Intramolecular Heterocyclization of Quinolyl-Substituted Carbotiamides Into Functionalized 2,4-Dihydro-3H-1,2,4-triazoles and 1,3,4-Thiadiazoles
- Authors: Aleksanyan I.L.1, Hambardzumyan L.P.1
-
Affiliations:
- Yerevan State University
- Issue: Vol 60, No 8 (2024)
- Pages: 39-43
- Section: Articles
- URL: https://medbiosci.ru/0514-7492/article/view/279423
- DOI: https://doi.org/10.31857/S0514749224080058
- EDN: https://elibrary.ru/RAKBJQ
- ID: 279423
Cite item
Full Text
Abstract
An economical and straightforward approach has been introduced for the transformation of quinolyl-substituted propanoyl-N-phenylhydrazine-1-carbothioamide into quinolone derivatives encompassing 4-phenyl-2,4-dihydro-3H-1,2,4-triazole-3-thiones and 1,3,4-thiadiazoles through a heterocyclization reaction using a water solution of sodium hydroxide and concentric sulfuric acid. This efficient procedure has proven to yield the desired products with high efficiency (85—98%). The protocol offers advantages such as cost-effectiveness, omission of catalyst or column chromatography, mild reaction conditions, elevated yields.
Full Text
ВВЕДЕНИЕ
Новые биологически активные соединения остаются интересными для исследований в области химии и медицины. В настоящее время в литературе все чаще встречаются сведения о серо- и азотсодержащих гетероциклах как фундаментальных структурах для синтеза разнообразных гетероциклических соединений. Эти соединения важны в качестве лекарственных средств, так как проявляют широкий спектр биологической активности, а также составляют значительную часть натуральных продуктов [1–4]. Триазоло- и тиадиазолохинолины, как потенциальные структурные единицы, также обнаружены во множестве синтезированных биологически активных соединений, имеющих медицинское значение и проявляющих флуоресцентные свойства [5, 6]. Биологическая активность хинолина и его производных включает противомалярийные, антибактериальные, противовоспалительные, антиаритмические, антиангинальные, антигипертензивные, противотуберкулезные, антидепрессивные и противосудорожные свойства [7–13]. Успешное применение хинина, мефлохина и хлорохина в качестве противомалярийных средств, а также офлоксацина и хлороксина в качестве антибактериальных средств демонстрирует универсальность хинолинового каркаса. Эта структура служит основополагающим фрагментом и в других лекарственных препаратах, таких как моксифлоксацин, грепафлоксацин, эноксацин, пефлоксацин, картеолол, цинхокаин, ципрофлоксацин, амодиахин, тровафлоксацин и многих других [14–25]. Учитывая большое значение этих соединений, мы исследовали различные подходы к синтезу и модификации производных хинолонов, конденсированных с триазоло- и тиадиазоловыми кольцами. В первую очередь мы уделяли внимание использованию экономически эффективных исходных материалов и внедрению принципов зеленой химии [26–28]. Традиционные методы создания таких гетероциклических каркасов требуют дорогостоящих исходных веществ и повышенных температурных режимов. Следовательно, инновации в новых методах синтеза, использующих более эффективные энергетические ресурсы, менее опасные растворители и устойчивые экологически чистые катализаторы для получения хинолинового каркаса, могут принести существенные экологические и экономические выгоды [29–35]. В связи с вышесказанным целью данного исследования является синтез производных 4-метил-2-оксо-1,2-дигидрохинолинов, содержащих 1,2,4-триазольные и 1,3,4-тиадиазольные группы в положении 3. В частности, бензозамещенные 3-(4-метил-2-оксо-1,2-дигидрохинолин-3-ил)пропановые кислоты играют решающую роль в качестве необходимых исходных материалов для синтеза целевых хинолонов, содержащих 1,2,4-триазолы и 1,3,4-тиадиазолы.
РЕЗУЛЬТАТЫ И ОБСУЖДЕНИЕ
С учетом широкого спектра биологической активности, приписываемой триазолам, тиадиазолам и хинолинам, в данном исследовании казалось целесообразным объединить эти биологически важные фрагменты для создания гетероциклов на основе бензозамещенных 3-(4-метил-2-оксо-1,2-дигидрохинолин-3-ил)пропионовых кислот 1a–c. Процесс начинался с реакции эстерификации бензозамещенных (хинолин-3-ил)пропановых кислот 1a–c с этанолом в присутствии концентрированной серной кислоты в бензольной среде в условиях кипения. Воду из окружающей среды удаляли с помощью водоотделителя в виде азеотропной смеси воды и бензола. О завершении реакции свидетельствовала стабилизация объема воды внутри водоотделителя. Реакция приводила к образованию бензозамещенных этил-3-(4-метил-2-оксо-1,2-дигидрохинолин-3-ил)пропионатов 2а–с с высокими выходами. При взаимодействии соединения 2а–с с гидразингидратом получены бензозамещенные 3-(4-метил-2-оксо-1,2-дигидрохинолин-3-ил)пропаногидразиды 3а–с. В дальнейшем эти гидразиды подвергали взаимодействию с фенилизотиоцианатом с получением соответствующих 2-[3-(4-метил-2-оксо-1,2-дигидрохинолин-3-ил)пропаноил]-N-фенилгидразин-1-карботиоамидов 4a–c (схема 1).
Схема 1
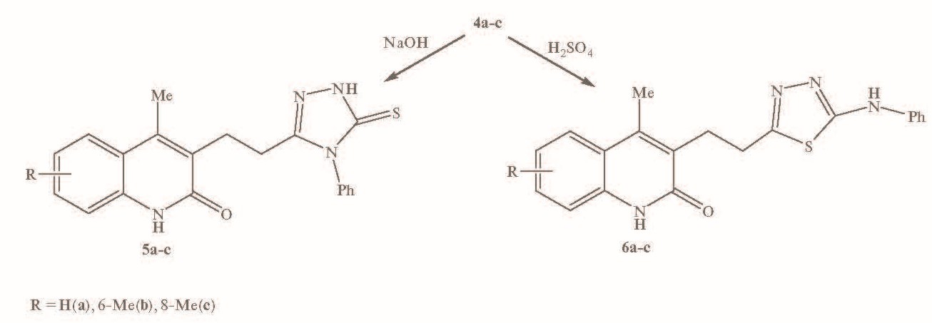
С учетом функционального потенциала полученных фенилгидразинкарботиоамидов 4а–c и с целью создания ряда новых триазолов и тиадиазолов осуществлена внутримолекулярная циклизация N-фенилгидразин-1-карботиоамидов 4a–c с использованием 5%-ного гидроксида натрия и концентрированной серной кислоты. Эта реакция с большими выходами приводила к образованию 4-метил-3-[2-(4-фенил-5-тиоксо-4,5-дигидро-1Н-1,2,4-триазол-3-ил)этил]хинолин-2(1H)-онов 5а–c и 4-метил-3-[2-(5-(фениламино)-1,3,4-тиадиазол-2-ил)этил]хинолин-2(1Н)-онов 6а–c соответственно (схема 2).
Схема 2
ЭКСПЕРИМЕНТАЛЬНАЯ ЧАСТЬ
Спектры ЯМР 1Н и C13 регистрировали на приборе Varian Mercury-300 (Германия) в ДМСО-d6–ССl4 (1 : 3). Ход реакции и чистоту полученных соединений контролировали методом ТСХ на пластинах AlUGRAM® XtraSIL G UV254 (Германия), проявитель – пары йода и ультрафиолетовый анализатор Analyzer ZF-1. Все реакции были проведены в свежеперегнанных растворителях, а реактивы приобретены через MerckKGaA (Дармштадт, Германия) и/или филиалы.
Соединения 2а–d. Общая методика. В колбу, снабженную водоотделителем и обратным холодильником, помещали 40 ммоль соединения 1а–с, 20 мл этанола, 40 мл бензола и 2 мл 96%-ной Н2SO4. Смесь кипятили до выделения до постоянного объема воды. Затем избыток этанола и бензола отгоняли при пониженном давлении, осадок перекристаллизовывали из смеси этанол–вода.
Этил-3-(4-метил-2-оксо-1,2-дигидрохинолин-3-ил)пропаноат (2а). Получен из 9.24 г соединения 1а. Выход 9.22 г (89%), т.пл. 148–149˚C, Rf 0.62 (этанол–ксилол, 1 : 3). Найдено, %: C 69.66; H 6.43; N 5.58. C15H17NO3. Вычислено, %: C 69.50; H 6.56; N 5.41.
Этил-3-(4,6-диметил-2-оксо-1,2-дигидрохинолин-3-ил)пропаноат (2b). Получен из 9.8 г соединения 1b. Выход 9.83 г (90%), т.пл. 201–202˚C, Rf 0.57 (этанол–ксилол, 1 : 3). Спектр ЯМР 1Н, δ, м.д.: 1.24 т (3H, CH3, J 7.1 Гц), 2.40 уш.с (3H, CH3), 2.44 с (3H, CH3), 2.46 уш.т (2H, CH2, J 7.9 Гц), 2.91 т (2H, CH2, J 7.9 Гц), 4.07 кв (2H, OCH2, J 7.1 Гц), 7.16 уш.с (2Hаром), 7.40 уш.с (1Hаром), 11.50 уш.с (1H, OH ). Спектр ЯМР 13C, δ, м.д.: 13.8 (CH3), 14.3 (CH3), 20.7 (CH3), 22.3 (CH2), 32.3 (CH2), 59.2 (OCH2), 115.1 (CH), 119.6, 123.5 (CH), 129.1, 129.57, 129.62 (CH), 135.2, 141.4, 161.0, 171.6. Найдено %: C 70.42; H 7.12; N 5.28. C16H19NO3. Вычислено, %: C 70.33; H 6.96; N 5.13.
Этил-3-(4,8-диметил-2-оксо-1,2-дигидрохинолин-3-ил)пропаноат (2c). Получен из 9.8 г соединения 1с. Выход 9.5 г (87%), т.пл. 156–157˚C, Rf 0.42 (этанол–ксилол, 1 : 3). Найдено, %: C 70.21; H 7.13; N 5.24. C16H19NO3. Вычислено, %: C 70.33; H 6.96; N 5.13.
Соединения 3а–с. Общая методика. Смесь 10 ммоль соединения 2а–с, 30 мл этанола и 6 мл 85 %-ного гидразингидрата перемешивали при комнатной температуре 6 ч. Затем нагревали 5 ч при 50–60°C и оставляли на ночь. Образовавшийся осадок отфильтровывали, промывали этанолом и перекристаллизовывали из этанола.
3-(4-Метил-2-оксо-1,2-дигидрохинолин-3-ил)пропаногидразид (3a). Получен из 2.59 г соединения 2а. Выход 2.18 г (89%), т.пл. 263–264˚C, Rf 0.53 (этанол–ксилол, 5 : 1). Спектр ЯМР 1Н, δ, м.д.: 2.23 т (2H, CH2, J 7.8 Гц), 2.46 с (3H, CH3), 2.88 т (2H, CH2, J 7.8 Гц), 4.20 уш.с (2H, NH2), 7.10 д.д.д (1Hаром, J 8.2, 6.9, 1.5 Гц), 7.25–7.37 м (2Hаром), 7.64 д.д (1Hаром, J 8.2, 1.2 Гц), 8.94 уш.с (1H, NH), 11.54 уш.с (1H, OH). Спектр ЯМР 13C , δ, м.д.: 14.4 (CH3), 22.8 (CH2), 32.3 (CH2), 115.0 (CH), 119.9, 120.8 (CH), 123.8 (CH), 128.3 (CH), 130, 137.2, 141.8, 161.2, 170.8. Найдено, %: C 63.55; H 6.23; N 17.29. C13H15N3O2. Вычислено, %: C 63.67; H 6.12; N 17.14.
3-(4,6-Диметил-2-оксо-1,2-дигидрохинолин-3-ил)пропаногидразид (3b). Получен из 2.73 г соединения 2b. Выход 2.33 г (90%), т.пл. 267–268℃, Rf 0.46 (этанол–ксилол, 3 : 1). Найдено, %: C 64.66; H 6.76; N 16.10. C14H17N3O2. Вычислено, %: C 64.86; H 6,56; N 16.21.
3-(4,8-Диметил-2-оксо-1,2-дигидрохинолин-3-ил)пропаногидразид (3c). Получен из 2.73 г соединения 2с. Выход 2.20 г (85%), т.пл. 381–382˚C, Rf 0.56 (этанол–ксилол, 5:1). Найдено, %: C 64.68; H 6.71; N 16.11. C14H17N3O2. Вычислено, %: C 64.86; H 6.56; N 16.21.
Соединения 4а–с. Общая методика. Смесь 3 ммоль соединения 3а–с, 20 мл этанола и 0.4 г (0.375 мл, 3 ммоль) фенилизотиоцианата перемешивали при комнатной температуре 1 ч. Затем смесь нагревали в течение 7–8 ч при кипении. После охлаждения полученный осадок отфильтровывали, промывали этанолом и перекристаллизовывали из этанола.
2-[3-(4-Метил-2-оксо-1,2-дигидрохинолин-3-ил)пропаноил]-N-фенилгидразин-1-карботиоамид (4а). Получен из 0.735 г соединения 3а. Выход 1.0 г (88%), т.пл. 225–226˚C, Rf 0.44 (этанол–ксилол, 1 : 3). Найдено, %: C 63.30; H 5.13; N 14.85; S 8.29. C20H20N4O2S. Вычислено, %: C 63.16; H 5.26; N 14.74; S 8.42.
2-[3-(4,6-Диметил-2-оксо-1,2-дигидрохинолин-3-ил)пропаноил]-N-фенилгидразин-1-карботиоамид (4b). Получен из 0.777 г соединения 3b. Выход 1.15 г (97%), т.пл. 231–232˚C. Найдено, %: C 63.82; H 5.71; N 14.34; S 8.26. C21H22N4O2S. Вычислено, %: C 63.96; H 5.58; N 14.21; S 8.12.
2-[3-(4,8-Диметил-2-оксо-1,2-дигидрохинолин-3-ил)пропаноил]-N-фенилгидразин-1-карботиоамид (4с). Получен из 0.777 г соединения 3с. Выход 1.16 г (98%), т.пл. 218–219˚C, Rf 0.67 (этанол–ксилол, 1 : 2). Спектр ЯМР 1Н, δ, м.д.: 2.43 уш.т (2H, CH2, J 7.7 Гц), 2.45 с (3H, CH3), 2.51 с (3H, CH3), 2.99 уш.т (2H, CH2, J 7.7 Гц), 7.02 д.д (1Hаром, J 8.0 7.4 Гц), 7.06–7.12 м (1Hаром), 7.21 д.д (1Hаром, J 7.4, 1.0 Гц), 7.24–7.30 м (2Hаром), 7.52 д.д (1Hаром, J 8.0, 1.0 Гц), 7.54–7.58 м (1Hаром), 9.34 уш.с (1H, NH), 9.43 уш.с (1H, NH), 9.82 уш.с (1H, NH), 10.57 уш.с (1H, OH). Спектр ЯМР 13C , δ, м.д.: 14.8 (CH3), 17.2 (CH3), 22.5 (CH2), 32.4 (CH2), 120.0, 120.7 (CH), 122.0 (CH), 122.9, 124.0, 124.3 (уш.), 127.4 (2 CH), 129.5, 129.9 (CH), 135.5, 139.0, 142.6, 161.7, 180.5. Найдено, %: C 63.84; H 5.70; N 14.31; S 8.23. C21H22N4O2S. Вычислено, %: C 63.96; H 5.58; N 14.21; S 8.12.
Соединения 5а–с. Общая методика. К 1 ммоль соединения 4а–с прибавляли 15 мл 5%-ного раствора NaOH и кипятили 3 ч при перемешивании. После охлаждения прибавляли 50 мл воды, oтфильтровывали, фильтрат подкисляли до pH 6.0. Образовавшийся осадок отфильтровывали и промывали водой.
4-Метил-3-[2-(4-фенил-5-тиоксо-4,5-дигидро-1Н-1,2,4-триазол-3-ил)этил]хинолин-2(1H)-он (5a). Получен из 0.38 г соединения 4а. Выход 0.34 г (94 %), т.пл. 291–292˚C (субл.), Rf 0.55 (этанол–ксилол, 1 : 2.3). Найдено, %: C 66.45; H 4.86; N 15.58; S 8.75. C20H18N4OS. Вычислено, %: C 66.30; H 4.97; N 15.47; S 8.84.
4,6-Диметил-3-[2-(4-фенил-5-тиоксо-4,5-дигидро-1Н-1,2,4-триазол-3-ил)этил]хинолин-2(1H)-он (5b). Получен из 0.394 г соединения 4b. Выход 0.33 г (87 %), т.пл. 292–293˚C, Rf 0.47 (этанол–ксилол, 1 : 3). Спектр ЯМР 1Н, δ, м.д.: 2.22 с (3H, CH3), 2.38 с (3H, CH3), 2.64 т (2H, CH2, J 7.5 Гц), 2.87 т (2H, CH2, J 7.5 Гц), 7.11–7.18 м (2Hаром), 7.33–7.40 м (3Hаром), 7.44–7.53 м (3Hаром), 11.47 уш.с (1H, OH), 13.47 с (1H, NH). Спектр ЯМР 13C, δ, м.д.: 14.0 (CH3), 20.6 (CH3), 23.7 (CH2), 24.1 (CH2), 115.0 (CH), 119.5, 123.5 (CH), 128.0 (2∙CH), 128.4, 128.7 (CH), 128.8 (2 CH), 129.6, 129.8 (CH), 133.6, 135.2, 141.6, 150.8, 160.9, 167.5. Найдено, %: C 67.18; H 5.51; N 14.72; S 8.68. C21H20N4OS. Вычислено, %: C 67.02; H 5.32; N 14.89; S 8.51.
4,8-Диметил-3-[2-(4-фенил-5-тиоксо-4,5-дигидро-1Н-1,2,4-триазол-3-ил)этил]хинолин-2(1H)-он (5с). Получен из 0.394 г соединения 4с. Выход 0.35 г (94 %), т.пл. 339–340˚C, Rf 0.71 (этанол–ксилол, 1 : 2). Найдено, %: C 67.18; H 5.50; N 14.75; S 8.67. C21H20N4OS. Вычислено, %: C 67.02; H 5.32; N 14.89; S 8.51.
Соединения 6а–с. Общая методика. К 1 ммоль соединения 4а–с прибавляли 3 мл конц. H2SO4 и при комнатной температуре оставляли на 3 ч. Затем прибавляли 60 г толченого льда, образовавшуюся смесь подщелачивали до pH ~ 6.5, осадок отфильтровывали и промывали водой.
4-Метил-3-[2-(5-(фениламино)-1,3,4-тиадиазол-2-ил)этил]хинолин-2(1Н)-он (6a). Получен из 0.38 г соединения 4а. Выход 0.34 г (93%), т.пл. 192–193˚С, Rf 0.53 (этанол–ксилол, 1 : 2.3). Спектр ЯМР 1Н, δ, м.д.: 2.43 с (3H, CH3), 3.04–3.16 м (4H, 2CH2), 6.88–6.94 м (1H, Ar–H), 7.10 д.д.д (1Hаром, J 8.2 , 6.8, 1.6 Гц), 7.21–7.28 м (2H, Ar–H), 7.29–7.39 м (2H, Ar–H), 7.51–7.56 м (2Hаром), 7.64 д.д (1Hаром, J 8.2, 1.2 Гц), 10.03 уш.с (1H, NH), 11.66 уш.с (1H, OH). Спектр ЯМР 13C , δ, м.д.: 14.5 (CH3), 26.7 (CH2), 28.2 (CH2), 115.3 (CH), 116.3, 117.2 (2 CH), 119.7, 121.0 (CH), 121.1 (CH), 123.9 (CH), 126.5, 128.3 (2 CH), 128.6 (CH), 128.8, 137.3, 140.6, 142.4, 161.2. Найдено, %: C 66.45; H 4.88; N 15.60; S 8.75. C20H18N4OS. Вычислено, %: C 66.30; H 4.97; N 15.47; S 8.84.
4,6-Диметил-3-[2-(5-(фениламино)-1,3,4-тиадиазол-2-ил)этил]хинолин-2(1Н)-он (6b). Получен из 0.394 г соединения 4b. Выход 0.365 г (97%), т.пл. 173–174˚C, Rf 0.44 (этанол–ксилол, 1 : 3). Найдено, %: C 66.94; H 5.49; N 15.13; S 8.68. C21H20N4OS. Вычислено, %: C 67.20; H 5.33; N 14.93; S 8.53.
4,8-Диметил-3-[2-(5-(фениламино)-1,3,4-тиадиазол-2-ил)этил]хинолин-2(1Н)-он (6c). Получен из 0.394 г соединения 4с. Выход 0.37 г (98 %), т.пл. 273–274˚C, Rf 0.58 (этанол–ксилол, 1 : 3). Найдено, %: C 66.99; H 5.51; N 14.81; S 8.66. C21H20N4OS. Вычислено, %: C 67.20; H 5.33; N 14.93; S 8.53.
ЗАКЛЮЧЕНИЕ
Успешно разработаны экономически эффективные и экологически безопасные подходы к получению новых производных хинолина. Этерификацией бензозамещенных 3-(4-метил-2-оксо-1,2-дигидрохинолин-3-ил)пропановых кислот с этанолом в присутствии концентрированной серной кислоты в бензоле и в условиях кипячения получены бензозамещенные этил-3-(4-метил-2-оксо-1,2-дигидрохинолин-3-ил)пропионаты. В присутствии системы гидразингидрат–этанол производные сложных эфиров превращены в хинолилзамещенные производные гидразида. Реакция этих гидразидов с фенилизотиоцианатом при кипячении в этаноле привела к образованию 2-[(3-(4-метил-2-оксо-1,2-дигидрохинолин-3-ил)пропаноил)-N-фенилгидразин-1-карботиоамидов. С использованием NaOH и конц. H2SO4 проведена внутримолекулярная циклизация N-фенилгидразин-1-карботиоамидов с получением 4-метил-3-[2-(4-фенил-5-тиоксо-4,5-дигидро-1Н-1,2,4-триазол-3-ил)этил]хинолин-2(1H)-онов и 4-метил-3-[2-(5-(фениламино)-1,3,4-тиадиазол-2-ил)этил]хинолин-2(1Н)-онов соответственно. Предложенные методы синтеза имеют заметные преимущества, включая высокий выход продукта, снижение воздействия на окружающую среду, простоту, мягкие условия реакции без необходимости использования дорогих катализаторов или колоночной хроматографии. Полученные результаты открывают возможность синтеза новых классов соединений, пригодных для биомедицинского скрининга.
КОНФЛИКТ ИНТЕРЕСОВ
Авторы заявляют об отсутствии конфликта интересов.
About the authors
I. L. Aleksanyan
Yerevan State University
Author for correspondence.
Email: ialeksanyan@ysu.am
ORCID iD: 0000-0002-4039-2323
Armenia, Yerevan
L. P. Hambardzumyan
Yerevan State University
Email: ialeksanyan@ysu.am
ORCID iD: 0000-0003-1210-0052
Armenia, Yerevan
References
- Aly A.A., Hassan A.A., Makhlouf M.M., Bräse S. Molecules. 2020, 25, 3036. doi: 10.3390/molecules25133036
- Zhang S.S., Tan Q.W., Guan L.P., Mini Rev Med Chem. 2021, 21, 16, 2261–2275. doi: 10.2174/1389557521666210111145011
- Matada B.S., Pattanashettar R., Yernale N.G., Bioorg Med Chem. 2021, 32, 115973(1–25). doi: 10.1016/j.bmc.2020.115973
- Bin Y., Xiuyan Y. Chem Biol Drug Des. 2022, 100, 6, 763–765. doi: 10.1111/cbdd.14166
- Paranjeet K., Anuradha A.C., Tamanna T., Kumar S.S., Amit M. Chem Biol Drug Des. 2022, 100, 6, 765–785. doi: 10.1111/cbdd.14025
- Khidre R., Salem M.A., Ameen T.A., Abdelgawad A.A.M. Polycycl. Aromatic Compd. 2023, 43, 1, 13–53. doi: 10.1080/10406638.2021.2008457
- Jamshidi H., Naimi-Jamal M.R., Safavi M., Rayat Sanati K., Azerang P., Tahghighi A. Amit. Chem. Biol. Drug Des. 2022, 100, 6, 935–946. doi: 10.1111/cbdd.14031
- Abdi B., Fekadu M., Zeleke D., Eswaramoorthy R., Melaku Y. J. Chem. 2021, 2408006(1–13). doi: 10.1155/2021/2408006
- Gupta S.K., Mishra A. Agents Med. Chem. 2016, 15, 31–43. doi: 10.2174/1871523015666160210124545
- Zajdel P., Marciniec K., Maślankiewicz A., Grychowska K., Satała G., Duszyńska, B., Lenda T., Siwek A., Nowak G., Partyka A., Wróbel D., Jastrzębska-Więsek M., Bojarski A.J., Wesolowska A., Pawłowski M. Eur. J. Med. Chem. 2013, 60, 42–50. doi: 10.1016/j.ejmech.2012.11.042
- Kumar H., Devaraji V., Joshi R., Jadhao M., Ahirkar P., Prasath R., Bhavana P., Ghosh, S.K. RSC Adv. 2015, 5, 65496–65513. doi: 10.1039/C5RA08778C
- Shang, X.F. Morris-Natschke, S.L. Liu, X. Guo, Y.Q. Xu, M. Goto, X.S. Li, J.C.. Yang, G.Z Lee, K.H. Med. Res. Rev. 2018, vol. 38, p. 775–828. doi: 10.1002/med.21466
- Senerovic, L. Opsenica, D. Moric, I. Aleksic, I. Spasić, M. Vasiljevic, B. Adv. Experim. Med. Biol. 2019, vol. 1282, p. 37-69. doi: 10.1007/5584_2019_428
- Shruthi T. G., Eswaran S., Shivarudraiah P., Narayanan S., Subramanian S. Bioorg. Med. Chem. Lett. 2019, 29, 97–102. doi: 10.1016/j.bmcl.2018.11.002
- Kaur T., Bhandari D.D Biointerface Res. Appl. Chem. 2023, 13, 4, 355(1–19). doi: 10.33263/BRIAC134.355
- Kaur R., Kumar K. Eur. J. Med. Chem. 2021, 215, 113220(1–36). doi: 10.1016/j.ejmech.2021.113220
- Bekhit A.A., Nasralla S.N., El-Agroudy E.J., Hamouda N., El-Fattah A.A., Bekhit S.A., Amagase K., Ibrahim T.M. Eur. J Pharm. Sci. 2022, 168, 106080(1–10).
- doi: 10.1016/j.ejps.2021.106080
- Tornheim J.A., Udwadia Z.F., Arora P.R., Gajjar I., Sharma S., Karane M., Sawant N., Kharat N., Blum A.J., Shivakumar S.V.B.Y., Gupte A.N., Gupte N., Mullerpattan J.B., Pinto L.M., Ashavaid T.F., Gupta A., Rodrigues C. Open Forum Infectious Diseases. 2022, 9, 2, ofab615. doi: 10.1093/ofid/ofab615
- Kucharski D.J., Jaszczak M.K., Boratynski P.J. Molecules. 2022, 27, 1003(1–34). doi: 10.3390/molecules27031003
- Zhang J., Lei X., Tang J., Chen J., Zhao Q., Fang W., Zhang Y., Li Y., Zuo Y.J. BionicEng. 2022, 19, 483–496. doi: 10.1007/s42235-021-00144-2
- Morley C., Carvalho de Almeida C., Moloney S., Grimwood K., Infect. Dis. J. 2022, 41, 121–122. doi: 10.1097/INF.0000000000003373
- Coyle M.A., Goss C.S., Manz W.J., Greenshields J.T., Chapman R.F., Stager J.M., Physiol. Rep. 2022, 10, e15149(1–11). doi: 10.14814/phy2.15149
- Kulkarni A.V., Tirumalle S., Premkumar M., Kumar K., Fatima S., Rapole B., Simhadri, V. Gora B.A., Sasikala M., Gujjarlapudi D., Yelamanchili S., Sharma M., Gupta R., Rao P.N., reddy D.N. Am. J. Gastroenterol. 2022, 117, 607–616. doi: 10.14309/ajg.0000000000001611
- Yang H., Park T., Park D., Kang M.G., Toxicol. Vitro. 2022, 82, 05374(1–9). doi: 10.1016/j.tiv.2022.105374
- Voss F.O., van Beurden M.V., Jordanova E.S., Lancet. 2022, 399, 1755–1757. doi: 10.1016/S0140-6736(22)00624-9
- Aleksanyan I.L., Hambardzumyan L.P., Russ J Org Chem. 2017, 53, 226–230. doi: 10.1134/S1070428017020142
- Aleksanyan I.L., Hambardzumyan L.P., Russ J Org Chem. 2018, 54, 1402–1405. doi: 10.1134/S1070428018090221
- Aleksanyan I.L., Hambardzumyan L.P., Russ J Org Chem. 2019, 55, 262–265. doi: 10.1134/S1070428019020209
- Batista F.V., Pinto D.C.G.A., Silva, A.M.S. ACS Sustainable Chem. Eng. 2016, 4, 8, 4064–4078. doi: 10.1021/acssuschemeng.6b01010
- Patel A., Patel S., Mehta M., Patel Y., Patel R., Shah D., Patel D., Shah U., Patel M., Patel S., Solanki N., Bambharoliya T., Patel S., Nagani A., Patel H., Vaghasiya J., Shah H., Prajapati B., Rathod M., Bhimani B., Patel R., Bhavsar V., Rakholiya B., Patel M., Patel P. Green chemistry letters and reviews. 2022, 15, 2, 337–372. doi: 10.1080/17518253.2022.2064194
- Nainwal L.M., Tasneem S., Akhtar W., Verma G., Khan M.F., Parvez S., Shaquiquzzaman M., Akhter M., Alam M.M. EUR. J. Med. Chem. 2019, 164, 121–170. doi: 10.1016/j.ejmech.2018.11.026
- Tanaka K., Toda F., Chemical Review. 2000, 100, 1025–1074. doi: 10.1021/cr940089p
- Shaikh I.R. Journal of Catalysts. 2014. 402860(1–35). doi: 10.1155/2014/402860
- Clark J. H., Nat. Chem. 2009, 1, 1, 12–13. doi: 10.1038/nchem.146
- Song J., Han B., Natl. sci. Rev. 2015, 2, 3, 255–256. doi: 10.1093/nsr/nwu076




