Каталитическое кросс-электрофильное C(sp²)–C(sp³)-сочетание в системе Ptᴵᴵ–NaI–C₂H₃I–CH₃I–ацетон
- Авторы: Краснякова Т.В.1, Никитенко Д.В.1, Митченко С.А.1
-
Учреждения:
- ФГБНУ Институт физико-органической химии и углехимии им. Л. М. Литвиненко
- Выпуск: Том 65, № 1 (2024)
- Страницы: 37-47
- Раздел: СТАТЬИ
- URL: https://medbiosci.ru/0453-8811/article/view/259675
- DOI: https://doi.org/10.31857/S0453881124010045
- EDN: https://elibrary.ru/HAALJO
- ID: 259675
Цитировать
Полный текст
Аннотация
Сконструирована новая каталитическая система восстановительного кросс-электрофильного C(sp²)–C(sp³)-сочетания: иодидные комплексы Ptᴵᴵ в ацетоновом растворе NaI катализируют сочетание метилиодида и винилиодида с образованием пропилена. Параллельно в небольшом количестве выделяется продукт C(sp²)–C(sp²)-сочетания 1,3-бутадиен. Суммарный выход продуктов в расчете на прореагировавший винилиодид близок к количественному. В условиях большого избытка CH₃I расходование C₂H₃I отвечает кинетическому уравнению реакции псевдопервого порядка. Кросс-сочетание осуществляется в последовательности стадий окислительного присоединения CH₃I к иодидным комплексам Ptᴵᴵ – восстановления под действием I– метильного комплекса PtIV до соответствующего производного Ptᴵᴵ – окислительного присоединения к последнему C₂H₃I – восстановительного элиминирования органильных лигандов из метилвинильного комплекса PtIV.
Ключевые слова
Полный текст
ВВЕДЕНИЕ
В последние десятилетия внимание исследователей как в академических кругах, так и в промышленной сфере привлекают реакции сочетания C-X(X = C, N, O, S) благодаря их важности как синтетического инструмента в современной органической химии [1–13]. Особого внимания заслуживает образование углерод-углеродных связей, считающееся одной из самых сложных задач органического синтеза [4–13]. Во второй половине XX в. появились достаточно простые протоколы конструирования C–C-связей в присутствии катализаторов на основе переходных металлов, что произвело настоящую революцию в синтетической химии. Свидетельством этому стало присуждение в 2010 г. Нобелевской премии Р. Хеку, Э. Негиши, А. Сузуки за разработку катализируемых палладием реакций кросс-сочетания. Растущий интерес к этой области обусловлен широким применением разработанных приемов: сегодня протоколы кросс-сочетания используются в тонком органическом синтезе, производстве медицинских изделий и фармацевтических препаратов, агрохимикатов и др., а также при получении универсальных органических строительных блоков и сложных натуральных продуктов [3, 4, 12–16].
Традиционно C–C-сочетание осуществляется между нуклеофильным и электрофильным реагентами, первый из которых реагирует с металлическим центром посредством трансметаллирования, а другой – путем окислительного присоединения [17]. Такое различие в реакционной способности металлоорганических нуклеофилов и углеродных электрофилов обеспечивает высокую хемоселективность реакции. Однако количество коммерчески доступных углеродных нуклеофилов намного меньше, чем электрофилов, что стимулирует развитие концептуально иного подхода – непосредственного сочетания двух электрофильных реагентов.
Ранее в системе Ptᴵᴵ–NaI–C₂H₃I–ацетон нами было реализовано [18] гомосочетание винилиодида с образованием бутадиена. Реакция осуществлялась через последовательное окислительное присоединение двух молекул субстрата с промежуточным восстановлением иодидионами продукта присоединения первой молекулы электрофила, которому содействовало сольвентоспецифичное связывание выделяющегося иода ацетоном с избытком NaI в полимерный малорастворимый комплекс [Na(C₃H₆O)₃]n(I₂)n. Целью настоящего исследования является распространение предложенного подхода к кросс-электрофильному сочетанию метилиодида с винилиодидом в системе Ptᴵᴵ–NaI–C₂H₃I–CH₃I–ацетон.
Рис. 1. Типичный ¹H ЯМР-спектр реакционной смеси в системе Ptᴵᴵ–NaI–C₂H₃I–CH₃I–ацетон при 40°C; нумерация атомов водорода отражена в уравнении реакции (I) и на схеме 1.
ЭКСПЕРИМЕНТАЛЬНАЯ ЧАСТЬ
Субстраты и реактивы
Для приготовления реакционной смеси использовали коммерческие реактивы NaI (х. ч.), ацетон (“Merсk”) и метилиодид (“Aldrich”) без дополнительной очистки. Винилиодид получали как описано в [18]. Na₂PtCl₄ синтезировали по известной методике [19]. Замещение хлорид-лигандов в координационной сфере платины осуществляли in situ в ацетоновом растворе с избытком NaI: соль Na₂PtCl₄ растворяли в 0.9 мл раствора NaI (1.5 М) в ацетоне-d₆ и добавляли аликвоту метилиодида для ускорения обмены лигандов, после чего оставляли на сутки при комнатной температуре. Выпавший осадок NaCl отделяли центрифугированием, надосадочную жидкость переносили в ампулу ЯМР, добавляли аликвоту раствора винилиодида в ацетоне-d₆, содержащего NaI той же концентрации. Ампулу запаивали.
Реакции проводили при 40°C, их мониторинг осуществляли ЯМР-спектрометрически по изменению интенсивности сигналов субстратов и продуктов в протонном спектре при помощи ЯМР-спектрометра AVANCE II 400 (“Bruker”, Германия).
Селективность рассчитывали как отношение количества продукта к количеству прореагировавшего винилиодида во всем временном интервале изучения реакции.
Продукты и интермедиат
Продукты идентифицировали методами ЯМР. Концентрации определяли относительно внутреннего весового стандарта (бензол) путем интегрирования соответствующих сигналов в ¹H ЯМР-спектре. При записи ¹⁹⁵Pt ЯМР-спектров использовали внешний стандарт – раствор Na₂PtCl₆ в D₂O. Параметры спектров продуктов и интермедиата реакции приведены ниже, обозначения атомов водорода отражены в уравнение реакции (I) и на схеме 1 соответственно.
1,3-Бутадиен1. ¹H (δ, м. д.) ацетон-d₆: 6.43–6.31 (м, 2H, H³ᶜ), 5.29–5.06 (м, 4H, H³ᵃ, H³ᵇ). ¹³C{H} (δ, м. д.) ацетон-d₆: 118.4 (=CH₂), 138.6 (–СH=).
Пропилен. ¹H (δ, м. д.) ацетон-d₆: 5.87–5.74 (м, ¹H, H²ᵃ), 5.04–4.96 (м, 1H, H²ᶜ), 4.92–4.87 (м, 1H, H²ᵇ), 1.70–1.65 (м, 3H, H²ᵈ). ¹³C{H} (δ, м. д.) ацетон-d₆: 115.6 (CH₂=), 134.0 (=CH–), 19.2 (–CH₃).
Интермедиат реакции – комплекс Ptᴵᴵ(η²-(H₂C=CH–Ptᴵᵛ–CH₃)). ¹H (δ, м. д.; J, Гц) ацетон-d₆: 6.05 (дд, ³JHᵈHᵇ =13.1; ²JHᵈHᶜ = 1; ³JPtᴵᵛHᵈ = 50, JPtᴵᴵHᵈ = 72, 1H, Hᵈ), 5.92 (дд, ³JHᵇHᵈ = 13.1, ³JHᵇHᶜ = 6.7; 1H, Hᵇ), 5.32 (дд, ³JHᶜHᵇ =6.7, ²JHᶜHᵈ = 1; ³JPtᴵᵛHᶜ = 82.7, JPtᴵᴵHᶜ =76, 1H, Hᶜ), 3.11 (с; JPtᴵᵛHᵃ = 82.1, 3H, Hᵃ). ¹⁹⁵Pt{H} (δ, м. д.) ацетон-d₆: –3977 (Ptᴵᵛ), –4391 (Ptᴵᴵ).
РЕЗУЛЬТАТЫ И ИХ ОБСУЖДЕНИЕ
Как и ожидалось, в системе Ptᴵᴵ–NaI–ацетон осуществляется кросс-электрофильное C(sp²)–C(sp³)-сочетание метилиодида и винилиодида с образованием пропилена. Параллельно накапливается продукт гомо-C(sp²)–C(sp²)-сочетания – бутадиен.
В ¹H ЯМР-спектре реакционной смеси (рис. 1) кроме сигналов протонов субстратов и С₄Н₆ обнаружены мультиплеты, отвечающие винильным (области 5.87–5.74, 5.04–4.96, 4.92–4.87 м. д.) и метильным (1.70–1.65 м. д.) протонам пропилена. Отнесение указанных мультиплетов к С₃Н₆ согласуется с данными [20]. ¹³C{H} ЯМР-спектр содержит сигналы метилиденовой (CH₂=, 115.6 м. д.) и метильной (–CH₃, 19.2 м. д.) групп, а также метинового мостика (=CH–, 134.0 м. д.) пропилена.
Протекание реакции сопровождается выпадением темного игольчатого осадка с металлическим блеском.
Кинетика и селективность
В условиях избытка метилиодида убыль винилиодида отвечает кинетическому уравнению первого порядка (рис. 2).
Рис. 2. Изменение во времени концентраций винилиодида (1), пропилена (2) и бутадиена (3), а также C₂H₃I в полулогарифмических координатах (4). Начальные концентрации: [MeI]₀ = 1.1 M; [Ptᴵᴵ]₀ = 0.01 М, [ViI]₀= 0.09 M; Т = 40°C.
Реакция протекает в каталитическом режиме – при минимальной из использованных в работе концентраций Ptᴵᴵ на одном металлическом центре реализуется не менее 9 каталитических циклов. Суммарный выход продуктов в расчете на прореагировавший винилиодид составляет около 80% (табл. 1).
Таблица 1. Характеристики каталитической реакции в системе C₂H₃I–CH₃I–Ptᴵᴵ–NaI–ацетон при 40°C и разных загрузках катализатора [Ptᴵᴵ]₀
[Ptᴵᴵ]₀, M | kViI × 105, ч⁻¹ | TON | Spr, % | Sbd, % |
0.01 | 0.48 ± 0.02 | 9 | 67.9 ± 0.3 | 7.4 ± 0.2 |
0.03 | 0.70 ± 0.02 | 2.3 | 67.0 ± 0.9 | 12.1 ± 0.4 |
0.044 | 0.88 ± 0.03 | 2.3 | 58.7 ± 1.0 | 23.1 ± 0.7 |
0.12 | 1.13 ± 0.03 | 0.7 | 53.6 ± 2.0 | 30.7 ± 1.5 |
*Условия: [MeI]₀ = 1.1 М, [ViI]₀= 0.09 M, 40°C.
Примечание. Spr – селективность образования пропилена, Sbd – селективность образования бутадиена, kViI – наблюдаемая константа скорости реакции первого порядка расходования винилиодида.
Наблюдаемая константа скорости реакции псевдопервого порядка монотонно растет по мере увеличения концентрации загруженного катализатора (рис. 3). Экспериментальная зависимость kViI([Ptᴵᴵ]₀) хорошо описывается эмпирическим уравнением
(1)
Идентификация интермедиата кросс-сочетания
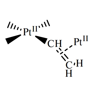
Методами ЯМР-спектроскопии было идентифицировано промежуточное платиноорганическое соединение. ¹H ЯМР-спектр интермедиата представлен четырьмя группами сигналов (рис. 1): тремя в винильном диапазоне химических сдвигов (5.32, 5.92 и 6.05 м. д.) и одним в алкильной области (3.11 м. д.). Сигналы винильных протонов расщеплены в дублет дублетов (рис. 4, вставка); самый сильнопольный из них сопровождается платиновыми сателлитами с высоким значением вицинальной константы спин-спинового взаимодействия (КССВ) ³JPtН(транс) = 82.7 Гц, что свидетельствует о σ-связывании винильного лиганда с атомом платины. Гомоядерные КССВ 6.7 и 1 Гц этого сигнала характерны, соответственно, для вицинальной ³JНН(цис) и геминальной ²JHH констант в олефинах [21, 22], что позволяет отнести его к винильному протону Hᶜ, находящемуся у β-атома углерода в транс-положении к платине. Значение 13.1 Гц КССВ сигнала с химическим сдвигом 6.05 м. д. отвечает вицинальной константе ³JНН(транс) в олефинах [4, 14] и свидетельствует о цис-положении протона Hᵈ по отношению к платине у β-углеродного атома. Дублет дублетов с центром при δ = 5.92 м. д. следует отнести к протону Hᵇ у α-атома углерода. В метильной области синглет с химическим сдвигом 3.11 м. д. сопровождается платиновыми сателлитами с высоким значением константы спин-спинового взаимодействия ²JPtH = 82.1 Гц, характерным для метильного лиганда, σ-связанного с Ptᴵᵛ [23].
В ¹⁹⁵Pt ЯМР-спектре зафиксированы сигналы с химическими сдвигами 3977 и 4391 м. д: положение слабопольного близко к бис-органильным комплексам Ptᴵᵛ (около –4000 м. д. [24]), а сильнопольного – к исходным иодидным комплексам Ptᴵᴵ (–5035 м. д. [25]) (рис. 4). Платиновые сателлиты сигналов всех протонов в двухмерном HMQC(¹H–¹⁹⁵Pt)-спектре имеют кросс-пики со слабопольным ¹⁹⁵Pt ЯМР-сигналом, а винильных – еще и с сильнопольным. Это свидетельствует о нахождении обоих атомов платины в одном комплексе. Гетероядерная КССВ ³JPtН(цис) = 50 Гц, близкая к величинам констант в органильных производных платины(IV) [18], существенно меньше вицинальной константы ³JPtН(транс) = 82.7 Гц, что согласуется с разным расположением протонов у β-атома углерода: Hᶜ находится в транс-положении к Ptᴵᵛ, а Hᵈ – в цис-положении. Несколько меньшие, чем ³JPtН(транс), но близкие между собой по величине КССВ JPtН = 72 и 76 Гц указывают на π-координацию двойной связи винильного лиганда к комплексу Ptᴵᴵ [18]. Наложение сигналов Hᵈ и Hᵇ в двухмерном HMQC(¹H–¹⁹⁵Pt)-спектре не позволило достоверно определить величины гетерояденых КССВ для протона Hᵇ.
Таким образом, металлорганический интермедиат представляет собой метилвинильный биядерный комплекс Ptᴵᴵ(η²-(H₂C=C(H)–Ptᴵᵛ–CH₃)), в котором органильные лиганды σ-связаны с Ptᴵᵛ, а винильный фрагмент дополнительно π-координирован к Ptᴵᴵ (схема 1). Метильный и винильный лиганды находятся в цис-положении друг к другу – на это указывает высокое значение ²JPtH = 82.1 Гц: для метильных производных платины(IV), имеющих в транс-положении к метильной группе другой σ-органильный лиганд, характерны относительно низкие значения КССВ ²JPtH ≈ 45 Гц [26].
Рис. 3. Зависимость наблюдаемой константы kViI скорости расходования винилиодида от начальной загрузки катализатора [Ptᴵᴵ]₀: точки на графике отвечают экспериментальным значениям kViI, огибающая кривая – расчет по уравнению (1) при А = (6.2 ± 1.0) × 10⁻⁴ л моль⁻¹. ч⁻¹, B = (48 ± 10) л моль⁻¹.
Рис. 4. 2D HMQC(¹H–¹⁹⁵Pt)-спектр реакционной смеси в системе Ptᴵᴵ–NaI–C₂H₃I–CH₃I–ацетон, Т = 23°C.
Отметим, что ранее [18] при осуществлении каталитического гомо-электрофильного C(sp²)–C(sp²)-сочетания C₂H₃I методами ЯМРспектроскопии был зафиксирован подобный интермедиат – биядерное винильное производное платины Ptᴵᴵ(η²-(H₂C=C(H)–Ptᴵᴵ)). Для обоих промежуточных биядерных комплексов КССВ ³JPtН(транс) и ³JНН(цис) практически совпадают, положения ¹⁹⁵Pt ЯМР-сигналов π-координированной к винильному фрагменту Ptᴵᴵ близки, также как и гетероядерные JPtН (табл. 2). Значения гомоядерных КССВ ³JНН(транс) в интермедиатах несколько отличаются, но оба характерны для вицинальных констант в олефинах. Небольшое смещение в слабое поле сигнала атома платины, σ-связанного с органильными лигандами, в интермедиате кросс-сочетания по сравнению с промежуточным соединением гомосочетания обусловлено, вероятно, двумя конкурирующими факторами: 1) при увеличении степени окисления платины ¹⁹⁵Pt ЯМР-сигнал уходит в сильное поле – в водных растворах химические сдвиги для Ptᴵᴵ и Ptᴵᵛ различаются примерно на 800 м. д. (¹⁹⁵Pt ЯМР: и ) [25]; 2) количество σ-связанных органильных лигандов в этих комплексах различно, а каждое последующее органилирование платины сдвигает сигнал Ptᴵᵛ в слабое поле на ~1000 м. д. [24].
В ¹H ЯМР-спектре хорошо детектируемый синглет метильных протонов 3.11 м. д. промежуточного соединения платины позволил наблюдать кинетику его изменения. Мониторинг изменения концентрации интермедиата реакции удобнее было провести при комнатной температуре (23°C) и близкой к максимально возможной загрузке катализатора ([Ptᴵᴵ]₀ = 0.1 М): в этих условиях он накапливается в большей концентрации, поскольку расходуется медленнее, чем при 40°C (рис. 5). Равновесная концентрация метилвинильного биядерного комплекса в ходе реакции проходит через максимум, после чего медленно уменьшается во времени. В области ее возрастания на кинетической кривой накопления пропилена имеется индукционный период.
Такой же характер носят изменения равновесной концентрации метилвинильного биядерного комплекса платины с течением времени и в случае протекания реакции при 40°C, причем константа скорости его убыли после достижения максимума совпадает с наблюдаемой в аналогичных условиях константой kViI скорости расходования винилиодида.
Схема 1. Соотнесение параметров ЯМР-спектров и структуры метилвинильного биядерного комплекса платины. Иодидные лиганды в комплексах платины для простоты опущены.
Таблица 2. Параметры ЯМР-спектров интермедиатов реакций C(sp²)–C(sp³)и C(sp²)–C(sp²)-сочетания
Сочетание; интермедиат | ³JPtН(транс), Гц | JPtᴵᴵHᶜ , Гц | JPtᴵᴵHᵈ, Гц | δPt, м. д. | ³JНН(транс), Гц | ³JНН(цис), Гц | Источник | |
σ | π | |||||||
C(sp²)–C(sp³); | 82.7 | 76 | 72 | –3977 | –4391 | 13.1 | 6.7 | настоящая работа |
C(sp²)–C(sp²);
| 82.3 | 75 | 68.5 | –4334 | –4534 | 19.5 | 7.2 | [18] |
Рис. 5. Фрагмент кинетики изменения концентрации интермедиата (1) и накопления продуктов реакции – бутадиена (2) и пропилена (3). Реакционные условия: Т = 23°C, начальные концентрации: [MeI]₀ = 1.3 M; [Ptᴵᴵ]₀ = 0.1 М, [ViI]₀= 0.62 M.
Механизм реакции
Предполагаемый механизм каталитического C(sp²)–C(sp³)-сочетания включает следующую последовательность стадий. Реакция начинается с обратимого окислительного присоединения метилиодида2 к иодидным комплексам Ptᴵᴵ с образованием метильного комплекса Ptᴵᵛ (схема 2, стадия 1, цикл I), восстановление которого иодид-ионами (стадия 2) генерирует метильное производное Ptᴵᴵ. Протеканию этой стадии способствует обнаруженное ранее [29] сольвентоспецифичное связывание выделяющегося иода ацетоном с избытком NaI в нерастворимый полимерный комплекс [Na(C₃H₆O)₃]n(I₂) n, выпадающий кристаллическим осадком с металлическим блеском.
Метильный комплекс платины(II) окислительно присоединяет молекулу второго электрофила – винилиодида, формируя бис-органильное метилвинильное производное Ptᴵᵛ (стадия 3). Равновесная π-координация двойной связи винильного лиганда иодидным комплексом платины(II) (стадия 4) дает наблюдаемый в ЯМР интермедиат Ptᴵᴵ(η²-(H₂C=C(H)–Ptᴵᵛ–CH₃)). Равновесие здесь смещено в сторону биядерного метилвинильного комплекса: моноядерное метилвинильное производное Ptᴵᵛ ЯМР-спектрометрически не зафиксировано.
Каталитический цикл завершает скоростьопределяющее восстановительное элиминирование метильного и винильного лигандов с образованием продукта кросс-сочетания – пропилена (стадия 5). Лимитирующий характер этой стадии вытекает из следующих экспериментальных фактов. Во-первых, ЯМР-спектрометрически зафиксирован биядерный метилвинильный комплекс платины В. Во-вторых, константа скорости распада этого комплекса совпадает с наблюдаемой константой скорости расходования винилиодида. Это означает, что стадии 3 и 4 квазиравновесные, и реакция эти равновесия не нарушает. В рамках представленного механизма находит естественное объяснение первый порядок по винилиодиду – все предшествующие восстановительному элиминированию стадии являются равновесными. Отметим, что в аналогичной системе, но без метилиодида, расходование субстрата отвечало кинетическому уравнению второго порядка, и скорость реакции определяло окислительное присоединение второй молекулы винилиодида. Такое изменение лимитирующей стадии реакции согласуется с известным фактом затрудненности C(sp²)–C(sp³)-сочетания по сравнению с C(sp²)–C(sp²) [30–32].
Кросс C(sp²)–C(sp³)-сочетание в системе Ptᴵᴵ–NaI–C₂H₃I–CH₃I–ацетон осложнено параллельным гомосочетанием винилиодида с выделением бутадиена. В ранее изученной [18] подобной системе, но без метилиодида, реакция протекала через последовательность стадий окислительного присоединения винилиодида к комплексам Ptᴵᴵ – восстановления иодид-ионами образовавшегося интермедиата – окислительного присоединения второй молекулы электрофила – восстановительного элиминирования винильных лигандов. Отмеченное выше изменение порядка реакции по винилиодиду при переходе к системе с CH₃I указывает на иной механизм реакции гомосочетания. Мы полагаем, что в этих условиях бутадиен получается путем обмена лигандами двух метилвинильных производных Ptᴵᵛ (А) с образованием симметричных комплексов – диметильного и дивинильного (схема 2, стадия 6, цикл II). Восстановительное элиминирование винильных лигандов из последнего приводит к формированию конечного продукта – бутадиена (стадия 7). Отметим, что подобный обмен органильных лигандов был предложен в [13], где бис-алкильные комплексы никеля генерировались в результате метатезиса двух моноорганильных производных металла путем обмена иодид-лиганда на алкильный. О переносах винильных или арильных групп с никелевого на палладиевый металлический центр при тандемном катализе двумя металлами сообщалось также в [17, 33, 34].
Мыслим еще один путь получения С₄Н₆ в системе Ptᴵᴵ–NaI–C₂H₃I–CH₃I–ацетон: метилвинильный комплекс А может быть восстановлен иодид-ионами до соответствующего производного Ptᴵᴵ. Окислительное присоединение к последнему еще одной молекулы винилиодида способно формировать метилдивинильный комплекс Ptᴵᵛ, восстановительное элиминирование из которого двух винильных лигандов даст бутадиен и метильный комплекс Ptᴵᴵ. Однако такой маршрут образования бутадиена менее вероятен, поскольку в этой системе трис-органильные производные платины зафиксированы не были.
Схема 2. Стадийный механизм каталитических превращений в системе Ptᴵᴵ–NaI–C₂H₃I–CH₃I–ацетон: цикл I – C(sp²)–C(sp³)-сочетание, цикл II – C(sp²)–C(sp²)-сочетание. Иодидные лиганды в комплексах платины для простоты опущены.
Нелинейный характер зависимости наблюдаемой константы скорости расходования винилиодида от концентрации загруженного катализатора (рис. 3) можно объяснить при следующих допущениях. Учитывая, что стадии 1–3 (схема 2) каталитической реакции являются равновесными, получение метилвинильного комплекса платины А, находящегося в равновесии с биядерным интермедиатом реакции В, можно изобразить упрощенной схемой 3, где K = K₁ K₂ K₃ – обобщенная константа равновесий 1–3 (схема 2), K₄ – константа равновесия стадии 4 (схема 2), k₅ – константа скорости элементарной стадии распада комплекса А в пропилен.
В рамках схемы 3 константа kViI определяется как:
(2)
По своему виду выражение (2) совпадает с аппроксимирующим экспериментальную зависимость kViI([Ptᴵᴵ]₀) уравнением (1), что дает возможность оценить константу равновесия стадии 4 между монои биядерным интермедиатами реакции (А и В), которая составляет K₄ = (48 ± 10) л моль⁻¹.
Схема 3. Упрощенный механизм образования пропилена в системе Ptᴵᴵ–NaI–C₂H₃I–CH₃I–ацетон. Иодидные лиганды в комплексах платины для простоты опущены.
ЗАКЛЮЧЕНИЕ
Простые иодидные комплексы платины в ацетоновых растворах NaI катализируют реакцию кросс-сочетания винилиодида и метилиодида с образованием пропилена, параллельно в небольшом количестве выделяется продукт гомосочетания бутадиен С₄Н₆. В условиях большого избытка метилиодида расходование винилиодида отвечает кинетическому уравнению первого порядка в отличие от гомосочетания винилиодида в подобной системе, но без CH₃I, где наблюдался второй порядок по субстрату.
Механизм кросс-электрофильного сочетания включает следующую последовательность стадий: окислительное присоединение метилиодида к комплексам Ptᴵᴵ; восстановление иодид-ионами образовавшегося интермедиата Ptᴵᵛ до метильного производного Ptᴵᴵ; окислительное присоединение молекулы винилиодида к генерированному на предыдущей стадии комплексу платины; замыкающее каталитический цикл восстановительное элиминирование органильных лигандов, регенерирующее активную форму катализатора.
Продукт гомосочетания бутадиен образуется в результате восстановительного элиминирования лигандов симметричного дивинильного комплекса Ptᴵᵛ, генерированного путем метатезиса органильных лигандов двух метилвинильных производных платины.
ФИНАНСИРОВАНИЕ
Работа выполнена при финансовой поддержке Министерства науки и высшего образования Российской Федерации, бюджетная тема “Каталитические превращения углеводородов и их производных в гомогенных и гетерогенных условиях с образованием новых связей C–C, S–O и C–элемент (FRES-2023-0005)”.
КОНФЛИКТ ИНТЕРЕСОВ
Авторы заявляют об отсутствии конфликта интересов, требующего раскрытия в данной статье.
1 Продукт C(sp²)–C(sp²)-сочетания бутадиен был идентифицирован нами ранее [18].
2 Обратимость окислительного присоединения метилиодида к иодидным комплексам платины(II) показана в [27, 28].
Об авторах
Т. В. Краснякова
ФГБНУ Институт физико-органической химии и углехимии им. Л. М. Литвиненко
Автор, ответственный за переписку.
Email: ktv_@list.ru
Россия, ул. Р. Люксембург, 70, Донецк, 283048
Д. В. Никитенко
ФГБНУ Институт физико-органической химии и углехимии им. Л. М. Литвиненко
Email: ktv_@list.ru
Россия, ул. Р. Люксембург, 70, Донецк, 283048
С. А. Митченко
ФГБНУ Институт физико-органической химии и углехимии им. Л. М. Литвиненко
Email: ktv_@list.ru
Россия, ул. Р. Люксембург, 70, Донецк, 283048
Список литературы
- Chen J.-Q., Dong Z.-B. // Synthesis. 2020. V. 52. № 24. P. 3714.
- Niroomand Hosseini F., Nabavizadeh S.M., Shoara R., Dadkhah Aseman M., Abu-Omar M.M. // Organometallics. 2021. V. 40. № 13. P. 2051.
- Reeves E.K., Entz E.D., Neufeldt S.R. // Chem. Eur. J. 2021. V. 27. № 20. P. 6161.
- Andrade M.A., Martins L. // Molecules. 2020. V. 25. № 23. Article 5506.
- Темкин О.Н. // Кинетика и Катализ. 2019. T. 60. № 6. C. 683. (Temkin O.N. // Kinet. Catal. 2019. V. 60. № 6. P. 689.)
- Курохтина А.А., Ларина E.В., Лагода Н.А., Шмидт А.Ф. // Кинетика и катализ. 2022. T. 63. № 5. C. 614. (Kurokhtina A.A., Larina E.V., Lagoda N.A., Schmidt A.F. // Kinet. Catal. 2022. V. 63. № 5. P. 614.)
- Ларина E.В., Курохтина А.А., Лагода Н.А., Шмидт А.Ф. // Кинетика и катализ. 2022. T. 63. № 2. C. 234. (Larina E.V., Kurokhtina A.A., Lagoda N.A., Schmidt A.F. // Kinet. Catal. 2022. V. 63. № 2. P. 207.)
- Ларина Е.В., Курохтина А.А., Лагода Н.А., Григорьева Т.А., Шмидт А.Ф. // Кинетика и катализ. 2023. T. 64. № 4. C. 428. (Larina E.V., Kurokhtina A.A., Lagoda N.A., Grigoryeva T.A., Schmidt A.F. // Kinet. Catal. 2023. V. 64. № 4. P. 431.)
- Шмидт А.Ф., Курохтина А.А., Ларина E.В., Лагода Н.А., Явсин Д.А., Гуревич С.А., Зеликман В.М., Кротова И.Н., Ростовщикова Т.Н., Тарханова И.Г. // Кинетика и катализ. 2023. T. 64. № 1. C. 39. (Schmidt A.F., Kurokhtina A.A., Larina E.V., Lagoda N.A., Yavsin D.A., Gurevich S.A., Zelikman V.M., Krotova I.N., Rostovshchikova T.N., Tarkhanova I.G. // Kinet. Catal. 2023. V. 64. № 1. P. 32.)
- Bhakta S., Ghosh T. // Org. Chem. Front. 2022. V. 9. № 18. P. 5074.
- Ge D., Chen J.-W., Chen Y.-L., Ma M., Shen Z.-L., Chu X.-Q. // Org. Chem. Front. 2023. V. 10. № 15. P. 3909.
- Doraghi F., Yousefnejad F., Farzipour S., Aledavoud S.P., Larijani B., Mahdavi M. // Org. Biomol. Chem. 2023. V. 21. № 9. P. 1846.
- Campeau L.-C., Hazari N. // Organometallics. 2019. V. 38. № 1. P. 3.
- Knappke C.E.I., Grupe S., Gaertner D., Corpet M., Gosmini C., Wangelin A.J.v.W. // Chemistry. 2014. V. 20. № 23. P. 6828.
- Aghakhanpour R.B., Paziresh S., Nabavizadeh S.M., Hoseini S.J., Niroomand Hosseini F. // J. Iran. Chem. Soc. 2020. V. 17. № 11. P. 2683.
- Beckers I., Bugaev A., De Vos D. // Chem. Sci. 2023. V. 14. № 5. P. 1176.
- Hanna L.E., Jarvo E.R. // Angew. Chem. Int. Ed. 2015. V. 54. № 52. P. 15618.
- Краснякова Т.В., Никитенко Д.В., Моренко В.В., Митченко С.А. // Кинетика и катализ. 2022. T. 63. № 3. C. 322. (Krasnyakova T.V., Nikitenko D.V., Morenko V.V., Mitchenko S.A. // Kinet. Catal. 2022. V. 63. № 3. P. 270.)
- Синтез комплексних соединений металлов платиновой группы. Справочник. Ред. Черняев И.Н. Москва: Наука, 1964. 239 с.
- SDBSWeb: https://sdbs.db.aist.go.jp (National Institute of Advanced Industrial Science and Technology, date of access 22.07.2023.)
- Гюнтер Х. Введение в курс спектроскопии ЯМР. Mосква: Мир, 1984. 478 с. (Günther H. NMR spectroscopy: an introduction. Chichester [Eng.]; New York: Wiley, 1980. 436 p.)
- Вилков Л.В., Пентин Ю.А. Физические методы исследования в химии. Резонансные и электрооптические методы. Москва: Высшая школа, 1989. 288 с.
- Priqueler J.R.L., Butler I.S., Rochon F.D. // Appl. Spectrosc. Rev. 2006. V. 41. № 3. P. 185.
- Khazipov O.V., Krasnyakova T.V., Nikitenko D.V., Merzlikina M.A., Khomutova E.V., Mitchenko S.A. // J. Organomet. Chem. 2018. V. 867. P. 333.
- Хазипов О.В., Мерзликина М.А., Никитенко Д.В., Хомутова Е.В., Краснякова Т.В., Митченко С.А. // Журнал общей химии. 2017. T. 87. № 1. C. 134. (Khazipov O.V., Merzlikina M.A., Nikytenko D.V., Khomutova E.V., Krasnyakova T.V., Mitchenko S.A. // Russ. J. Gen. Chem. 2017. V. 87. № 1. P. 128.)
- Wang T., Love J.A. // Organometallics. 2008. V. 27. № 13. P. 3290.
- Митченко С.А., Хазипов О.В., Краснякова Т.В. // Теоретическая и экспериментальная химия. 2012. Т. 48. № 4. С. 230. (Mitchenko S.A., Khazipov O.V., Krasnyakova T.V. // Theor. Exp. Chem. 2012. V. 48. № . 4. P. 246.)
- Mitchenko S.A., Khazipov O.V., Mitchenko E.S., Krasnyakova T.V. // J. Organomet. Chem. 2014. V. 752. P. 91.
- Howie R.A., Wardell J.L. // Acta Cryst. 2003. V. C59. P. m184.
- Митченко С.А., Хазипов О.В., Краснякова Т.В. // Известия Академии наук. Серия химическая. 2013, № 4. С. 984. (Mitchenko S.A., Khazipov O.V., Krasnyakova T.V. // Russ. Chem. Bull. 2013. V. 62. № 4. P. 984.)
- Ananikov V.P., Musaev D.G., Morokuma K. // Organometallics. 2005. V. 24. № 4. P. 715.
- Ananikov V.P., Musaev D.G., Morokuma K. // Eur. J. Inorg. Chem. 2007. P. 5390.
- Olivares A.M., Weix D.J. // J. Am. Chem. Soc. 2018. V. 140. № 7. P. 2446.
- Ackerman L.K.G., Lovell M.M., Weix D.J. // Nature. 2015. V. 524. № 7566. P. 454.
Дополнительные файлы













