Том 60, № 2-3 (2024)
Статьи
Окислительное монофторирование 1,4-Дииод-(или Дибром)-2,3,5,6-тетраметилбензолов в системе PbO₂–HF–Py–CH₂Cl₂
Аннотация
Окисление 1,4-дииод-2,3,5,6-тетраметилбензола (дииоддурола) и 1,4-дибром-2,3,5,6-тетраметилбензола (дибромдурола) диоксидом свинца PbO₂ в “реагенте Ола”, смеси фтористого водорода и пиридина, и CH₂Cl₂ в качестве сорастворителя при комнатной температуре в течение 96 ч приводит к образованию соответствующих продуктов монофторирования метильной группы. Это первый пример использования окислительной системы PbO₂–HF–Py–CH₂Cl₂ для монофторирования боковой цепи метилзамещенных бензолов.
146–150
Взаимодействие производных 4-гидроксиспиро[пиррол-2,3′-пиррола] и 4′-гидроксиспиро[имидазол-5,2′-пиррола] с дициклогексилкарбодиимидом
Аннотация
Взаимодействие замещенных 4-гидроксиспиро[пиррол-2,3′-пиррола] и 4′-гидроксиспиро[имидазол-5,2′-пиррола] с дициклогексилкарбодиимидом приводит к соответствующим производным 4-уреидоспиро[пиррол-2,3′-пиррола] и 4′-уреидоспиро[имидазол-5,2′-пиррола]. Термическое разложение полученных уреидоспиробисгетероциклов протекает неселективно.
151–161
Синтез спиро[индол-3,2′-пиррол]трионов взаимодействием пирролобензоксазепинтрионов с енаминокетоном
Аннотация
При взаимодействии 3-ароилпирроло[1,2-а][4,1]бензоксазепин-1,2,4-трионов с 3-циклогексиламино-5,5-диметилциклогекс-2-ен-1-оном происходит образование 3′-(4-ароил)-4′-гидрокси-1′-(2-(гидроксиметил)фенил)-6,6-диметил-1-циклогексил-6,7-дигидроспиро[индол-3,2′-пиррол]-2,4,5′(1H,1′H,5H)-трионов. Описан новый метод синтеза производных гетероциклической системы спиро[индол-3,2′-пиррола] взаимодействием 3-ароилпирроло[1,2-а][4,1]бензоксазепин-1,2,4-трионов с N-замещенными енаминокетонами.
162–166
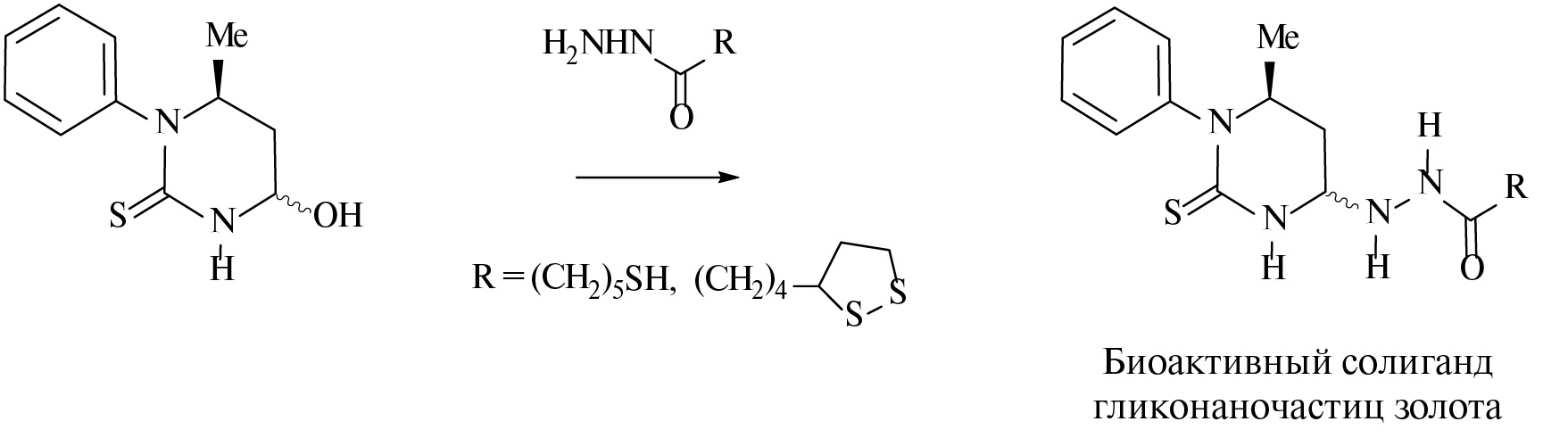
Реакция производного тетрагидропиримидин-2(1Н)-тиона с тиолсодержащими гидразидами как метод синтеза биологически активных лигандов гликонаночастиц золота
Аннотация
Взаимодействие 4-гидрокси-1-фенил-6-метилтетрагидропиримидин-2(1Н)-тиона с гидразидами 6-меркаптогексановой и липоевой (тиоктовой) кислот с выходами 60–75% приводит к образованию 4-[(ω-меркаптоацил)гидразино]-1-фенил-6-метилтетрагидропиримидин-2(1Н)-тионов — перспективных солигандов для получения гликонаночастиц золота биомедицинского назначения.
167–169
170–396


