Effect of CO2 Additives on the Non-Catalytic Conversion of Natural Gas into Syngas and Hydrogen
- Authors: Akhunyanov A.R.1, Arutyunov A.V.1, Vlasov P.A.1, Smirnov V.N.1, Arutyunov V.S.1
-
Affiliations:
- Semenov Federal Research Center for Chemical Physics, Russian Academy of Sciences
- Issue: Vol 64, No 2 (2023)
- Pages: 153-172
- Section: ARTICLES
- URL: https://medbiosci.ru/0453-8811/article/view/136993
- DOI: https://doi.org/10.31857/S0453881123020016
- EDN: https://elibrary.ru/GMLYME
- ID: 136993
Cite item
Full Text
Abstract
Abstract—
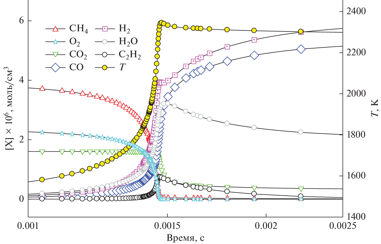
A kinetic analysis of the non-catalytic carbon dioxide reforming of CH4 has been carried out in the temperature range of 1500–1800 K under conditions of variable temperature behind the reflected shock wave. The stages of conversion of methane into synthesis gas, the characteristic time intervals corresponding to these stages, and the most important elementary reactions have been established. At the first stage, as a result of thermal pyrolysis, methane molecules are sequentially converted into ethane, ethylene, and then acetylene, the most stable hydrocarbon in this temperature range. At the second stage, acetylene is normally converted into CO and H2, being accompanied by the formation soot particles in the case of rich mixtures. The conversion of CO2 proceeds at the second and third stages, when CH4 conversion is almost complete. It occurs as a result of the interaction of CO2 molecules with H● atoms arising in the reacting system and leads to the formation of CO molecules and OH● radicals. Acetylene is predominantly consumed in the reaction with OH radicals. A high concentration of acetylene during methane reforming promotes the intensive formation of soot nuclei, for which acetylene makes the highest contribution to the rate of their surface growth. At the same time, acetylene itself is not a precursor of soot particle nuclei, which are mainly formed from \({{{\text{C}}}_{{\text{3}}}}{\text{H}}_{3}^{\centerdot }\) radicals.
About the authors
A. R. Akhunyanov
Semenov Federal Research Center for Chemical Physics, Russian Academy of Sciences
Email: shocktube@yandex.ru
Russia, 119991, Moscow, Kosygin st., 4
A. V. Arutyunov
Semenov Federal Research Center for Chemical Physics, Russian Academy of Sciences
Email: shocktube@yandex.ru
Russia, 119991, Moscow, Kosygin st., 4
P. A. Vlasov
Semenov Federal Research Center for Chemical Physics, Russian Academy of Sciences
Author for correspondence.
Email: shocktube@yandex.ru
Russia, 119991, Moscow, Kosygin st., 4
V. N. Smirnov
Semenov Federal Research Center for Chemical Physics, Russian Academy of Sciences
Email: shocktube@yandex.ru
Russia, 119991, Moscow, Kosygin st., 4
V. S. Arutyunov
Semenov Federal Research Center for Chemical Physics, Russian Academy of Sciences
Email: shocktube@yandex.ru
Russia, 119991, Moscow, Kosygin st., 4
References
- Брагинский О.Б. Мировая нефтехимическая промышленность. Москва: Наука, 2003. 566 с.
- Брагинский О.Б. Нефтегазовый комплекс мира. Москва: Изд-во “Нефть и газ” РГУ нефти и газа им. Губкина, 2006. 640 с.
- Савченко В.И., Макарян И.А., Арутюнов В.С. // Мир нефтепродуктов. Вестник нефтяных компаний. 2013. № 11. С. 3.
- Rostrup-Nielsen J.R. // Catal. Today. 2002. V. 71. P. 243.
- Арутюнов В.С., Голубева И.А., Елисеев О.Л., Жагфаров Ф.Г. Технология переработки углеводородных газов. Москва: Изд-во Юрайт, 2020. 723 с.
- Gregoire Padro C.E., Lau F. // Adv. Hydrogen Energy. 2002.
- Bockris J.O’.M. // Int. J. Hydrogen Energy. 2013. V. 38. P. 2579.
- Kalamaras C.M., Efstathiou A.M. / Hindawi Publishing Corporation. Conference Papers in Energy, 2013. https://doi.org/10.1155/2013/690627
- Aasberg-Petersen K., Hansen J.-H.B., Christensen T.S., Dybkjaer I., Christensen P.S., Nielsen C.S., Madsen S.E.L.W., Rostrup-Nielsen J.R. // Appl. Catal. 2001. V. 221. P. 379.
- Aasberg-Petersen K., Dybkjær I., Ovesen C.V., Schjødt N.C., Sehested J., Thomsen S.G. // J. Natur. Gas Sci. Eng. 2011. V. 3. P. 423. https://doi.org/10.1016/j.jngse.2011.03.004
- Арутюнов В.С., Шмелев В.М., Лобанов И.Н., Политенкова Г.Г. // Теоретические основы химической технологии. 2010. Т. 44. №. 1. С. 21. https://doi.org/10.1134/S0040579510010033
- Arutyunov V.S., Shmelev V.M., Sinev M.Yu., Shapovalova O.V. // Chem. Eng. J. 2011. V. 291. P. 176. https://doi.org/10.1016/j.cej.2011.03.084
- Арутюнов В.С., Савченко В.И., Седов И.В., Шмелев В.М., Никитин А.В., Фокин И.Г., Эксанов С.А., Шаповалова О.В., Тимофеев К.А. // Журнал прикладной химии. 2016. Т. 89. № 11. С. 1450.
- Алдошин С.М., Арутюнов В.С., Савченко В.И., Седов И.В., Никитин А.В., Фокин И.Г. // Химическая физика. 2021. Т. 40. № 5. С. 46. https://doi.org/10.31857/S0207401X21050034
- Арутюнов В.С., Никитин А.В., Стрекова Л.Н., Сав-ченко В.И., Седов И.В., Озерский А.В., Зимин Я.С. // Журнал технической физики. 2021. Т. 91. № 5. С. 713. https://doi.org/10.21883/JTF.2021.05.50681.265-20
- Van den Schoor F., Verplaetsen F. // J. Hazard. Mater. 2006. V. 128. I. 1. P. 1. https://doi.org/10.1016/j.jhazmat.2005.06.043
- Wan X., Zhang Qi, Lian Z. // Ind. Eng. Chem. Res. 2016. V. 55. I. 30. P. 8472. https://doi.org/10.1021/acs.iecr.6b01012
- Максимов Ю.М., Кирдяшкин А.И., Аркатова Л.А. // Катализ в промышленности. 2013. Т. 2. С. 45.
- Dorofeenko S.O., Polianczyk E.V. // Chem. Eng. J. 2016. V. 292. P. 183. https://doi.org/10.1016/j.cej.2016.02.013
- Dorofeenko S.O., Polianczyk E.V. // Int. J. Hydrogen Energy. 2019. V. 44. P. 30039. https://doi.org/10.1016/j.ijhydene.2019.09.208
- Arutyunov V.S., Shmelev V.M., Rakhmetov A.N., Shapovalova O.V. // Ind. Eng. Chem. Res. 2014. V. 53. I. 5. P. 1754. http://pubs.acs.org/doi/ipdf/10.1021/ie4022489
- Арутюнов В.С., Савченко В.И., Седов И.В., Шмелев В.М., Никитин А.В., Фокин И.Г., Эксанов С.А., Шаповалова О.В., Тимофеев К.А. // Журнал прикладной химии. 2016. Т. 89. № 11. С. 1450.
- Nikitin A., Ozersky A, Savchenko V., Sedov I., Shmelev V., Arutyunov V. // Chem. Eng. J. 2019. V. 377. ISCRE 25 Special Issue: Bridging Science and Technology. 2019. Article 120883. https://doi.org/10.1016/j.cej.2019.01.162
- Arutyunov V., Nikitin A., Strekova L., Savchenko V., Sedov I. // Catal. Today. 2021. V. 379. P. 23. https://doi.org/10.1016/j.cattod.2020.06.057
- Арутюнов В.С., Стрекова Л.Н., Савченко В.И., Седов И.В., Никитин А.В., Елисеев О.Л., Крючков М.В., Лапидус А.Л. // Нефтехимия. 2019. Т. 59. № 3. С. 246. https://doi.org/10.1134/S002824211903002X
- Шмелев В.М. // Химическая физика. 2010. Т. 29. № 7. С. 27.
- Shmelev V.M. // Combust. Sci. Technol. 2014. V. 186. I. 7. P. 943. https://doi.org/10.1080/00102202.2014.890601
- Шмелев В.М., Николаев В.М. // Химическая физика. 2016. Т. 35. № 3. С. 56.
- Shmelev V. // Energy Power Eng. 2017. V. 9. P. 366. http://www.scirp.org/journal/epe
- Wang L., Liu Z., Chen S., Zheng C., Li. J. // Energy Fuels. 2013. V. 27. I. 12. P. 7602. https://doi.org/10.1021/ef401559r
- Lavoe. J.-M. // Front. Chem. 2014. V. 2(81). https://doi.org/10.3389/fchem.2014.00081
- Shah Y.T., Gardner T.H. // Catal. Rev. 2014. V. 56. I. 4. P. 476. https://doi.org/10.1080/01614940.2014.946848
- Wittich K., Schunk S.A., Kramer M., Bottke N. // Chem. Cat. Chem. 2020. V. 12. P. 2130. https://doi.org/10.1002/cctc.201902142
- Савченко В.И., Шаповалова О.В., Никитин А.В., Ару-тюнов В.С., Седов И.В. // Журнал прикладной химии. 2018. Т. 91. № 9. С. 1332. https://doi.org/10.1134/S0044461818090128
- Савченко В.И., Никитин А.В., Озерский А.В., Седов И.В., Арутюнов В.С. // Нефтехимия. 2020. Т. 60. № 4. С. 538. https://doi.org/10.31857/S0028242120040139
- Савченко В.И., Зимин Я.С., Никитин А.В., Седов И.В., Арутюнов В.С. // Нефтехимия. 2021. Т. 61. № 4. С. 520. https://doi.org/10.1134/S0965544121070021
- Бузилло Э., Савченко В.И., Арутюнов В.С. // Нефтехимия. 2021. Т. 61. № 6. С. 820. https://doi.org/10.1134/S0965544121110037
- Савченко В.И., Зимин Я.С., Бузилло Э., Никитин А.В., Седов И.В., Арутюнов В.С. // Нефтехимия. 2022. Т. 62. № 3. С. 375. https://doi.org/10.1134/S0965544122050048
- Duff R.E., Bauer S.H. // J. Chem. Phys. 1962. V. 36. P. 1754.
- Warnatz J.,·Maas U., Dibble R.W. Combustion: Physical and Chemical Fundamentals, Modeling and Simulation, Experiments, Pollutant Formation. Springer, 2006. 378 p.
- Healy D., Kalitan D.M., Aul C.J., Petersen E.L., Bourque G., Curran H.J. // Energy Fuels. 2010. V. 24. I. 3. P. 1521.
- Chemical-Kinetic Mechanisms for Combustion Applications. https://web.eng.ucsd.edu/mae/groups/combustion/mechanism.html) Date of access 30.11.2022.
- Konnov A.A. // 28-th Symposium (Int.) on Combustion. Edinburgh. Abstr. Symp. Pap. 2000. P. 317.
- Zhang Q., Liu Y., Chen T., Yu X., Wang J., Wang T. // Chem. Eng. Sci. 2016. V. 142. P. 126.
- Smith G.P., Golden D.M., Frenklach M., Moriarty N.W., Eiteneer B., Goldenberg M., Bowman C.T., Hanson R.K., Song S., Gardiner W.C.Jr.; Lissianski V., Qin Z. Available at http://combustion.berkeley.edu/gri-mech/version30/text30.html.
- Healy D., Kalitan D.M., Aul C.J., Petersen E.L., Bourque G., Curran H.J. // Energy Fuels. 2010. V. 24. № 3. P. 1521.
- Rasmussen C.L., Jakobsen J.G., Glarborg P. // Int. J. Chem. Kinet. 2008. V. 40. № 12. P. 778.
- Fomin A., Zavleva T., Alekseev V., Rahinov I., Cheskis S., Konnov A. // Combustion and Flame. 2016. V. 171. P. 198.
- San Diego Mechanism. http://web.eng.ucsd.edu/mae/ groups/combustion/mechanism.html
- Wang H., You X., Joshi A. V., Davis S. G., Laskin A., Egolfopoulos F., Law C. K. USCMech Version II. High-Temperature Combustion Re-action Model of H2/CO/C1-C4 Compounds. http://ignis.usc.edu/ Mechanisms/USC-Mech%20II/USC_Mech%20II.htm, May 2007.
- Беляев А.А., Никитин А.В., Токталиев П.Д., Власов П.А., Озерский А.В., Дмитрук А.С., Арутюнов А.В., Арутюнов В.С. // Горение и взрыв. 2018. Т. 11. № 1. С. 19.
- Li C., Kuan B., Lee W.J., Burke N., Patel J. // Chem. Eng. Sci. 2018. V. 187. P. 189.
- Fotovat F., Rahimpour M. // Int. J. Hydrogen Energy. 2021. V. 46. № 37. P. 19312.
- Capriolo C., Alekseev V.A., Konnov A.A. // Combustion and Flame. 2018. V. 197. P. 11.
- Savchenko V.I., Nikitin A.N., Zimin Y.S., Ozerskii A.V., Sedov I.V., Arutyunov V.S. // Chem. Eng. Res. Des. 2021. V. 175. P. 250.
- Zhang Q., Wang J., Wang T. // Ind. Eng. Chem. Res. 2016. V. 55. P. 8383.
- Wang T., Liu Y., Wang D. // Chem. Eng. J. 2012. V. 207–208. P. 235.
- Liu Y., Zhang Q., Wang T. // Combust. Sci. Technol. 2017. V. 189. № 5. P. 908.
- Metcalfe W.K., Burke S.M., Ahmed S.S., Curran H.J. // J. Chem. Kinet. 2013. V. 45. P. 638.
- CHEMKIN-PRO Release 15101. Reaction Design:San Diego, 2010.
- Агафонов Г.Л., Билера И.В., Власов П.А., Жильцова И.В., Колбановский Ю.А., Смирнов В.Н., Тереза А.М. // Кинетика и катализ. 2016. Т. 57. № 5. С. 571.
- Власов П.А., Ахуньянов А.Р., Смирнов В.Н. // Кинетика и катализ. 2022. Т. 63. № 2. С. 160.
- Frenklach M., Mebel A.M. // Phys. Chem. Chem. Phys. 2020. V. 22. P. 5314.
Supplementary files




















