Влияние образования микрогетерогенных частиц сажи на газофазную конверсию метана в синтез-газ. Роль добавок Н2О и СО2
- Авторы: Ахуньянов А.Р.1, Власов П.А.1,2, Смирнов В.Н.1, Арутюнов А.В.1, Михайлов Д.И.1, Арутюнов В.С.1,3
-
Учреждения:
- ФГБУН ФИЦ химической физики им. Н.Н. Семенова РАН
- Национальный исследовательский ядерный университет “МИФИ”
- ФИЦ проблем химической физики и медицинской химии РАН
- Выпуск: Том 64, № 6 (2023)
- Страницы: 681-696
- Раздел: СТАТЬИ
- URL: https://medbiosci.ru/0453-8811/article/view/231790
- DOI: https://doi.org/10.31857/S0453881123060011
- EDN: https://elibrary.ru/JTLUGG
- ID: 231790
Цитировать
Полный текст
Аннотация
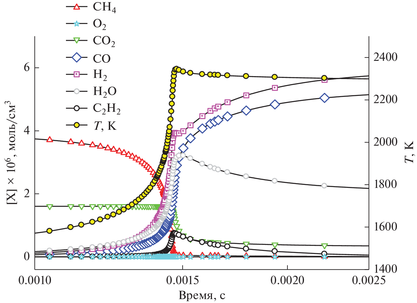
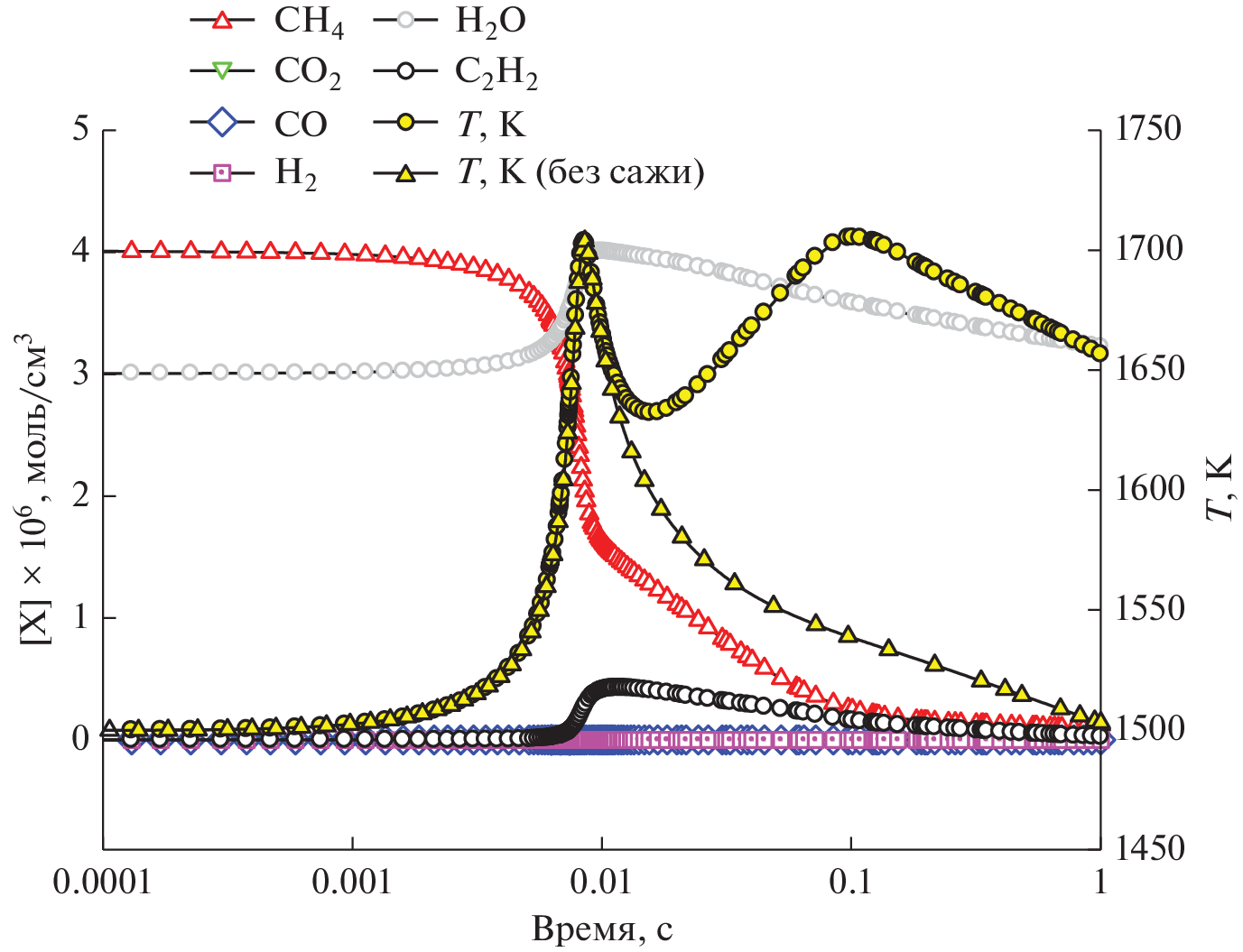
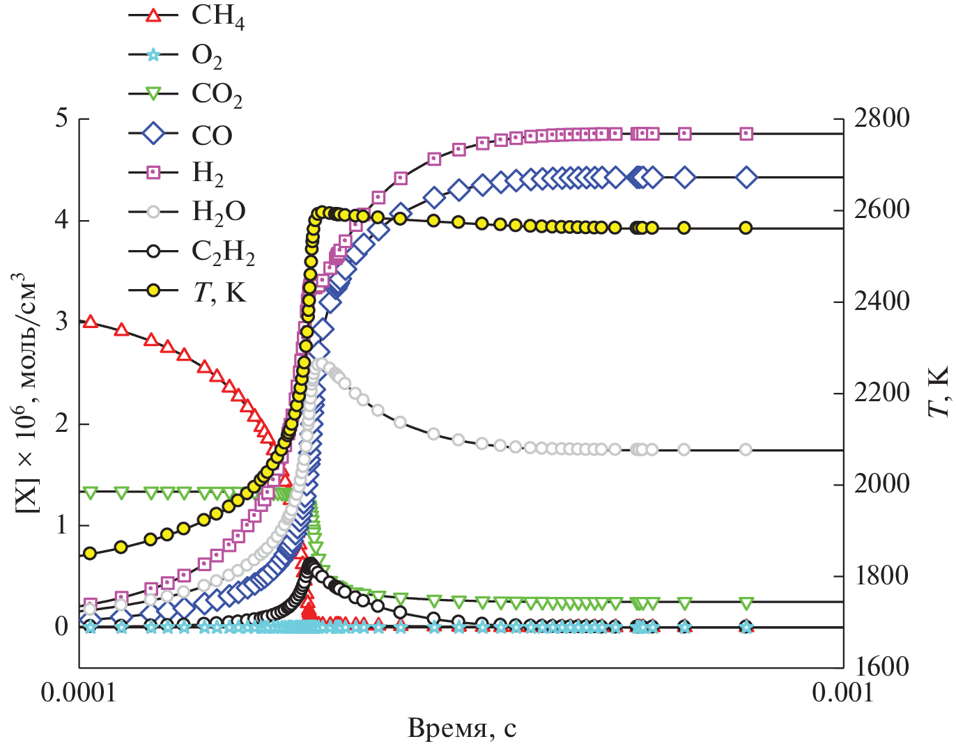
Методом кинетического моделирования исследовано влияние образования микрогетерогенных частиц сажи на газофазную конверсию в синтез-газ богатых смесей метана с кислородом в диапазоне температур от 1500 до 1800 К в условиях адиабатического реактора. Изучена также роль добавок СО2 и Н2О в этом процессе. Появление частиц сажи наблюдается в богатых смесях, начиная с коэффициента избытка топлива ϕ = 3.33. При относительно низких температурах ~1500 К образуется небольшое количество микрогетерогенных частиц сажи, которые не оказывают существенного воздействия на остальные компоненты реагирующей системы. Заметное влияние частиц сажи при этой температуре происходит при более высоком значении ϕ = 8.0. Наиболее ярко это проявляется на температурном профиле процесса, на котором при добавлении воды в реагирующую смесь наблюдаются два максимума на временах порядка 0.01 и 0.1 с. В случае смесей, содержащих СО2, второй максимум на профиле температуры почти не выражен. Сложный профиль температуры приводит к появлению второго максимума концентрации гидроксильных радикалов ОН на временах ~0.1 с. Добавки Н2О и СО2 позволяют в широких пределах изменять отношение Н2/СО в синтез-газе, что необходимо для синтеза различных продуктов. Поскольку содержащийся в реагирующей смеси СО2 в этих условиях реально вовлекается в химический процесс, его частичная рециркуляция из продуктов конверсии дает возможность снизить его эмиссию при получении синтез-газа.
Ключевые слова
Об авторах
А. Р. Ахуньянов
ФГБУН ФИЦ химической физики им. Н.Н. Семенова РАН
Автор, ответственный за переписку.
Email: shocktube@yandex.ru
Россия, 119991, Москва, ул. Косыгина, 4
П. А. Власов
ФГБУН ФИЦ химической физики им. Н.Н. Семенова РАН; Национальный исследовательский ядерный университет “МИФИ”
Email: shocktube@yandex.ru
Россия, 119991, Москва, ул. Косыгина, 4; Россия, 115409, Москва, Каширское шоссе, 31
В. Н. Смирнов
ФГБУН ФИЦ химической физики им. Н.Н. Семенова РАН
Email: shocktube@yandex.ru
Россия, 119991, Москва, ул. Косыгина, 4
А. В. Арутюнов
ФГБУН ФИЦ химической физики им. Н.Н. Семенова РАН
Email: shocktube@yandex.ru
Россия, 119991, Москва, ул. Косыгина, 4
Д. И. Михайлов
ФГБУН ФИЦ химической физики им. Н.Н. Семенова РАН
Email: shocktube@yandex.ru
Россия, 119991, Москва, ул. Косыгина, 4
В. С. Арутюнов
ФГБУН ФИЦ химической физики им. Н.Н. Семенова РАН; ФИЦ проблем химической физики и медицинской химии РАН
Email: shocktube@yandex.ru
Россия, 119991, Москва, ул. Косыгина, 4; Россия, 142432, Черноголовка, проспект Акад. Семенова, 1
Список литературы
- Арутюнов В.С., Голубева И.А., Елисеев О.Л., Жагфаров Ф.Г. Технология переработки углеводородных газов. Учебник для вузов. Москва: Юрайт. 2020. 723 с. ISBN 978-5-534-12398-2
- Арутюнов В.С. // Нефтехимия. 2022. Т. 62. № 4. С. 459. https://doi.org/10.1134/S0965544122040065
- Nikitin A., Ozersky A., Savchenko V., Sedov I., Shmelev V., Arutyunov V. // Chem. Eng. J. 2019. V. 377. Article 120883. https://doi.org/10.1016/j.cej.2019.01.162
- Алдошин С.М., Арутюнов В.С., Савченко В.И., Седов И.В., Никитин А.В., Фокин И.Г. // Химическая физика. 2021. Т. 40. № 5. С. 46. https://doi.org/10.31857/S0207401X21050034
- Savchenko V.I., Zimin Ya.S., Nikitin A.V., Sedov I.V., Arutyunov V.S. // J. CO2 Utilization. 2021. V. 47. 101490. https://doi.org/10.1016/j.jcou.2021.101490
- Savchenko V.I., Nikitin A.V., Zimin Ya.S., Ozerskii A.V., Sedov I.V., Arutyunov V.S. // Chem. Eng. Res. Des. 2021. V. 175. P. 250. https://doi.org/10.1016/j.cherd.2021.09.009
- Савченко В.И., Зимин Я.С., Бузилло Э., Никитин А.В., Седов И.В., Арутюнов В.С. // Нефтехимия. 2022. Т. 62. № 3. С. 375. https://doi.org/10.1134/S0965544122050048
- Агафонов Г.Л., Билера И.В., Власов П.А., Колбановский Ю.А., Смирнов В.Н., Тереза А.М. // Кинетика и катализ. 2015. Т. 56. № 1. С. 15. https://doi.org/10.7868/S0453881115010013
- Ахуньянов А.Р., Арутюнов А.В., Власов П.А., Смирнов В.Н., Арутюнов В.С. // Кинетика и катализ. 2023. Т. 64. № 2. С. 153. https://doi.org/10.31857/S0453881123020016
- Frenklach M. // Chem. Eng. Sci. 1985. V. 40. P. 1843.
- Frenklach M., Taki S., Matula R.A. // Combust. Flame. 1983. V. 49. P. 275.
- Appel J., Bockhorn H., Frenklach M. // Combust. Flame. 2000. V. 121. № 1–2. P. 122.
- Wang H., Frenklach M. // Combust. Flame. 1997. V. 110. № 1–2. P. 173.
- Frenklach M., Wang H. Detailed Mechanism and Modeling of Soot Particle Formation / Soot Formation in Combustion: Mechanisms and Models. Ed. H. Bockhorn, Springer Series in Chemical Physics, Berlin: Springer-Verlag, 1994. V. 59. P. 162.
- Richter H., Granata S., Green W.H., Howard J.B. // Proc. Combust. Inst. 2005. V. 30. № 1. P. 1397.
- Deuflhard P., Wulkow M. // Impact Comput. Sci. Eng. 1989. V. 1. P. 269.
- Wulkow M. // Macromol. Theory Simul. 1996. V. 5. P. 393.
- Wang H., You X., Joshi A.V., Davis S.G., Laskin A., Egolfopoulos F., Law C.K. USC Mech Version II. High temperature combustion reaction model of H2/CO/C1–C4 compounds. http://ignis.usc.edu/USC-MechII.htm
- Агафонов Г.Л., Билера И.В., Власов П.А., Жильцова И.В., Колбановский Ю.А., Смирнов В.Н., Тереза А.М. // Кинетика и катализ. 2016. Т. 57. № 5. С. 571.
- Skjøth-Rasmussen M.S., Glarborg P., Østberg M., Johannessen J.T., Livbjerg H., Jensen A.D., Christensen T.S. // Combust. Flame. 2004. V. 136. P. 91.
- Richter H., Granata S., Green W.H., Howard J.B. // P. Combust. Inst. 2005. V. 30. P. 1397.
- Frenklach M., Warnatz J. // Combust. Sci. Technol. 1987. V. 51. P. 265.
- Wang H., Dames E., Sirjean B., Sheen D.A., Tangko R., Violi A. A high-temperature chemical kinetic model of n-alkane (up to n-dodecane), cyclohexane, and methyl-, ethyl-, n-propyl and n-butyl-cyclohexane oxidation at high temperatures. JetSurF Version 2.0, 2010.http://web.stanford.edu/group/haiwanglab/JetSurF/JetSurF2.0/index.htm
- Correa C., Niemann H., Schramm B., Warnatz J. // P. Combust. Inst. 2000. V. 28. P. 1607.
- Hansen N., Klippenstein S.J., Westmoreland P.R., Kasper T., Kohse-Hoinghaus K., Wang J., Cool T.A. // Phys. Chem. Chem. Phys. 2008. V. 10. P. 366.
- Agafonov G.L., Mikhailov D.I., Smirnov V.N., Tereza A.M., Vlasov P.A., Zhiltsova I.V. // Combust. Sci. Technol. 2016. V. 188. № 11–12. P. 1815. https://doi.org/10.1080/00102202.2016.1211861
- Vlasov P.A., Zhiltsova I.V., Smirnov V.N., Tereza A.M., Agafonov G.L., Mikhailov D.I. // Combust. Sci. Technol. 2018. V. 190. № 1. P. 57. https://doi.org/10.1080/00102202.2017.1374954
- Власов П.А., Ахуньянов А.Р., Смирнов В.Н. // Кинетика и катализ. 2022. Т. 63. № 2. С. 160. https://doi.org/10.31857/S0453881122020149
- Agafonov G.L., Borisov A.A., Smirnov V.N., Troshin K.Ya., Vlasov P.A., Warnatz J. // Combust. Sci. Technol. 2008. V. 180. № 10. P. 1876. https://doi.org/10.1080/00102200802261423
- Agafonov G.L., Smirnov V.N., Vlasov P.A. // Combust. Sci. Technol. 2010. V. 182. № 11. P. 1645. https://doi.org/10.1080/00102202.2010.497331
- Agafonov G.L., Naydenova I., Vlasov P.A., Warnatz J. // P. Combust. Inst. 2007. V. 31. P. 575. https://doi.org/10.1016/j.proci.2006.07.191
- Naydenova I., Nullmeier M., Warnatz J., Vlasov P.A. // Combust. Sci. Technol. 2004. V. 176. P. 1667. https://doi.org/10.1080/00102200490487544
- Vlasov P.A., Agafonov G.L., Mikhailov D.I., Smirnov V.N., Tereza A.M., Zhiltsova I.V., Sychev A.E., Shchukin A.S., Khmelenin D.N., Streletskii A.N., Borunova A.B., Stovbun S.V. // Combust. Sci. Technol. 2019. V. 191. № 2. P. 243. https://doi.org/10.1080/00102202.2018.1451995
- Vlasov P.A., Warnatz J. // P. Combust. Inst. 2002. V. 29. P. 2335.
- Agafonov G.L., Smirnov V.N., Vlasov P.A. // P. Combust. Inst. 2011. V. 33. P. 625. https://doi.org/10.1016/j.proci.2010.07.089
- Власов П.А., Варнатц Ю. // Химическая физика. 2004. Т. 23. № 10. С. 42.
- Власов П.А., Варнатц Ю., Найденова И. // Химическая физика. 2004. Т. 23. № 11. С. 36.
- Власов П.А., Смирнов В.Н., Тереза А.М., Агафонов Г.Л., Колбановский Ю.А., Билера И.В., Михайлов Д.И., Жильцова И.В. // Химическая физика. 2016. Т. 35. № 12. С. 35. https://doi.org/10.7868/S0207401X16120165
- Агафонов Г.Л., Билера И.В., Власов П.А., Колбановский Ю.А., Смирнов В.Н., Тереза А.М. // Химическая физика. 2016. Т. 35. № 8. С. 21. https://doi.org/10.7868/S0207401X16080033
- Агафонов Г.Л., Власов П.А., Смирнов В.Н. // Кинетика и Катализ. 2011. Т. 52. № 3. С. 368.
- Agafonov G.L., Smirnov V.N., Vlasov P.A. // Combust. Sci. Technol. 2012. V. 184. № 10–11. P. 1838. https://doi.org/10.1080/00102202.2012.690644
Дополнительные файлы
















