Reactivity of octa(2,6-fluorophenyl)porphyrazine in acid-base interaction with nitrogen organic bases

Cover Page

Cite item

Full Text

Abstract

An interaction between octa(2,6-fluorophenyl)porphyrazine and pyridine, 2-methylpyridine, morpholine, piperidine, n-buthylamine, tert-buthylamine, diethylamine and triethylamine in benzene medium. Acid-base reaction between macroheterocycle and piperidine or n-buthylamine is a slow process resulting in forming the kinetically stable complexes with the proton transfer. The structures of these complexes are optimized using CAM-B3LYP/cc-pVTZ method. The changes in reactivity of octa(2,6-fluorophenyl)porphyrazine are analyzed as a function of spatial structure and proton-accepting ability of nitrogen base.

Full Text

ВВЕДЕНИЕ

Синтез порфиразинов (Н2РА) относится к числу быстро развивающихся направлений в химии ароматических макрогетероциклических соединений. Благодаря разнообразным возможностям структурной модификации порфиразины нашли применение в качестве полупроводников, жидкокристаллических, каталитических, сенсорных материалов и др. [1–3]. Расширить область практического использования Н2РА возможно при всестороннем изучении их физико-химических свойств. К числу редко наблюдаемых свойств этого класса соединений следует отнести способность Н2РА вступать в нехарактерные для родственных соединений (порфиринов, порфириноидов, корролов) кинетически контролируемые кислотно-основные взаимодействия [4, 5]. Они оказывают непосредственное влияние на устойчивость π-хромофорной системы макроцикла в протоноакцепторных средах [4], а также позволяют установить взаимосвязь между строением молекулы и ее реакционной способностью, что немаловажно для подбора оптимальных условий синтеза металлокомплексов порфиразинов in vitro. В настоящее время достаточно подробно изучены кислотно-основные взаимодействия с участием β-тетрахлор- и β-тетрабромзамещенных порфиразинов в системе органическое основание–бензол [4]. Количественные данные о реакционной способности порфиразинов, имеющих в своем составе атомы фтора, до сих пор отсутствуют.

В связи с этим в данной работе изучено взаимодействие окта(2,6-дифторфенил)порфиразина [H2Pa(C6H3F2)8] с пиридином, 2-метилпиридином, морфолином, пиперидином (Pip), н-бутиламином (BuNH2), трет-бутиламином, диэтиламином и триэтиламином в бензоле.

 

 

РЕЗУЛЬТАТЫ И ОБСУЖДЕНИЕ

Предварительно установлено, что в среде инертного бензола электронный спектр поглощения (ЭСП) H2Pa(C6H3F2)8 имеет в видимой области 2 расщепленные Qх- и Qy- составляющие Q-полосы с λI = 650 и λII = 579 нм соответственно, что указывает на D2h-симметрию молекулы (рис. 1). В среде протоноакцепторного пиперидина (н-бутиламина) расщепление Q-полосы исчезает в результате повышения симметрии молекулы от D2h до D4h (рис. 1). Этот факт свидетельствует о том, что H2Pa(C6H3F2)8 проявляет свойства двухосновной NH-кислоты и образует с основаниями устойчивые во времени комплексы с переносом протонов. На это указывает характер ЭСП H2Pa(C6H3F2)8 в пиперидине (н-бутиламине), который не претерпевает изменений в течение ~57 ч при температуре 333 К (рис. 1).

 

Рис. 1. ЭСП H2Pa(C6H3F2)8 в бензоле (1) и пиперидине (2) при 298 К

 

Дальнейшие исследования показали, что кинетически контролируемое взаимодействие H2Pa(C6H3F2)8 с пиперидином и н-бутиламином наблюдается в интервале концентраций СоPip = 1.26–6.30 и СоBuNH2= 1.27–6.34 моль/л в бензоле. В ЭСП с течением времени независимо от природы основания регистрируется уменьшение интенсивности Qх- и Qy-составляющих Q-полосы с λI и λII соответственно и одновременный рост интенсивности полосы поглощения с λ = 620 нм (рис. 2, 3).

 

Рис. 2. Изменение ЭСП H2Pa(C6H3F2)8 в присутствии пиперидина в течение 54 мин при 323 К и СоPip= 2.53 моль/л в бензоле

 

Рис. 3. Изменение ЭСП H2Pa(C6H3F2)8 в присутствии н-бутиламина в течение 68 мин при 323 К и СоBuNH2= 2.53 моль/л в бензоле

 

Реакция H2Pa(C6H3F2)8 с пиперидином и н-бутиламином в бензоле:

H2Pa(C6H3F2)8 + 2B H2Pa(C6H3F2)8⋅2В,(1)

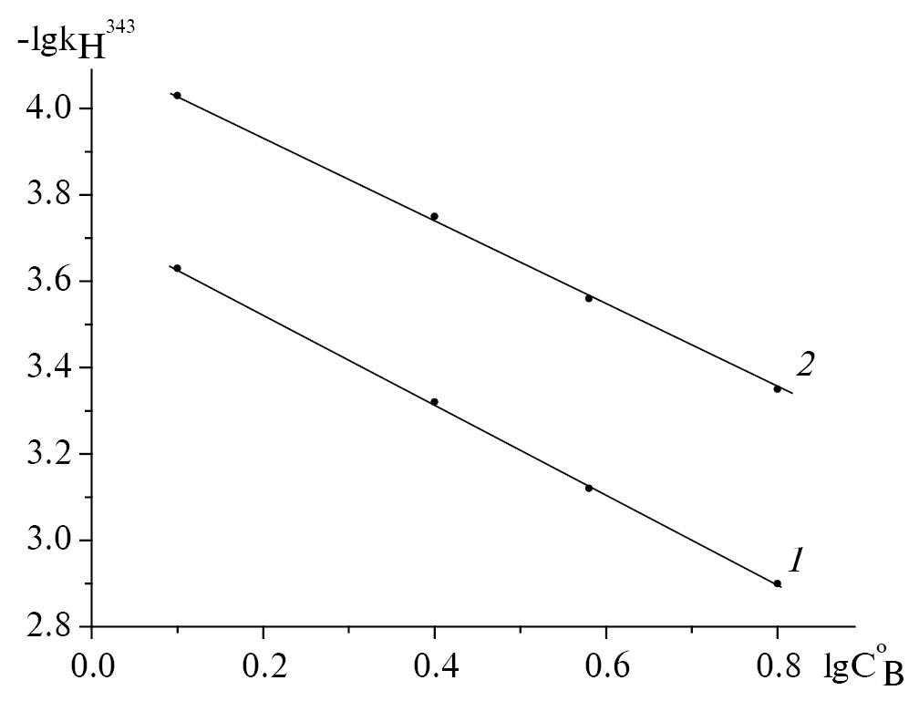
имеет первый порядок по NH-кислоте (рис. 4) и близкий к единице – по основанию (рис. 5). Следовательно, кинетическое уравнение имеет вид:

dC1/dτ = k·C1·CB, (2)

k = kн/CВ, (3)

где kн и k – наблюдаемая и истинная константы скорости кислотно-основного взаимодействия соответственно; C1 – концентрация H2Pa(C6H3F2)8; В – пиперидин (н-бутиламин).

 

Рис. 4. Зависимость lgCo/C от времени реакции H2Pa(C6H3F2)8 с пиперидином (1), н-бутиламином (2) в бензоле при 343К и СоPip = СоBuNH2= 3.80 моль/л

 

Рис. 5. Зависимость lgkH343 от lgCoB для реакции H2Pa(C6H3F2)8 с пиперидином (1) и н-бутиламином (2) при 343К

 

Полученные данные указывают на бимолекулярный характер лимитирующей стадии процесса, а повышение симметрии H2Pa(C6H3F2)8 от D2h до D4h (рис. 2, 3) свидетельствует о двухстадийном процессе переноса внутрициклических протонов от NH-кислоты к основанию в соответствии с предполагаемой схемой:

H2Pa(C6H3F2)8 + B k1 [HPa(C6H3F2)8···НВ], (4)

[HPa(C6H3F2)8···НВ] + В k2 [Pa(C6H3F2)8]··· [НВ]2. (5)

Молекула пиперидина (н-бутиламина) вступает во взаимодействие с одним из 2 внутрициклических протонов NH-групп H2Pa(C6H3F2)8 и осуществляет его вывод из плоскости макроцикла с образованием комплекса [HPa(C6H3F2)8···НВ]. Это приводит к искажению плоской структуры порфиразинового макроцикла на 11˚ и уменьшению поворота периферийных дифторзамещенных фенильных колец от 90˚ (рис. 6, а) до 60˚ независимо от природы основания (рис. 6, б, в). При этом симметрия молекулы должна понижаться от D2h до C2v, а в ЭСП должен наблюдаться гипсохромный сдвиг длинноволновой компоненты Qх, приводящий к уменьшению расщепления Q-полосы [6]. Однако подобные спектральные изменения в условиях значительного избытка основания не наблюдаются. Уменьшение концентрации H2Pa(C6H3F2)8 происходит с сохранением четких изобестических точек без появления в реагирующей системе промежуточной спектральной формы – [HPa(C6H3F2)8···НВ] (рис. 2, 3). Этот факт дает основание полагать, что k1 < k2. Поскольку скорость кислотно-основного взаимодействия определялась по уменьшению оптической плотности раствора наиболее интенсивной полосы поглощения QхI = 650 нм), то k1 = kН.

 

Рис. 6. Оптимизированные методом САМ-В3LYP структуры H2Pa(C6H3F2)8 (а) и [HPa(C6H3F2)8···НВ] с пиперидином (б) и н-бутиламином (в)

 

В комплексе [Pa(C6H3F2)8]··· [НВ]2 протоны NH-групп, связанные с атомом азота молекул пиперидина (н-бутиламина) через водородные связи, располагаются над и под плоскостью макроцикла, что обеспечивает благоприятное пространственное расположение оснований (рис. 7, а, б). При этом пиперидин (н-бутиламин) образует 2 водородные связи с пирролениновыми атомами азота макроцикла за счет их неподеленных электронных пар, в отличие от [HPa(C6H3F2)8···НВ] (рис. 6, б, в). Такое геометрическое строение приводит к дальнейшей деформации макроцикла, угол которой не превышает 15˚. Кроме этого, 8 дифторфенильных заместителей располагаются под углом 60˚. Принимая во внимание слабовыраженную кислотность замещенных октафенилпорфиразина [7] и сравнительно низкую полярность среды, комплекс [Pa(C6H3F2)8]··· [НВ]2, скорее всего, следует рассматривать как Н-ассоциат [4]. Образование более полярных структур представляется маловероятным [8].

 

Рис. 7. Оптимизированная методом САМ-В3LYP структура [Pa(C6H3F2)8]··· [НВ]2 с пиперидином (а) и н-бутиламином (б)

 

Результаты эксперимента (таблица) показывают, что взаимодействие H2Pa(C6H3F2)8 с основаниями в бензоле характеризуется низкими скоростями и высокими значениями энергии активации (Еа) процесса, что не свойственно для подавляющего большинства жидкофазных кислотно-основных систем [8, 9]. Причина этого явления связана со стерической составляющей ароматического макрогетероцикла. Достаточно высокая жесткость плоской конформации порфиразина [6, 10] обусловливает пространственное экранирование атомами и π-электронами внутрициклических NH-групп. В результате этого затрудняется наиболее благоприятный контакт реакционных центров молекул-партнеров, что находит отражение в кинетических параметрах процесса. При этом электронная составляющая, связанная с увеличением полярности NH-связей H2Pa(C6H3F2)8 за счет электроноакцепторного влияния 4 мезо-атомов азота, изменяется несимбатно пространственной и не играет ключевой роли в кислотно-основном взаимодействии.

 

Таблица. Кинетические параметры кислотно-основного взаимодействия окта(2,6-дифторфенил)порфиразина с азотсодержащими основаниями в бензоле, СоH2Pa(C6H3F2)8 = 0.97 х 10–5 моль/л

СоВ, моль/л

Т, Ка

kH·105, с–1

k·105,

л/(моль∙с)

Еа,

кДж/моль

1

2

3

4

5

Пиперидин

1.26

2.53

3.80

6.30

298

323

333

343

298

323

333

343

298

323

333

343

298

323

333

343

0.08

2.30

7.35

23.15

0.14

4.40

15.20

48.05

0.30

7.70

23.83

74.50

0.37

11.13

40.80

126.50

0.07

1.80

5.75

18.10

0.05

1.65

5.70

18.00

0.07

1.90

5.87

18.35

0.05

1.60

5.87

18.20

106

110

104

111

н-Бутиламин

1.27

2.53

298

323

333

343

298

323

333

343

0.03

0.87

3.00

9.25

0.06

1.77

5.65

17.50

0.02

0.70

2.35

7.40

0.02

0.73

2.30

7.20

108

105

     

3.80

6.34

298

323

333

343

298

323

333

343

0.10

2.85

8.50

27.30

0.15

4.30

14.45

44.80

0.35

0.80

2.40

7.70

0.02

0.75

2.50

7.75

104

108

аПараметры при 298 К рассчитаны по уравнению Аррениуса.

 

Достаточно сильное влияние на реакционную способность H2Pa(C6H3F2)8 оказывает геометрическое строение основания и его протоноакцепторная способность. Так, разветвление углеводородной цепи в амине или увеличение числа алкильных заместителей, связанных с атомом азота, препятствует оптимальной пространственной ориентации взаимодействующих молекул на стадиях (4) и (5) и затрудняет перенос протонов NH-групп от кислоты к основанию. В отличие от н-бутиламина (рКа298= 10.60 [11]), близкие по протоноакцепторной способности трет-бутиламин (рКа298= 10.68 [11]), диэтиламин (рКа298= 10.93 [11]) и триэтиламин (рКа298= 10.87 [11]) не вступают в кислотно-основное взаимодействие с окта(2,6-дифторфенил)порфиразином. Электронный спектр поглощения H2Pa(C6H3F2)8 в среде этих оснований содержит расщепленную Q-полосу, как и в бензоле (рис. 1), которая не претерпевает изменений в течение ~57 ч при температуре 333 К. Аналогичное, но менее значительное влияние пространственного фактора наблюдается в случае н-бутиламина и пиперидина (рКа298= 11.23 [11]), имеющего более стерически доступный атом азота в составе молекулы, находящейся в конформации “кресло” [12]. Скорость кислотно-основного взаимодействия, судя по значениям k298 , различается в ~2.5 раза на фоне постоянтсва Еа процесса (таблица). Замена в пиперидиновом цикле атома углерода на атом кислорода не влияет на пространственное строение амина [13], но приводит к перераспределению электронной плотности и понижению рКа298 на ~2.7 единицы. В результате этого образование комплекса H2Pa(C6H3F2)8 с морфолином (рКа298= 8.50 [11]), происходящее согласно (4) и (5), не наблюдается. Пиридин (рКа298= 5.23 [11]) и 2-метилпиридин (рКа298= 6.00 [11]) вследствие их слабовыраженной протоноакцепторной способности также не вступают во взаимодействие с H2Pa(C6H3F2)8.

ЭКСПЕРИМЕНТАЛЬНАЯ ЧАСТЬ

Окта(2,6-дифторфенил)порфиразин синтезировали по методике [14]. Бензол и азотсодержащие основания (ACROS) использовали без дополнительной очистки. Для проведения кинетических измерений в термостатируемую кювету спектрофотометра SHIMADZU-UV-1800 (Japan) помещали свежеприготовленный раствор H2Pa(C6H3F2)8 с постоянной концентрацией в бензоле и добавляли переменные количества оснований. Скорость кислотно-основного взаимодействия определяли по уменьшению оптической плотности раствора наиболее интенсивной Q-полосы при длине волны λ = 650 нм (рис. 2, 3). Минимальное значение оптической плотности в конце реакции свидетельствовало об отсутствии молекулярной формы H2Pa(C6H3F2)8 и указывало на образование продукта реакции. Различие в максимумах полос поглощения H2Pa(C6H3F2)8 и комплекса с переносом протонов – [Pa(C6H3F2)8]··· [НВ]2 – позволило определить текущую концентрацию H2Pa(C6H3F2)8 по формуле:

С = Со(АоА)/( АτА), (6)

где Ао, Аτ, А – оптические плотности растворов в начальный момент времени, в момент времени τ и после завершения реакции (τ) соответственно; Со и С – начальная и текущая концентрации H2Pa(C6H3F2)8. Все измерения проводили в условиях реакции псевдопервого порядка, поэтому наблюдаемую константу скорости кислотно-основного взаимодействия с пиперидином и н-бутиламином рассчитывали по формуле:

kH= (1/τ)lg(Co/C). (7)

Точность кинетических параметров оценивали с помощью обычных методов статистики при доверительном интервале 95%. Использование метода Стьюдента позволило определить относительные ошибки в значениях kH и Еа, которые составили не более 3.5–4 и 7–8% соответственно.

Оптимизацию геометрических параметров комплексов H2Pa(C6H3F2)8 с пиперидином и н-бутиламином проводили с помощью программного обеспечения Gaussian09 [15] в рамках теории функционала плотности с учетом нулевого заряда и синглетного электронного состояния. Использовали трехпараметрический гибридный обменно-корреляционный функционал CAM-3LYP [16] и базисный набор cc-pVTz [17]. Расчеты всех моделей проводили in vacuo.

ЗАКЛЮЧЕНИЕ

Установлено, что кислотно-основное взаимодействие окта(2,6-дифторфенил)порфиразина с пиперидином и н-бутиламином в бензоле характеризуется низкими значениями констант скорости и высокими значениями энергии активации процесса.

Обнаружена высокая кинетическая устойчивость образующихся комплексов с переносом протонов окта(2,6-дифторфенил)порфиразина в системе азотсодержащее основание–бензол и предложено их строение.

Показано, что реакционная способность окта(2,6-дифторфенил)порфиразина при взаимодействии с основанием уменьшается, если молекулы-партнеры имеют пространственно-экранированный кислотный и/или основный центр и обладают слабовыраженной протоноакцепторной способностью.

×

About the authors

O. A. Petrov

Ivanovo State University of Chemistry and Technology

Author for correspondence.
Email: poa@isuct.ru
ORCID iD: 0000-0003-3424-7135
Russian Federation, prosp. Sheremetevskii, 7, Ivanovo, 153000

G. A. Gamov

Ivanovo State University of Chemistry and Technology

Email: poa@isuct.ru
ORCID iD: 0000-0002-5240-212X
Russian Federation, prosp. Sheremetevskii, 7, Ivanovo, 153000

N. V. Chizhova

Krestov Institute of Solution Chemistry of Russian Academy of Sciences

Email: poa@isuct.ru
ORCID iD: 0000-0001-5387-5933
Russian Federation, ul. Akademicheskaya, 1, Ivanovo, 153045

N. Z. Mamardashvili

Krestov Institute of Solution Chemistry of Russian Academy of Sciences

Email: poa@isuct.ru
Russian Federation, ul. Akademicheskaya, 1, Ivanovo, 153045

References

  1. Novakova V., Donzello M.P., Ercolani C., Zimcik P., Stuzhin P.A. Coord. Chem. Rev. 2018, 361, 1–73. doi: 10.1016/j.ccr.2018.01.015.
  2. Шапошников Г.П., Кулинич В.П., Майзлиш В.Е. Модифицированные фталоцианины и их структурные аналоги. М.: Красанд. 2012, 480.
  3. Lupton J.M. Appl. Phys. Lett. 2008, 81, 2478–2492. doi: 10.1013/1.1509115.
  4. Петров О.А. ЖФХ. 2021, 95, 549-557. [Petrov O.A. Russ. J. Phys. Chem. A. 2021, 95, 696–704.] doi: 10.1134/S003602442104021Х
  5. Петров О.А., Осипова Г.В., Майзлиш В.Е., Аганичева К.А., Чуркина М.М. ЖОрХ. 2021, 57, 1281–1289. [Petrov O.A., Osipova G.V., Mayzlish V., Churkina M.M. Russ. J. Org. Chem. 2021, 57, 1428–1434.] doi: 10.1134/S1070363218040187
  6. Stuzhin P.A., Khelevina O.G., Berezin B.D. Phthalocyanines: Properties and Applications. Eds. C.C. Lesnoff, A.B.P. Lever. New York: VCH Publ. 1996, 4, 19–47
  7. Stuzhin P.A. J. Porphyrins Phthalocyanines. 2003, 7, 813-832. doi: 10.1142/S1088424603001014
  8. Молекулярные взаимодействия. Ред. Г. Ратайчак, У. Орвилл-Томас. М.: Мир. 1984, 2, 598.
  9. Базилевский М.В., Венер М.В. Усп. хим. 2003, 72, 3–39 [Basilevsky M.V., Vener M.V. Usp. Khim. 2003, 72, 3–39.] doi: 10.1070/RC2003v072n01ABEH000774
  10. Березин Д.Б. Макроциклический эффект и структурная химия порфиринов. М. : Красанд. 2010, 424.
  11. Handbook of Chemistry and Physics. Ed. W.M. Haynes. New York: CHC. 2013, 2668.
  12. Anet F.A.L., Yavari I. J. Amer. Chem. Soc. 1977, 99, 2794–2796.
  13. Blackburne I.D., Katritzky A.R., Takeuchi Y. Accouts Chem. Res. 1975, 8, 300–306.
  14. Русанов А.И., Чижова Н.В., Лихонина А.Е., Мамардашвили Н. Ж. ЖНХ. 2023, 68, 1050–1058. [Rusanov A.I., Chizhova N. V., Lihonina A.E., Mamardashvili N. Zh. Russ. J. Inorg. Chem. 2023, 68, 1062–1073] doi: 10.31857/S0044457Х23600329
  15. Frisch M.J., Trucks G.W., Schlegel H.B. Gaussian09. Revision A. 02. Wallingsdorf C.T.: Gaussian Inc. 2016.
  16. Yanai T., Tew D.P., Handy N.C. Chem. Phys. Lett. 2004, 393, 51–57. doi: 10.1016/j.cplett.2004.06.011
  17. Kendall R.A., Dunning T. H., Harrison R.J. J. Chem. Phys. 1992, 96, 6796–6806. doi: 10.1063/1.462569

Supplementary files

Supplementary Files
Action
1. JATS XML
2. Fig. 1. EAS of H2Pa(C6H3F2)8 in benzene (1) and piperidine (2) at 298 K

Download (63KB)
3. Fig. 2. Change in the ESP of H2Pa(C6H3F2)8 in the presence of piperidine for 54 min at 323 K and СоPip= 2.53 mol/l in benzene

Download (91KB)
4. Fig. 3. Change in the ESP of H2Pa(C6H3F2)8 in the presence of n-butylamine for 68 min at 323 K and СоBuNH2= 2.53 mol/l in benzene

Download (88KB)
5. Fig. 4. Dependence of lgCo/C on the reaction time of H2Pa(C6H3F2)8 with piperidine (1), n-butylamine (2) in benzene at 343K and СоPip = СоBuNH2= 3.80 mol/l

Download (52KB)
6. Fig. 5. Dependence of lgkH343 on lgCoB for the reaction of H2Pa(C6H3F2)8 with piperidine (1) and n-butylamine (2) at 343K

Download (59KB)
7. Fig. 6. Structures of H2Pa(C6H3F2)8 (a) and [HPa(C6H3F2)8 HB] with piperidine (b) and n-butylamine (c) optimized by the CAM-B3LYP method

Download (270KB)
8. Fig. 7. The structure of [Pa(C6H3F2)8]··· [HB]2 with piperidine (a) and n-butylamine (b) optimized by the CAM-B3LYP method

Download (280KB)
9. Scheme

Download (97KB)

Copyright (c) 2024 Russian Academy of Sciences

Согласие на обработку персональных данных с помощью сервиса «Яндекс.Метрика»

1. Я (далее – «Пользователь» или «Субъект персональных данных»), осуществляя использование сайта https://journals.rcsi.science/ (далее – «Сайт»), подтверждая свою полную дееспособность даю согласие на обработку персональных данных с использованием средств автоматизации Оператору - федеральному государственному бюджетному учреждению «Российский центр научной информации» (РЦНИ), далее – «Оператор», расположенному по адресу: 119991, г. Москва, Ленинский просп., д.32А, со следующими условиями.

2. Категории обрабатываемых данных: файлы «cookies» (куки-файлы). Файлы «cookie» – это небольшой текстовый файл, который веб-сервер может хранить в браузере Пользователя. Данные файлы веб-сервер загружает на устройство Пользователя при посещении им Сайта. При каждом следующем посещении Пользователем Сайта «cookie» файлы отправляются на Сайт Оператора. Данные файлы позволяют Сайту распознавать устройство Пользователя. Содержимое такого файла может как относиться, так и не относиться к персональным данным, в зависимости от того, содержит ли такой файл персональные данные или содержит обезличенные технические данные.

3. Цель обработки персональных данных: анализ пользовательской активности с помощью сервиса «Яндекс.Метрика».

4. Категории субъектов персональных данных: все Пользователи Сайта, которые дали согласие на обработку файлов «cookie».

5. Способы обработки: сбор, запись, систематизация, накопление, хранение, уточнение (обновление, изменение), извлечение, использование, передача (доступ, предоставление), блокирование, удаление, уничтожение персональных данных.

6. Срок обработки и хранения: до получения от Субъекта персональных данных требования о прекращении обработки/отзыва согласия.

7. Способ отзыва: заявление об отзыве в письменном виде путём его направления на адрес электронной почты Оператора: info@rcsi.science или путем письменного обращения по юридическому адресу: 119991, г. Москва, Ленинский просп., д.32А

8. Субъект персональных данных вправе запретить своему оборудованию прием этих данных или ограничить прием этих данных. При отказе от получения таких данных или при ограничении приема данных некоторые функции Сайта могут работать некорректно. Субъект персональных данных обязуется сам настроить свое оборудование таким способом, чтобы оно обеспечивало адекватный его желаниям режим работы и уровень защиты данных файлов «cookie», Оператор не предоставляет технологических и правовых консультаций на темы подобного характера.

9. Порядок уничтожения персональных данных при достижении цели их обработки или при наступлении иных законных оснований определяется Оператором в соответствии с законодательством Российской Федерации.

10. Я согласен/согласна квалифицировать в качестве своей простой электронной подписи под настоящим Согласием и под Политикой обработки персональных данных выполнение мною следующего действия на сайте: https://journals.rcsi.science/ нажатие мною на интерфейсе с текстом: «Сайт использует сервис «Яндекс.Метрика» (который использует файлы «cookie») на элемент с текстом «Принять и продолжить».