Каталитическое образование бутена-1 и гексена-1 в реакциях гомогенной олигомеризации этилена с участием комплексов никеля на основе N-гетероарилзамещенных α-дифенилфосфиноглицинов
- Авторы: Софьичева О.С.1, Бекмухамедов Г.Э.2, Яхваров Д.Г.2
-
Учреждения:
- ФГБУН Институт органической и физической химии им. А. Е. Арбузова ФИЦ КазНЦ РАН
- ФГАОУ ВО Казанский (Приволжский) федеральный университет
- Выпуск: Том 65, № 1 (2024)
- Страницы: 12-21
- Раздел: СТАТЬИ
- URL: https://medbiosci.ru/0453-8811/article/view/259631
- DOI: https://doi.org/10.31857/S0453881124010029
- EDN: https://elibrary.ru/HAELEK
- ID: 259631
Цитировать
Полный текст
Аннотация
Экспериментально показано, что синтезированные по реакции трехкомпонентной конденсации дифенилфосфина, соответствующего первичного амина и моногидрата глиоксиловой кислоты N-гетероарилзамещенные α-дифенилфосфиноглицины – N-(пиразин-2-ил)-α-дифенилфосфиноглицин, N-(пиридин-2-ил)-α-дифенилфосфиноглицин и N-(пиримидин-2-ил)-α-дифенилфосфиноглицин – способны в комбинации с Ni(COD)₂, где COD – циклооктадиен-1,5, генерировать активные формы катализаторов селективной гомогенной димеризации и тримеризации этилена с образованием в качестве основных продуктов бутена-1 и гексена-1. Исследуемые никельорганические каталитические системы обеспечивают выход короткоцепных (C₄–C₆) олефинов на уровне 90% с селективностью по линейным α-олефинам 97%. Исследование влияния температуры на протекание гомогенной олигомеризации этилена с использованием полученных соединений позволило установить, что проведение процесса при оптимальной температуре 80–105°C и оптимальном давлении этилена 20–35 атм обеспечивает наибольшую селективность по бутену-1 и гексену-1. В данных условиях селективность по бутенам зафиксирована на уровне 71.4–72.6% (селективность по бутену-1 – 69.3–71.1%), по гексенам – 20.6–21.2% (селективность по гексену-1 – 19.2–19.5%). Оптимальная длительность процесса олигомеризации при температуре 105°C составляет 1.5 ч. Скорость образования бутена-1 при этом равна 168.1 голиг гNi⁻¹ч⁻¹, а скорость образования гексена-1 – 47.3 голиг гNi⁻¹ч⁻¹.
Ключевые слова
Полный текст
Сокращения и обозначения: ЯМР – ядерно-магнитный резонанс; ГХ/МС – хромато-масс-спектрометрия; ТГФ – тетрагидрофуран; TON – число оборотов (turnover number); TOF – частота оборотов (turnover frequency).
ВВЕДЕНИЕ
Комплексы никеля привлекают внимание исследователей в качестве компонентов каталитических систем олигомеризации этилена после открытия в 1950-х гг. “никелевого эффекта”, заключающегося в том, что наличие следовых количеств никеля на триалкилалюминии в процессе полимеризации этилена смещает реакцию от полимеризации этилена к димеризации [1]. Это послужило толчком к изучению и разработке каталитических систем олигомеризации и полимеризации на основе никеля [2], а ключевым этапом в переходе к промышленному использованию комплексов никеля стала разработка Каймом семейства бидентатных (Р, О)-лигандов – производных фосфино-функционализированных карбоновых кислот [3, 4] – и коммерческого получения линейных α-олефинов по технологии SHOP (Shell Higher Olefin Process) [5–12]. Несмотря на наличие большого объема работ, опубликованных в 1970–1990 гг., интерес к каталитическим системам олигомеризации этилена на основе (P, O)-комплексов никеля сохраняется и в настоящее время [13–16]. Однако отмечается смещение фокуса исследований от α-олефинов С₁₀–С12 [4, 8] в сторону короткоцепных олигомеров – бутена-1 и гексена-1, что обусловлено ростом потребности в полиэтилене марок LLDPE и HDPE [18–22]. Повышение селективности образования С₄–С₆-олигомеров достигается тонкой настройкой донорных свойств Pи O-атомов путем варьирования заместителей, входящих в состав лиганда [23, 24], и увеличения электрофильности металлического центра за счет создания катионных (P, O)-комплексов никеля [25–31]. Однако, как показали исследования, для протекания селективной димеризации и тримеризации этилена этого оказалось недостаточно. Внимание нашего научного коллектива обращено к изучению влияния заместителя при аминогруппе производных α-фосфиноглицинов [32–34], которые содержат в своей структуре тот же РССО-хелатный фрагмент, что и известные лиганды никельорганических катализаторов компании Shell, на селективное получение отдельных фракций короткоцепных α-олефинов в результате гомогенной олигомеризации этилена [35–39]. Данный интерес к α-фосфиноглицинам вызван возможностью проводить тонкую настройку электрофильности металлического центра активной формы никельорганического катализатора на их основе путем варьирования заместителя при атоме азота в лиганде и тем самым смещать молекулярно-массовое распределение продуктов в сторону короткоцепных α-олефинов. Согласно квантово-химическим расчетам [40], каталитическое превращение этилена в олигомеры в процессах его гомогенной олигомеризации с участием никельорганических катализаторов может протекать по двум конкурирующим механизмам: кинетическим путем, ведущим к высокомолекулярным олигомерам, и термодинамическим путем, приводящим к образованию бутена-1. Ключевым различием между ними является превращение (LPO)NiH(C2H4), где LРО – лиганд на основе N-замещенных α-фосфиноглицинов, содержащие (Р, О)-хелатный центр, в свой цис-изомер. Кинетический путь предполагает пониженный барьер активации, а термодинамический, напротив, включает в себя стадию изомеризации с повышенным барьером активации, но при этом образуется термодинамически более стабильный промежуточный продукт. Согласно описанным ранее в работе [40] результатам, олигомеризация этилена с участием системы N-(пиразин-2-ил)-α-дифенилфосфиноглицина/Ni(COD)₂ протекает именно по термодинамически контролируемому механизму из-за сниженных барьеров активации для превращения активной формы катализатора в цис-изомер. Мы предположили, что подобное явление может быть связано с наличием замещенного гетероатома (азота) в орто-положении бензольного кольца заместителя при аминогруппе в α-дифенилфосфиноглицинах, потому что N-гетероарилзамещенные α-дифенилфосфиноглицины, в которых азот находился только в метаили пара-положении [40], оказались менее селективными по отношению к короткоцепным олигомерам (суммарный выход короткоцепных фракций линейных α-олефинов С₄–С₁₀ составил 68%).
Таким образом, целью настоящей работы является исследование влияния термодинамических параметров, в частности температуры, на протекание гомогенной олигомеризации этилена с участием никельорганических комплексов на основе N-гетероарилзамещенных α-дифенилфосфиноглицинов, в которых азот находится только в орто-положении бензольного кольца, для оптимизации процесса и обеспечения максимального выхода бутена-1 и гексена-1.
ЭКСПЕРИМЕНТАЛЬНАЯ ЧАСТЬ
Все эксперименты, связанные с синтезом лигандов и каталитическими исследованиями, проводили в инертной атмосфере (азот, 99.999 об. %) с использованием стандартной аппаратуры Шленка. Растворители (диэтиловый эфир, метанол, тетрагидрофуран) абсолютировали стандартными методами и перед применением подвергали свежей перегонке. Моногидрат глиоксиловой кислоты, 2-аминопиридин, 2-аминопиримидин, 2-аминопиразин и бис(циклооктадиен-1,5) никеля(0) были приобретены у “Sigma-Aldrich” и использованы без дополнительной очистки. Дифенилфосфин, N-(пиразин-2-ил)-α-дифенилфосфиноглицин (1) получили по опубликованным методикам [38, 40]. Спектры ЯМР регистрировали на спектрометре MSL-400 (“Bruker”, Германия). Химические сдвиги (δ, м. д.) измеряли относительно тетраметилсилана для ¹H и ¹³С и H₃PO₄ (85%) для ³¹P. Элементный анализ выполнен на приборе EuroVector CHNS-O Elemental Analyzer EA3000 (“EuroVector”, Италия). Газообразные и жидкие продукты олигомеризации анализировали методом хромато-масс-спектрометрии (ГХ/МС) на газовом хроматографе 7890B GC (“Agilent”, США), совмещенном с масс-селективным электронно-ионизационным детектором MSD5977B (“Agilent”, США). Для деления компонентов использовали капиллярную колонку HP-5MS Ultra Inert (длина – 30 м; диаметр – 0.25 мм; толщина пленки неподвижной фазы – (5%-фенил)-метилполисилоксана – 0.50 мкм). Вещества были идентифицированы с помощью программы масс-спектрального поиска NIST (National Institute of Standards and Technology – Национальный институт стандартов и технологии, США), версия 2.2. С₄-фракцию также анализировали методом газовой хроматографии на приборе ГХ-1000 (“Хромос”, Россия) с пламенно-ионизационным детектором и капиллярной колонкой VP-Alumina/KCl длиной 50 м, диаметром 0.53 мм, толщиной пленки 10 мкм (“VICI Valco”, США).
Получение N-(пиридин-2-ил)-α-дифенилфосфиноглицина (2)
Моногидрат глиоксиловой кислоты (0.106 г, 1.15 ммоль) растворяли в диэтиловом эфире (10 мл) и добавляли к раствору дифенилфосфина (0.2 мл, 1.15 ммоль) и 2-аминопиридина (0.11 г, 1.16 ммоль) в диэтиловом эфире (10 мл). Реакционную смесь перемешивали 3 суток, после чего отфильтровывали светло-желтый осадок, промывали диэтиловым эфиром дважды и полученный порошок высушивали в вакууме в течение 5 ч. Получено 0.275 г (с выходом 71.2%) соединения 2.
¹H ЯМР (400 MГц, CD₃OD, 300 K): δ (м. д.) = 3.79 (д, ²JPH = 2.8 Гц, ¹H, PCH), 4.65 (с, ¹H, NH), 6.81 (д, ³JHH = 3.3 Гц, ¹H, N-арил), 7.13 (д, JHH = 2.1 Гц, 2H, N-арил), 7.10–7.40 (м, 4H, Ph), 7.47–7.49 (м, 6H, Ph), 7.55–7.60 (м, 2H, N-арил). 13C{¹H} ЯМР (100 MГц, CD₃OD, 300 K): δ (м. д.) = 65.7 (д, ¹JPC = 20.4 Гц, PCN), 107.51 (с, о-CH, N-арил), 117.35 (с, p-CH, N-арил), 123.53 (д, ³JPC = 4.1 Гц, m-CH, Ph), 125.61 (д, ³JPC = 5.9 Гц, m-CH, Ph), 128.7 (с, p-CH, Ph), 129.24 (с, p-CH, Ph), 132.71 (д, ²JPC = 16.2 Гц, 2 o-CH, Ph), 134.26 (д, ²JPC =15.2 Гц, 2 o-CH, Ph), 135.18 (д, ¹JPC=15.9 Гц, i-Cq, Ph), 135.29 (д, ¹JPC=16.2 Гц, i-Cq, Ph), 136.04 (с, m-CH, N-арил), 144.32 (с, o-CH, N-арил), 155.50 (с, i-Cq, N-арил), 174.94 (д, ²JPC = 9.8 Гц, COОН). ³¹P{¹H} ЯМР (161 MГц, CD₃OD, 300 K): δ (м. д.) = 1.49 (с).
Элементный анализ для С₁₉H₁₇N₂O₂P (336.33 г/ моль). Рассчитано: С, 67.85; H, 5.09; N, 8.33; найдено: C, 67.82; H, 5.08; N, 8.31.
Получение N-(пиримидин-2-ил)-α-дифенилфосфиноглицина (3)
Моногидрат глиоксиловой кислоты (0.26 г, 2.87 ммоль) растворяли в диэтиловом эфире (10 мл) и добавляли к раствору дифенилфосфина (0.5 мл, 2.87 ммоль) и 2-аминопиримидина (0.27 г, 2.87 ммоль) в метаноле (15 мл). Перемешивали в течение 10 дней, после чего декантировали растворитель, осадок промывали дважды в диэтиловом эфире и высушивали бледно-желтые кристаллы в вакууме в течение 5 ч. Получено 0.694 г (71.7%) соединения 3.
¹H-NMR (400 MГц, CD₃OD, 300 K): δ (м. д.) = 4.10 (д, ²JPH = 2.2 Гц, ¹H, PCH), 4.90 (умеренный с, 3H, OH, NH), 6.61 (с, 1 Н, р-CH, N-арил), 7.24–7.32 (м, 4H, Ph), 7.58–7.80 (м, 6H, Ph), 7.94–8.13 (м, 2H, N-арил). 13C{¹H} ЯМР (100 MГц, CD₃OD, 300 K): δ (м. д.) = 53.23 (д, ¹JPC = 20.9 Гц, PCN), 109.30 (с, р-CH, N-арил), 128.67 (д, ³JPC = 7.33 Гц, 2 m-CH, Ph), 129.84 (д, ³JPC = 7.45 Гц, 2 m-CH, Ph), 129.34 (с, p-CH, Ph), 130.61 (с, p-CH, Ph), 134.78 (д, ²JPC = 18.1 Гц, 2 o-CH, Ph), 135.12 (д, ²JPC = 17.9 Гц, 2 o-CH, Ph),136.37 (д, ¹JPC = 17.9 Гц, i-Cq, Ph), 136.53 (д, ¹JPC = 15.9 Гц, i-Cq, Ph), 163.98 (с, i-Cq, N-арил), 175.16 (д, ¹JPC = 11.7 Гц, COOH). ³¹P{¹H} ЯМР (161 MГц, CD₃OD, 300 K): δ (м. д.) = 1.95.
Элементный анализ C₁₈H₁₆N₃O₂P (M = =337.32 г/моль). Рассчитано: C, 64.09, H, 4.78, N, 12.46; найдено: C, 64.01, H, 4.82, N, 11.98.
Гомогенная олигомеризация этилена
Предварительно взвешенный автоклав высушивали при пониженном давлении (2 × 10⁻⁵ атм) в течение 30 мин. Навеску α-фосфорилированной α-аминокислоты в количестве 0.1 ммоль вакуумировали (2 × 10⁻⁵ атм) в колбе Шленка в течение 20 мин. После этого добавляли 10 мл тетрагидрофурана (ТГФ). Перемешивали содержимое до полного растворения в течение ~15 мин. Параллельно в другую колбу Шленка помещали навеску в количестве 0.1 ммоль бис(циклооктадиен-1,5) никеля(0), вакуумировали (2 × 10⁻⁵ атм) в течение 20 мин. Затем добавляли 10 мл ТГФ. Перемешивали содержимое до полного растворения в течение ~15 мин. Раствор лиганда медленно приливали к раствору комплекса никеля(0). Образовавшийся комплекс перемешивали в течение 5 мин. Переносили полученный раствор в токе азота в автоклав с помощью шприца с тефлоновой трубкой. Автоклав взвешивали. После подавали в автоклав этилен под давлением 30–32 атм. Нагревали автоклав до температуры эксперимента на масляной бане при постоянном перемешивании с помощью магнитного якоря внутри автоклава. После достижения заданной температуры автоклав термостатировали в течение 14–20 ч. С помощью электронного датчика давления его изменение во времени записывали в память компьютера. По завершении каталитического цикла автоклав сначала охлаждали на водяной бане и взвешивали, затем охлаждали на изопропанольной бане (–30°C) в течение 15–20 мин для обеспечения конденсации бутеновой фракции, после чего газовую фазу стравливали в резиновую камеру. После стравливания газа автоклав снова взвешивали с целью определения массы жидких продуктов олигомеризации. На основе массы полученных продуктов рассчитывали показатели активности катализатора – число оборотов TON (turnover number) и частоту оборотов TOF (turnover frequency) по формулам (1) и (2), соответственно:
(1)
(2)
где mолиг – масса продуктов олигомеризации этилена, г; МС₂Н₄ – молярная масса этилена, 28 г/моль; nNi – количество комплекса [системы “лиганд/Ni(COD)₂”], взятого на каталитические испытания, моль; τ – длительность каталитического цикла, ч.
На основе результатов ГХ/МС-анализа по молярному соотношению С₆-, С₈и С₁₀-олефинов рассчитывали среднее значение параметра Шульца–Флори α, характеризующее отношение скорости роста цепи к сумме скоростей роста и обрыва цепи в соответствии c формулой (3):
(3)
где и – мольная концентрация олефинов с числом атомов углерода n и n+2, соответственно, в продукте гомогенной олигомеризации этилена, мол. %.
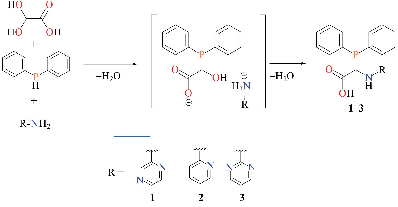
Схема 1. Реакция трехкомпонентной конденсации дифенилфосфина, моногидрата глиоксиловой кислоты и первичного амина.
РЕЗУЛЬТАТЫ И ИХ ОБСУЖДЕНИЕ
Реакция трехкомпонентной конденсации дифенилфосфина, первичного амина и моногидрата глиоксиловой кислоты является самым простым способом получения N-гетероарилзамещенных α-фосфиноглицинов (схема 1) [32–40]. Она протекает one-pot при комнатной температуре путем смешения растворов дифенилфосфина и соответствующего амина в диэтиловом эфире либо в метаноле с раствором моногидрата глиоксиловой кислоты в том же растворителе.
Как показали проведенные ранее исследования, наиболее перспективной для селективного получения бутена-1 гомогенной олигомеризацией этилена оказалась каталитической система N-(пиразин-2-ил)-α-дифенилфосфиноглицин 1/Ni(COD)₂ с селективностью по бутену-1 более 70% [38]. Однако было интересно также синтезировать и изучить в данном процессе свойства N-(пиридин-2-ил)-α-дифенилфосфиноглицин 2 и N-(пиримидин-2-ил)-α-дифенилфосфиноглицин 3, в которых атом азота расположен только в одном или двух орто-положениях бензольного кольца заместителя, соответственно, для его оптимизации с целью селективного получения отдельных фракций бутена-1 и гексена-1.
Соединения 2 и 3 были выделены и охарактеризованы физико-химическими методами анализа.
Рис. 1. Кривая изменения давления этилена в реакции гомогенной олигомеризации с участием каталитических систем на основе комплексов никеля(0) и N-гетероарилзамещенных α-дифенилфосфиноглицинов 1–3.
Рис. 2. Распределение продуктов олигомеризации этилена с участием N-гетероарилзамещенных α-дифенилфосфиноглицинов 1–3 в комбинации с Ni(COD)₂.
Гомогенная олигомеризация этилена с участием N-гетероарилзамещенных α-дифенилфосфиноглицинов 1–3 в комбинации с комплексом никеля(0)
N-(пиразин-2-ил) 1, а также новые N-(пиридин-2-ил) 2 и N-(пиримидин-2-ил) 3 –α-дифенилфосфиноглицины – в комбинации с комплексом Ni(COD)₂ были протестированы в процессе каталитической олигомеризации этилена. Как и предполагалось, никельорганические катализаторы на основе новых N-гетероарилзамещенных α-дифенилфосфиноглицинов 2 и 3 проявили высокую каталитическую активность в реакциях гомогенной олигомеризации этилена с образованием короткоцепных α-олефинов аналогично каталитической системе на основе ранее исследованного в [38, 40] соединения 1, что указывает на особую роль гетероатома азота в орто-положении бензольного кольца заместителя при аминогруппе в α-дифенилфосфиноглицинах. Условия протекания гомогенного катализа и полученные результаты приведены в табл. 1.
Таблица 1. Результаты каталитических испытаний системы N-гетероарилзамещенных α-дифенилфосфиноглицинов 1–3 в комбинации с Ni(COD)₂ в процессе олигомеризации этилена1
Лиганд | α² | Распределение олигомеров, мас. % | S(αC=)³, % | TOF⁴, ч⁻¹ | TON⁵ | Выход бутенов, голиг /гNi | Выход гексенов, голиг /гNi | Время снижения Давления этилена, ч | |||
C₄–C₁₀ | C₁₂–C₂₀ | C₂₂–C₃₀ | C₃₂₊ | ||||||||
1 | 0.19 | 99.6 | 0.4 | 0 | 0 | 90 | 52 | 783 | 379 | 108 | 15.0 |
2 | 0.44 | 89.0 | 9.0 | 0 | 1.0 | 94 | 411 | 822 | 1556 | 1039 | 1.2 |
3 | 0.55 | 70.0 | 16.0 | 1.0 | 13.0 | 97 | 384 | 461 | 881 | 722 | 2.0 |
Динамика изменения давления в каталитическом цикле олигомеризации этилена на системах 1/Ni(COD)₂, 2/Ni(COD)₂, 3/Ni(COD)₂ в период наиболее активного снижения давления представлена на рис. 1. Анализ полученных кривых показывает, что каталитическая система 1/Ni(COD)₂ олигомеризует основное количество этилена плавно в течение первых 15 ч процесса, тогда как для систем 2/Ni(COD)₂ и 3/Ni(COD)₂ отмечено уменьшение давления этилена уже через 1.2–2 ч после начала реакции.
Таким образом, несмотря на значительно более высокую селективность системы 1/Ni(COD)₂ по отношению к фракциям линейных α-олефинов С₄–С₁₀, система 2/Ni(COD)₂ обладает наибольшей активностью в процессах гомогенной олигомеризации этилена, демонстрируя максимальное значение фактического TOF = 411 ч⁻¹ в период основного снижения давления (в течение 1.2 ч с момента начала реакции), по сравнению с другими двумя системами (1/Ni(COD)₂ и 3/Ni(COD)₂) в тех же условиях. Стоит отметить, что по этой же причине данная система имеет и более высокие показатели выхода бутенов (1556 голиг/гNi) и гексенов (1039 голиг/гNi), однако анализ распределения Шульца–Флори продуктов олигомеризации этилена (рис. 2), определенного на основании результатов хроматографического анализа, показывает, что самой эффективной в образовании бутеновой фракции остается каталитической система 1/Ni(COD)₂.
Именно по этой причине для обеспечения селективности по бутену-1 и гексену-1 более 70% были проведены каталитические тесты с целью оптимизации процесса олигомеризации этилена на примере системы N-(пиразин-2-ил)-α-дифенилфосфиноглицина 1/Ni(COD)₂ путем варьирования температуры реакции. Результаты приведены в табл. 2.
Рис. 3. Зависимость числа оборотов TON от температуры в процессе олигомеризации этилена в присутствии системы 1/Ni(COD)₂.
На рис. 3 показано влияние температуры на активность (TON) системы 1/Ni(COD)₂. Из рис. 3 следует, что данная зависимость носит экстремальный характер, максимальные значения TON наблюдаются в интервале 55–105°C. Наименьшие значения TON при Т = 30°C обусловлены тем, что этой температуры недостаточно для полной трансформации композиции 1/Ni(COD)₂ в металл-гидридный комплекс [12], который, согласно литературным данным, является активной формой катализатора в процессах гомогенной олигомеризации этилена, а снижение TON с 763 до 406 голиг/гNi с повышением температуры со 105 до 130°C (табл. 2), вероятнее всего, связано с возможным термическим разрушением активных металл-гидридных центров.
При Т = 55°C наблюдается образование олигомеров с относительно высокой молекулярной массой – содержание фракции С22+ в этих условиях составляет 51.4 мас. %. Повышение температуры от 55°C до 80–105°C сопровождается снижением показателя Шульца–Флори α от 0.66 до 0.19–0.20 и, соответственно, увеличением селективности по бутенам (с 16.9% до 71.4–72.6%) и гексенам (с 16.8% до 20.6–21.2%). Резкое возрастание выхода бутенов и скорости образования бутена-1 с ростом температуры олигомеризации от 55°C до 80–105°C хорошо видно на рис. 4.
Рис. 4. Зависимость выхода бутенов (а) и гексенов (б) от температуры в процессе олигомеризации этилена в присутствии системы 1/Ni(COD)₂.
Необходимо отметить, что с повышением температуры до 105–130°C время снижения давления (т. е. длительность процесса олигомеризации) резко сокращается, что обусловлено ростом активности катализатора. Вследствие этого фактическое значение частоты оборотов TOF резко возрастает в 10 раз (с 52 до 509 мольС₂Н₄ мольNi⁻¹ч⁻¹) при нагреве от 80 до 105°C (табл. 2). Это эквивалентно отражается на скоростях образования бутена-1 и гексена-1, значения которых увеличиваются с 16.8 до 168.1 и с 4.6 до 47.3 голиг гNi⁻¹ч⁻¹, соответственно, (рис. 5).
Рис. 5. Зависимость скорости образования бутена-1 (а) и гексена-1 (б) от температуры в процессе олигомеризации этилена в присутствии системы 1/Ni(COD)₂.
Рис. 6. Зависимость селективности образования линейных α-олефинов от температуры в процессе олигомеризации этилена в присутствии системы 1/Ni(COD)₂.
Селективность образования линейных α-олефинов также имеет экстремальную зависимость от температуры в интервале 30–130°C (рис. 6). Снижение этого показателя с повышением температуры олигомеризации от 80 до 130°C обусловлено возрастанием скорости процессов изомеризации олефинов и ее преобладанием над скоростью олигомеризации этилена.
Таблица 2. Результаты каталитических испытаний системы 1/Ni(COD)₂ в процессе олигомеризации этилена при температурах 30–130°С1
№ опыта | Т,°С | α² | Распределение олигомеров, мас. % | S(αС=)3 % | TOF₄, ч⁻¹ | TON⁵ | Выход бутенов, голиг/гNi | Выход гексенов, голиг/гNi | Скорость образования бутена-1, голиг гNi⁻¹ч⁻¹ | Скорость образования гексена-1, голиг гNi⁻¹ч⁻¹ | |||
C₄ | C₆ | C8 | C₁₀+ | ||||||||||
1 | 30 | 0.52 | 39.2 | 26.1 | 15.5 | 19.2 | 79 | н.о.6 | 28 | 5.5 | 3.7 | н.о. | н.о. |
2 | 55 | 0.66 | 16.9 | 16.8 | 14.9 | 51.4 | 85 | 48 | 717 | 57.8 | 57.5 | 3.3 | 3.3 |
3 | 80 | 0.19 | 72.6 | 20.6 | 5.2 | 1.6 | 93 | 52 | 783 | 270.8 | 76.8 | 16.8 | 4.8 |
4 | 105 | 0.20 | 71.4 | 21.2 | 5.6 | 1.8 | 90 | 509 | 763 | 259.9 | 77.2 | 168.1 | 47.3 |
5 | 130 | 0.41 | 31.3 | 19.2 | 10.5 | 39.0 | 86 | 203 | 406 | 60.4 | 37.1 | 26.0 | 15.9 |
1 Условия реакции: количество лиганда/Ni(COD)₂ – 0.1/0.1 ммоль; растворитель – ТГФ (20 мл); начальное давление этилена – 30–32 атм; время реакции – 18–22 ч.
2 α – постоянная Шульца–Флори.
3 S(αC=) – селективность по линейным α-олефинам, рассчитанная как среднее значение для фракций C₁₀, C₁₂, C₁₄ и C₁₆.
4 TOF – фактическая частота оборотов (с учетом времени снижения давления этилена).
5 TON – число оборотов, выраженное как количество прореагировавшего этилена на моль катализатора (мольC2H4 × мольNi⁻¹).
6 н.о. – не определено.
ЗАКЛЮЧЕНИЕ
Таким образом, можно заключить, что наличие гетероатома азота в одном орто-положении бензольного кольца заместителя при аминогруппе в α-дифенилфосфиноглицинах – наиболее благоприятный фактор для селективного получения короткоцепных α-олефинов по реакции гомогенной олигомеризации этилена с участием комплексов никеля на основе α-дифенилфосфиноглицинов. Оптимальной каталитической системой для селективного получения бутенов и гексенов является композиция Ni(COD)₂ с лигандом N-(пиразин-2-ил) α-дифенилфосфиноглицин, обеспечивающая суммарный выход С₄и С₆-олефинов на уровне 90% при селективности образования линейных α-олефинов 97%. Определены оптимальные условия проведения реакций димеризации и тримеризации этилена: температура 80–105°C при давлении этилена 20–35 атм.
ФИНАНСИРОВАНИЕ
Работа выполнена при финансовой поддержке Российского фонда фундаментальных исследований (РФФИ, проект № 19-29-08051) и за счет средств субсидии, предоставленной Казанскому федеральному университету для выполнения государственного задания в сфере научной деятельности, № FZSM-2023-0020.
БЛАГОДАРНОСТИ
Авторы благодарят ЦКП-САЦ ФИЦ КазНЦ РАН за предоставление необходимого оборудования для выполнения настоящей работы.
КОНФЛИКТ ИНТЕРЕСОВ
Авторы заявляют об отсутствии конфликта интересов, требующего раскрытия в данной статье.
Об авторах
О. С. Софьичева
ФГБУН Институт органической и физической химии им. А. Е. Арбузова ФИЦ КазНЦ РАН
Автор, ответственный за переписку.
Email: olga.soficheva@iopc.ru
Россия, ул. Арбузова, 8, Казань, 420088
Г. Э. Бекмухамедов
ФГАОУ ВО Казанский (Приволжский) федеральный университет
Email: olga.soficheva@iopc.ru
Россия, ул. Кремлевская, 18, Казань, 420008
Д. Г. Яхваров
ФГАОУ ВО Казанский (Приволжский) федеральный университет
Email: olga.soficheva@iopc.ru
Россия, ул. Кремлевская, 18, Казань, 420008
Список литературы
- Fischer K., Jonas K., Misbach P., Stabba R., Wilke G. // Angew. Chem. Int. Ed. Engl. 1973. V. 12. P. 943.
- Wilke G. // J. Organomet. Chem. 1980. V. 200. P. 349.
- Peuckert M., Keim W. // Organometallics. 1983. V. 2. P. 594.
- Breuil P.-A.R., Magna L., Olivier-Bourbigou H. // Catal. Lett. 2015. V. 145. № 1. P. 173.
- Keim W., Kowaldt F. H., Goddard R., Krüger C. // Angew. Chem. Int. Ed. Engl. 1978. V.17. P. 466.
- Peuckert M., Keim W., Storp S., Weber R. S. // J. Mol. Catal. 1983. V. 20. P. 115.
- Keim W., Behr A., Gruber B., Hoffmann B., Kowaldt F., Kürschner U., Limbäcker B., Sistig F. // Organometallics. 1986. V. 5. P. 2356.
- Keim W., Schulz R. // J. Mol. Catal. 1994. V. 92. P. 21.
- Keim W. // Vysokomol. Soedin. Ser. A. 1994. V. 36. P. 1644.
- Pietsch J., Braunstein P., Chauvin Y. // New J. Chem. 1998. P. 467.
- Heinicke J., Köhler M., Peulecke N., Keim W. // J. Catal. 2004. V. 225. P. 16.
- Keim W. // Angew. Chem. Int. Ed. 2013. V. 52. P. 12492.
- Britovsek G. J.P., Malinowski R., McGuinness D.S., Nobbs J. D., Tomov A. K., Wadsley A. W., Young C. T. // ACS Catal. 2015. V. 5. P. 6922.
- Herrmann W. A., Beller M., Paciello R. Applied Homogeneous Catalysis with Organometallic Compounds. Wiley, 2017.
- Olivier-Bourbigou H., Breuil P. A.R., Magna L., Michel T., Fernandez Espada Pastor M., Delcroix D. // Chem. Rev. 2020. V. 120. № 15. P. 7919.
- Bekmukhamedov G. E., Sukhov A. V., Kuchkaev A. M., Yakhvarov D. G. // Catalysts. 2020. V. 10. № 5. P. 498.
- Petit J., Magna L., Mézailles N. // Coord. Chem. Rev. 2022. V. 50. № 214227.
- Mecking S. // Angew. Chem., Int. Ed. 40. 2001. V. 3. P. 534.
- McGuinness D.S., Wasserscheid P., Keim W., Morgan D., Dixon J. T., Bollmann A., Maumela H., Hess F., Englert U. // J. Am. Chem. Soc. 2003. V. 125. P. 5272.
- Speiser F., Braunstein P., Saussine L. // Acc. Chem. Res. 2005. V. 38. P. 784.
- McGuinness D.S. // Chem. Rev. 2011. V. 111. P. 2321.
- Hao P., Song S., Xiao T., Li Y., Redshaw C., Sun W. H. // Polyhedron. 2013. V. 52. P. 1138.
- Kuhn P., Sémeril D., Jeunesse C., Matt D., Lutz P., Welter R. // Eur. J. Inorg. Chem. 2005. P. 1477.
- Kuhn P., Semeril D., Jeunesse C., Matt D., Neuburger M., Mota A. // Chem. Eur. J. 2006. V. 12. P. 5210.
- Braunstein P., Chauvin Y., Mercier S., Saussine L. // Chimie. 2005. V. 8. P. 31.
- Heinicke J., He M., Dal A., Klein H., Hetche O., Keim W., Flörke U., Haupt H. // Eur. J. Inorg. Chem. 2000. P. 431.
- Wasserscheid P., Hilgers C., Keim W. // J. Mol. Catal. A: Chem. 2004. V. 214. P. 83.
- Heinicke J., Köhler M., Peulecke N., Kindermann M. K., Keim W., Köckerling M. // Organometallics. 2005. V. 24. P. 344.
- Kuhn P., Semeril D., Jeunesse C., Matt D., Lutz P. J., Louis R., Neuburger M. // Dalton Trans. 2006. P. 3647.
- Scholz J., Hager V., Wang X., Kohler F. T.U., Sternberg M., Haumann M., Szesni N., Meyer K., Wasserscheid P. // ChemCatChem. 2014. V. 6. P. 162.
- Kohler F. T.U., Gärtner K., Hager V., Haumann M., Sternberg M., Wang X., Szesni N., Meyer K., Wasserscheid P. // Catal. Sci. Technol. 2014. V. 4. P. 936.
- Heinicke J., Lach J., Basvani K. R., Peulecke N., Jones P. G., Köckerling M. // Phosphorus Sulfur Silicon Relat. Elem. 2011. V. 186. P. 666.
- Фомина (Софьичева) О.С., Синяшин О. Г., Хайнике И., Яхваров. Д.Г. // Бутлеровские сообщения. 2012. Т. 10. С. 63.
- Ghalib M., Lach J., Fomina O. S., Yakhvarov D. G., Jones P. G., Heinicke J. // Polyhedron. 2014. V. 77. P. 10.
- Lach J., Peulecke N., Kindermann M. K., Palm G. J., Köckerling M., Heinicke J. W. // Tetrahedron. 2015. V.71. P. 4933.
- Fomina O. S., Heinicke J. W., Sinyashin O. G., Yakhvarov D. G. // Phosphorus Sulfur Silicon Relat. Elem. 2016. V. 191. P. 1478.
- Peulecke N., Yakhvarov D. G., Heinicke J. W. // Eur J. Inorg. Chem. 2019. P. 1507.
- Soficheva O. S., Bekmukhamedov G. E., Dobrynin A.B, Heinicke J. W., Sinyashin O. G., Yakhvarov D. G. // Mendeleev Commun. 2019. V. 29. P. 575.
- Soficheva O. S., Nesterova A. A., Dobrynin A. B., Zueva E. M., Heinicke J. W., Sinyashin O. G., Yakhvarov D. G. // Mendeleev Commun. 2020. V. 30. P. 516.
- Kagileva A. A., Kagilev A. A., Kantyukov A. O., Gafurov Z. N., Sakhapov I. F., Bekmukhamedov G. E., Khayarov K. R., Zueva E. M., Soficheva O. S., Yakhvarov D. G. // New J. Chem. 2022. V. 46. P. 17303.
Дополнительные файлы









