Transformations of Pd/(N-Heterocyclic Carbene) Molecular Complexes into a Nanosized Catalytic Systems in the Mizoroki–Heck Reaction
- Authors: Kostyukovich A.Y.1, Patil E.D.1, Burykina J.V.1, Ananikov V.P.1
-
Affiliations:
- Zelinsky Institute of Organic Chemistry RAS
- Issue: Vol 64, No 1 (2023)
- Pages: 53-64
- Section: ARTICLES
- URL: https://medbiosci.ru/0453-8811/article/view/137016
- DOI: https://doi.org/10.31857/S0453881123010033
- EDN: https://elibrary.ru/KGSNIQ
- ID: 137016
Cite item
Full Text
Abstract
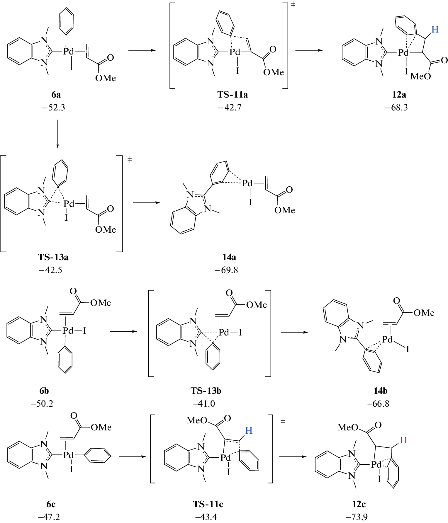
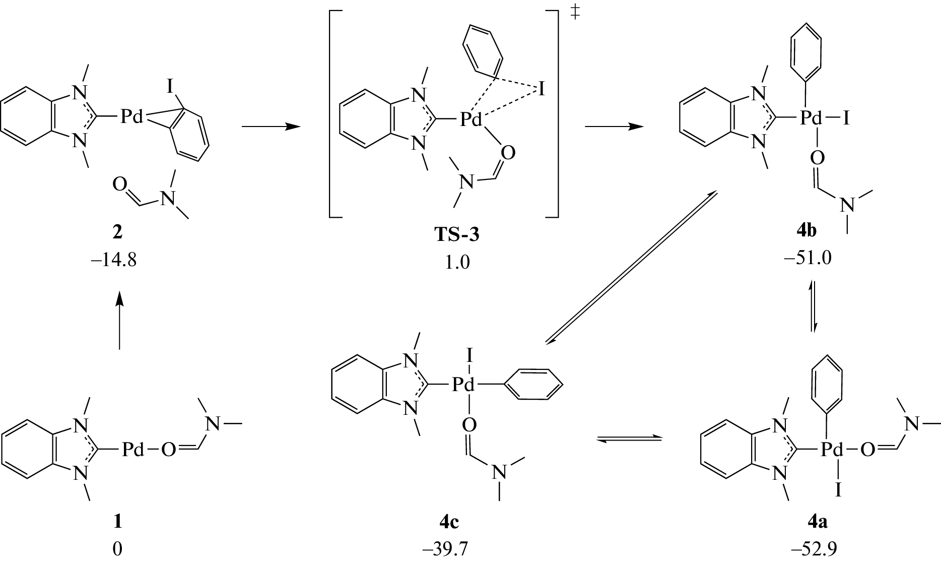
The mechanism of the formation of catalytic species in the practically important Mizoroki–Heck reaction, which is in demand in modern fine organic synthesis, has been studied. It has been shown that catalysts based on palladium complexes with N-heterocyclic carbene ligands are transformed into a “ligand-free” form under the conditions of the Mizoroki–Heck reaction. Molecular modeling performed using quantum chemical methods showed that these processes compete with the target reaction at three of the six stages of the catalytic cycle. The presence of catalyst transformation products in the reaction system was confirmed by methods of nuclear magnetic resonance and mass spectrometry. Important mechanistic data have been obtained for the rational design of catalytic systems for cross-coupling reactions.
About the authors
A. Yu. Kostyukovich
Zelinsky Institute of Organic Chemistry RAS
Email: val@ioc.ac.ru
Russia, 119991, Moscow, Leninsky prospekt, 47
E. D. Patil
Zelinsky Institute of Organic Chemistry RAS
Email: val@ioc.ac.ru
Russia, 119991, Moscow, Leninsky prospekt, 47
J. V. Burykina
Zelinsky Institute of Organic Chemistry RAS
Email: val@ioc.ac.ru
Russia, 119991, Moscow, Leninsky prospekt, 47
V. P. Ananikov
Zelinsky Institute of Organic Chemistry RAS
Author for correspondence.
Email: val@ioc.ac.ru
Russia, 119991, Moscow, Leninsky prospekt, 47
References
- Cazin C.S.J. N-Heterocyclic carbenes in transition metalcatalysis and organocatalysis. Springer Science & Business Media, 2010. 336 p. https://doi.org/10.1007/978-90-481-2866-2.
- Темкин О.Н. “Золотой век” гомогенно-каталитической химии алкинов: димеризация и олигомеризация алкинов // Кинетика и катализ. 2019. Т. 60. № 6. С. 683. https://doi.org/10.1134/S0453881119060157
- Díez-González S., Nolan S.P. Stereoelectronic parameters associated with N-heterocyclic carbene (NHC) ligands: a quest for understanding // Coord. Chem. Rev. 2007. V. 251. P. 874. https://doi.org/10.1016/j.ccr.2006.10.004
- Jacobsen H., Correa A., Poater A., Costabile C., Cavallo L. Understanding the M-(NHC) (NHC = N-heterocyclic carbene) bond // Coord. Chem. Rev. 2009. V. 253. P. 687. https://doi.org/10.1016/j.ccr.2008.06.006
- Van Leeuwen P.W. Decomposition pathways of homogeneous catalysts // Appl. Catal. A: Gen. 2001. V. 212. P. 61. https://doi.org/10.1016/S0926-860X(00)00844-9
- Magill A.M., Yates B.F., Cavell K.J., Skelton B.W., White A.H. Synthesis of N-heterocyclic carbene palladium (II) bis-phosphine complexes and their decomposition in the presence of aryl halides // Dalton Trans. 2007. V. 31. P. 3398. https://doi.org/10.1039/B706053J
- Курохтина А.А., Ларина Е.В., Лагода Н.А., Шмидт А.Ф. Роль процессов формирования–дезактивации катализатора и свидетельства нелинейного механизма в реакции Мицороки–Хека с арилхлоридами // Кинетика и катализ. 2022. Т. 63. № 5. С. 614–627. https://doi.org/10.31857/S0453881122050070
- Ларина Е.В., Курохтина А.А., Лагода Н.А., Шмидт А.Ф. Влияние добавок солей и фосфинов на состав активных комплексов палладия в реакции Мицороки–Хека с ангидридами ароматических кислот // Кинетика и катализ. 2022. Т. 63. № 2. С. 234. https://doi.org/10.31857/S0453881122020058
- Eremin D.B., Boiko D.A., Kostyukovich A.Yu., Burykina J.V., Denisova E.A., Anania M., Martens J., Berden G., Oomens J., Roithová J., Ananikov V.P. Mechanistic study of Pd/NHC-catalyzed sonogashira reaction: discovery of NHC-ethynyl coupling process // Chem. Eur. J. 2020. V. 26. P. 15672. https://doi.org/10.1002/chem.202003533
- Denisova E.A., Eremin D.B., Gordeev E.G., Tsedilin A.M., Ananikov V.P. Addressing reversibility of R-NHC coupling on palladium: is nano-to-molecular transition possible for the Pd/NHC System? // Inorg. Chem. 2019. V. 58. P. 12218. https://doi.org/10.1021/acs.inorgchem.9b01630
- Chernyshev V.M., Khazipov O.V., Shevchenko M.A., Chernenko A.Y., Astakhov A.V., Eremin D.B., Pasyukov D.V., Kashin A.S., Ananikov V.P. Revealing the unusual role of bases in activation/deactivation of catalytic systems: O-NHC coupling in M/NHC catalysis // Chem. Sci. 2018. V. 9. P. 5564. https://doi.org/10.1039/C8SC01353E
- Gaussian 16, Revision C.01, Frisch M.J., Trucks G.W., Schlegel H.B., Scuseria G.E., Robb M.A., Cheeseman J.R., Scalmani G., Barone V., Petersson G.A., Nakatsuji H., Li X., Caricato M., Marenich A.V., Bloino J., Janesko B.G., et al., Fox, D.J. Gaussian, Inc., Wallingford CT, 2016.
- Adamo C., Barone V. Toward reliable density functional methods without adjustable parameters: The PBE0 model // J. Chem. Phys. 1999. V. 110. P. 6158. https://doi.org/10.1063/1.478522
- Weigend F., Ahlrichs R. Balanced basis sets of split valence, triple zeta valence and quadruple zeta valence quality for H to Rn: Design and assessment of accuracy // Phys. Chem. Chem. Phys. 2005. V. 7. P. 3297. https://doi.org/10.1039/B508541A
- Grimme S., Ehrlich S., Goerigk L. Effect of the damping function in dispersion corrected density functional theory // J. Comput. Chem. 2011. V. 32. P. 1456. https://doi.org/10.1002/jcc.21759
- Scalmani G., Frisch M.J. Continuous surface charge polarizable continuum models of solvation. I. General formalism // J. Chem. Phys. 2010. V. 132. P. 114110. https://doi.org/10.1063/1.3359469
Supplementary files













