methanesulfonic acid, Russ. J. Electrochem., 2022, vol. 58, p. 482.] doi: 10.1134/S1023193522060039
- Du, К.S. and Huang, J.M., Electrochemical synthesis of methyl sulfoxides from thiophenols / thiols and dimethyl sulfoxide, Green Chem., 2018, vol. 20, p. 1141. doi: 10.1039/C7GC03864J
- Конарев, А.А. Электрохимический синтез метаниловой кислоты. Электрохимия. 2022. Т. 58. С. 40. [Konarev, A.A., Electrochemical synthesis of metanilic acid, Russ. J. Electrochem., 2022, vol. 58, p. 83.] doi: 10.1134/S1023193522010086
- Gasteiger, H.A., Markovic, N., Ross, P.N., and Cairns, E.J., Methanol electrooxidation on well-characterized Pt–Ru alloys, J. Phys. Chem., 1993, vol. 97, p. 12020. DOI :10.1021/j100148a030
- Мауэр, Д.К., Беленов, С.В., Никулин, А.Ю., Топорков, Н.В. Активность и стабильность PtCo/С электрокатализаторов окисления спиртов. Конденсированные среды и межфазные границы. 2023. Т. 25. С. 72. [Mauer, D.K., Belenov, S.V., Nikulin, A. Yu, and Toporkov, N.V., Activity and stability of PtCo/C electrocatalysts for alcohol oxidation, Condensed matter and interfaces. 2023, vol. 25, p. 72.] doi: 10.17308/kcmf.2023.25/10976
- Xianhong, Wu, Wang, Yi, and Zhong-Shuai, Wu, Design principle of electrocatalysts for the electrooxidation of organics, J. Chem., 1995, vol. 8, p. 2594. https://doi.org/10.1016/j.chempr.2022.07.010
- Vandermeeren, L., Leyssens, T., and Peeters, D., Theoretical study of the properties of sulfone and sulfoxide functional groups, J. Mol. Str. THEOCHEM, 2007, vol. 804, p. 1. doi: 10.1016/J.THEOCHEM.2006.10.006
- Zhang, L., Wang, Y., Xu, Z., and Li, H., Comparison of the blue-shifted C-D stretching vibrations for DMSO-d6 in imidazolium-based room temperature ionic liquids and in water, J. Phys. Chem. 2009, vol. 113, p. 5978. doi: 10.1021/jp900139z
- Izutsu, K., History of the use of nonaqueous media in electrochemistry, J. Solid State Electrochem., 2011, vol. 15, p. 1719. doi: 10.1007/s10008-010-1246-y
- Зюбина, Т.С., Сангинов, Е.А., Зюбин, А.С., Добровольский, Ю.А., Волохов, В.М., Ключарев, В.В., Букун, Н.Г. Полимерный электролит на основе мембраны Нафион, пластифицированной диметилсульфоксидом, и особенности транспорта в нем ионов щелочных металлов. Квантово-химическое моделирование. Журн. неорган. химии. 2020. Т. 65. С. 360. [Zyubina, T.S., Sanginov, E.A., Zyubin, A.S., Dobrovolskii, Y.A., Volokhov, V.M., Klyucharev, V.V., and Bukun, N.G., Polymeric electrolyte comprising a nafion membrane plasticized by dimethylsulfoxide and the transport specifics of alkali metal ions in it:guantum-chemical simulation, Russ. J. Inorg., 2020, vol. 65, p. 378.] DOI:
- Kayumov, R.R. Sanginov, E.A., Shmygleva, L.V., Radaeva, A.P., Karelin, A.I., Zyubin, A.S., Zyubina, T.S., Anokhin, D.V., Ivanov, D.A., and Dobrovolsky, Y.A., Ammonium form of Nafion plasticized by dimethyl sulfoxide, J. Electrochem. Soc., 2019, vol. 166, p. F3216. doi: 10.1149/2.0261907jes
- Каюмов, Р.Р., Сангинов, Е.А., Золотухина, Е.В., Герасимова, Е.В., Букун, Н.Г., Укше, А.Е., Добровольский, Ю.А. “Самоувлажняемые” нанокомпозитные мембраны Nafion/Pt для низкотемпературных твердополимерных топливных элементов. Альтернативн. энергетика и экология. 2013. С. 40. [Kayumov, R.R., Sanginov, E.A., Zolotukhina, E.V., Gerasimova, E.V., Bukun, N.G., Ukshe, A.E., and Dobrovolsky, Yu.A., “Self-humidifying” nanocomposite membrane Nafion/Pt for low-temperature solid polymer fuel cells, Al’ternativnaya Energetika i Ekologiya (in Russian), 2013, p. 40.]
- Sobkowski, J. and Szklarczyk, M., The behavior of high polar organic solvents on platinum electrodes-I. The study of adsorption and electrode reactions of dimethylsulphoxide, J. Electrochim. Acta, 1980, vol. 25, p. 383. https://doi.org/10.1016/0013-4686(80)87027-7
- Алексеева, Е.Ю., Сафонов, В.А., Петрий, О.А. Адсорбционное поведение органических соединений на границе раздела возобновляемый платиновый электрод/диметилсульфоксид. Электрохимия. 1985. Т. 21. С. 1305. [Alekseeva, E.Y., Safonov, V.A., and Petrii, O.A., The adsorption behavior of organic-compounds at the dimethylsulfoxide renewable platinum-electrode interface, Russ. J. Electrochem., 1985, vol. 21, p. 1305 (in Russian).]
- Кононова, Е.Г., Родникова, М.Н., Солонина, И.А., Широкова, Е.В. ИК-спектроскопия растворов диметилсульфоксида в моноэтаноламине. Журн. физ. химии. 2020. Т. 94. С. 1624. [Kononova, E.G., Rodnikova, M.N., Solonina I.A., and Shirokova E.V., Ir spectroscopy of solutions of dimethylsulfoxide in monoethanolamine, Russ. J. Phys. Chem., 2020, vol. 94, p. 2233.] doi: 10.31857/S0044453720110151
- Barone, V. and Cossi, M., Quantum Calculation of Molecular Energies and Energy Gradients in Solution by a Conductor Solvent Model, J. Phys. Chem. А, 1998, vol. 102, p. 1995. https://doi.org/10.1021/jp9716997
- Tanaskovic, V., Pasti, I.A., Gavrilov, N., and Mentus, S.V., Dimethylsulfoxide as a modifier of platinum electrocatalytic activity toward oxygen reduction reaction in aqueous solutions: Combined theoretical and experimental study, Electroanalyt. Chem., 2014, vol. 1, p. 11. doi: 10.1016/j.jelechem.2013.12.020
- Kretschmer, U., The 33S Nuclear Quadrupole Hyperfine Coupling in the Rotational Spectrum of 33S Dimetilsulfoxide, Z. Naturforsch. A. doi: 10.1515/zna-1995–0706
- Vielstich, W. and Wasmus, S., Electro-oxidation and reduction of dimethylsulfoxide and sulfolane in aqueous acid solution-an on-line MS study, Electrochim. Acta, 1993, vol. 38, p. 175. https://doi.org/10.1016/0013-4686(93)85126-J
- Devadoss, V., Basha, C.A., and Jayaraman, K., Direct Oxidation of Dimethylsulphoxide and Reduction of Maleic Acid in Methanesulphonic Acid Medium, Int. J. Chem. React. Eng., 2009, vol. 7, p. 37. doi: 10.2202/1542-6580.2079
- Bilous, T.A., Tulskaya, A.G., and Matrunchyk, O.L., The choice of anode material for the electrochemical synthesis of peroxyacetic acid, J. Prom. Mat. and Proc. Appl. Electrochem., 2017, p. 270.
- Arsene, C., Barnes, I., and Becker, K.H., FT-IR product study of the photo-oxidation of dimethyl sulfide: Temperature and O2 partial pressure dependence, J. Phys. Chem. Chem. Phys., 1999, vol. 1, p. 5463. doi: 10.1039/a907211j
- Дамаскин, Б.Б., Некрасов, Л.Н., Петрий, О.А., Подловченко, Б.И., Стенина, Е.В., Федорович, Н.В., Электродные процессы в растворах органических соединений, ред. Б.Б. Дамаскин, М.: Изд-во МГУ, 1985. 312 с. [Damaskin, B.B., Nekrasov, L.N., Petriy, O.A., Podlovchenko, B.I., Stenina, E.V., and Fedorovich, N.V., Electrode processes in solutions of organic compounds (in Russian), Ed. Damaskin, B.B., Moscow: MSU Publishing House, 1985. 312 p.]
- Хибиев, Х.С., Омарова, К.О., Хидиров, Ш.Ш. Электрохимический синтез диметилсульфона и метансульфокислоты из диметилсульфоксида. Электрохимия. 2010. Т. 46. С. 1021. [Khibiev, K.S., Omarova, K.O., and Khidirov, Sh.Sh., Electrochemical synthesis of dimethilsulfone and methansulfonic acid from dimethilsulfoxide, Russ. J. Eleсtrochem., 2010, vol. 46, p. 960.] doi: 10.1134/S1023193510080161
- Хидиров, Ш.Ш., Омарова, К.О., Хибиев, Х.С. Способ получения диметилсульфона. Пат. 2377235 (Россия). 2009. [Khidirov, Sh.Sh., Omarova, K.O., and Khibiev, Kh.S. Method of producing dimethyl sulfone, Pat. 2377235 (Russia), 2009.]
- Хидиров, Ш.Ш., Омарова, К.О., Хибиев, Х.С. Способ получения метансульфокислоты. Пат. 2344126 (Россия). 2009. [Khidirov, Sh.Sh., Omarova, K.O., and Khibiev Kh.S. Method of producing methanesulfonic acid, Pat. 2344126 (Russia), 2009.]
- Хидиров, Ш.Ш., Ахмедов, М.А., Хибиев, Х.С., Омарова, К.О. Способ получения метансульфокислоты, Пат. 2496772 (Россия). 2013. [Khidirov, Sh.Sh., Akhmedov, M.A., Khibiev, Kh.S., and Omarova, K.O., Method of producing methanesulfonic acid, Pat. 2496772 (Russia), 2013.]
- Ахмедов, М.А. Ибрагимова, К.О., Хидиров, Ш.Ш. Сравнительная оценка адсорбции диметилсульфоксида и диметилсульфона на гладком платиновом электроде в кислой среде. Электрохимия. 2020. Т. 56. С. 416. [Akhmedov, M.A., Ibragimova, K.O., and Khidirov, Sh.Sh., Comparative evaluation of dimethylsulfoxide and dimethylsulfone adsorption on a smooth platinum electrode in acidic, Russ. J. Electrochem., 2020, vol. 56, p. 396.] doi: 10.31857/S0424857020040027
- Меньщиков, В.С., Беленов, С.В., Новомлинский, И.Н., Никулин, А.Ю., Гутерман, В.Е. Многокомпонентные платиносодержащие электрокатализаторы в реакциях восстановления кислорода и окисления метанола. Электрохимия. 2021. Т. 57. С. 331. [Menshchikov, V.S., Belenov, S.V., Novomlinsky I.N., Nikulin A.Y., and Guterman V.E., Multi-component platinum-containing electrocatalysts in the reactions of oxygen reduction and methanol oxidation, Russ. J. Electrochem., 2021, vol. 57, p. 587.] doi: 10.1134/S1023193521060070
- Arwa, A.D., Lionel, D., Florence, F., Aymen, А.А., Hayet, D., Thomas, L., Isabelle, S., Samir, T., and Abdeltif, A., Efficiency of DMSO as hydroxyl radical probe in an Electrochemical Advanced Oxidation Process -Reactive oxygen species monitoring and impact of the current density, Electrochim. Acta, 2017, vol. 246, p. 1. https://doi.org/10.1016/j.electacta.2017.06.024
- Курмаз, В.А., Коткин, А.С., Симбирцева, Г.В. Исследование электрохимического поведения вторичных продуктов захвата ОН-радикалов молекулами диметилсульфоксида методами лазерной фотоэмиссии. Вестн. моск. ун-та. Сер. 2. Химия. 2013. Т. 54. С. 321. [Kurmaz, V.A., Kotkin, A.S., and Simbirtseva, G.V., Investigation of Electrochemical Behavior of Secondary Products of Capture of OH Radicals by Dimethyl Sulfoxide Molecules Using Laser Photoemission, Moscow university chemistry bulletin 2013, vol. 68, no. 6, p. 273.] doi: 10.3103/S0027131413060023
- Kurmaz, V.A., Kotkin, A.S., and Simbirtseva, G.V., Laser photoemission generation and electrochemical study of methyl radicals as secondary products of OH radicals capture by dimethyl sulfoxide molecules, J. Solid State Electrochem., 2011, vol. 15, p. 2119. doi: 10.1007/s10008-011-1534-1
- Damjanovic, A., Dey, A., and Bockris, J.O’M., Kinetics of Oxygen Evolution and Dissolution on Rh, Ir and Pt-Rh Alloy Electrodes, J. Electrochem. Soc., 1966, vol. 113, p. 739. doi: 10.1149/1.2424104
- Тарасевич, М.Р. Обобщенное кинетическое уравнение электровосстановления молекулярного кислорода. Электрохимия. 1981. Т.17. С. 1208. [Tarasevich, M.R., Generalized kinetic equation for electroreduction of molecular oxygen, Russ. J. Electrochem., 1981, vol. 17, p. 1208 (in Russian).]
- Markovic, N.M., Gasteiger, H.A., Grgur, B.N., and Ross P.N., Oxygen reduction reaction on Pt(111): effects of bromide, J. Electroanalyt. Chem. 1999, vol. 467, p. 157. https://doi.org/10.1016/S0022-0728(99)00020-0
- Wang, J.X., Markovic, N.M., and Adzic, R.R., Kinetic Analysis of Oxygen Reduction on Pt(111) in Acid Solutions: Intrinsic Kinetic Parameters and Anion Adsorption Effects, J. Phys. Chem., 2004, vol. 108, p. 4127. https://doi.org/10.1021/jp037593v
- Тарасевич, М.Р., Хрущева, Е.И. Кинетика сложных электрохимических реакций, М.: Наука, 1981. 104 с. [Tarasevich, M.R. and Khrushcheva, E.I., Kinetics of complex electrochemical reactions (in Russian), Moscow: Science, 1981. 104 p.]
- Thompsett, D., Vielstich, W., Gasteiger, H.A., and Lamm, A.N.Y., Handbook of Fuel Cells – Fundamentals, Technology and Applications, John Wiley & Sons, Ltd., 2003, vol. 3, p. 467.
- Дамаскин, Б.Б., Петрий, О.А. Введение в электрохимическую кинетику, М.: Высшая школа, 1983. 400 с. [Damaskin, B.B. and Petrii, O.A., Introduction to electrochemical kinetics (in Russian), Moscow: Higher School, 1983. 400 p.
- Березина, Н.П. Электрохимия мембранных систем. Краснодар: Изд. Кубан. гос. ун-та, 2009. 137 с. [Berezina, N.P. Electrochemistry of membrane systems (in Russian), Krasnodar: Kuban State University, 2009. 137 p.]
- Becke, A.D., A new mixing of Hartree–Fock and local density‐functional theories, J. Phys. Chem., 1993, vol. 98, p. 1372. https://doi.org/10.1063/1.464304
- Weigenda, F. and Ahlrichs, R., Balanced basis sets of split valence, triple zeta valence and quadruple zeta valence quality for H to Rn: Design and assessment of accuracy, J. Phys. Chem., 2005, p. 3297. https://doi.org/10.1039/B508541A
- Neese, F., The ORCA program system, WIREs Comput. Mol. Sci., 2012, vol. 2, p. 73. https://doi.org/10.1002/wcms.81
- Багоцкий, В.С. Основы электрохимии. М.: Химия, 1988. 400 с. [Bagotsky, V.S. Basics of Electrochemistry (in Russian), Moscow: Khimiya, 1988. 400 p. ]
- Сафонова, Т.Я., Смирнова, Н.В., Петрий О.А. Адсорбция этиленгликоля на платинированном платиновом электроде из кислых растворов. Электрохимия. 2006. Т. 42. С. 1104. [Safonova, T.Ya., Petrii, O.A., Smirnova, N.V., Adsorption of Polyethylene Glycol on Platinum Electrode from Acidic Solutions, Russ. J. Eleсtrochem., 2006, vol. 42, p. 995.] doi: 10.1134/S1023193506090163
- Ramakrishna, K., Raman, V.V.S.S.N., Rao, N.K., Prasad, A.V.S.S., and Reddy K.S., Development and validation of GC–MS method for the determination of methyl methanesulfonate and ethyl methanesulfonate in imatinib mesylate, J. Pharm. Biomed. Anal., 2008, vol. 46, p. 780. doi: 10.1016/j.jpba.2007.11.013
- Кириллов, С.А., Горобец, М.И., Гафуров, М.М., Рабаданов, К.Ш., Атаев, М.Б. Температурная зависимость ассоциативных равновесий ДМСО по спектрам комбинационного рассеяния. Журн. физ. хим. 2014. Т. 88. С. 140. [Kirillov, S.A., Gorobets, M.I., Gafurov, M.M., Rabadanov, K.S., and Ataev, M.B., Temperature Dependence of Associative Equilibria of DMSO According to Raman Scattering Spectra, Russ. J. Phys. Chem., 2014, vol. 88, p. 175.] doi: 10.1134/S0036024414010130
- Затикян, А.Л., Казоян, Е.А., Бонора, С., Маркарян, Ш.А. Колебательные спектры аскорбиновой кислоты в сульфоксидных растворителях. Журн. прикл. спектроскопии. 2008. Т. 75. С. 653. [Zatikyan, A.I., Kazoyan, E.A., Markaryan, S.A., and Bonora, S., Ascorbic acid vibrational spectra in sulfoxide solvents, J. Applied Spectroscopy, 2008, vol. 75, p. 664.] doi: 10.1007/s10812-008-9105-7
- Ахмедов, М.А., Хидиров, Ш.Ш., Сулейманов, С.И. Электрохимическое поведение диметилсульфона на платиновом электроде. Электрохимия. 2023. Т. 59. С. 674. [Akhmedov, M.A., Khidirov, Sh. Sh., and Suleimanov, S.I., Electrochemical Behavior of Dimethyl Sulfone on Platinum Electrode, Russ. J. Eleсtrochem., 2023, vol. 59, p. 856.] doi: 10.31857/S0424857023110038
Supplementary files










