Reactions of 5(4Н)-oxazolones involving organosilone reagents
- Авторлар: Topuzyan V.O.1, Hovannesyan A.A.1
-
Мекемелер:
- Institute of Fine Organic Chemistry of the Scientific and Technological Center of Organic and Pharmaceutical Chemistry of the National Academy of Sciences of the Republic of Armenia
- Шығарылым: Том 60, № 5 (2024)
- Беттер: 562-604
- Бөлім: Articles
- URL: https://medbiosci.ru/0514-7492/article/view/279707
- DOI: https://doi.org/10.31857/S0514749224050025
- EDN: https://elibrary.ru/RDMGCS
- ID: 279707
Дәйексөз келтіру
Толық мәтін
Аннотация
The review summarizes, systematizes and analyzes published literature data concerning the reactions of saturated and unsaturated 5(4H)-oxazolones with various organosilicon reagents. Examples of the preparation of heterocyclic compounds, 4,4-disubstituted 5(4H)-oxazolones, α,α-disubstituted α-amino acids and their esters using these reactions are considered. For some processes, transformation mechanisms are given. Examples of the synthesis of biologically active and natural compounds based on reactions involving 5(4H)-oxazolones and organosilicon reagents are presented.
Толық мәтін
ВВЕДЕНИЕ
5(4Н)-Оксазолоны являются легкодоступными и стабильными соединениями и вызывают все больший интерес в качестве перспективного ряда строительных блоков для создания разнообразных органических соединений. В последние 20–30 лет увеличилось количество исследований, нацеленных на изучение возможности применения как насыщенных, так и ненасыщенных 5(4Н)-оксазолонов для синтеза различных классов соединений с участием кремнийорганических реагентов. Существуют примеры получения с помощью этих реакций гетероциклических соединений (включая производные имидазолов, имидазолонов, макроциклических лактонов, 1,2,3-триазолов и т.д.), 4,4-дизамещенных 5(4Н)-оксазолонов, α,α-дизамещенных α-аминокислот и их эфиров. Для некоторых процессов приведены механизмы превращений. Представлены примеры синтеза биологически активных и природных соединений на основе реакций с участием 5(4Н)-оксазолонов и кремнийорганических реагентов. Методы синтеза, разработанные на основе 5(4Н)-оксазолонов с участием кремнийорганических реагентов, могут расширить области их практического использования.
РЕАКЦИИ КРЕМНИЙОРГАНИЧЕСКИХ СОЕДИНЕНИЙ С НАСЫЩЕННЫМИ 5(4Н)-ОКСАЗОЛОНАМИ
Взаимодействие насыщенных 5(4Н)-оксазолонов (1) с тризамещенным хлорсиланом в зависимости от условий реакции протекает в 2 направлениях – N- или О-силилирование (схема 1).
Схема 1
В первом случае получается мюнхенон (2), который может реагировать как 1,3-диполь, участвуя в реакциях циклоприсоединения, образуя пятичленные гетероциклические соединения.
О-Замещенные продукты оксазолонов – силилоксиоксазолы 3 – также являются хорошими синтонами для синтеза различных классов соединений. В некоторых реакциях хлорсиланы способствуют проявлению нуклеофильной природы оксазолона 1 при образовании производных α-аминокислот 4 (схема 1).
Синтез гетероциклов 1.1.1. Синтез имидазолов
Возможность насыщенных 5(4Н)-оксазолонов участвовать в качестве 1,3-диполярных агентов в реакциях циклоприсоединения использовали при разработке метода синтеза мультизамещенных имидазолов 7 [1–5]. Реакция 5(4Н)-оксазолона 5 с енаминами 6 в присутствии триметилхлорсилана (ТМХС) (схема 2, путь А) в дихлорметане приводит к целевым имидазолам 7 с хорошими выходами. Процесс является высоко диастереоселективным. Исследования, посвященные возможности применения других силилорганических соединений [2], показали, что триэтилхлорсилан (ТЭХС) почти не уступает ТМХС, в то время как трифенилхлорсилан менее активен, а триметилсилиловый эфир трифторметилсульфокислоты (ТМСТф) не эффективен в качестве кислоты Льюиса для катализа этой реакции.
Схема 2
Эта мультикомпонентная реакция с хорошими выходами (51-78%) была осуществлена также однореакторным способом – взаимодействием оксазолона 5, альдегида 8 и амина 9 в присутствии ТМХС в дихлорметане (схема 2, путь В) [1–3]. Установлено, что заместители при оксазолоне 5 (R1 и R2) имеют существенное влияние на диастереоизомерную чистоту продукта [3–5].
По данным [2], реакция протекает через образование N-силилированного аналога оксазолона – мюнхенона 10 (схема 3).
Схема 3
Метод был успешно применен для синтеза высокоэффективных физиологически активных полизамещенных имидазолов с различными биологическими свойствами [4]11], а также использовался при конверсии конфигурации четвертичного атома углерода в положении 4 имидазола (схема 4) [12].
Схема 4
1.1.2. Синтез изоксазолидинонов
В присутствии таких кремнийорганических реагентов, как ТМХС или ТМСТф, протекает реакция [3+2]-циклоприсоединения насыщенных 5(4Н)-оксазолонов 11 с нитронами 12 с образованием изоксазолидин-5-онов 13 с анти-конфигурацией (схема 5) [13]. Установлено, что наилучшие выходы (71–99%) получаются при применении ТМХС в дихлорметане. Полученные данные свидетельствуют о том, что заместители как в оксазолоне 11 (R1, R2), так и в нитроне 12 (R3, R4) влияют на выход реакции [3+2]-циклоприсоединения. Как правило, реакции 2-фенил-5-оксазолонов 11 (R1 = Ph) с нитронами, содержащими в бензольной группе электроноотрицательные заместители (12: R3 = C6H4 с 3-Br, 3-Cl, 4-Br, 4-Cl, 4-NO2 заместителями), по сравнению с нитронами, в которых R3 = 4-метил- или 4-метоксифенильные фрагменты, приводят к сравнительно высоким выходам оксазолидонов 13. Между тем реакция циклоприсоединения 2-фенил-5-оксазолонов (11: R1 = C6H5) лучше протекает с нитронами 12, имеющими в положении 1 нафтильную (12: R3 = нафтил) или стерически менее объемистую метильную (R4 = Me) группу в положении 2 нитрона 12. Реакции циклоприсоединения препятствовали фенильная (R4 = Ph) и этильная (R3 = Et) группы в положениях 1 и 2 реагента 12.
Схема 5
Отмечается [13], что на выход продукта циклоприсоединения влияет также характер заместителей в оксазолоне 11.
5(4H)-Оксазолоны 11 с электронодонорными заместителями в фенильной группе в положении 2 гетероцикла (11, R1 = 4-MeC6H4) приводят к сравнительно более высоким выходам конечных продуктoв 13, чем оксазолоны с электроноакцепторными заместителями в той же фенильной группе (11, R1 = 2-,3- или 4-ClC6H4). Фенильный или метильный заместители в положении 4 оксазолона (R2 = Ph, Me) снижают выход продуктов 13, по сравнению с фенильной группой с электроноакцепторным заместителем (11, R2 = 4-Br- или 4-ClC6H4). Однако во всех случаях полученные оксазолидоны имеют высокую (20:1) энантиомерную чистоту.
Вероятно [13], реакция [3+2]-циклоприсоединения насыщенных 5(4Н)-оксазолонов 11 с нитронами 12 протекает по схеме 6.
Схема 6
1.1.3. Синтез лактонов
Изучена [14] реакция насыщенных 5(4Н)-оксазолонов 19 с 4-винилэтиленкарбонатами 20. При этом установлено, что в присутствии ТМХС катализируемый смесью трис(дибензилиденацетон)дипалладия (Pd2(dba)3) и трифенилфосфи на процесс протекает с [5+2]-циклоприсоединением с выходами 67–99% лактонов 21 (схема 7).
Схема 7
Как правило, выход реакции [5+2]-циклоприсоединения сильно зависит от используемых субстратов 19 и 20. Оксазолоны 19 с бензильным фрагментом в положении 4 (R2 = CH2C6H5) и с арильным фрагментом, содержащим электроноакцепторные заместители в положении 2 (R1), в основном, приводят к хорошим результатам (67–99%).
Предполагается, что реакция протекает по схеме 8.
Схема 8
Интересно, что наличие фенильной группы (R2 = Ph) или отсутствие заместителя (R2 = H) в положении 2 оксазолона не приводит к образованию желаемого продукта 21. Отсутствие реакции наблюдалось также при взаимодействии 4-(4-хлорстирил)-4-фенил-1,3-диоксолан-2-она (20: R3 = Ph, R4 = 4-ClC6H4) и 4-фенил-4-(проп-1-ен-1-ил)-1,3-диоксолан-2-она (20: R3 = Ph, R4 = Ме) с 2-фенил-4-бензил-5-оксазолоном (19: R1 = Ph, R2 = CH2C6H5).
Взаимодействие насыщенного 5(4Н)-оксазолона 22 с ω-{[трет-бутилдиметилсилил]окси}-1-алкилйодидами 23 в присутствии литиевой соли ди-трет-бутиламина (LDA) и трис(диметиламино)фосфина (HMPT) приводит к образованию смеси С- и О-алкилированных продуктов 24 и 25, в которой С-алкилированный изомер 24 преобладает (схема 9) [15].
Схема 9
После удаления О-защитной группы из оксазолона 24 получен промежуточный продукт 26, который подвергали рециклизации с образованием лактонов 27. Выходы последних в зависимости от количества n метиленовых групп (схема 9) колеблются в пределах 10–100%.
1.1.4. Синтез триазоиндолин-2-она
3-Диазоиндолин-2-он (28) в присутствии различных кислот Льюиса реагирует с 2-фенил-4-бензил-5(4Н)-оксазолоном (29) с образованием 3-(5-бензил-3-фенил-1Н-1,2,4-триазо-1-ил)индолин-2-она (30) (схема 10) [16]. Эта реакция [3+2]-присоединения в присутствии 20 мол. % ТМХС приводит к образованию триазоиндолин-2-она 30 с выходом 33%.
Схема 10
Отмечается [16] также, что замена индола 28 на метиловый эфир ((трет-бутилдиметилсилил)окси)-2-диазобут-3-еновой кислоты (31) не приводит к [3+2]-присоединению с оксазолоном 29.
1.1.5. Синтез 1,3-азафосфолов
N-Замещенные насыщенные 5(4Н)-оксазолоны 32 (мюнхеноны) с 1-хлор-2-фенил-2-триметилсилилфосфаном (33) вступают в реакцию [3+2]-циклоприсоединения с образованием азафосфолов 34 [17]. Замена реагента 33 на трис-триметилсилилфосфин приводит к азaфосфоленам 35 (схема 11) [18].
Схема 11
1.1.6. Синтез производных пролинов и оксазолопиридинов
5(4Н)-Оксазолоны, содержащие в положении 4 цикла β-альдегидную (36: R3 = H) [19] или β-кетонную (36: R4 = Ме) группу [20–22], в метаноле и в присутствии ТМСХ при комнатной температуре образуют метиловые эфиры пролина 37 в виде одного диастереомера (схема 12).
Схема 12
Оксазолон (38) после раскрытия цикла MeOH/ТМХС, без выделения, был подвергнут окислению м-хлорнадбензойной кислотой с образованием оптически активного изомера глутаминовой кислоты 39 (схема 13) [21, 22].
Схема 13
Синтез и превращения O-силилированных 5(4Н)-оксазолонов
Установлено [23], что взаимодействие 2-бензил-5-оксазолона (40: R = CH2Ph) с триметилхлорсиланом в присутствии триэтиламина приводит к образованию 2-бензил-5-((триметилсилил)окси)оксазола 41 (схема 14).
Схема 14
Последний под воздействием ДМФА-диметилацеталя (42) образует 2-бензил-4-(диметиламинометил)-5-оксазолон (43), тогда как реакцией с изотиоцианатом (44) приводит к спирозамещенному 5(4Н)-оксазолону 45 (схема 14).
Реакция силилоксазола 41 с калиевой солью трет-бутилового спирта (46) приводит к аниону 47 (схема 14). O-Силилоксазол 41 применяли также для синтеза ненасыщенных 5(4Н)-оксазолонов 48 (схема 14) [24].
Установлено [25], что реакция О-силилоксазолона 41 с азодикарбоновой кислотой 49 при 80оС в бензоле в течение 24 ч приводит к образованию триазола 50 с высоким выходом.
Позже в 1979 г. были предложены удобные методы синтеза 5-триметилсилилокси-2,4-дизамещенных оксазолов 53 (схема 15) [26]. В случае стабильных 5(4Н)-оксазолонов 52 применяли их взаимодействие с ТМХС в присутствии триэтиламина (схема 15, путь А), тогда как нестабильные оксазолоны силилировали in situ (схема 15, путь Б).
Схема 15
Там же изучена возможность применения соединения 53 в качестве диенов в реакции Дильса–Альдера с N-фенилмалеинимидом или диметиловым эфиром малеиновой кислоты. При этом установлено, что аддукт 54 нестабилен и без выделения разлагается с помощью силикагеля. Таким образом, производные пиридина 55 получены с высокими выходами (83–90%).
Согласно [27], силилированный 2-фенил-4-бензил-5(4Н)-оксазолон (56: R = CH2Ph, R1 = Me) подвергается окислению с образованием соответствующего ненасыщенного оксазолона 57 в присутствии различных окислителей (схема 16).
Схема 16
По данным [28], С-алкилирование 2-фенил-5-((триизопропилсилил)окси)оксазола (56: R = Me, R1 = i-Pr) с кротональдегидом (58) и хлорирующим агентом 59 в присутствии органокатализатора 60 протекает с высоким выходом (97%) и энантиоселективностью (˃99 ее) (схема 16).
Реакцией 5-силилоксиоксазолов 62 с галогенангидридами карбоновых кислот 63 получают мюнхеноны 64 и 66, взаимодействие которых с диметиловым эфиром ацетилендикислоты (ДМАК) приводит к 2 аддуктам циклоприсоединения 65 и 67 (схема 17) [29].
Схема 17
В случае взаимодействия О-силилоксазола 68 с ДМАК в присутствии метилового эфира трифторсульфокислоты (TFOMe) и CsF получен пиррол 69, тогда как реакция О-силилоксазола 68 с тиобензофеноном в тех же условиях приводит к образованию тиоамида 70 (схема 18) [29].
Схема 18
Алкилирование С4-атома насыщенных 5(4Н)-оксазолонов силилорганическими реагентами
Реакция 2-фенил-4-бензил-5-оксазолона (72a) с 3-ацетокси-3-триметилсилилпропеном (71) в присутствии каталитических количеств лиганда 77 и [η3-C3H5PdCl]2 (76) приводит к образованию силилированного оксазолона 73а с выходом 69% (ee 98%) [30]. При этом получается также десилилированный продукт 74a с выходом 27%, но энантиомерный избыток составляет всего 13% (схема 19). В этом случае не обнаружен аллилированный продукт 75а. С менее затрудненным азлактоном 72b наблюдалась более сложная смесь продуктов.
Схема 19
При этом аллилированный азлактон 73b был выделен с выходом 53% (ее 97%). Десилилированный продукт 74b был получен с выходом всего 7%. Однако образовались дополнительные 2 продукта – региоизомерный аллилированный азлактон 75b, полученый с выходом 20% (93% de и 99% ee), и Z-изомер алкена 73b с выходом 13%. Применение в качестве лиганда стильбендиамина 78 привело к уменьшению количества азлактона 75b (9%), но увеличило количество изомера Z-алкена 73b (16%).
Продукты реакции Pd-катализируемого алкилирования насыщенных 5(4Н)-оксазолонов 72b,c с гем-диацетатом 79 были применены при синтезе сфингофунгинов E и F (схема 20) [31, 32]. Алкилирование оксазолонов 72b,c осуществлено в присутствии таких каталлизаторов, как Pd(PPh3)4 или димер аллилпалладия хлорида (76, (η3-C3H5PdCl)2) совместно с лигандом (1R,2R)-N,N’-(циклогексан-1,2-диил)бис(дифенилфосфино)бензамидом (77). При этом получили 2 стереоизомера 80 и 81. Последний был использован как исходное вещество для многостадийного синтеза сфингофунгинов 82 и 83 (схема 20).
Схема 20
Алкилирование С4 углеродного атома 2,4-дифенил-5(4Н)-оксазолона (84) 3-(триметилсилил)пропаргилбромидом осуществлено в ДМФА в присутствии диизопропилэтиламина (схема 21) [33]. При этом силилсодержащий оксазолон 85 получен с выходом 85%.
Схема 21
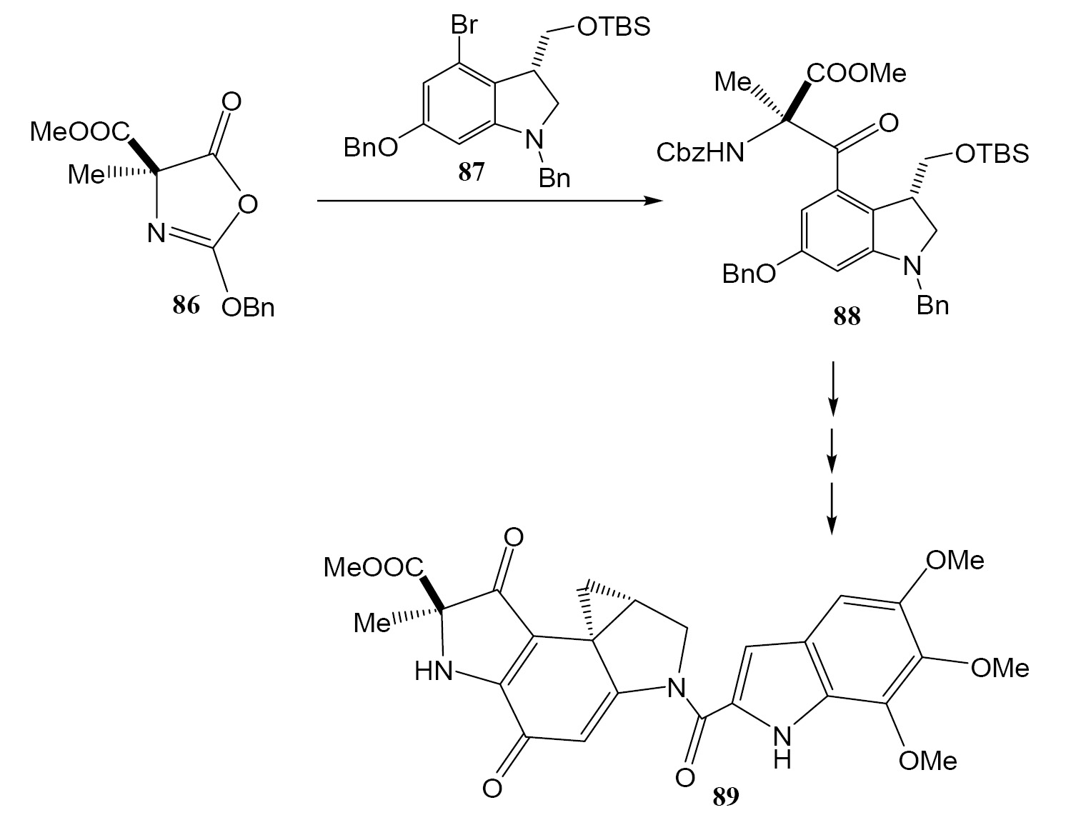
Реакция 2-бензилокси-4-метил-4-карбоксиметил-5-оксазолона (86) с хиральным индолином 87 в присутствии бутиллития в ТГФ при –78оС приводит к образованию продукта ацилирования индолина 88 [34]. Последний был применен для синтеза (+)-дуккамицина А (89) (схема 22).
Схема 22
Гипервалентные йодсодержащиe реагенты фенил((триметилсилил)этинил)йодиниум толуолсульфонат (90) и 1-((триметилсилил)этинил)-1,2-бензйодоксол-3(1Н)-он (91) в качестве донора ацетилена применяли для синтеза 4-алкинил-5(4Н)-оксазолонов 93 (схема 23) [35, 36].
Схема 23
При этом установлено [35], что в присутствии реагента 90 и диизопропилэтиламина 2-фенил-4-изобутил-5(4Н)-оксазолон (92: R = CH2CHMe2) происходит образование силилированного продукта 93 (R = CH2CHMe2) с высоким выходом (96%), тогда как замена реагента 90 на 91 приводит к десилилированному продукту 93 с R1 = H. Показана [35] пригодность силилсодержащих 4-алкинил-5-оксазолонов (94) в качестве исходных соединений для синтеза различных α,α-дизамещенных α-аминокислот 96–99 и пептида 95 (схема 24).
Схема 24
Реакция асимметрического [4+2]-циклоприсоединения 2-(1-гидрокси-3-(триметилсилил)проп-2-ин-1-ил)фенола (100) с насыщенным оксазолоном 101 в присутствии фосфорной кислоты 102 протекает с хорошим выходом и стереоселективностью с образованием 3,4-дизамещенного кумарина 103 (схема 25) [37].
Схема 25
Показано [38], что реакция 4-замещенных оксазолонов 104 с 4-метил-4-((триметилсилил)окси)пент-1-ен-3-оном (105) в присутствии органокатализаторов 108 или 109 после десилилирования полученных аддуктов алкилирования приводит к 4,4-дизамещенным оксазолонам 106 с высокими выходами и оптической чистотой (схема 26).
Схема 26
Последние являются хорошими исходными соединениями для синтеза оптически активных α,α-дизамещенных α-глутаминовых кислот 107.
При многостадийном синтезе карзинофиллина (азиномицина В – противоопухолевого антибиотика) [39–42] реакцией пирролов 110–112 с 5(4Н)-оксазолонами 113–116 установили, что нагревание пиррола 110 с 3 эквивалентами оксазолона 114 при 80оС в толуоле приводит к ненасыщенному оксазолону 117 (R = Ph, R1 = R2 = Bn) с выходом 33%. Однако при замене пиррола 110 на пиррол 111 (где X = S) выход реакции возрастает до 82% (схема 27) [39, 41]. При этом получается смесь, содержащая Z- и E-изомеры оксазолона 117.
Схема 27
Аналогичная реакция с участием пиррола 112 с 2-[(Е)-2-(бензилоксиметил)метилпропенил]-4H-оксазол-5-оном (116) в смеси толуол-пиридин приводит к соответствующему оксазолону 117 Е-конфигурации с выходом 47%, тогда как та же реакция с участием Z-изомера оксазолона 116 приводит к смеси оксазолона 117 (R = PhCH2OCH2OCH2CH(CH3)=CH, R1 = Ac, R2 = Et3Si), содержащего 9,3% Z-изомера и 32% E-изомера оксазолона 117- [42].
1.4. Синтез эфиров α,α-дизамещенных α-аминокислот
Реакция алкоголиза 4,4-дизамещенных 5(4Н)-оксазолонов 118 в присутствии ТМХС была применена для синтеза α,α-дизамещенных α-аминокислот 119 (схема 28). Реакция, как правило, протекает в мягких условия (комнатная температура) с высокими выходами (50–99%) с сохранением оптической чистоты исходных оксазолонов [19, 20, 22, 30, 43–47].
Схема 28
Метиловые эфиры N-бензоил-α,α-дизамещенных α-аминокислот 121 получены реакцией оксазолонов 120 в смеси дихлорметан–метанол (1 : 1) в присутствии 2 эквивалентов ТМХС при комнатной температуре с хорошими выходами (43–58%) (схема 29) [48].
Схема 29
Спироциклические 5(4Н)-оксазолоны 122 с метанолом в присутствии ТМХС при 40оС превращаются в диастереомерно чистые метиловые эфиры 123 с высокими выходами (81–100%) (схема 30) [49].
Схема 30
На примере (6S,10S)-2,6,10-трифенил-3-оксо-1-азаспиро[4, 5]дек-1-ен-4,8-диона (122: R1 = R2 = Ph) установлено [49], что при проведении той же реакции с участием диизопропилэтиламина вместо раскрытия оксазолонового цикла наблюдается образование диметилкеталя 124 с сохранением S,S-конфигурации транс-122 оксазолона.
Реакция раскрытия насыщенных 4,4-дизамещенных 5(4Н)-оксазолонов в присутствии ТМХС осуществлена [43, 50] сразу после синтеза 4-замещенного 5(4Н)-оксазолона в одной колбе. При этом также наблюдается сохранение энантиомерной чистоты полученных метиловых эфиров. Таким образом, после реакции [3+2]-циклоприсоединения ненасыщенных олефиновых 2-фенил-4-бензилиден-5-оксазолонов 125 с этиловым эфиром бутан-2,3-диеновой кислоты (126) в присутствии каталитических количеств фосфина 127 были синтезированы метиловые эфиры 128 с высокой энантиомерной чистотой (ее 79–95%) воздействием на полученные насыщенные оксазолоны ТМХС в этаноле (схема 31) [50].
Схема 31
Отмечается [43], что реакция раскрытия оксазолонового цикла была применена в однореакторном синтезе метиловых эфиров 131 после алкилирования насыщенных 5(4Н)-оксазолонов 129 нитроалкенoм 130 (схема 32).
Схема 32
Двухстадийный однореакторный синтез смешанных эфиров α,β-замещенной глутаминовой кислоты 133 осуществлен раскрытием оксазолонового цикла 132 смесью МеОН-ТМХС и последующим окислением полученного метилового эфира в условиях реакции Байера–Виллигера с применением м-хлорнадбензойной кислоты (MCPBA) (схема 33) [20, 22].
Схема 33
РЕАКЦИИ КРЕМНИЙОРГАНИЧЕСКИХ РЕАГЕНТОВ С НЕНАСЫЩЕННЫМИ 5(4Н)-ОКСАЗОЛОНАМИ
Исследования реакции ненасыщенных 5(4Н)-оксазолонов с кремнийсодержащими реагентами начались в 1989 г. [51]. Продуктом этих взаимодействий являлись, в основном, гетероциклические соединения.
2.1. Синтез ненасыщенных (4Н)-имидазол-4-онов
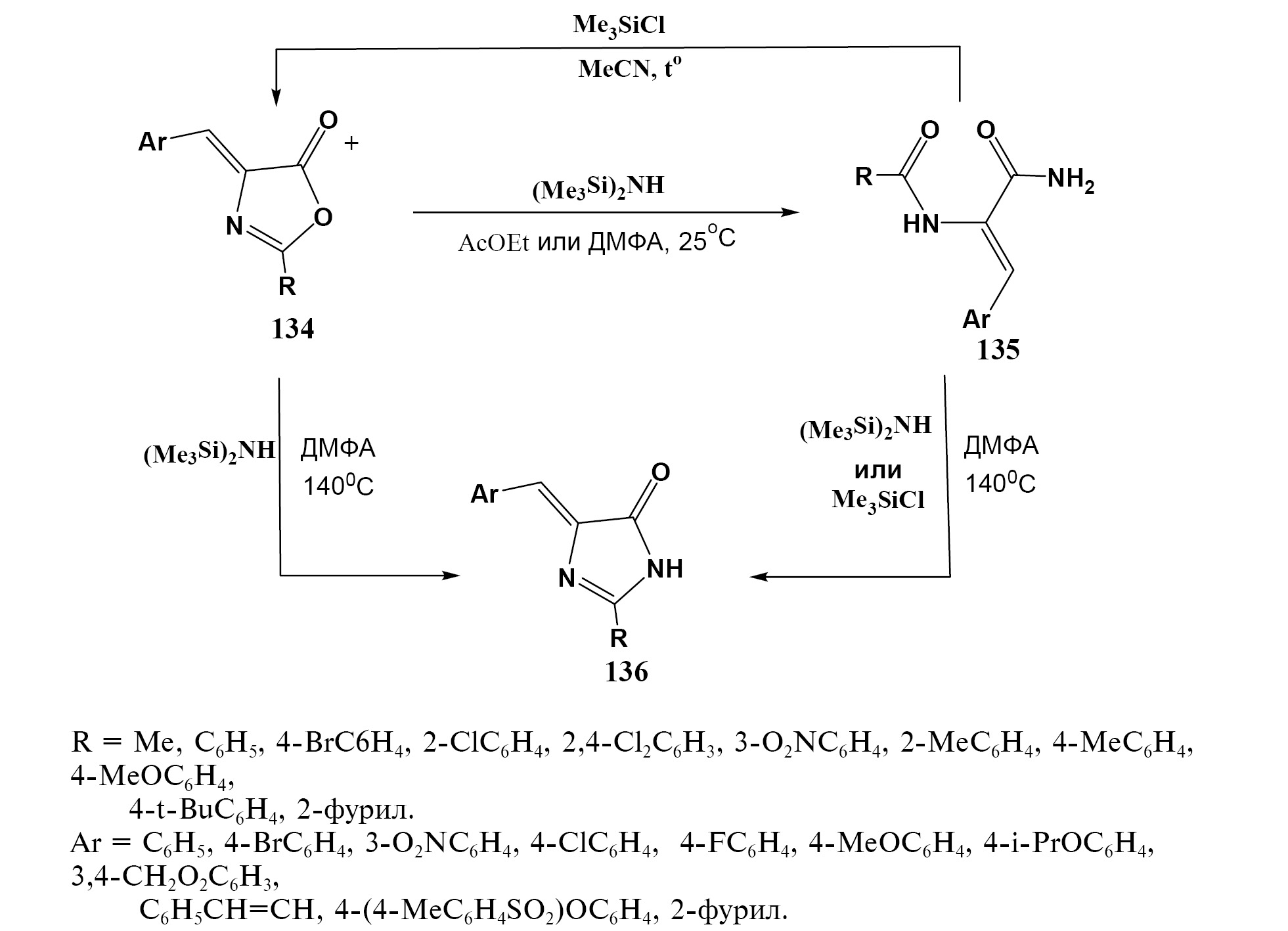
Взаимодействие 1,1,1,3,3,3-гексаметилдисилазан (ГМДС) с ненасыщенными 5(4Н)-оксазолонами 134 в зависимости от условий реакции приводит к образованию различных продуктов (схема 34). В случае проведения реакции в этилацетате, ацетонитриле или ДМФА при комнатной температуре получали первичные амиды N-замещенных α,β-дегидроаминокислот 135. В случае же кипячения в ДМФА реакция завершается образованием 2,4-дизамещенных 5-арилиден-4Н-имидазол-4-онов 136 [52–57]. В последнем случае ГМДС выступает в роли как донора аммиака, так и дегидратирующего агента. То есть имеет место двухстадийная тандемная реакция: образование амида α,β-дегидроаминокислоты 135 и его дегидратация в 4-имидазолон 136. В пользу сделанного предположения свидетельствует факт получения 4-имидазолонов 136 при взаимодействии амидов 135 с ГМДС [53, 56, 57].
Схема 34
Однако, по данным [52], реакция ТМХС с первичным амидом N-бензоил-α,β-дегидрофенилаланина (135: R = Ar = Ph) в ДМФА при 140оС приводит к смеси продуктов, состоящей из 2-фенил-5-бензилиден-4-имидазолона (136: R = Ar = Ph) и 2-фенил-4-бензилиден-5-оксазолона (134: R = Ar = Ph) (схема 34), тогда как в ацетонитриле продуктом реакции является только 2-фенил-4-бензилиден-5-оксазолон 134.
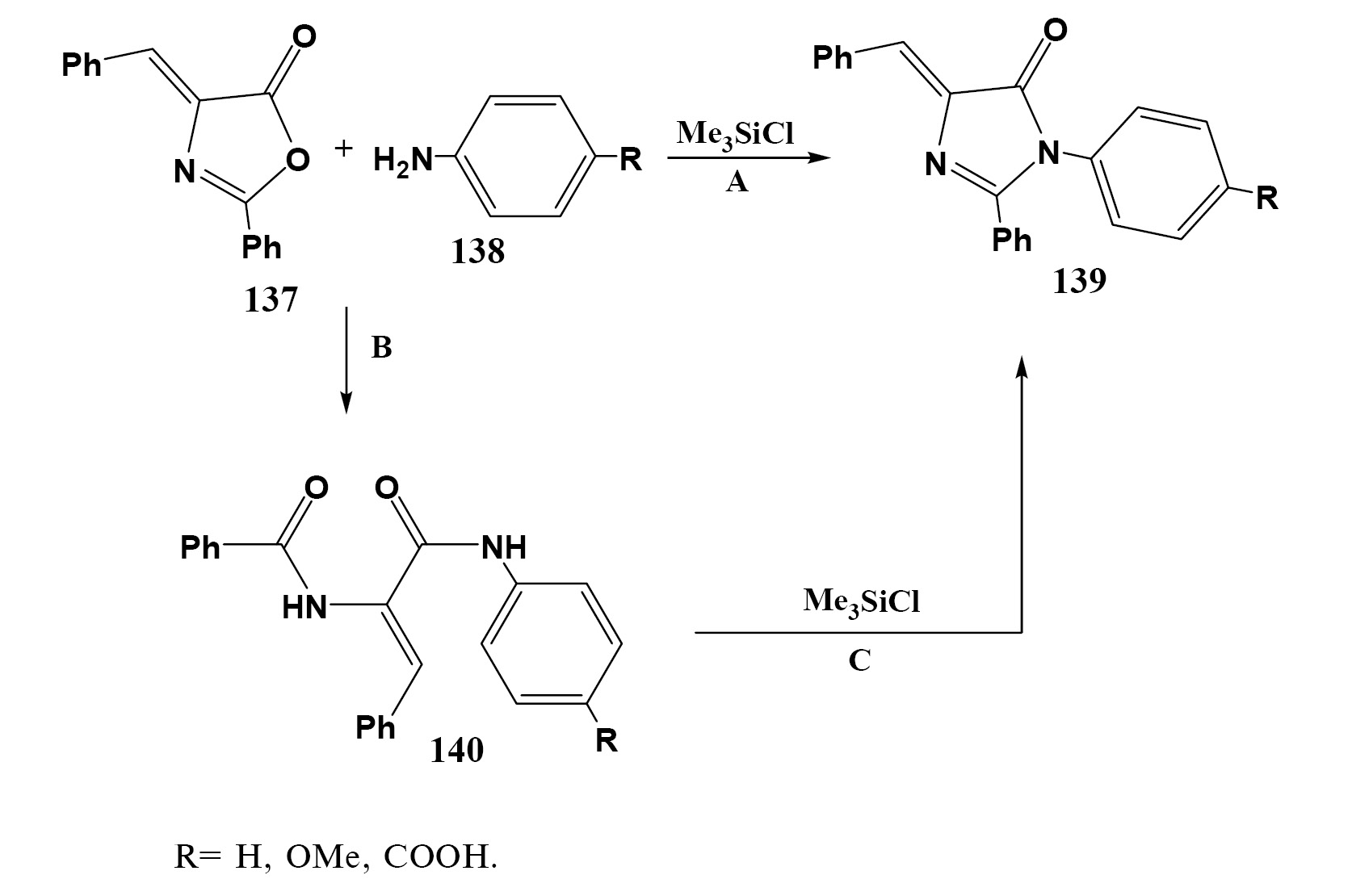
Установлено [58], что взаимодействие 2-фенил-4-бензилиден-5-оксазолона (137) с ариламинами 138 в присутствии ТМХС (схема 35, путь А) приводит к образованию 1-арил-4-бензилиден-5-имидазолона 139. Очевидно, что процесс в этом случае является двухстадийной тандемной реакцией, протекающей через образование ариламида α,β-дегидрофенилаланина 140 (схема 35, путь В) с последующей дегидратацией с помощью ТМХС (схема 35, путь С). В пользу такого предположения свидетельствует факт синтеза 4-имидазолонов 139 из амидов 140 с использованием ТМХС [58].
Схема 35
Отмечается, что метод синтеза 4-имидазолонов по пути А по выходам конечных продуктов уступает методу С. По данным [59], выход 1,2-дифенил-4-бензилиден-5-имидазолона (139: R = H), синтезированного по методу А, в течение 1 ч составляет 64%, тогда как [60] тот же 4-имидазолон 139 (R = H) был синтезирован с выходом 60% реакцией оксазолона 137 с анилином (138: R = H) в присутствии ацетата натрия в течение 6 ч.
Проведен однореакторный синтез 2,3,5-тризамещенных 4-имидазолонов 142 из 2-замещеных 4-арилиден-5(4H)-оксазолонов 141, в качестве дегидратирующего агента применяли бистриметилсилилацетамид (БТМСА) (схема 36) [61, 62].
Схема 36
Синтез осуществляли добавлением к пиридиновому раствору ненасыщенного 5(4Н)-окса-золона 141 в пиридине первичного амина. После завершения реакции образования амида N-замещенной α,β-дегидроаминокислоты прибавляли 2 эквивалента БТМСА и смесь кипятили при 100оС в течение 12–15 ч. При этом целевые 4-имидазолоны 142 были получены с высокими выходами (52–99%). Позже при исследовании синтеза 2,3,5-тризамещенных 4-имидазолонов с применением ТМСХ и ГМДС в качестве дегидратирующих агентов (схема 37) [59] установлено, что однореакторный синтез (схема 37, путь С) с участием ГМДС тоже приводит к высоким выходам целевых имидазолонов 143, тогда как при использовании ТМСХ выходы (52–72%) сравнительно низкие.
Схема 37
Недавно однореакторный синтез 1,2-дифенил-5-бензилиден-4-имидазолона (144) был осуществлен с применением N-триметилсилилимидазола (ТМСИ) [63]. При этом целевой продукт 144 выделен с выходом 52% (схема 38).
Схема 38
Отметим, что реакцией ненасыщенных 5(4Н)-оксазолонов с ГМДС, ТМХС, TMСИ и БТМСА были синтезированы различные биологически активные 4-имидазолоны, в том числе аналоги хромофора зеленого флуоресцентного белка [53–57, 63].
2.2. Реакция ненасыщенных 5(4Н)-оксазолонов с силилфосфанами
Силилфосфаны 145 реагируют с ненасыщенными 5(4Н)-оксазолонами 146, образуя аддукт 1,4-присоединения 147 за счет O=C–C=C сопряженного фрагмента оксазолона 146 (схема 39) [64]. Реакция с хорошими выходами протекает при комнатной температуре. Оксазол 147 легко реагирует с кислородом с образованием оксида фосфина 148, который в присутствии воды, теряя силиловый фрагмент, превращается в фосфорилированную аминокислоту 149. Сульфурирование соединения 147 приводит к стабильному оксиду тиофосфина 150.
Схема 39
Последний в случае 2-метилзамещенного аналога легко превращается в аминокислоту 152, тогда как 2-фенильный аналог 150 приводит к образованию насыщенного оксазолона 151, из которого в присутствии избытка воды получены аминокислоты 152.
Реакция ненасыщенных 5(4Н)-оксазолонов с фенилдиметилсиланом
По данным [65, 66], порфолактон, содержащий остаток ненасыщенного оксазолона 153, с 1 эквивалентом реагента Вуллинза (RW) и в присутствии 4 эквивалентов фенилдиметилсилана приводит к образованию дигидропорфолактона 154, тогда как увеличение доли силана до 100 эквивалентов приводит к тетрагидропорфолактону 155 (схема 40).
Схема 40
2.4. Реакция ненасыщенных 5(4Н)-оксазолонов с силилированными непредельными соединениями
Начиная с 1989 г. изучалась [51, 67–72] реакция Дильса-Альдера с участием различных силилированных бутадиенов 156 и (Z)-2-фенил-4-арилиден-5(4Н)-оксазолонов 157. Отмечается [67], что реакция (Z)-4-(бензо[d][1, 3]диоксаль-5-илметилен)-2-фенил-5(4Н)-оксазолона (157ж) с транс-1-метокси-3-триметилсилилоксибута-1,3-диеном (156: R = R1 = Me, R2 = OMe, диен Данишевского) в запаянном флаконе при 160˚С приводит к продукту [2+4]-присоединения с образованием спирооксазолонa 158. При этом наблюдалось образование одного изомера (схема 41). По данным [68], та же реакция с 2-фенил-4-бензилиден-5(4Н)-оксазолоном (157c), осуществляемая в толуоле при 160˚С, приводит к образованию смеси 2 изомеров продукта [2+4]-присоединения – 158a и 158b в результате эндо- и экзо-атаки диена 156 на оксазолон 157c. Полученные изомеры в кислотных условиях превращены в спирооксазолоны 159a и 159b с выходом 93% в соотношении 45 : 55 соответственно (схема 41).
Схема 41
Аналогичный результат описан в реакциях [70–72] (R,Z)-4-((2,2-диметил-1,3-диоксолан-4-ил)метилен)-2-фенил-5(4Н)-оксазолона (157е), 4-(2-метоксибензилиден)-5(4Н)-оксазолона (157г), 4-(3,4-диметоксибензилиден)-2-фенил-5(4Н)-оксазолона (157д), 4-этилиден-2-фенил-5(4Н)-оксазолона (157a) и 4-(2,2-диметилпропилиден)-2-фенил-5(4Н)-оксазолона (157b) с диеном Данишевского. Отметим, что при этом в зависимости от структуры ненасыщенного оксазолона 157 соотношение изомеров, полученных в результате эндо- и экзо-атаки, различается.
По данным [71], 1-триметилсилилоксибутадиен (156c) с диенофилом 157e также реагирует в растворе дихлорметана при комнатной температуре в течение 24 ч с получением аддуктов смеси 160a и 160b (1 : 2) с выходом 70% (схема 42). Интересно, что под давлением диенофил 157е с 1-ТМСО-бутадиеном 156b (12.5 кбар, комнатная температура, 6 ч) давала только син-эндо-изомер 160a с выходом 90% (схема 42). Таким образом, показано, что высокое давление лучше, чем термическая активация, для получения аддуктов Дильса–Альдера более эффективно и стереоселективным способом. Использование этих 2 разных реакций активации предполагает альтернативные способы получения син-эндо-изомера 160a или син-экзо-изомера 160b с хорошими выходами.
Схема 42
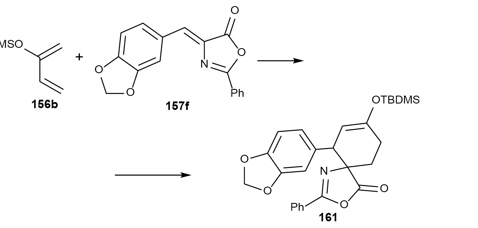
Взаимодействие реагента 156b с ненасыщенным оксазолоном 157f, содержащим в положении 4 бензо[d][1, 3]диоксол-5-илметиленовую группу , приводит к образованию продукта [2+4]-присоединения 161 (схема 43) с выходом 50% [66].
Схема 43
Установлено [66], что реакция 4-хлорметилиден-2-фенил-5(4Н)-оксазолона (162) с 2-трет-бутилдиметилсилилоксибутадиеном (156г) не приводит к ожидаемому продукту [2+4]-присоединения 163, вместо этого при комнатной температуре образуется ненасыщенный 5(4Н)-оксазолон 164 (схема 44).
Схема 44
Реакция (Z)-4-((6-хлорпиридин-3-ил)метилен)-2-фенилоксазол-5(4Н)-она (165) с реагентом Данишевского была использована [73] в синтезе биологически активного эпибатидина (166) – алкалоида, выделенного из кожи эквадорской лягушки (схема 45).
Схема 45
Аналогичная реакция с ненасыщенными 5(4Н)-оксазолонами была использована при синтезе α-аминокислот с 7-азанорборнановым скелетом 167 [74].
КРЕМНИЙОРГАНИЧЕСКИЕ ОРГАНОКАТАЛИЗАТОРЫ В РЕАКЦИЯХ 5(4Н)-ОКСАЗОЛОНОВ
В литературе встречаются примеры применения кремнийорганических соединений в качестве органокатализаторов для различных реакций с участием как насыщенных, так и ненасыщенных 5(4Н)-оксазолонов.
4-Гидрокси-2,6-бис(трифенилсилил)[2,1-d:1',2'-f][1, 3, 2]диоксафосфепин-4-оксид (168) был использован в аза-реакции Михаэля с участием Е-изомера 4-пропилиден-5(4Н)-оксазолона (E-170) с трет-бутилгидроксикарбаматом (171) (схема 46) [75].
Схема 46
При этом получается смесь изомеров, в которой преобладает анти-изомер. В случае же Z/E-изомера оксазолона 170 реакция с карбамидом 171 в присутствии трифенилфосфина и катализатора 168 приводит к соединению 173 с высокой энантиомерной чистотой (ее = 95%), на основе которого далее синтезирован пептид 174 с высокой оптической чистотой [75].
Реагент 168 был использован в качестве катализатора при С4-алкилировании оксазолона 175 замещенными 4-гидроксиметилфенолами 176 (схема 47) [76]. Выход конечного продукта 177 низкий (10%). Однако реакция в присутствии катализатора 169 и трет-бутилдиметилсилилового эфира трифторметилсульфокислоты (TBSOTf) приводит к силилированным аналогам азлактона 178.
Схема 47
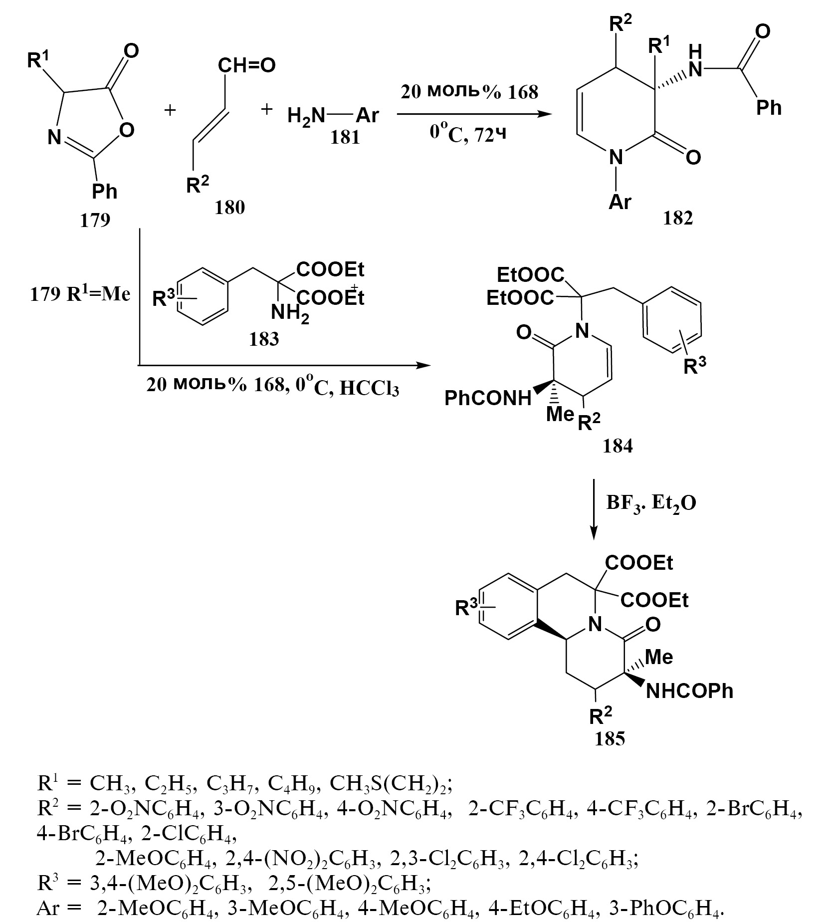
Катализатор 168 применялся [77] также при асимметрическом трехкомпонентном синтезе пиридонов 182 из насыщенных 5(4Н)-оксазолонов 179. Эта реакция [4+2]-присоединения протекает между оксазолоном 179, коричным альдегидом (180) и первичными аминами 181 в присутствии 20 мол. % силилового катализатора 168 при 0оС (схема 48).
Схема 48
В случае ариламинов 181 реакция в хлороформе протекает с образованием 3,4-дигидропиридонов 182 с высокими выходами (62–91%) и стереоселективностью (62–94% ее). Замена ариламина 181 на диэтиловый эфир 2-амино-2-бензилмалоновой кислоты (183) в реакции с 2-фенил-4-метил-5(4Н)-оксазолоном (179: R = Me) приводит к пиридинонам 184, которые под воздействием трифторборида образуют производные бензо[a]хинолизидинов 185 с высокими выходами и энантиоселективностью в пределах 90–97% ее (схема 48).
Хиральные катализаторы 186a и 186b в количествах 1 мол. % применялись при С4- алкилировании насыщенных оксазолонов 187 бензил- (188: R = C6H5CH2), аллил- (188: R = CH2CH=CH2) и пропаргилбромидами (188: R = CH2C≡CH), что приводило к образованию оксазолонов 189 с высокой стереоселективностью (схема 49) [78]. Установлено, что катализатор 186b приводил к диастереомерам 189 в соотношении 95 : 5.
Схема 49
Метод был применен для синтеза оптически активных полипептидов с α,α-дизамещенными аминокислотами 190 и 193 (схема 50).
Схема 50
Алкилирование С4-атома насыщенных 5(4Н)-оксазолонов 198 эфирами бута-2,3-диеновой кислоты (199) катализируется различными фосфинами 194–197, содержащими тризамещенный силиловый фрагмент [79].
Из них с высокими выходами и энантиомерной чистотой синтез 4,4-дизамещенных оксазолонов 200 катализирует фосфин 194b (схема 51).
Схема 51
Установлено [19, 80], что органокатализаторы, синтезированные на основе пролинола 201–203, можно применять для алкилирования С4-атома насыщенных 5(4Н)-оксазолонов 205 α,β-ненасыщенными альдегидами 204 (схема 52).
Схема 52
Օтмечается, что процесс нуклеофильного присоединения насыщенных 4-замещенных 5(4Н)-оксазолонов (205: R3 = алкил-, арил-) к α,β-ненасыщенным альдегидам 204 в присутствии трет-бутилдиметилсилилового эфира (дифенил)пролинола (201) [80] и триметилсилилового эфира ди(3,5-трифторметилфенил)пролинола (202) [19] протекает с высокой энантиоселективностью и хорошими выходами (схема 52).
По данным [80], сравнительно хорошие результаты (44–79%) с участием катализаторов 201–203 получаются при проведении реакции Михаэля с применением катализатора 201 в толуоле при 0оС. Отмечается также, что на энантиоселективность влияет заместитель в положении 2 (R2) 5(4Н)-оксазолона (205). Предложен [19] механизм реакции, согласно которому α,β-ненасыщенный альдегид 204, взаимодействуя с катализатором через интермедиат 207 и далее с нуклеофилом 205, трансформируется в аддукт Михаэля 206 через промежуточное соединение 208 (схема 53).
Схема 53
В случае ненасыщенного 5(4Н)-оксазолона, содержащего метильную группу при олефиновом фрагменте 209, реакция с производными коричного альдегида 204 в присутствии органокатализаторов 201–203 приводит к образованию продукта реакции присоединения по Михаэлю 210 с высокой стереоселективностью (схема 54) [81].
Схема 54
При этом реакция осуществляется в присутствии основания (триэтил- или диизопропилэтиламина). Сравнительно высокие выходы соединений 210 с высокой стерео- и региоселективностью получены в случае применения катализатора 203. Аналогичная реакция с участием 2,4-диенальдегида 211 протекает медленнее, но по выходам получаемых продуктов 212 не уступает продуктам, полученным реакцией с коричным альдегидом (схема 54). Однако при введении в положение 6 диеналя фенильной группы соединения 214 реакция протекала с низкой региоселективностью. В этом случае получена смесь продуктов 1,4- и 1,6-присоединения 215 и 216 соответственно (схема 55).
Схема 55
По данным [81], продукт 1,6-присоединения – (R,2E,7Z)-5-метил-7-(5-оксо-2-фенилоксазол-4(5Н)-илиден)-7-фенил-2-енальдегид (217) - подвергается эпоксилированию с пероксидом водорода и в зависимости от оптического изомера реагента 201 (R-201a или S-201b) приводит соответственно к изомеру 218a или 218b (схема 56).
Схема 56
Силиловый эфир 201 применяли [82] для катализа реакции Дильса-Альдера с участием ненасыщенных 5(4Н)-оксазолонов 220 с гексадиеналем 219. При этом образуются C-4,4-дизамещенные спирооксазолоны 221 с высокой энантиомерной чистотой (ее 96–99%) (схема 57).
Схема 57
В случае же циклического диена 222 реакция ненасыщенного 5(4Н)-оксазолона 223 в присутствии катализатора 201 тоже приводит к образованию спироциклических продуктов 224 [83] с энантиомерным избытком до 99% (схема 58).
Схема 58
Применение силилированных амидов оксипролинов 226 и 227 в качестве катализаторов реакции присоединения насыщенного 5(4Н)-оксазолона 23 к циклогексенону 225 приводит к аддукту реакции Михаэля 228 с низкой энантиоселективностью (схема 59) [84].
Схема 59
Установлено [85], что 2-(((трет-бутилдиметилсилил)оксо)(6-метоксихинолин-4-ил)метил)-5-винилхинуклидин (231) катализирует реакцию (Z)-2-фенил-4-(1-фенилэтилиден)-5(4Н)-оксазолона (229) с метиловым эфиром 2-(((трет-бутилокси)фенил)метил)акриловой кислоты (230) (схема 60). При этом выход оксазолона 233 составляет 55% с соотношением пространственных Z-/E-изомеров 3 : 1 соответственно.
Схема 60
Катализаторы 231 [86] и серебряная соль 232 [87] были использованы также для органокаталического энантиоселективного присоединения насыщенных 5(4Н)-оксазолонов 234 к N-тозилальдиминам 235 (схема 61).
Схема 61
В результате получены 4,4-дизамещенные 5(4Н)-оксазолоны 236 с высокой энантиомерной чистотой, которые при гидролизе образуют оптически активные α,β-диаминокислоты 237.
В некоторых превращениях 5(4Н)-оксазолонов в качестве этерифицирующего агента был применен триметилсилилдиазометан (TMSCHN2) (схемы 62–64) [88–94]․
Схема 62
Схема 63
Схема 64
Литий- и натрийгексаметилдисилазаны применяли в качестве оснований в катализируемом палладием регио- и диастереоселективном аллиловом алкилировании с участием насыщенных 5(4Н)-оксазолонов [95].
Взаимодействие 2-(п-метоксифенил)-4-фенил-5(4Н)-оксазолона (238) с дифенилэтанолом (239) в присутствии бис-трифенилсилилдинафтофосфорной кислоты (168) приводит к образованию дифенилэтилового эфира 240 с выходом 57% [96] (схема 65).
Схема 65
По данным [97], SiO2 тоже способствует раскрытию цикла насыщенного 5(4Н)-оксазолона в метаноле.
По данным [98], катализатор на основе алкалоида цинхона 242 способствует образованию тиоэфиров N-замещенных аминокислот 243 (схема 66) из оксазолона 241 и меркаптана. В этом случае, несмотря на высокие выходы, тиоэфиры 243 получаются с низкой оптической чистотой (ее 0–8 %).
Схема 66
ЗАКЛЮЧЕНИЕ
Реакции как насыщенных, так и ненасыщенных 5(4Н)-оксазолонов с участием кремнийорганических реагентов представляют большой интерес при создании различных классов веществ. Методы на основе этих взаимодействий находят широкое применение в синтезе биологически активных и природных соединений и служат в качестве альтернативного подхода для создания целевых продуктов с высокими выходами и стереоселективностью, например, 4-имидазолонов или α,α-дизамещенных α-аминокислот.
КОНФЛИКТ ИНТЕРЕСОВ
Авторы заявляют об отсутствии конфликта интересов.
Авторлар туралы
V. Topuzyan
Institute of Fine Organic Chemistry of the Scientific and Technological Center of Organic and Pharmaceutical Chemistry of the National Academy of Sciences of the Republic of Armenia
Хат алмасуға жауапты Автор.
Email: vtop@web.am
ORCID iD: 0000-0002-1721-1993
Армения, Yerevan, ave. Azatutyan, 26
A. Hovannesyan
Institute of Fine Organic Chemistry of the Scientific and Technological Center of Organic and Pharmaceutical Chemistry of the National Academy of Sciences of the Republic of Armenia
Email: vtop@web.am
ORCID iD: 0000-0003-0879-6800
Армения, Yerevan, ave. Azatutyan, 26
Әдебиет тізімі
- Paddibhotla S., Jayakumar S., Tepe J.J. Org. Lett., 2002, 4, 3533–3535. doi: 10.1021/o1026703y
- Paddibhotla S., Tepe J.J. Synthesis, 2003, 1433–1440. doi: 10.1055/s-2003-40196.
- Sharma V., Tepe J.J. Org. Lett., 2005, 7, 5091–5094. doi: 10.1021/o1052118w
- Kahlon D.K., Lansdell T.A., Fisk J.S., Hupp C.D., Friebe T.L., Hovde S., Jones A.D., Dyer R.D., Henry R.W., Tepe J.J. J. Med. Chem., 2009, 52, 1302–1309. doi: 10.1021/jm8013162
- Kahlon D.K., Lansdell T.A., Fisk J.S., Tepe J.J. Bioorg. Med. Chem., 2009, 17, 3093–3103. doi: 10.1016/bmc.2009.03.002
- Fisk J.S., Mosey R.A., Tepe J.J. Chem. Soc .Rev., 2007, 36, 1432–1440. doi: 10.1039/B511113G
- US Patent No: US 6,878,735 B2, 04.12.2005, Tepe J.J., Lansing E., Paddibhotla S. Multi-substituted imidazolines and method of use thereof.
- Sharma V., Peddibhotla S., Tepe J.J., Chem. Biol., 2004, 11, 1689–1699. doi: 10.1016/j.chembiol.2004.10.006
- Azevedo L.M., Lansdell T.A., Ludwig J.R., Mosey R.A., Woloch D.K., Cogan D.P., Patten G.P., Kuszpit M.R., Fisk J.S., Tepe J.J. J. Med. Chem., 2013, 56, 5974–5978. doi: 10.1021/jm400235r
- Njomen E., Osmulski P.A., Jones C., Gaczynska M.E., Tepe J.J. Biochemistry, 2018, 57, 4214–4224. doi: 10.1021/acs.biochem.8b00579
- Lansdell T.A., Hurchla M.A., Xiang J., Hovde S., Weilbaecher K.N., Henry R.W., Tepe J.J. ACS Chem. Biol., 2012, 8, 578–587. doi: 10.1021/cb300568r
- Qu K., Fisk J.S., Tepe J.J. Tetrahedron Lett., 2011, 52, 4840-4842. doi: 10.1016/j.tetlet.2011.07.022
- Zhao H.-W., Liu Y.-Y., Zhao Y.-D., Pang H.-L., Chen X.-Q., Song X.-Q., Tian T., Li B. Yang Z., Du J., Feng N.-N. Org. Lett., 2017, 19, 26–29. doi: 10.1021/acs.orglett.6b03206
- Zhao H.-W., Du J., Guo J.-M., Feng N.-N., Wang L.-R., Ding W.-Q., Song X.-Q. Chem. Commun., 2018 54, 9178–9181. doi: 10.1039/c8cc04584d
- Fritschi S.P., Linden A., Heimgartner H., Helv. Chim. Acta, 2016, 99, 1–16. doi: 10.1002/hlca.201600023
- Zhao H.-W., Liu Y.-Y., Zhao Y.-D., Feng N.-N., Du J., Song X.-Q., Pang H.-L., Chen X.-Q. Eur. J. Org. Chem., 2018, 341–346. doi: 10.1002/ejoc.201701496
- Markl G., Dorfmeister G. Tetrahedron Lett., 1986, 27, 4419–4422. doi: 10.1016/S0040-4039(00)84967-9
- Markl G., Dorfmeister G. Tetrahedron Lett., 1987, 28, 1089–1092. doi: 10.1016/S0040-4039(00)95918-5
- Cabrera S., Reyes E., Aleman J., Milelli A., Kobbelgaard S., Jorgensen K.A. J. Am. Chem. Soc., 2008, 130, 12031–12037. doi: 10.1021/ja804567h
- Weber M., Jautze S., Frey W., Peters R. Chem. Eur. J., 2012, 18, 14792–14804. doi: 10.1002/chem.201202455
- Weber M, Jautze S., Frey W., Peters R. J. Am. Chem. Soc., 2010, 132, 12222–12225. doi: 10.1021/ja106088v
- Weber M., Frey W., Peters R. Adv. Synth. Catal., 2012, 354, 1443–1449. doi: 10.1002/adsc.201200085
- Hoppe D, Liebigs Ann. Chem., 1976, 2185–2193. doi: 10.1002/jlac.197619761206
- Takagaki H., Tanabe Sh., Asaoka M., Takei H. Chem. Lett., 1979, 8, 347–350. doi: 10.1246/cl.1979.347
- Hassaner A., Ficher B., Tetrahedron, 1989, 45, 3535–3546. doi: 10.1016/s0040-4020(01)81032-2
- Takagaki H., Yasuda N., Asaoka M., Takei H. Chem. Lett., 1979, 8, 183–186. doi: 10.1246/cb.1979.183
- Lott R.S., Breitholle E.G., Stammer C.H. J. Org. Chem., 1980, 45, 1151–1153. doi: 10.1021/jo01294a046
- Huang Y., Walji A.M., Larsen C.H., MacMillan D.W.C., J. Am. Chem. Soc., 2005, 127, 15051–15053. doi: 10.1021/ja055545d
- Wilde R.G. Tetrahedron Lett., 1988, 29, 2027–2030. doi: 10.1016/S0040-4039(00)87825-9
- Тrost B.M., Ariza X., J. Am. Chem. Soc., 1999, 121, 10727–10737. doi: 10.1021/ja992754n
- Trost B.M., Lee C.B. J. Am. Chem. Soc., 1998, 120, 6818–6819. doi: 10.1021/ja981141s
- Trost M.B., Lee Ch., J. Am. Chem. Soc., 2001, 123, 12191–12201. doi: 10.1021/ja0118338
- Sofia M.J., Chakravarty P.K., Katzenellenbogen J.A. J. Org. Chem., 1983, 48, 3318–3325. doi: 10.1021/jo00167a032
- Yamada K., Kurokawa T., Tokuyama H., Fukuyama T., J. Am. Chem. Soc., 2003, 125, 6630–6631. doi: 10.1021/ja035303i
- Finkbeiner P., Weckenmann N.M., Nachtsheim B.J. Org. Lett., 2014, 16, 1326–1329. doi: 10.1021/ol500053c
- Kamlar M., Cisarova I., Vesely J. Org. Biomol. Chem., 2015, 13, 2484–2489. doi: 10.1039/c4OB02625
- Yu X.-Y., Chen J.R., Wei Q., Cheng H.G., Liu Z.-Ch., Xiao W.-J. Chem. Eur. J., 2016, 22, 6774–6778. doi: 10.1002/chem.201601227
- Badiola E., Fiser B., Gomez-Bengoa E., Mielgo A., Olaizola I., Urruzuno I., Garsia J.M., Odriozola J.M.,Razkin J., Oiarbide M., Palomo C. J. Am. Chem. Soc., 2014, 136, 17869–17881. doi: 10.1021/ja510603w
- Hashimoto M., Terashima Sh. Tetrahedron Lett., 1994, 35, 9409–9412. doi: 10.1016/S0040-4039(00)78556-X
- Hashimoto M., Terashima Sh. Chem. Commun., 1998, 47, 59–64. doi: 10.3987/COM-97-S(N)2
- Hashimoto M., Matsumoto M., Terashima Sh. Tetrahedron, 2003, 59, 3041–3062. doi: 10.1016/S0040-4020(03)00378-8
- Hashimoto M., Sugiura M., Terashima Sh. Tetrahedron, 2003, 59, 3063–3087. doi: 10.1016/S0040-4020(03)00379-X
- Aleman J., Milelli A., Cabrera S., Reyes E., Jorgensen K.A. Chem. Eur. J., 2008, 14, 10958–10966. doi: 10.1002/chem.200802030
- Zhao W., Fink D.M., Labutta C.A., Radosevich A.T. Org. Lett., 2013, 15, 3090–3093. doi: 10.1021/ol401276b
- Qiao B, Liu X, Duan S., Yan L., Jiang Z., Org. Lett., 2014, 16, 672–675. doi: 10.1021/ol403303k
- Alba A-N.R., Rios R. Chem. Asi. J., 2011, 6, 720–734. doi: 10.1002/asia.201000636
- Choi Y.S., Park S., Park Y.S. Eur. J. Org. Chem., 2016, 2539–2546. doi: 10.1002/ejoc.201600201
- Dziegielewski M., Hejmanowska J., Albrecht L. Synthesis, 2014, 46, 3233–3238. doi: 10.1055/s-0034-1378997
- Weber M., Frey W., Peters R. Chem. Eur. J., 2013, 19, 8342–8351. doi: 10.1002/chem.201300224
- Streurer M., Jensen K.L., Worgull D., Jorgensen K.A. Chem Eur. J., 2012, 18, 76–79.
- doi: 10.1002/chem.201103502
- Kraus G.A., Yu F. Synthetic Communicat., 1989, 19, 2401–2407. doi: 10.1080/00397918908052640
- Topuzyan V.O., Arutyunyan L.G., Oganesyan A.A. Russ. J. Org. Chem., 2007, 43, 868–871. doi: 10.1134/S1070428007060127
- Топузян В.О., Казоян В.М., Тамазян Р.А., Айвазян А.Г., Галстян Л.Х. ЖОрХ, 2018, 54, 1355–1363. [Topuzyan V.O., Kazoyan V.M., Tamazyan R.A., Ayvazyan A.G., Galstyan L.Kh., Russ. J. Org. Chem., 2018, 54, 9, 1369–1377.] doi: 10.1134/S1070428018090178
- Топузян В.О., Казоян В.М. Докл. НАН Армении, 2018, 118, 3, 268–272.
- Топузян В.О., Оганесян А.А., Казоян В.М., Алексанян Е.Р., Докл. НАН Армении, 2019, 119, 162–170. Elib.sci.am/2019_2/09_2_2019.pdf.
- Топузян Ж.О., Оганесян А.А., Макичян А.Т., Унанян Л.С. ЖОрХ, 2022, 58, 706–717. [Topuzyan V.O., Oganesyan A.A., Makichyan A.T., Unanayan L.S. Russ. J. Org. Chem., 2022, 55, 959–967.] doi: 10.31857/S0514749222070035
- Оганесян А.А., Макичян А.Т., Алексанян Е.Р., Топузян В.О., Арм. хим. ж., 2022, 75, 203–212. doi: 10.54503/0515-9628-2022.75.2-203
- Топузян В.О., Оганесян А.А., Паносян Г.А., ЖОрХ, 2004, 40, 1692–1694. [Topuzyan V.O., Oganesyan A.A., Panosyan G.A. Russ. J. Org. Chem., 2004, 40, 1644–1646.] doi: 10.1007/s11178-005-0072-7
- Топузян В.О., Казоян В.М., Унанян Л.С., Оганесян А.А., Галстян Л.Х., Макичян А.Т. Хим. ж. Арм., 2019, 72, 159–175. arar.sci.am/dlibra/publication/206503/edition/187889/content.
- Tripathy P.K., Mukerjee A.K. Synthesis, 1985, 285–288. doi: 10.1055/s-1985-31179
- Muselli M., Colombeau L., Hedouin J., Hoarau C.H., Bischoff L. Synlett, 2016, 27, 2819–2825. doi: 10.1055/s-0035-1562524
- Collado S., Pueyo A., Baudequin Ch., Bischoff L., Jimenez A.-I., Cativiela C., Hoarau Ch., Urriolabeitia P. Eur. J. Org. Chem., 2018, 6158–6166. doi: 10.1002/ejoc.201800966
- Topuzyan V.O., Tosunyan S.R., Aleksanyan E.R., Hakobyan E.A., Hovhannisyan N.A., Makichyan A.T., Shahkhatuni A.A., Hovhannisyan A.A. Russ. J. Gen. Chem., 2023, 93, 10, 2523–2533. doi: 10.1134/S1070363223100079
- El Mkadmi M., Lazraq M., Kerbal A., Escudie J., Couret C., Ranaivonjatovo H. Phospourus, Sulfur Silicon, 1998, 134, 1, 151–169. doi: 10.1080/10426509808545459
- Furuyama T., Tang J., Wu Z.-Y., Chen J.-Z., Kobayashi N., Zhang J.-L. Inorg. Chem. Front., 2015, 2, 671–677. doi: 10.1039/C5QI00054H
- Ning Y., Jin G.-Q, Zhang J.-L. Acc. Chem. Res., 2019, 52, 2620–2633. doi: 10.1021/acs.accounts.9b00119
- Avenoza A., Busto J.H., Cativiela C., Peregrina J.M. Tetrahedron, 1994, 50, 12989–12998. doi: 10.1016/S0040-4020(01)81218-7
- Avenoza A., Cativiela C., Busto J.H., Peregrina J,M. Tetrahedron Lett., 1995, 36, 7123–7126. doi: 10.1016/S0040-4039(95)01414-D
- Ortuno R.M., Ibarzo J. Alvarez-Larena A., Piniella J.F. Tetrahedron Lett., 1996, 37, 4059–4062. doi: 10.1016/S0040-4039(96)00732-0
- Ortanо R.M., Ibarzo J.,d`Angelo J., Dumas F., Alverez-Larena A., Piniella J.F. Tetrahedron Asymm.,1996, 7, 127–138. doi: 10.1016/0957-4166(95)00429-7
- Avenoza A., Busto J.H., Paris M., Peregrina J.M., Cativiela C. J. Heterocycl. Chem., 1997, 34, 1099–1110. doi: 10.1002/jhet.5570340402
- Rodriguez-Garcia C., Ibarzo J., Alverez-Larena A., Branchadell V., Oliva A., Ortuno M. Tetrahedron, 2001, 57, 1025–1034. doi: 10.1016/S0040-4020(00)01061-9
- AvenozaA., Busto J.H., Cataviela C., Peregrina J.M. Synthesis, 1998, 1335–1338. doi: 10.1015/s-1998-6096
- Gil A.M., Buñuel E., Cativiela C., Arkivoc, 2005, (ix) 90–103. doi: 10.3998/ark.5550190.0006.910
- Izumi S.,Kobayashi Y., Takemoto Y. Org. Lett., 2016, 18, 696–699. doi: 10.1021/acs.orglett.5b03666.
- Yan J., Chen M., Sung H. H-Y., Williams I. D., Sun J. Chem. Asian J., 2018, 13, 2440–2444. doi: 10.1002/asia.201800569
- Jiang J., Qing J., Gong L.-Z. Chem. Eur. J., 2009, 15, 7031–7034. doi: 10.1002/chem.200900814
- Uraguchi D., Asai Y., Ooi T. Angew. Chem. Int. Ed., 2009, 48, 733–737. doi: 10.1002/anie.200803661
- Wang T., Yu Z., Hoon Ding Long, Phee C.Y., Lan Y., Lu Y. J. Am. Chem. Soc., 2015, 138, 265–271. doi: 10.1021/jacs.5b10524
- Hayashi Y., Obi K., Ohta Y., Okumura D., Ishikawa H. Chem. Asian J., 2009, 4, 246–249. doi: 10.1002/asia.200800394
- Dell’Amico L., Albrecht L., Naicker T., Poulsen P.H., Jorgensen K.A. J. Am. Chem. Soc., 2013, 135, 8063–8070. doi: 10.1021/ja4029928
- Jiang H., Gschwend B., Albrecht L., Hansen S.G., Jorgensen K.A. Chem. Eur. J., 2011, 17, 9032–9036. doi: 10.1002/chem.201101539
- Halskov K.S., Johansen K., Davis R.L., Steurer D.M., Jensen F., Jorgensen K.A. J. Am., Chem. Soc., 2012, 134, 12943–12946. doi: 10.1021/ja3068269
- Wang Ch-M., Xiao J-A., Wang J., Wang Sh-Sh., Deng Z-X., Yang H. J. Org. Chem., 2016, 81, 8001–8008. doi: 10.1021/acs.joc.6b01356
- Zhao Sh., Zhao Y.-Y., Lin J-B., Xie T., Liang Y-M., Xu P-F. Org.Lett., 2015, 17, 3206–3209. doi g/10.1021/acs.orglett.5b01066
- Liu X., Deng L., Jiang X., Yan W., Liu Ch., Wang R. Org. Lett., 2010, 12, 876–879. doi 10.1o21/ol902916s
- Shi Sh.-H, Huang F.-P., Zhu P., Dong Z.-W., Hui X.-P. Org. Lett., 2012, 14, 2010–2013. doi: 10.1021/ol300510b
- Melhado A.D., Luparia M., Toste F.D. J. Am. Chem. Soc., 2007, 129, 12638–12639. doi: 10.1021/ja074824t
- Melhado A.D., Amarante G.W., Wang Z.J., Luparia M., Toste F.D. J. Am. Chem. Soc., 2011, 133, 3517–3527. doi: 10.1021/ja1095045
- Martin-rodriges M., Najera C., Sansano J.M. Synlett, 2012, 23, 62–65. doi: 10.1055/s-0030-1260334
- Martin-rodriges M., Castello L.M., Najera C., Sansano J.M., Larranaga O., de Cozar A., Cossio F.P. Beilstein J. Org. Chem, 2013, 9, 2422–2433. doi: 10.3762/bjoc.9.280
- Zhu G., Yang F., Balachandran R., Hook P., Vallee R.B., Curran D.P., Day B.W. J. Med. Chem., 2006, 49, 2063–2076. doi: 10.1021/jm051030l
- Zhang Z., Sun W., Zhu G., Yang J., Zhang M., Hong L., Wang R. Chem. Commun., 2016, 52, 1377–1380. doi: 10.1039/c5cc08989a
- Sun W., Zhu G., Wu Ch., Li G., Hong L., Wang R. Angew. Chem., 2013, 125, 8795–8799. doi: 10.1002/ange.201302831
- Kawatsura M., Ikeda D., Ishii T., Komatsu Y., Uenishi J. Synlett, 2006, 2435–2438. doi: 10.1055/s-2006-950400
- Wang Ch., Luo H.-W., Gong L.-Z. Synlett, 2011, 992–994. doi: 10.1055/s-0030-1259711
- Nguyen H.V., Butler C.D., Richards Ch. J. Org. Lett., 2006 8, 769–772. doi: 10.1021/ol053050n
- Palacio C., Conno S.J. Eur. J. Org. Chem., 2013, 2013, 5398–5413. doi: 10.1002/ejoc.201300451
Қосымша файлдар



































































