Influence of Hot Carrier Degradation on the Characteristics of a High-Voltage SOI Transistor with a Large Drift Region
- Authors: Novoselov A.S.1, Masalskii N.V.1
-
Affiliations:
- Scientific Research Institute for System Analysis, Russian Academy of Sciences
- Issue: Vol 52, No 5 (2023)
- Pages: 423-430
- Section: ПРИБОРЫ
- URL: https://medbiosci.ru/0544-1269/article/view/138576
- DOI: https://doi.org/10.31857/S0544126923700497
- EDN: https://elibrary.ru/PZRDFC
- ID: 138576
Cite item
Full Text
Abstract
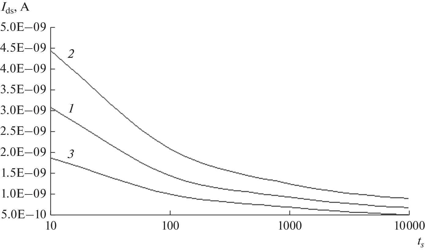
The results of studying the effect of hot carrier degradation on the electrical characteristics of high-power laterally diffused metal oxide semiconductor (LDMOS) transistors made according to the silicon-on-insulator (SOI) technology, with a long drift region with topological norms of 0.5 microns, are discussed. The analysis of the degradation of hot carriers in high electric fields is based on the experimental results and the additional use of an analytical model. The physical origin of this mechanism is related to the formation of traps at the Si/SiO2 interface. With the help of numerical analysis and experiments, the electrical character-istics of SOI nLDMOS transistors are considered in a wide range of control voltages in order to study their effect on the safe operation zone and reliability of the device under conditions of the degradation of hot carriers. The results of these studies allow us to conclude that a 20% expansion of the safe operation zone is possible.
About the authors
A. S. Novoselov
Scientific Research Institute for System Analysis, Russian Academy of Sciences
Email: volkov@niisi.ras.ru
Moscow, Russia
N. V. Masalskii
Scientific Research Institute for System Analysis, Russian Academy of Sciences
Author for correspondence.
Email: volkov@niisi.ras.ru
Moscow, Russia
References
- Bravaix A., Huard V., Cacho F., Federspiel X., Royl D. Hot-carrier degradation in decananometer CMOS nodes: From an energy driven to a unified current degradation modeling by multiple carrier degradation process, in Hot-Carrier Degradation, ed. By T. Grasser, Springer, Wien, New York, 2015.
- Moens P., den Bosch G.V. Characterization of total safe operating area of lateral DMOS transistors // IEEE Trans Device Mater Rel. 2006. V. 6. P. 349–357.
- Moens P., Varghese D., Alam M.A. Towards a universal model for hot carrier degradation in DMOS transistors. In: Proceedings of the international symposium on power semiconductor devices and ICs. Barcelona, Spain, 2010. P. 61–64.
- Wang W., Reddy V., Krishnan A.T., Vattikonda R., Krishnan S., Cao Y. Compact modeling and simulation of circuit reliability for 65 nm CMOS technology // IEEE Trans Device Mater Rel. 2007. V. 7. P. 509–517.
- Poli S., Reggiani S., Baccarani G., Gnani E., Gnudi A., Denison M. Hot-carrier stress induced degradation in multi-STI-finger LDMOS: an experimental and numerical insight // Solid-State Electron. 2011. 65–66. P. 57–63.
- Bude J., Hess K. Thresholds of impact ionization in semiconductors // J. Appl. Phys. 1992. V. 72. P. 3554–3561.
- Hu C., Tam S., Hsu F., Ko P., Chan T., Terrill K.W. Hot-electron-induced MOSFET degradation–model, monitor, and improvement // IEEE Trans Electron Devices. 1985. V. 32. P. 375–383.
- Ancona M.G., Saks N.S., McCarthy D. Lateral distribution of hot-carrier-induced interface traps in MOSFETs // IEEE Trans Electron Devices. 1988. V. 35. P. 2221–2228.
- Di Maria D.J., Stasiak J.W. Trap creation in silicon dioxide produced by hot electrons // J. of Appl. Phys. 1989. V. 65. P. 2342–2357.
- Yassine A.M., Nariman H.E., McBride M., Uzer M., Oasu-po K.R. Time dependent breakdown of ultrathin gate oxide // IEEE Trans Electron Devices. 2000. V. 47. P. 1416–1420.
- Wang L., Wang J., Gao C., Hu J., Li P.Z.X., Li W., Yang S.H.Y. Physical description of quasi-saturation and impact ionization effects in high-voltage drain-extended MOSFETs // IEEE Trans. Electron Devices. 2009. V. 56. P. 492–498.
- Varghese D., Kufluoglu H., Reddy V., Shichijo H., Mosher D., Krishnan S. OFF-state degradation in drain-extended NMOS transistors: interface damage and correlation to dielectric breakdown // IEEE Trans Electron Devices, 2007. V. 54. P. 2669–2677.
- Varghese D., Moens P., Alam M.A. ON-state hot carrier degradation in drain-extended NMOS transistors // IEEE Trans. Electron Devices. 2010. V. 57. P. 2704–2710.
- Hong S.-M., Pham A., Jungemann C. Deterministic solvers for the Boltzmann transport equation, Springer Science & Business Media, 2011.
- Cheng S.-W., Dey T.K., Shewchuk J.R. Delaunay Mesh Generation. CRC Press, 2013.
- Rudolf F., Weinbub J., Rupp K., Selberherr S. The meshing framework ViennaMesh for finite element applications // J. of Comp. and Appl. Mathematics. 2014. V. 167. P. 166–177.
- Penzin O., Haggag A., McMahon W., Lyumkis E., Hess K. MOSFET degradation kinetics and its simulation // IEEE Trans. Electron Devices. 2003. V. 50. P. 1445–1450.
- Reggiani S., Barone G., Gnani E., Gnudi A., Baccarani G., Poli S., Wise R., Chuang M.-Y., Tian W., Pendharkar S., Denison M. Characterization and modeling of electrical stress degradation in STI-based integrated power devices // Solid-State Electronics. 2014. V. 102. № 12. P. 25–41.
- Reggiani S., Barone G., Gnani E., Gnudi A., Baccarani G., Poli S., Wise R., Chuang M.-Y., Tian W., Pendharkar S., Denison M. Characterization and modeling of high-voltage LDMOS transistors in book Hot carrier degradation semiconductor devices by ed T. Grasser, Springer Cham Heidelberg New York Dordrecht London, 2015. P. 309–340.
- Rumyantsev S.V., Novoselov A.S., Masalsky N.V. Investigating the electro-thermal characteristics of partially depleted submicron SOI CMOS in an extended temperature range // Russian Microelectronics. 2020. V. 49. № 1. P. 30–36.
- Guerin C., Huard V., Bravaix A. General framework about defect creation at the Si/SiO2 interface // J. of Appl. Phys. 2009. V. 105. № 11. P. 114 513.1–114 513.12.
- Stesmans A. Passivation of Pb0 and Pb1 interface defects in thermal (100) Si/SiO2 with molecular hydrogen // App-l. Phys. Letters. 1996. V. 68. № 15. P. 2076–2078.
- Sharma P. Modeling of hot-carrier degradation in nLDMOS devices: different approaches to the solution of the Boltzmann transport equation // IEEE Trans. Electron Devices. 2015. V. 62. № 6. P. 1811–1818.
- de Jong M.J., Salm C., Schmitz J. Towards understanding recovery of hot-carrier induced degradation // Microelectronics Reliability. 2018. V. 88. P. 147–151.
- Yu Z., Zhang Z., Sun Z., Wang R., Huang R. On the trap locations in bulk finFETs after hot carrier degradation (HCD) // IEEE Trans. Electron Devices. 2020. V. 67. P. 3005–3009.
Supplementary files











