Z/E Isomerization of Acetylene Oxidative Carbmethoxylation Products and the Proposed Process Mechanism
- Authors: Prokhorov S.A.1, Matrosova Y.A.1, Oshanina I.V.1
-
Affiliations:
- MIREA – Russian Technological University
- Issue: Vol 65, No 4 (2024)
- Pages: 451-462
- Section: ARTICLES
- URL: https://medbiosci.ru/0453-8811/article/view/279293
- DOI: https://doi.org/10.31857/S0453881124040067
- EDN: https://elibrary.ru/RIDGXJ
- ID: 279293
Cite item
Full Text
Abstract
A new catalytic system for the production of dimethyl maleate (DMM) and dimethyl fumarate (DMF) by acetylene oxidative carbomethoxylation is proposed. It is shown that in the PdBr2-LiBr – РсСо – MeOH system, DMM is predominantly formed. The effect of HBr, thiourea (Tu) and solvent additives on the rate of DMM Z/E isomerization reaction is studied. It is shown that the use of an additional organic solvent and a decrease in the methanol concentration increase in Z/E isomerization rate and leads to DMF formation. A mechanism for DMM, DMF and dimethyl succinate formation is proposed (DMS).
Full Text
Сокращения и обозначения: ДММ – диметилмалеат; ДМФ – диметилфумарат; ДМС – диметилсукцинат; ЯА – янтарный ангидрид; ЯК – янтарная кислота; МА – малеиновый ангидрид; ДБС – дибутилсукцинат; ДБМ – дибутилмалеат; ДБФ – дибутилфумарат; БП – бутилпропионат; АН – ацетонитрил; PcCo (PcFe) – фталоцианиновые комплексы кобальта (железа); Tu – тиомочевина; αMeOH – мольная доля метанола; r0i и ri – скорость образования i-того продукта; Сi – концентрация i-того вещества; Si – селективность образования i-того продукта.
ВВЕДЕНИЕ
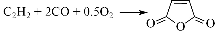
Реакции карбонилирования (карбоксилирования, карбалкоксилирования) ацетилена по связи С≡С, протекающие в присутствии комплексов палладия, позволяют получать широкий спектр продуктов: кислоты, эфиры моно- и дикарбоновых кислот, ангидриды, циклические лактоны и др. Условия проведения реакции влияют на состав продуктов. Так, в отсутствие окислителя одновременно образуются продукты окислительного, аддитивного и восстановительного карбонилирования.
Образование разных продуктов в процессе карбонилирования ацетилена, обусловленное его сложным механизмом, усложняет технологические схемы. Настоящая работа является продолжением многолетних исследований реакций с участием оксида углерода(II) и ацетилена, выполняемых под руководством профессора О.Н. Темкина [1–11]. Цель работы – поиск каталитической системы и условий для селективного получения диметилфумарата окислительным карбметоксилированием ацетилена.
Диметилфумарат (ДМФ) включен в перечень жизненно необходимых и важнейших лекарственных препаратов для медицинского назначения и используется для лечения псориаза и аутоиммунных заболеваний. Он входит в состав препарата Текфидера [12, 13]. Имеются данные о защитном действии ДМФ при проведении химиотерапии препаратами Pt [14]. Полимеры пропиленфуматата применяются в биомедицине [15].
Высокая атомная селективность процессов карбонилирования ацетилена относительно СО позволяет использовать эти процессы для синтеза 13С изотопномеченных препаратов [16]. Изотопномеченную фумаровую кислоту, получаемую гидролизом ДМФ, легко превратить в 13С L-аспарагиновую кислоту. Эту аминокислоту, также, как и ряд других соединений, меченных изотопом 13С, можно применять для диагностики заболеваний методами 13С ЯМР-спектроскопии [17, 18], для изучения фармокинетики в процессе разработки лекарственных препаратов [19]. Сообщается о возможности проведения неинвазивных дыхательных тестов на основе 13С L-аспарагиновой кислоты для диагностики и лечения диабета [20]. В настоящее время более известен дыхательный тест с 13С карбамидом, который за последние десятилетия стал “золотым стандартом” в диагностике желудочных заболеваний [15].
Известно, что эфиры малеиновой и фумаровой кислот образуются в присутствии разных гомогенно-каталитических систем: PdCl2–CuCl2– –HCl–MeOH [21], PdCl2–SC(NH2)2–MeOH [22], PdI2–KI–MeOH [23]. Ведется поиск активных гетерогенных катализаторов – Pd/C–KI [24–26], Pd/α-Fe2O3 [27, 28]. Селективность в отношении ДМФ зависит от состава каталитической системы. Высокая селективность по ДМФ зафиксирована в гетерогенно-каталитических процессах с использованием катализатора Pd/C [24]. Механизмы образования транс-изомеров в процессах с участием ацетилена в известных нам публикациях детально не рассматривались.
В настоящей работе приведены результаты изучения реакции окислительного карбметоксилирования ацетилена в растворе бромидных комплексов палладия. В этой системе достигаются высокие скорости образования продуктов при атмосферном давлении. Выбор метанола в качестве реагента обусловлен физическими свойствами целевого продукта. Поскольку ДМФ – кристаллическое вещество (Тплавл = 103.6°С) и имеет ограниченную растворимость, то для выделения его из контактного раствора целесообразно использовать метод кристаллизации. Эфиры фумаровой кислоты высших спиртов кристаллизуются при более низких температурах.
ЭКСПЕРИМЕНТАЛЬНАЯ ЧАСТЬ
Реакцию карбметоксилирования ацетилена проводили в проточном по газу термостатируемом реакторе с интенсивным перемешиванием газовой и жидкой фаз (частота вращения прецессирующей мешалки – 1000–1100 об/мин) при 40°С и атмосферном давлении. Каталитический раствор готовили в реакторе перед проведением опыта, а исходную газовую смесь, содержащую СО, С2Н2, О2, – в газометре. Скорость газа на входе в реактор определяли при помощи калиброванного реометра, скорость газа на выходе – при помощи сосуда Мариотта и мерного цилиндра. Выходящие из реактора газы охлаждали в обратном холодильнике для конденсации паров растворителя. Перед проведением эксперимента реактор продували газовой смесью. Момент включения перемешивания принимали за начало опыта. В ходе опыта отбирали пробы газа на входе и выходе реактора и пробы контактного раствора из реактора. Состав газа анализировали методом газовой хроматографии на приборе Кристалл 2000 (“Хроматэк”, Россия). Газовая смесь при помощи крана-дозатора одновременно поступала в две насадочные колонки. Первая колонка заполнена молекулярными ситами NaX (l = 2 м, d = 2.1 мм, фракция адсорбента – 80/100 меш, газ-носитель – аргон) и служит для разделения О2, N2 и CO. Во второй колонке (l =3 м, d = 2.1 мм, фракция адсорбента – 60/800 меш, газ-носитель – гелий), заполненной cферическим полимером Нaye Sep Q, хроматографируется ацетилен. Температура разделения – 110°С. Анализ состава контактного раствора проводили методом газожидкостной хроматографии (ГЖХ) на хроматографе Кристалл 5000 (“Хроматэк”, Россия), пламенно-ионизационный детектор, капиллярная колонка CR-WAXms (“Agilent”, США), температуру термостата повышали от 130 до 200°С. Концентрации воды и метанола определяли с помощью хроматографа ГХ-1000 (“Хромос”, Россия), детектор – катарометр, насадочная колонка ПЭГ 1500 на полихроме (l = 3 м, d = 3 мм, Tкол = 90°С). В ряде опытов наблюдалось образование осадка. В этом случае анализ выполняли после завершения опыта, добавляя в контактный раствор хлороформ до полного растворения осадка. Хромато-масс-спектрометрический анализ проводили в ЦКП РТУ МИРЭА с использованием газового хроматографа Agilent 6890 (“Agilent”, США), масс-селективный детектор Agilent 5973, колонка DB-5ms (l = 30 м, d =250 мкм, hпл = 0.5 мкм). Интерпретацию спектров производили по базам NIST 2020 г.
РЕЗУЛЬТАТЫ И ИХ ОБСУЖДЕНИЕ
Выбор каталитической системы
Ранее было показано, что в каталитической системе PdBr2–LiBr–органический растворитель в отсутствие окислителя селективно образуется янтарный ангидрид (ЯА) и/или янтарная кислота (ЯК) по реакции (I) [5, 6]. В качестве органического растворителя применяли ацетонитрил (АН) или ацетон.
Изучение механизма процесса получения ЯА позволило сделать вывод о том, что действующим катализатором в системе PdBr2–LiBr–АН (или ацетон) являются димерные карбонильные комплексы Pd(I) [6–8]. Образование побочного продукта – малеинового ангидрида (МА) – в неокислительном процессе сопровождается появлением гидридного комплекса палладия (H–[Pd]), координированного малеиновым ангидридом (схема 1) [1, 6–8].
Схема 1. Узел сопряжения стадий образования МА и ЯА из общего интермедиата HPd(MA)
Использование кислорода в процессе в соответствии со схемой 1 приводит к изменению селективности образования янтарного и малеинового ангидридов. При высоком парциальном давлении кислорода (РО2 >25 кПа) наблюдается увеличение скорости реакции дикарбонилирования ацетилена, и основным продуктом становится малеиновый ангидрид. Зависимости скоростей образования ЯА (rЯА) и МА (rМА) от парциального давления кислорода имеют сложный вид, что позволяет сделать вывод о наличии нелинейных стадий в механизме процесса [9, 10]. Применение в качестве окислителя не только кислорода, но и дополнительных компонентов каталитической системы, ускоряющих процесс реокисления восстановленных форм палладия (CuCl2, BQ, FeCl3 и др.), позволяет создать более эффективные каталитические системы (реакция (II)). Для получения МА при низком парциальном давлении кислорода (РО2 <10 кПа) было предложено использовать полифункциональные каталитические системы, содержащие фталоцианиновые комплексы кобальта или железа: PdBr2–LiBr–PcCo–АН и PdBr2–LiBr–((С4H9)2SO2N)2PcFe–адиподинитрил [10].
В настоящей работе показано, что полная или частичная замена органического растворителя метанолом в системе PdBr2–LiBr–АН приводит к восстановлению палладия(II, I) в Pd(0) при контакте раствора с газовой смесью, содержащей СО, С2Н2 и О2. Образования продуктов в присутствии Pd(0) не происходит. Ранее восстановление палладия было зафиксировано при пропускании СО и С2Н2 (без О2) через раствор PdBr2–НBr–BuOH [11].
Введение дополнительного компонента – фталоцианина кобальта – предотвращает появление Pd(0) и делает процесс получения диметилмалеата (ДММ) и диметилфумарата (ДМФ) каталитическим (реакция (III)):
Нужно отметить, что PcCo нерастворим в контактном растворе, и поэтому было бы правильно говорить о количестве катализатора, используемого для проведения процесса в трехфазной системе. Но для удобной интерпретации данных будем в дальнейшем применять термин “концентрация” для всех компонентов контактного раствора, в том числе и для РсСо.
Проведенные ранее исследования процесса окисления СО до СО2, протекающего в растворе PdBr2–LiBr–АН–Н2О (СН2О = 0.55 М) в отсутствие ацетилена, показали, что реакция идет медлено и является стехиометрической. По данным ИК-спектроскопии процесс сопровождается уменьшением концентрации карбонильных комплексов Pd(II) и увеличением концентрации карбонильных комплексов Pd(I). Добавление в реактор PcCo в ходе опыта повышает rСО2 в 13 раз и делает реакцию каталитической. После введения PcCo в растворе заметно снижается доля карбонильных комплексов Pd(I) [29]. Таким образом, PcCo выполняет роль активатора кислорода, что способствует протеканию окислительных реакций в растворах бромидных комплексов палладия. Применение других окислителей, например CuCl2, также приводит к каталитическому окислению СО [30].
В процессе окислительного карбметоксилирования ацетилена при использовании системы PdBr–LiBr–PcCo–MeOH образуется в основном ДММ, небольшое количество ДМФ, а также примесь диметилсукцината (ДМС). Максимальные скорости поглощения газов и rДММ наблюдаются в начале опыта (рис. 1). Снижение rДММ в ходе опыта может быть обусловлено рядом причин: закомплексованностью комплексов Pd эфирами ненасыщенных дикарбоновых кислот или продуктами олигомеризации ацетилена, накоплением воды в контактном растворе, снижением активности PcCo. Суммарная селективность образования ДММ, ДМФ и ДМС в расчете на СО, С2Н2 и О2 составляет 95 ± 5, 100 ± 5 и 100 ± 5% соответственно (PС2Н2 ≈ 7 кПа, PO2 ≈ 7 кПа и PСО ≈ 55 кПа). При расчете селективности относительно О2 учитывали только продукты окислительного карбметоксилирования ацетилена – ДММ и ДМФ.
Рис. 1. Накопление продуктов в процессе окислительного карбметоксилирования ацетилена с использованием каталитической системы PdBr2–LiBr–PcCo–MeOH
Условия: CPdBr2 = 0.03 M, CLiBr = 0.1 M, CPcCo = 0.03 M, состав газа в реакторе: PCO ≈ 54–56 кПа, PC2H2 ≈ 3–5 кПа, PO2 ≈ 5–6 кПа
Опыты с добавкой РсСо проведены также в растворах, содержащих хлоридные и иодидные комплексы Pd. Показано, что в растворе PdCl2–LiCl–АН–MeOH (αMeOH = 0.55) показатели процесса ниже, чем в бромидной системе (табл. 1, оп. 3 и 5). Замена бромида лития иодидом лития приводит к снижению rДММ и увеличению отношения rДМФ/rДММ (табл. 1, оп. 1 и 2). Однако низкая селективность процесса не позволяет использовать эту систему для получения ДМФ. Применение РсFe вместо РсСо приводит к снижению rДММ и rДМФ при сохранении высоких значений селективности образования ДММ (SДММ) и ДМФ (SДМФ) (оп. 4). Проверка возможности проведения процесса окислительного карбметоксилирования ацетилена в растворе Pd(OAc)2–HClO4–MeOH показала, что эта система неактивна.
Таблица 1. Сравнение активности разных каталитических систем
№ оп. | PdX2 | CPdX2, М | LiX | CLiX, М | CPcCo, М | ri, моль л-1 ч-1 | ΣSCO*, % | ΣSC2H2**, % | ||
ДММ | ДМФ | ДМС | ||||||||
1 | PdBr2 | 0.050 | LiBr | 0.12 | 0.01 | 0.415 | 0.115 | 0.016 | 91 | ~100 |
2 | PdBr2 | 0.050 | LiI | 0.11 | 0.01 | 0.233 | 0.105 | 0.008 | 48 | 76 |
3 | PdBr2 | 0.030 | LiBr | 0.10 | 0.030 | 0.428 | 0.086 | 0.005 | 76 | ~100 |
4 | PdBr2 | 0.030 | LiBr | 0.10 | 0.030*** | 0.268 | 0.046 | 0.004 | 90 | ~100 |
5 | PdCl2 | 0.030 | LiCl | 0.08 | 0.030 | 0.374 | 0.058 | 0.004 | 48 | 56 |
6 | Pd(OAc)2 | 0.059 | HClO4 | 0.28 | – | – | – | – | – | – |
Условия: Т = 40°С, РСО ≈ 43–46 кПа, РС2Н2 ≈ 12–14 кПа, РО2 ≈ 6–9 кПа, растворитель АН–MeOH, αMeOH = 0.55.
*Значения суммарной селективности рассчитаны для ДММ, ДМФ и ДМС относительно СО.
**Значения суммарной селективности рассчитаны для ДММ, ДМФ и ДМС относительно С2Н2.
***Опыт с использованием PcFe.
Прочерки означают отсутствие реагента или продукта.
Зависимость r0ДММ и r0ДМФ в присутствии системы PdBr2–LiBr–PcCo–АН–MeOH (αMeOH = 0.55) от концентрации PdBr2 имеет сложный вид (рис. 2). Низкая скорость реакции на первом участке согласуется с данными об активности в процессе дикарбонилирования ацетилена димерных карбонильных комплексов Pd(I), концентрация которых мала при низкой концентрации PdBr2. Дальнейший ход зависимостей, возможно, обусловлен наличием нелинейных стадий в данном процессе. Опыты проводили при достаточно эффективном перемешивании, обеспечиваемом прецессирующей мешалкой с частотой вращения эксцентрика 1100 об/мин. Постоянство начальных скоростей образования ДММ и ДМФ в системе PdBr2–LiBr–PcCo–MeOH при варьировании частоты вращения эксцентрика в диапазоне от 900 до 1100 об/мин (r0ДММ = 1.64 ± 0.10 моль/л·ч, r0ДМФ = 0.16 ± 0.01 моль/л·ч) позволяет сделать предварительный вывод об отсутствии диффузионных органичений, обусловленных медленной скоростью растворения газов. Продемонстрировано также, что скорости и селективности образования продуктов не зависят от концентрации LiBr в диапазоне 0.05 до 0.15 M. Варьирование содержания РсСо от 0.01 до 0.05 М при CPdBr2= 0.03 M показало, что зависимости r0ДММ и r0ДМФ от этого фактора имеют вид кривых с насыщением (рис. 3).
Рис. 2. Зависимость начальной скорости образования ДММ и ДМФ в процессе окислительного карбметоксилирования ацетилена с использованием каталитической системы PdBr2–LiBr–PcCo–АН–MeOH от концентрации бромида палладия. Условия: CLiBr = 0.1 M, CPcCo = 0.03 M, αMeOH = 0.55, состав газа в реакторе: PCO ≈ 42–49 кПа, PC2H2 ≈ 7–12 кПа, PO2 ≈ 6.5–8 кПа
Рис. 3. Зависимость начальной скорости образования ДММ и ДМФ в процессе окислительного карбметоксилирования ацетилена с использованием каталитической системы PdBr2–LiBr–PcCo–АН–MeOH от содержания фталоцианинового комплекса кобальта. Условия: CPdBr2 = 0.03 M, CLiBr = 0.1 M, αMeOH = 0.55, состав газа в реакторе: PCO ≈ 46–50 кПа, PC2H2 ≈ 5–10 кПа, PO2 ≈ 7–8 кПа
Существенное влияние на скорость реакции оказывает парциальное давление кислорода. Скорости накопления ДММ, ДМФ и ДМС прямо пропорциональны РО2 в газовой смеси при увеличении его до 10 кПа (CPdBr2 = 0.05 M, CLiBr = 0.1 M, CPcCo = 0.01 M, αMeOH = 0.55). При этом отношение r0ДМФ/r0ДММ не зависит от парциального давления кислорода в этих условиях (r0ДМФ/r0ДММ = 2.8).
Опыты c использованием бинарного растворителя показали, что снижение мольной доли MeOH (αMeOH) в контактном растворе (CPdBr2 = 0.03 M, CLiBr = 0.1 M, CPcCo = 0.03 M) приводит к значительному изменению селективности процесса. В растворах с αMeOH = 0.13–0.20 основной продукт – ДМФ. Суммарное количество эфиров ненасыщенных дикарбоновых кислот ДММ и ДМФ практически не зависит от содержания метанола (рис. 4, пунктирная линия). Недостаток метанола также способствует образованию продукта аддитивного карбметоксилирования ацетилена ДМС и следовых количеств малеинового ангидрида (0.01–0.02 М). Уменьшение αMeOH, помимо изменения состава продуктов, ведет к небольшому снижению суммарной селективности образования эфиров дикарбоновых кислот относительно СО и С2Н2. Методом хромато-масс-спектрометрии в контактном растворе с αMeOH = 0.13 помимо ДММ, ДМФ, ДМС и МА идентифицированы следующие продукты: метилакрилат, метилпропионат, монометиловые эфиры янтарной и фумаровой кислот, диметиловые эфиры (Z) и (E) 3-гексендиовой кислоты, диметиловый эфир (E,E)-2,4-гексадиендиовой кислоты. Оценить количество этих веществ по данным качественного хромато-масс-анализа трудно.
Рис. 4. Изменение начальной скорости образования продуктов в процессе окислительного карбметоксилирования ацетилена с использованием каталитической системы PdBr2–LiBr–PcCo–АН–MeOH, в зависимости от αMeOH в растворе АН–MeOH
Условия: CPdBr2 = 0.03 M, CLiBr = 0.1 M, CPcCo = 0.03 M, состав газа в реакторе: PCO ≈ 47–50 кПа, PC2H2 ≈ 11–15 кПа, PO2 ≈ 4–7 кПа
Снижение парциального давления ацетилена до 2–5 кПа не влияет на скорость накопления эфиров ненасыщенных дикарбоновых кислот в опытах с малым содержанием метанола (рис. 5). Анализ зависимости отношения rДМФ/rДММ от времени позволяет говорить о параллельном образовании ДМФ и ДММ. Заметим, что в ходе опыта значение rДМФ/rДММ увеличивается.
Рис. 5. Накопление продуктов и отношение rДМФ/rДММ в процессе окислительного карбметоксилирования ацетилена с использованием каталитической системы PdBr2–LiBr–PcCo–АН–MeOH. Условия: CPdBr2 = 0.03 M, CLiBr = 0.1 M, CPcCo = 0.03 M, αMeOH = 0.13, состав газа в реакторе: PCO ≈ 59–62 кПа, PC2H2 ≈ 1–4 кПа, PO2 ≈ 6.5 кПа
Похожие данные об изменении состава продуктов при варьировании концентрации бутанола в контактном растворе, были получены ранее при изучении процесса неокислительного карбалкоксилирования ацетилена в системе PdBr2–HBr–ацетон–н-BuOH [11]. Продуктами реакции являются дибутиловые эфиры янтарной (ДБС), малеиновой (ДБМ), фумаровой (ДБФ) кислот, бутиловый эфир пропионовой (БП) кислоты. Селективность образования продуктов карбалкоксилирования в расчете на СО близка к 100%, а в расчете на ацетилен значительно ниже – 65 ± 10%. В отсутствие кислорода количество продуктов окислительного карбалкоксилирования ацетилена компенсируется синтезом продуктов восстановительного карбалкоксилирования ацетилена – БП и водорода – и гидрированием олигомеров ацетилена. Зависимости rДБС, rДБФ и rДБМ от содержания BuOH имеют экстремальный характер, их максимальные значения получены при αBuOH ≈ 0.21, 0.45, 0.55 соответственно [11].
Для дискриминации гипотезы о первоначальном образовании малеинового ангидрида в системе с низким содержанием MeOH (αMeOH = 0.13) и последующем превращении его в ДММ и ДМФ был проведен опыт с добавкой МА в исходный контактный раствор. Показано, что концентрация МА за 2 ч постепенно снижается с 0.50 до 0.19 М, что сопровождается заметным увеличенем rДММ (рис. 6). Наблюдаемый эффект можно объяснить появлением дополнительного количества ДММ по реакции этерификации МА с MeOH. Зафиксировать увеличение rДМФ за счет изомеризации ДММ в опыте с добавкой МА не удалось.
Рис. 6. Сравнение концентраций продуктов, полученных в процессе окислительного карбметоксилирования ацетилена в опытах с добавкой МА и без нее. Условия: система PdBr2–LiBr–PcCo–АН–MeOH, CPdBr2 = 0.03 M, CLiBr = 0.1 M, CPcCo = 0.03 M, αMeOH = 0.13, состав газа в реакторе: PCO ≈ 47–51 кПа, PC2H2 ≈ 11–15 кПа, PO2 ≈ 4–7 кПа
Результаты эксперимента с МА несколько отличаются от данных, полученных при добавлении МА, малеиновой кислоты (MК), или ДБМ в процессы без использования окислителя. Так, введение МА в систему PdBr2–LiBr–АН (получение ЯА) или МК в систему PdBr2–HBr–ацетон (получение ЯК) приводит к небольшому росту rЯА или rЯК соответственно [7, 8, 11]. При карбметоксилировании ацетилена в системе PdBr2–HBr–ацетон–н-BuOH добавление ДБМ увеличивает rДБФ и rДБС [11]. То есть введение ненасыщенных субстратов в контактный раствор в отсутствие окислителя способствует протеканию реакций с их участием. Снижение концентрации гидридных комплексов Pd в окислительных процессах, по-видимому, препятствует формированию комплекса H[Pd](MA) и образованию продуктов с его участием.
Для оценки скорости реакции изомеризации ДММ в ДМФ в условиях окислительного карбметоксилирования ацетилена и для поиска факторов, ускоряющих этот процесс, были проведены эксперименты с катализаторами изомеризации ДММ [31, 32]. Показано, что бромистоводородная кислота катализирует Z/E-изомеризацию ДММ, но скорость этой реакции значительно ниже, чем rДМФ в процессе карбметоксилирования ацетилена (табл. 2, оп. 7–9). Так, заметное возрастание rДМФ наблюдается только при увеличении СHBr до 0.6 М, что значительно превышает концентрацию кислоты, образующуюся в контактном растворе в процессе карбметоксилирования ацетилена при полном или частичном восстановлении PdBr2.
Таблица 2. Влияние HBr, AlCl3, SC(NH2)2 на средние скорости образования продуктов и на суммарную селективность образования ДММ, ДМФ, ДМС и МА в системе PdBr2–LiBr–PcCo–АН–MeOH
№ оп. | Доп. комп. | Ci, M | αMeOH | rср, моль л-1 ч-1 | ΣSCO, % | ΣSC2H2, % | rДМФ/rДММ | |||
ДММ | ДМФ | ДМС | МА | |||||||
7 | – | – | 0.56 | 0.428 | 0.086 | 0.005 | 0 | 76 | ~100 | 0.20 |
8 | HBr | 0.1 | 0.56 | 0.400 | 0.100 | 0 | нет данных | 76 | 90 | 0.25 |
9 | HBr | 0.6 | 0.56 | 0.370 | 0.180 | 0.020 | 62 | ~100 | 0.49 | |
10 | AlCl3 | 0.1 | 0.56 | 0.259 | 0.037 | 0.003 | – | – | 0.14 | |
11 | SC(NH2)2 | 0.1 | 0.56 | 0.727 | 0.092 | 0.000 | 0.002 | 88 | 76 | 0.13 |
12* | SC(NH2)2 | 0.1 | 0.56 | 0.905 | 0.091 | 0.001 | 0.013 | 90 | 84 | 0.10 |
13 | – | – | 0.19 | 0.150 | 0.533 | 0.101 | 0.001 | 87 | 85 | 3.56 |
14 | SC(NH2)2 | 0.1 | 0.19 | 0.477 | 0.131 | 0.000 | 0.000 | 67 | 67 | 0.27 |
Условия: CPdBr2 = 0.03 M, CLiBr = 0.1 M, CPcCo = 0.03 M.
*Опыт без использования РсСо.
Прочерки означают, что селективность образования продуктов в опыте 10 определить не удалось из-за высокой ошибки расчетов.
Результатом введения в реактор апротонной кислоты – AlCl3 – становится снижение скорости реакции дикарбметоксилирования ацетилена и уменьшение отношения rДМФ/rДММ (табл. 2, оп. 10).
Эффективный катализатор процесса изомеризации ДММ – тиомочевина [31] – в данном процессе выполняет роль лиганда, стабилизирующего комплексы палладия. Добавка тиомочевины в контактный раствор, не содержащий РсСо, проводит к появлению желтого осадка (табл. 2, оп. 12). Поглощение газов, накопление ДММ и других продуктов начинается после растворения желтого осадка через 25 мин после начала эксперимента. В присутствии тиомочевины (Tu) образование ДММ идет с высокой скоростью независимо от присутствия РсСо в реакторе (табл. 2, оп. 11, 12, 14). Скорость накопления ДММ в ходе опытов с Tu не меняется, что свидетельствует о неизменности координационной сферы комплексов палладия. Хромато-масс-анализ контактных растворов показал наличие, помимо ДММ и ДМФ, значительного количества диэфиров (Е,Е)- и (Z,Z)-2,4-гексадиендиовой кислоты (оп. 11, 12), а также примеси метилакрилата и моноэфира малеиновой кислоты (оп. 12).
Добавка тиомочевины в изучаемую систему в ходе опыта в условиях синтеза ДМФ (αMeOH = 0.13) приводит к снижению rДМФ и увеличению rДММ (табл. 2, оп. 13, 14). То есть тиомочевина препятствует Z/E-изомеризации ДММ при низкой концентрации MeOH.
Ранее сообщалось, что растворение PdBr2 в АН сопровождается формированием преимущественно димерных комплексов [PdBr2(AН)]2, а также небольших количеств анионных и катионных комплексов [29, 33]. Удаление АН из раствора PdBr2-AН происходит одновременно с образованием моноклинных кристаллов транс-PdBr2(AН)2 [29]. Использование АН в качестве дополнительного растворителя в нашей системе также может способствовать появлению бромидацетонитрильных комплексов PdBr2(AН)2 и [PdBr2(AН)]2.
Известно, что комплексы Pd(II), а именно PdCl2(AН)2 и PdBr2(AН)2, являются катализаторами позиционной и геометрической Z/E-изомеризации алкенов [34, 35]. Отмечается особая роль нитрилов в составе катализатора. В литературе обсуждаются разные механизмы процесса изомеризации. Наиболее известен механизм с образованием гидридного π-комплекса η3-[Pd]H в результате присоединения олефина к Pd(II). Основной интермедиат альтернативного механизма – шестичленное циклическое соединение, возникающее при внедрении олефина по связи Pd-(µ-Cl) димерного комплекса [PdСl2L]2. В работе [34] сообщается, что внутрисферная изомеризация, которая является результатом конформационных изменений циклического интермедиата, термодинамически выгодна в случае изомеризации пропилена.
Эксперимент, проведенный с использованием системы PdBr2–LiBr–AН (в отсутствие СО, С2Н2 и О2), показал, что ДМФ из ДММ не образуется. Это позволяет исключить вариант с участием циклического интермедиата в изучаемом процессе и сделать вывод об отсутствии активности бромидацетонитрильных комплексов Pd(II) в процессе Z/E-изомеризации ДММ. Механизм синтеза H[Pd] в нашем случае отличен от такового в присутствии олефинов, так как присоединение ДММ не ведет к формированию аллильных комплексов η3-Pd(H). Поэтому в данном случае активными могут быть гидридные комплексы с разной степенью окисления Pd(II, I), образовавшиеся другими путями.
Заметим также, что наличие нитрильных лигандов в составе катализатора изомеризации является, по-видимому, важным фактором, повышающим активность катализатора. Результаты настоящей работы и полученные ранее данные [11] позволяют говорить о высокой скорости Z/E-изомеризации также в растворе ацетон–спирт.
Обсудим механизмы Z/E-изомеризации, предложенные для других процессов карбонилирования алкинов, протекающих в растворах комплексов Pd. Так, продуктами процесса окислительного карбонилирования терминальных алкинов (PhC≡CH, С6Н13С≡СН) в системе PdCl2–CuCl2– –тетрагидрофуран–НСООН–Н2О являются монозамещенный малеиновый ангидрид и соответствующие малеиновая и фумаровая кислоты [36]. Alper H. считает, что механизм образования производных фумаровой кислоты включает стадию Z/E-изомеризации продукта цис-внедрения алкина по связи Pd–COOH. Ключевой интермедиат процесса – карбеновый комплекс Pd:
Рассматривается также механизм образования ДМФ, включающий стадию присоединения ROH к палладий-кетеновому интермедиату, формирующемуся из I(Tu)2PdCOC(H)C(R`)COOR [37]:
Gabriele B. показал также, что высокую активность проявляют комплексы Pd, полученные при растворении [Pd(Tu)2I2] и [Pd(Tu)3I]I в метаноле, и отношение выходов монозамещенных ДММ и ДМФ в отсутствие кислорода не зависит от числа лигандов Tu [37]. Методами ИК- и УФ-спектроскопии в растворе диметилформамида при СTu : СPd = 2 зафиксированы димерные комплексы [PdBr2(Tu)]2 [38].
Предложенные ранее механизмы не согласуются с результатами наших экспериментов, так как не объясняют влияние тиомочевины и концентрации MeOH на процесс Z/E-изомеризации.
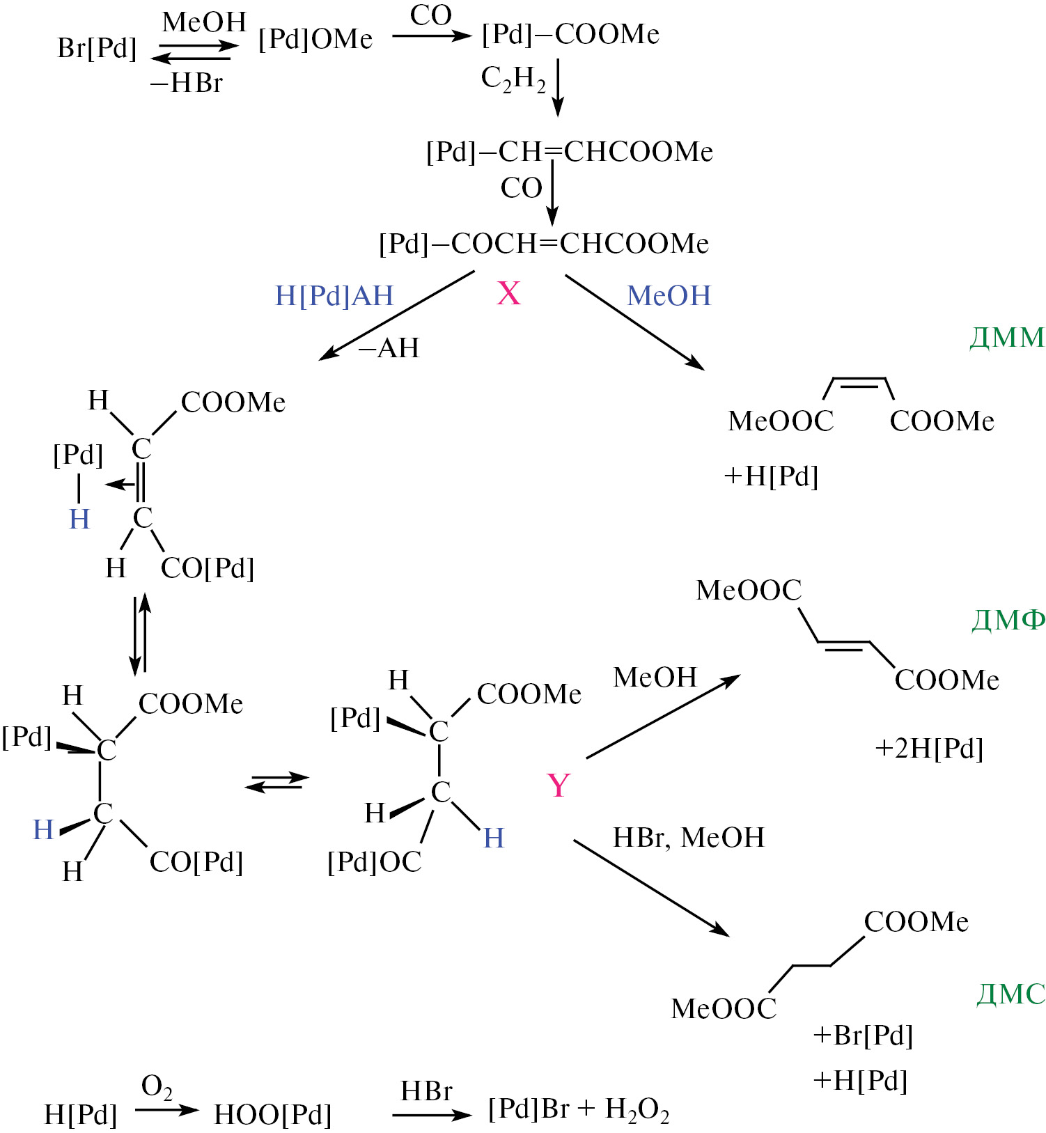
Анализ литературных и экспериментальных данных позволяет предложить механизм процесса, включающий три маршрута. Скорости образования ДММ, ДМФ и ДМС определяют скорости маршрутов, имеющих общие интермедиаты и общие стадии. Скорости каждого маршрута и, соответственно, скорости получения продуктов зависят от условий проведения процесса (схема 2).
Схема 2. Механизм образования ДММ, ДМФ и ДМС в процессе окислительного карбметоксилирования ацетилена
Скорость процесса определяется концентрацией активных комплексов палладия. Ключевыми интермедиатами, входящими в узлы сопряжения в предложенном механизме, являются интермедиаты Х и Y. Возможность двух направлений распада интермедиата Х (под действием MeOH или в присутствии H[Pd](AH)) позволяет объяснить образование ДММ и ДМФ. Стадия нуклеофильного замещения [Pd] метилатной группой приводит к деметаллированию Х и получению ДММ и Н[Pd]. Использование окислителя (РсСо и О2) способствует окислению Н[Pd] и делает процесс карбметоксилирования ацетилена каталитическим (маршрут I). Наличие дополнительного растворителя ведет к формированию катализатора Z/E-изомеризации H[Pd](AH). Уменьшение концентрации метанола замедляет скорость распада интермедиата Х по стадии деметаллирования. Одновременное увеличение САН приводит к росту концентрации H[Pd](AH), что способствует повышению скорости конкурирующего маршрута образования ДМФ в результате обратимого присоединения Х к H[Pd](AH) (маршрут II). Существенным отличием рассматриваемых маршрутов является наличие нелинейных стадий в маршруте II. Образование гидридов палладия происходит в I и во II маршрутах, а также в процессе синтеза МА в опытах с низкой концентрацией MeOH (на схеме 2 этот маршрут не указан).
Диметилсукцинат получается при деметаллировании интермедиата Y под действием HBr (или Н[Pd]) (маршрут III). Экспериментально показано, что увеличение rДМФ обычно сопровождается ростом rДМС (опыты с варьированием концентраций метанола, кислоты).
ЗАКЛЮЧЕНИЕ
Проведенные исследования привели к разработке новой каталитической системы для процесса окислительного карбметоксилирования ацетилена. Показано, что в растворе PdBr2–LiBr–PcCo–MeOH продуктами взаимодействия СО, С2Н2 и О2 являются ДММ и ДМФ. Селективности образования ДММ в расчете на СО и на С2Н2 составляют около 90%. Использование дополнительного органического растворителя и снижение концентрации метанола приводит к изменению состава продуктов. Так, при αMeOH = 0.13–0.20 основным продуктом становится ДМФ (SДМФ =50 ± 5% в расчете на СО и на С2Н2). Помимо ДМФ в растворе появляются новые продукты: ДМС и моноэфиры дикарбоновых кислот.
Изучение факторов, влияющих на реакцию изомеризации ДММ, показало, что синтез ДМФ в основном происходит в процессе изомеризации при участии палладийорганического интермедиата, предположительно H[Pd](AH). Использование сильного лиганда (тиомочевины) препятствует образованию ДМФ.
Предложен многомаршрутный механизм процесса. Скорости накопления ДМФ, ДММ и ДМС зависят от скоростей разных маршрутов, объединенных общими интермедиатами и общими стадиями.
Результаты работы позволяют дополнить информацию о механизмах многомаршрутных процессов. Практическая значимость новой каталитической системы для получения эфиров фумаровой кислоты будет зависеть от результатов дальнейших исследований, направленных на повышение стабильности каталитической системы и увеличение селективности образования целевого продукта.
ФИНАНСИРОВАНИЕ
Работа выполнена с использованием оборудования ЦКП РТУ МИРЭА при поддержке Минобрнауки России в рамках Соглашения № 075-15-2021-689 от 01.09.2021.
КОНФЛИКТ ИНТЕРЕСОВ
Авторы заявляют об отсутствии конфликта интересов, требующего раскрытия в данной статье.
About the authors
S. A. Prokhorov
MIREA – Russian Technological University
Author for correspondence.
Email: oshanina_i@mail.ru
Russian Federation, Moscow
Yu. A. Matrosova
MIREA – Russian Technological University
Email: oshanina_i@mail.ru
Russian Federation, Moscow
I. V. Oshanina
MIREA – Russian Technological University
Email: oshanina_i@mail.ru
Russian Federation, Moscow
References
- Темкин О.Н. Гомогенный металлокомплексный катализ. Кинетические аспекты. Москва: ИКЦ “Академкнига”. 2008. 918 c. (Temkin O.N. Homogeneous Catalysis with Metal Complexes. Wiley, 2012. 806 р.)
- Темкин О.Н. “Золотой век” гомогенно-каталитической химии алкинов: димеризация и олигомеризация алкинов // Кинетика и катализ. 2019. Т. 60. № 6. С. 683. (Temkin O.N. “Golden Age” of Homogeneous Catalysis Chemistry of Alkynes: Dimerization and Oligomerization of Alkynes // Kinet. Catal. 2019. V. 60. № 6. P. 689.)
- Мехрякова Н.Г., Брук Л.Г., Калия О.Л., Темкин О.Н., Прудников А.Ю. О механизмах карбонилирования ацетилена в растворах комплексов палладия // Кинетика и катализ. 1979. Т. 20. № 3. С. 629.
- Темкин О.Н. О кинетических моделях многомаршрутных реакций в гомогенном металлокомплексном катализе. // Кинетика и катализ. 2012. Т. 53. № 3. С. 326. (Temkin O.N. Kinetic Models of Multi-Route Reactions in Homogeneous Catalysis with Metal Complexes (A Revew) // Kinet. Catal. 2012. V. 53. № 3. P. 313.)
- Брук Л.Г., Гарбузюк И.А., Маркина С.В., Отараку Д.И., Ошанина И.В., Паздерский Ю.А., Присяжнюк С.М., Романюк И.М., Темкин О.Н. Способ получения янтарного ангидрида. Патент RU 2044731 C1, 1995.
- Bruk L.G., Oshanina I.V., Kozlova A.P., Vorontsov E.V., Temkin O.N. Mechanistic Study of Acetylene Carbonylation to Anhydrides of Dicarboxylic Acids in Solutions of Palladium Complexes // J. Mol. Catal. A: Chem. 1995. V. 104. № 1. P. 9.
- Bruk L.G., Oshanina I.V., Kozlova A.P., Temkin O.N., Odintsov K.Yu. Mechanism of Synthesis of Maleic and Succinic Anhydrides by Carbonylation of Acetylene in Solutions of Palladium Complexes // Russ. Chem. Bull. 1998. V. 47. № 6. P. 1071.
- Temkin O.N., Bruk L.G. Palladium(II, I, 0) Complexes in Catalytic Reactions of Oxidative Carbonylation // Kinet. Catal. 2003. V. 44. № 5. P. 601.
- Bruk L.G., Oshanina I.V., Zakieva A.S., Kozlova A.P., Temkin O.N. Critical Phenomena in Homogeneous Catalytic Reaction of Acetylene Carbonylation to Maleic Anhydride // Kinet. Catal. 1998. V. 39. № 2. P. 167.
- Bruk L.G., Kozlova A.P., Marshakha O.V., Oshanina I.V., Temkin O.N., Kaliya O.L. New Catalytic Systems for Oxidative Carbonylation of Acetylene to Maleic Anhydride // Russ. Chem. Bull. 1999. V. 48. № 10. P. 1875.
- Емельянова Г.Р. Каталитический синтез янтарной кислоты и ее эфиров карбонилированием ацетилена. Дисс. …канд. хим. наук. Москва: МИТХТ, 1985.
- Roxanne P.S. Tecfidera: an Approach for Repurposing // Pharm. Pat. Anal. 2014. V. 3. № 2. P. 183.
- Рыжакова Е.Н., Шилов М.С., Лаврентьев В.В. Лекарственная форма в виде капсулы, содержащая таблетки с диметилфумаратом. Патент RU 2742745 C1, 2021.
- Kawashiri T, Miyagi A., Shimizu S., Shigematsu N., Kobayashi D., Shimazoe T. Dimethyl fumarate ameliorates chemotherapy agent-induced neurotoxicity in vitro // J. Pharmacol. Sci. 2018. V. 137. P. 202.
- Cai Z., Wan Y., Becker M.L., Long Y.-Z., Dean D. Poly(propylene fumarate)-based materials: Synthesis, functionalization, properties, device fabrication and biomedical applications // Biomaterials. 2019. V. 208. P. 45.
- Эльман А.Р., Корнеева Г.А., Носков Ю.Г., Хан В.Н., Шишкина Е.Ю., Негримовский В.М., Пономаренко Е.П., Кононов Л.О., Брук Л.Г., Ошанина И.В., Тёмкин О.Н., Кузьмин С.Г. Синтез продуктов, меченных изотопом 13С, для медицинской диагностики // Российский химический журнал. 2013. Т. 57. № 5. С. 3.
- Jensen P.R., Karlsson M., Meier S., Duus J.Ø., Lerche M.H. Hyperpolarized Amino Acids for In Vivo Assays of Transaminase Activity // Chem. Eur. J. 2009. V. 15. P. 10010.
- Takeuchi K., Ng E., Malia T.J., Wagner G. 1-13C amino acid selective labeling in a 2H15N background for NMR studies of large proteins // J. Biomol. NMR. 2007. V. 38. P. 89.
- Karlsson M., Jensen P.R., Duus J.Ø., Meier S., Lerche M.H. Development of Dissolution DNP-MR Substrates for Metabolic Research // Appl. Magn. Reson. 2012. V. 43. P. 223.
- Tadashi K., Isaburo H., Junko O., Asuka I., Kunihiko S. 13C-containing diagnostic agent for diabetes. EP913161A2, 1999.
- Alper H., Despeyroux B., Woell J.B. Selective Hydroesterification of Alkynes to Mono-or Diesters // Tetrahedron Lett. 1983. V. 24. P. 5691.
- Cassar L., Chiusoli G.P., Guerrieri F. Synthesis of Carboxylic Acids and Esters by Carbonylation Reactions at Atmospheric Pressure Using Transition Metal Catalysts // Synthesis. 1973. V. 509. P. 21.
- Gabriele B., Costa M., Salernoe G., Chiusoli G.P. An Efficient and Selective Palladium-catalysed Oxidative Dicarbonylation of Alkynes to Alkyl- or Arylmaleic Esters // J. Chem. Soc. Perkin Trans. 1994. V. 1. P. 83.
- We X., Ma Z., Lu J., Mu X., Hu B. The highly efficient and selective dicarbonylation of acetylene catalysed by palladium nanosheets supported on activated carbon // New J. Chem. 2020. V. 44. P. 11835.
- Li X., Feng S., Song X., Yuan Q., Li B., Ning L., Chen W., Li J., Ding Y. The Evolution of Single-Site Pd1/AC Catalyst During the Process of Acetylene Dialkoxycarbonylation // J. Catal. 2022. V. 413. P. 762.
- Li X., Feng S., Hemberger P., Bodi A., Song X., Yuan Q., Mu J., Li B., Jiang Z., Ding Y. Iodide-Coordinated Single-Site Pd Catalysts for Alkyne Dialkoxycarbonylation // ACS Catal. 2021. V. 11. P. 9242.
- Wei X., Ma Z., Lu J., Mu X. Hu B. Strong Metal-Support Interactions between Palladium Nanoclusters and Hematite Toward Enhanced Acetylene Dicarbonylation at Low Temperature // New J. Chem. 2020. V. 44. P. 2121.
- Wei X., Ma Z., Mu X., Zhanga Q., Hu B. Synergistic effect of hematite facet and Pd nanocluster for enhanced acetylene dicarbonylation // Mol. Catal. 2021. V. 499. P. 111303.
- Ошанина И.В., Голобородько С.И., Робинова Е.А., Руснак И.Н., Никифоров С.А., Прохоров С.А., Темкин О.Н., Калия О.Л. Окисление монооксида углерода кислородом в водно-ацетонитрильных растворах бромидных комплексов палладия(II) в присутствии фталоцианинатов Сo(II), Fe(II) и Mn(III) // Тонкие химические технологии. 2019. Т. 14. № 6. С. 76.
- Путин А.Ю., Кацман Е.А., Брук Л.Г. Кинетика и механизм реакции окисления СО В СО2 в каталитической системе PdBr2–CuBr2–ТГФ–Н2О // Кинетика и катализ. 2023. Т. 64. № 4. С. 408. (Putin A.Yu., Katsman E.A., Bruk L.G. Kinetics and Mechanism of the Oxidation of CO to CO2 in the PdBr2–CuBr2–THF–H2O Catalytic System // Kinet. Catal. 2023. V. 64. № 4. P. 412.)
- Ma Y.-L., Zhou R.-J., Zeng X.-Y., An Y.-X., Qiu S.-S., Nie L.-J. Synthesis, DFT and antimicrobial activity assays in vitro for novel cis/trans-but-2-enedioic acid esters // J. Mol. Struct. 2014. V. 1063. P. 226.
- Lima M.T., Finelli F.G., de Oliveira A.V.B., Kartnaller V., Cajaiba J.F., Leão R.A.C., de Souza R.O.M.A. Continuous-flow synthesis of dimethyl fumarate: a powerful small molecule for the treatment of psoriasis and multiple sclerosis // RSC Adv. 2020. V. 10. P. 2490.
- Putin A.Y., Katsman E.A., Bruk L.G. State of Palladium Complexes in the PdBr2–LiBr–CH3CN–H2O Catalytic System, Used to Obtain Succinic Anhydride // Russ. J. Phys. Chem. A. 2019. V. 93. № 2. P. 222.
- Tan E.H.P., Lloyd-Jones G.C., Harvey J.N., Lennox A.J.J., Mills B.M. [(RCN)2PdCl2]-Catalyzed E/Z Isomerization of Alkenes: A Non-Hydride Binuclear Addition–Elimination Pathway // Angew. Chem. Int. Ed. 2011. V. 50. P. 9602.
- Sakaki S., Kanai H., Tarama K. Isomerization of 1-Olefins by Dihalogenobis(nitrile)palladium Complexes [PdX2(RCN)2] // Can. J. Chem. 1974. V. 52. P. 2857.
- Zargarian D., Alper H. Palladium Chloride Catalyzed Dicarbonylation of Terminal Alkynes // Organometallics. 1991. V. 10. P. 2914.
- Gabriele B., Salernoe G., Costa M., Chiusoli G.P. //Combined Oxidative and Reductive Carbonylation of Terminal Alkynes with Palladium Iodide-Thiourea Catalysts // J. Organomet. Chem. 1995. V. 503. P. 21.
- Marcotrigiano G., Battistuzzi R., Peyronel G. Binuclear Halogen-bridged Complexes of Palladium(II) with Thiourea: Pd2Tu2X4 and their Bridge-Splitting Reactions // J. Inorg. Nucl. Chem. 1973. V. 5. P. 2265.
Supplementary files















