Modeling of Structural Properties and Transport Phenomena in Doped Multicomponent 2D Semiconductors
- Authors: Asadov S.M.1,2,3, Mustafaeva S.N.4, Mammadov A.N.1,5, Lukichev V.F.6
-
Affiliations:
- Nagiyev Institute of Catalysis and Inorganic Chemistry, Ministry of Science and Education of Azerbaijan
- Scientific Research Institute “Geotechnological Problems of Oil, Gas, and Chemistry,” Ministry of Science and Education of Azerbaijan
- Azerbaijan State Oil and Industry University, Ministry of Science and Education of Azerbaijan
- Institute of Physics, Ministry of Science and Education of Azerbaijan
- Azerbaijan Technical University, Ministry of Science and Education of Azerbaijan
- Valiev Institute of Physics and Technology, Russian Academy of Sciences
- Issue: Vol 53, No 6 (2024)
- Pages: 513-538
- Section: MODELING
- URL: https://medbiosci.ru/0544-1269/article/view/282107
- DOI: https://doi.org/10.31857/S0544126924060058
- ID: 282107
Cite item
Full Text
Abstract
Using density functional theory (DFT), the electronic structure, lattice parameters, magnetic and thermodynamic properties of TlIn1–xCrxS2 with a monoclinic system were calculated. The influence of the degree of doping with chromium impurities on the properties of TlIn1–xCrxS2 supercells has been studied. Calculations were carried out using ab initio methods in the local electron density approximation (LDA) and in the generalized gradient approximation (GGA). Spin-orbit and Coulomb interactions were taken into account in DFT calculations. A change in the concentration of chromium impurity (x = 0.001–0.02) in TlInS2 does not lead to a change in the equilibrium lattice parameters and the type of magnetic ordering in TlIn1–xCrxS2.
Phase equilibria and stability of binary and ternary compounds were studied by the thermodynamic method and the functional DFT GGA method in the Tl–In–S ternary system. The constructed isothermal section of the phase diagram at 298 K confirms the insignificant region of homogeneity, based on intermediate ternary compounds, of the Tl–In–S system. The formation energies of the compounds TlInS2 and TlIn1–xCrxS2 (x = 0.001–0.02) were calculated by the DFT method and are thermodynamically consistent with each other. The energy of formation of the TlInS2 compound, calculated by theoretical methods, is also consistent with experimental data.
This indicates the adequacy of the calculation models used. In order to determine stable doping conditions, we analyzed the thermodynamic properties of the phases of the Tl–In–S system, established stable states of multicomponent phases, stable equilibria between binary and ternary compounds of the TlIn1–xCrxS2 system.
Polycrystals were synthesized and TlIn1–xCrxS2 single crystals with different chromium impurity concentrations (x = 0, 0.001 and 0.02) were grown from them. The crystal structure, thermodynamic, dielectric, electrical and dosimetric characteristics of TlIn1–xCrxS2 single crystals were studied. The calculated thermodynamic and physical properties of the TlIn1–xCrxS2 phases are compared with experimental data.
Full Text
ВВЕДЕНИЕ
В настоящее время имеется обширная литература по экспериментальным и теоретическим исследованиям структуры и связанных с ней свойств важных полупроводниковых соединений со слоистой и цепочечной структурой TlBC2 (B = Ga, In, C = S, Se, Te). Чтобы понять и интерпретировать новые структурные свойства таких 2D-материалов, содержащих атомы примесей, важно знать как электронную, так и кристаллическую структуру, а также влияние примесей на свойства. В связи с этим эксперименты по легированию 2D-материалов важны для выяснения особенностей зонной структуры, стабильности и чувствительности в широком диапазоне энергий выше фундаментальной запрещенной зоны и концентраций легирующей примеси.
В двумерных материалах, где атомы расположены близко друг к другу, вопросы материаловедения, химии, физики, технологии и механики переплетаются и одновременно влияют на структурные свойства.
Это приводит к формированию широкого спектра эффектов, влияющих на важные характеристики, особенно на нано- и микроуровне в материалах. 2D-материалы состоят из одного или нескольких слоев ковалентно связанных атомов: например, графен, гексагональный нитрид бора, дихалькогениды переходных металлов MoS2, WSe2, бинарные GaS, GaSe и тройные халькогениды TlInS2, TlGaS2.
Интерес к необычным и технологически полезным свойствам 2D-материалов связан, в частности, со структурными свойствами и дизайном таких материалов, заключающимся в наложении друг на друга различных структур и 2D-материалов. Полученные слоистые структуры и гетероструктуры характеризуются прочными внутрислойными ковалентными связями и относительно слабыми межслоевыми ван-дер-ваальсовыми (ВДВ) взаимодействиями. Эти анизотропные взаимодействия позволяют регулировать свойства ВДВ слоистых структур путем укладки или деформации между слоями. В данной работе мы рассматриваем результаты наших исследований, полученные в двумерных материалах, содержащих магнитную примесь.
Материалы на основе тройных соединений TlBC2 обладают полупроводниковыми, сегнетоэлектрическими, фотоэлектрическими, термоэлектрическими и другими свойствами благодаря своей структуре и наличию в них ряда уникальных физических эффектов.
В частности, материалы на основе 2D структур TlInS2 могут быть использованы в микро- и наноэлектронике, в качестве активных материалов фотоприемников видимого и среднего ИК-диапазона. Эти эффекты, в частности, связаны со структурными превращениями в TlInS2. Кристаллическая структура соединения TlInS2 характеризуется образованием различных полиморфных модификаций: моноклинной, ромбической, тетрагональной, гексагональной и триклинной системы [1, 2].
Соединение TlInS2 с моноклинной системой имеет слоистую структуру и характеризуется анизотропией физических свойств. Исследования электрических свойств монокристаллов TlInS2 при постоянном токе (dc-проводимость) [1] и переменном токе (ac-проводимость) [2] показали, что TlInS2 характеризуется широкой запрещенной зоной (Eg = 2.5 эВ при T = 298 К) и высоким электрическим сопротивлением (ρ ≈ 1011 Ом·см при 298 К).
В литературе мало сведений о строении, связях между атомами и свойствах TlInS2, содержащего магнитные примеси. Концентрация примесей и разная степень их окисления могут по-разному влиять на изменение свойств материалов. Поэтому, в отличие от немагнитных материалов, материалы, легированные магнитными примесями, в частности на основе TlInS2, могут проявлять различную чувствительность.
Ниже мы рассмотрим краткий обзор типичных результатов, полученных на материалах TlInS2 с различными легирующими добавками [3—16]. Легированные материалы, полученные на основе TlInS2 [3—6] и твердых растворов замещения [7], обладают новыми, улучшенными физическими свойствами, что важно для перспектив применения.
Исследование влияния химического состава кристаллов TlIn1-xErxS2 (0 ≤ x ≤ 0.01) на их диэлектрические характеристики и параметры локализованных состояний показало следующее [3]. По мере увеличения концентрации примеси эрбия, введенной в кристаллы TlIn1-xErxS2, действительная и мнимая составляющие их комплексной диэлектрической проницаемости, тангенса угла диэлектрических потерь, а также проводимости кристаллов на постоянном и переменном токе возрастают. С увеличением концентрации эрбия в TlIn1-xErxS2 граничная частота, при которой наблюдалась прыжковая проводимость, линейно смещалась в сторону более высоких частот. Введение эрбия в TlIn1-xErxS2 привело к уменьшению среднего расстояния и времени прыжка, а также к увеличению плотности состояний, локализованных вблизи уровня Ферми.
Исследование частотной дисперсии диэлектрических коэффициентов и проводимости монокристалла TlIn1-xSnxS2 (0.1 мол.% Sn) показало, что релаксационные потери увеличиваются из-за примеси [4]. Величина Eg прямых оптических переходов в кристаллах TlIn1-xSnxS2 уменьшается по сравнению с нелегированным TlInS2. Уменьшение Eg в TlIn1-xSnxS2 относительно TlInS2 составляет 16 мэВ при 300 К и 53 мэВ при 150 К.
Диэлектрические свойства монокристаллов TlIn1-xTmхS2 в переменных электрических полях отличаются от свойств нелегированных кристаллов TlInS2 [5]. Различия проявляются также и в расчетных параметрах локализованных состояний в монокристаллах TlIn1-xTmхS2. Ас-проводимость, плотность локализованных состояний вблизи уровня Ферми, среднее расстояние и время прыжков носителей заряда в TlIn1-xTmхS2 увеличиваются.
DFT-расчеты электронной структуры, энтальпии образования и исследование электрических свойств соединения TlIn1-xYbxS2 (1 ат.% Yb) показали следующее [6]. Частичная замена индия примесным иттербием не вносит заметных искажений в моноклинную структуру объемного кристалла TlInS2. Это может быть связано, в частности, с близостью ионных радиусов индия (In3+ 0.92 Å) и примесного иона иттербия (Yb3+ 0.87 Å). Изменения параметров решетки и зонной структуры TlIn1-xYbxS2 за счет введения примеси иттербия незначительны. Расчеты DFT показывают, что зонная структура TlIn1-xYbxS2 сохраняет моноклинную структуру слоистого кристалла TlInS2. Электропроводность на переменном токе монокристалла TlIn1-xYbxS2 подчинялась закону прыжкового механизма переноса заряда. Рассчитаны плотность и энергетический разброс состояний, лежащих вблизи уровня Ферми, среднее время и расстояние прыжков носителей заряда, а также концентрация ловушек, ответственных за ас-проводимость TlIn1-xYbxS2.
Исследования края поглощения и фотолюминесценции (ФЛ) в кристаллах твердых растворов TlIn(Se1-xSx)2 (0.25 ≤ x ≤ 1) при Т = 10 К и в диапазоне длин волн 400–620 нм показали следующее [7]. С увеличением концентрации серы в TlIn(Se1-xSx)2 энергия прямой запрещенной зоны увеличивается от Eg = 2.26 эВ (x = 0.25) до 2.56 эВ (x = 1). При этом был обнаружен сдвиг полос ФЛ кристаллов TlIn(Se1-xSx)2 в сторону высоких энергий.
Частичная замена таллия примесными атомами меди незначительно влияет на оптические свойства монокристалла Tl0.995Cu0.005InS2 в спектральном диапазоне длин волн 300–2500 нм [8].
Путем измерения термолюминесценции (ТЛ) монокристаллов TlInS2:Nd при температуре 10–300 К и скорости нагрева 0.4–1.2 К/с были определены характеристики образующихся дефектов [9]. В TlInS2:Nd наблюдается сдвиг пика ТЛ в сторону более высоких энергий. При освещении TlInS2:Nd интенсивность ТЛ-пика и энергия активации уровня ловушки дефекта уменьшаются по сравнению с TlInS2 с 19 до 14 мэВ.
Диэлектрические свойства кристаллов TlInS2:La исследовались при частоте 50 Гц и температуре ниже температуры Кюри (ТС) [10]. По сравнению с TlInS2, в TlInS2:La при температурах ниже TC обнаружено состояние дефектной поляризации. Это связано с накоплением объемных зарядов на собственных дефектах глубоких уровней.
Одними из малоизученных примесей в монокристаллах TlInS2 являются магнитные примеси d-элементов TlInS2:Cr [11, 12], TlInS2:Mn [13], TlInS2:Fe [14].
Влияние ускоренных электронов на структуру, размер кристаллитов и поверхность монокристалла TlIn0.99Cr0.01S2 исследовано в работе [11]. Облучение TlIn0.99Cr0.01S2 электронами с энергией 2 МэВ увеличивает высоту шероховатостей поверхности с 72 до 152.9 нм. Облучение TlIn0.99Cr0.01S2 электронами с флюенсом 2 × 1017 электронов/см2 увеличивает размер кристаллитов с 36.87 нм до 41.76 нм. Микротвердость монокристаллов TlIn0.99Cr0.01S2, облученных электронами с энергией 2 МэВ и флюенсом до 1.5 · 1017 эл/см2, увеличивается, а Eg уменьшается [12].
Рентгеноструктурный анализ и спектры ЭПР поглощения образцов TlInS2:0.3% Mn показывают, что примесь Mn присутствует в решетке TlInS2 в различных спиновых конфигурациях (S) [13]. Валентное состояние Mn4+ соответствует электронным конфигурациям 3d3 (S = 3/2) и 3d14s2 (S = 1/2). В спектрах ЭПР обнаружен пик (интенсивная резонансная линия) в области 326.02 мТл. Пик ЭПР связан с наличием локального магнитного поля, возникающего от кластеров, содержащих Mn4+ в решетке.
Спектры ЭПР образцов TlInS2:Fe исследовались при комнатной температуре [14]. Форма спектра ЭПР связывается с переходами между спиновыми мультиплетами иона Fe3+. Ионы Fe3+ расщепляются в локальном кристаллическом поле лиганда ромбической симметрии. Ионы Fe3+ замещают ионы In3+ в тетраэдрических комплексах InS4, а ромбическое искажение связано с расположением ионов Tl в тригональных полостях между тетраэдрическими комплексами InS4.
Из анализа приведенных выше результатов исследования свойств материалов TlIn1-xMxS2 следует, что М-легирование (М-легирующая примесь) приводит к изменению параметров электронной структуры, электрических и магнитных свойств. Подобные зависимости свойств от степени легирования обнаружены и в других 2D-материалах.
Некоторые примеси, например, примеси переходных металлов, даже в малых концентрациях могут сильно изменить проводимость полупроводника. К таким примесям относятся атомы хрома, которые приводят к появлению избыточного количества либо свободных электронов, либо дырок. Это зависит от степени окисления хрома в соединении. Хром имеет степени окисления +2, +3 и +6. Их называют соответственно донорными примесями (отдающими электроны) или акцепторными примесями (забирающими электроны). Примеси неспаренного спинового 3d-состояния переходного металла в MoS2 приводят к изменению, например, магнитных свойств. В пленках MoS2:Cr 3d- и 4s-орбитали примесного атома Cr (3d54s1) в основном состоянии имеют 6 неспаренных электронов с магнитным моментом 6 mB [15]. Примесь Cr в MoS2 модифицирует химическую связь между слоями. Связь между Cr и MoS2 переводит 0.46 электронов на 4p-орбиталь. Такая химическая связь удаляет 0.69 и 1.05 электронов с 4s- и 3d-орбиталей соответственно. Уменьшение числа неспаренных электронов на 4s- и 3d-орбиталях снижает магнитный момент атома Cr в MoS2 от 6 mB до 3.502 mB.
Спектры рентгеновской фотоэлектронной спектроскопии (РФЭС) полупроводникового материала, прозрачного для видимого света, тонких пленок оксида индия-олова (In2O3)0.9(SnO2)0.1, легированного Cr, показывают следующее [16]. В ITO:Cr примесь находится в степени окисления Cr3+ и Cr6+. Структура пленок ITO:Cr содержит структурные дефекты из-за различия ионных радиусов Cr3+ и Cr6+, а также кислородных вакансий. Структурные дефекты увеличивают концентрацию носителей и уменьшают их подвижность в ITO:Cr. Увеличение концентрации примеси Cr и уменьшение размера кристаллитов ITO:Cr увеличивает плотность поверхностных электронных состояний.
Из приведенных примеров следует, что изменение свойств легированных материалов по сравнению с нелегированными связано с модификацией электронной структуры матрицы. В частности, d-состояния примесей замещения влияют на электронные и магнитные свойства, а также кристалличность материала. Иными словами, введение в состав полупроводников примесей замещения – атомов d-элементов – позволяет регулировать их электронные и магнитные свойства.
В случае d-примеси хрома (Cr+3 и Cr+6) в двумерной матрице соединения TlInS2 примеси могут выступать в качестве электронных или дырочных легирующих добавок. При замене атомов индия легирующими атомами хрома концентрация носителей электронов в TlInS2:Cr увеличится, т.е. Cr+3 в этом случае будет электронной примесью. Противоположный эффект легирования будет оказывать примесь Cr+6, которая в TlInS2:Cr будет дырочной примесью. Учитывая вышеизложенное, можно ожидать, что в обоих случаях в системе TlInS2:Cr произойдет сдвиг уровня Ферми (EF) за счет увеличения (уменьшения) концентрации электронов. Изменение EF будет происходить в области энергий занятых электронных состояний 2D-материала: дна зоны проводимости (для Cr+3 – электронной примеси) или потолка валентной зоны (для Cr+6 – дырочной примеси). Таким образом, для 2D-полупроводников TlInS2:Cr с примесью хрома следует ожидать перехода полупроводник → магнитный полупроводник.
Целью данной работы был ab initio расчет структурных свойств, термодинамический анализ системы Tl–In–S–Cr и исследование зависимости структурно чувствительных свойств от состава 2D-полупроводников с моноклинной структурой TlIn1-xCrxS2. Вторая цель – экспериментальное исследование эффекта частичного замещения индия примесью хрома (Cr), диэлектрических характеристик, проводимости на переменном токе и рентгеновских дозиметрических характеристик выращенных монокристаллов TlIn1-xCrxS2 (x = 0, 0.005 и 0.01).
Решение этих задач позволит установить качественный и количественный набор новых структурных свойств TlIn1-xMxS2 по сравнению с TlInS2. Кроме того, определение важных характеристик TlIn1-xMxS2 может дать практическую информацию о материале для электронных и оптоэлектронных устройств или управлять его свойствами.
Ниже представлены результаты теоретических расчетов электронной структуры, свойств, термодинамических функций и измерений электрических, диэлектрических и рентгенодозиметрических характеристик выращенных слоистых монокристаллов TlIn1–хСrхS2 с моноклинной структурой.
МЕТОДИЧЕСКАЯ ЧАСТЬ
2.1. Расчеты зонной структуры. Расчеты зонной структуры проводились на основе теории функционала плотности (DFT) с использованием пакета ATK. Исходные электронные конфигурации атомов соединения TlInS2:Cr рассматривались в основном состоянии: Tl – [Xe] 4f145d106s26p1, In – [Kr] 4d105s25p1, S – 3s23p4, Cr – [Ar] 3d⁵4s¹. DFT-расчеты параметров решетки выполнены для моноклинной структуры C/2c, Z = 16 суперячеек на основе TlInS2. Использовались суперъячейки, содержащие 32 атома, в том числе ячейки, легированные хромом Cr. В DFT за все многочастичные взаимодействия отвечает обменно-корреляционный потенциал. Влияние обменно-корреляционного потенциала на полную энергию системы TlIn1-xCrxS2 учитывалось в рамках приближения локальной плотности (LSDA) и обобщенного градиентного приближения (GGA-PBE). Расчеты изменения энергии при легировании хромом проведены для основы решетки TlIn1-xCrxS2, включая валентные s-, p- и d-орбитали составляющих атомов. В расчетах использовалось низкоэнергетическое приближение атомного ядра, в котором состояния ядра пересчитываются после каждой итерации [17–22].
Структуры суперъячеек кристаллов TlIn1-xCrxS2 были оптимизированы путем изменения положения атомов компонентов, формы и объема элементарной ячейки. Энергия обрезания плоской волны в расчетах самосогласованного поля составила 300 эВ. Для зоны Бриллюэна моноклинной структуры использовалась схема генерации k-точек методом Монкхорста–Пака с плоской сеткой 2×2×2 и 4×4×2 точек (рис. 1).
Рис. 1. Первая зона Бриллюэна кристаллической решетки базоцентрированной моноклинной системы.
Эти условия обеспечивают сходимость расчета по полной энергии элементарной ячейки, которая составила > 5 × 10–6 эВ/атом. Порог сходимости межатомных сил составил 10–4 эВ/Å. Указанный набор величин для расчета электронных состояний обеспечил высокую точность расчета зонных параметров суперъячеек TlIn1-xCrxS2.
2.2. Синтез поликристаллов. Полупроводниковые материалы на основе TlInS2:Cr, содержащие примесь хрома, TlIn1-xCrxS2 (x = 0.005 и 0.01) синтезированы из особо чистых элементов Tl (Tl-00), In (In-000), S (ос. ч. 16-5), Cr марки Х99Н1. Стехиометрические количества соответствующих элементов (компонентов) взвешивали и помещали в кварцевые ампулы для синтеза многокомпонентных TlInS2 и TlIn1-xCrxS2.
Поликристаллы TlIn1-xCrxS2 были получены сплавлением исходных компонентов в электропечи по методике, описанной нами ранее в работах [1–4]. Компоненты взяты в стехиометрическом соотношении и синтез проведен в кварцевых ампулах, вакуумированных до 10–3 Па. Ампулы с образцами TlIn1-xCrxS2 первоначально нагревали со скоростью 20–30 К/ч до температуры 720 К, при которой выдерживали 24 ч. Затем температуру ампулы повышали до 1050 К и выдерживали 5 ч. Далее ампулу с образцами охлаждали до комнатной температуры со скоростью 10–20 К/ч и получали поликристаллы. Гомогенизирующий отжиг синтезированных поликристаллических образцов TlIn1-xCrxS2 проводился в вакууме 10–3 Па при температуре 670 К в течение 120 ч. После такого отжига образцов ампулы с образцами закаливались в холодную воду. Полноту синтеза образцов TlIn1-xCrxS2, их однородность и индивидуальность контролировали методами дифференциально-термического анализа (ДТА) и рентгенофазового анализа (РФА). С помощью анализатора СТА 449 F3 Юпитер определена температура плавления (Tm) материалов на основе TlInS2 (Tm = 1041 К). Рентгенограммы порошкообразных образцов получены на дифрактометре D8-ADVANCE (CuKα-излучение, λ = 1,5418 Å) в режиме 0,5◦ < 2θ < 80◦ при 40 кВ и 40 мА. Анализ рентгенограмм (рис. 2) синтезированных образцов проводился с использованием базы данных ICDD PDF-4 и экспериментально определялись значения параметров решетки TlInS2 при комнатной температуре.
Рис. 2. Рентгенограмма TlIn0.99Cr0.01S2.
2.3. Выращивание монокристаллов. Монокристаллы образцов TlIn1-xCrxS2 (x = 0, 0.005 и 0.01) выращивались методом Бриджмена–Стокбаргера [4]. Из синтезированных поликристаллов TlIn1-xCrxS2 выращивали монокристаллы в вакуумированных до 10–3 Па и запаянных кварцевых ростовых ампулах. Ампулы имели длину 30 мм, диаметр 9 мм с конусообразным дном. Поликристаллический образец заданного состава TlIn1-xCrxS2 массой 10 г загружали в ростовую ампулу, которую вакуумировали и запаивали. Затем ампулу с образцом помещали в трубчатую вертикальную двухзонную электропечь установки выращивания монокристаллов. Температуру каждой из двух зон печи (верхней “горячей зоны” – ≤ 1050 К и нижней “холодной” или зоны роста монокристаллов – ≤ 1041 К) контролировали отдельно друг от друга. Точность поддержания температуры в двухзонной печи составляла ±0.5 К. Максимальная температура “горячей” зоны печи составляла 1050 К. Градиент температуры на фронте кристаллизации составлял 2–3 К/мин. Образец TlIn1-xCrxS2 в ампуле, помещенной в “горячую” зону печи, расплавляли и выдерживали 1–2 ч. Затем ампула с расплавом TlIn1-xCrxS2 перемещалась из “горячей” зоны печи в “холодную” зону со скоростью 0.1–0.2 мм/ч, где выращивался монокристалл. Далее температуру “холодной” зоны печи с ампулой снижали до 700 К и отжигали выращенный монокристалл в течение 100 ч. Отожженный монокристалл TlIn1-xCrxS2 в ампуле охлаждали до комнатной температуры в режиме выключенной печи. Таким образом были получены однородные темно-оранжевые монокристаллы TlIn1-xCrxS2.
Выращенные монокристаллы TlIn1-xCrxS2 были однофазными и кристаллизовались в моноклинной структуре с симметрией пространственной группы C/2c, Z = 16. Монокристалл TlInS2 имел следующие параметры решетки: a = 10.9017; b = 10.9412; c = 15.1809 Å. Частичная замена индия на примесь хрома в решетке TlInS2 существенно не меняет параметры решетки. Это можно объяснить тем, что октаэдрические радиусы Cr3+ (0.61 Å) и Cr6+ (0.44 Å) в TlIn1-xCrxS2 меньше ионного радиуса In3+ (0.80 Å).
2.4. Диэлектрические измерения. Образцы TlIn1-xCrxS2 были изготовлены в виде плоских конденсаторов, плоскость которых была перпендикулярна кристаллографической c-оси слоистого кристалла. В качестве электрода для образцов TlIn1-xCrxS2 использовалась серебряная паста Leitsilber. Толщина образцов составляла (1.5–2.0) × × 10–2 см, площадь пластин – (1.2–1.8) × 10–1 см2.
Диэлектрические характеристики монокристаллов TlIn1-xCrxS2 измерялись резонансным методом [3–6]. Характеристики измерялись на резонаторе при комнатной температуре. Диапазон частот переменного электрического поля составлял f = 5 × 104–3.5 × 107 Гц при измерениях характеристик. Максимальные отклонения измерений от средних значений составили 3–4% по диэлектрической проницаемости (ε) и 7% по тангенсу диэлектрических потерь (tgδ). Воспроизводимость резонансного положения характеристик составила ± 0.2 пФ по емкости и ± 1.0–1.5 по добротности (Q = 1/tgδ) деления шкалы резонатора.
2.5. Дозиметрические измерения. Методику измерения рентгенодозиметрических характеристик монокристаллических образцов мы описали в [23–25]. Использовалась лабораторная рентгеновская установка, где в качестве источника рентгеновского излучения использовалась установка типа УРС с рентгеновской трубкой БСВ-2(Cu). Рентгеновское излучение при проведении рентгеновских дозиметрических измерений направлялось в межконтактную область образца TlIn1-xCrxS2. Интенсивность рентгеновского излучения контролировали путем изменения тока в рентгеновской трубке при каждом заданном значении ускоряющего потенциала на ней. Абсолютные значения доз рентгеновского излучения измерялись рентгеновским дозиметром ДРГЗ-02. Изменение величины тока в исследуемых образцах под воздействием рентгеновского излучения регистрировали в режиме малого сопротивления нагрузки () с помощью электрометрического усилителя типа У5–9. Для измерения рентгеновских дозиметрических характеристик были приготовлены образцы монокристаллов TlIn1-xCrxS2 (x = 0 и 0.005) (по 5 штук) в планарном варианте. Контакты к образцам TlIn1-xCrxS2 создавались путем нанесения серебряной пасты Leitsilber на боковые торцы образцов.
Размеры образцов составляли (8×3×1) мм. Фактическую характеристику в партии из 5 образцов кристалла () рассчитывали по формуле , где – единичное значение характеристики кристалла; n – общее количество единичных значений характеристик в партии. Стандартное отклонение измеренных характеристик образцов из 5 штук в партии рассчитывали по формуле: . Стандартное отклонение было близко к 0 для измеренных характеристик образцов.
Рентгеновские дозиметрические измерения монокристаллических образцов проводились в диапазоне мощностей доз радиации Е = 0.75–78.05 Р/мин и эффективной рентгеновской жесткости (энергия рентгеновского излучения) = 25–50 кэВ при комнатной температуре.
Коэффициент рентгеновской чувствительности образцов определялся по формуле:
, (1)
где – величина тока, протекающего через образец при его облучении рентгеновским излучением мощностью дозы Е; – значение темнового тока; U – величина постоянного внешнего электрического напряжения, приложенного к образцу.
РЕЗУЛЬТАТЫ И ИХ ОБСУЖДЕНИЕ
3.1. Расчеты DFT
3.1.1. Расчет структур. Атомные структуры суперъячеек TlInS2 и TlIn1-xCrxS2 аналогичны Результаты расчета представлены на рис. 3, а, б. Оптимизированные структуры TlIn1-xCrxS2 имеют моноклинную структуру с пространственной группой (пространственной группой) C/2c (№ 15).
Рис. 3. Атомная структура элементарной ячейки кристаллов TlIn1-xCrxS2 с моноклинной системой (пр. гр. C2/c): а) x = 0, б) x = 0.01.
Катионы примеси хрома, замещающие катионы индия, окружены тремя и/или шестью анионами серы. При этом в ячейке кристаллов TlIn1-xCrxS2 формируется слегка искаженная тетраэдрическая и/или октаэдрическая структура. Рассчитанные параметры решетки стехиометрического TlInS2 a = 10.902, b = 10.945, c = 15.181 Å согласуются с экспериментальными данными (a = 10.9017; b = 10.9412; c = 15.1809 Å) и результатами предыдущих расчетов [18].
Химический состав образцов определялся методом химического анализа. Точность химического анализа составила 0.3%. Влияние легирования Cr на смещение атомов кристаллической решетки T1InS2 относительно узлов каждой подрешетки TlIn1-xCrxS2 оценивали по среднеквадратичному смещению атомов (MSAD). MSAD в TlIn1-xCrxS2 определялось методом дифракции нейтронов: , где i – индексы всех атомных позиций для N атомов, – координаты узлов кристаллической решетки. Усредненное среднеквадратичное смещение атомов в TlIn1-xCrxS2 мало чем отличается от значений MSAD для атомов стехиометрического TlInS2. Разница между этими значениями MSAD составляет ≤ 5%.
Таким образом, установлено, что при введении примеси Cr (х = 0.001-0.1) параметры решетки TlIn1-xCrxS2 изменяются незначительно. Отсюда можно предположить, что структурный фактор не является основным фактором, влияющим на свойства TlIn1-xCrxS2 при легировании Cr. При введении примеси Cr происходит перестройка электронной подсистемы TlIn1-xCrxS2. В этом случае обнаруживается переход полупроводник → магнитный полупроводник. Остановимся подробнее на термодинамической стабильности и электронных свойствах рассматриваемых материалов.
При высокой концентрации примеси Cr (x > 0.1) может существовать и другой вариант. Замена части атомов индия в моноклинном TlInS2 примесными атомами хрома, отличающимися внешней валентной электронной конфигурацией, может привести к появлению статических искажений в подрешетке TlIn1-xCrxS2. Это может увеличить общее среднеквадратичное смещение атомов TlIn1-xCrxS2 по сравнению с TlInS2. Следовательно, замена части атомов In на Cr в решетке соединения TlInS2 может изменить динамические характеристики его кристаллической решетки.
3.1.2. Расчет стабильности. Величина химического соединения характеризует изменение энтальпии (тепловой энергии) в реакции образования одного моля этого соединения из простых веществ, устойчивых при данной температуре. Величина меняется в зависимости от температуры, давления, состояния и количества веществ, участвующих в реакции образования соединения. Поэтому для сравнения принимается, что каждая конкретная реакция характеризуется стандартным изменением молярной энтальпии или при давлении 1 атм (101.325 кПа). Стандартная молярная энтальпия образования соединения является мерой его термодинамической стабильности и прочности.
Рассмотрим изменение стандартной энтальпии образования одного моля химического соединения из входящих в него компонентов при температуре Т. В этом случае изменение молярной энтальпии будет иметь вид
, (2)
где – энтальпия образования химического соединения при 0 К, – молярная теплоемкость вещества при постоянном давлении. Теплоемкость характеризует количество тепловой энергии, необходимое для изменения температуры вещества на единицу. При образовании соединения мы предполагаем, что фазового превращения нет.
Тогда мы можем вычислить значение химического соединения. В частности, для тройного соединения можно записать уравнение
(3)
Здесь энтальпии образования простых веществ элементов А, B и C , и равны нулю.
Величина соединений, например, , мало чем отличается от суммы данных атомных элементов А, В и С при 298 К [6]. Это приблизительно соответствует правилам Майера—Келли и Неймана—Коппа
Учитывая это, при расчете энергии образования соединения изменение можно принять равным нулю в диапазоне 0–298 К.
Учитывая вышесказанное, можно считать, что . Отсюда мы можем заменить значение , на изменение внутренней энергии .
(4)
Здесь внутренняя энергия () является суммой кинетической и потенциальной энергии молекул соединения . Другими словами, величина характеризует энергию образования стабильной конфигурации соединения . Для DFT расчетов энергии образования на один атом можем записать
. (5)
С учетом оптимизированных параметров элементарной ячейки TlIn1-xCrxS2 энергия (энтальпия) образования при нулевой температуре была рассчитана по уравнению [6]:
, (6)
где – полная энергия соединения , содержащего примесь хрома, на единицу формулы TlIn1-xCrxS2, и – энергии элементов Tl, In и S соответственно (на один атом).
Для расчета энергии образования TlIn1-xCrxS2 принимали, что соединение образуется из элементов со структурой в их стандартном состоянии – Tl (гексагональная сингония, пр. гр. (№ 194), In (тетрагональная сингония, пр. гр. (№ 139), S (орторомбическая сингония, пр. гр. (№ 70) и примеси Cr (кубическая объемноцентрированая сингония, пр. гр. m (№ 229) при 298.15 К.
Энтальпия образования () TlIn1-xCrxS2 с моноклинной системой (пр. гр. ) рассчитана при Т = 0 К. По данным DFT GGA-PBE она согласуется с теоретическими данными TlInS2 [6] и составляет, например, для состава x = 0.001 (TlIn0.999Cr0.001S2) = –207 кДж/моль. Отрицательное значение (TlIn1-xCrxS2) указывает на то, что реакция образования соединения из компонентов является экзотермическим процессом.
3.1.3. Расчет зонной структуры. Теория функционала плотности со спин-орбитальной связью [22] и коррекцией плотности DC-DFT [26] может повысить точность расчетов зон. Спин-орбитальное взаимодействие (СОВ) – результат взаимодействия внутреннего электронного спина частиц с их орбитальным движением вокруг атомного ядра. СОВ может влиять на энергетический спектр частицы, а также на перенос электрона. В СОВ орбитальное движение электронов создает магнитное поле, которое взаимодействует со спиновым магнитным моментом электрона. При этом энергетический спектр электрона модифицируется и происходит спин-орбитальное расщепление.
СОВ влияет на энергетические уровни в кристалле и определяет его электронные и оптические свойства. СОВ может привести к смещению и/или инверсии энергетических уровней, а также магнитной анизотропии. Это дает возможность использовать СОВ для контроля электрических и магнитных свойств материалов. Это важно для различных технологических приложений. Например, в полупроводниках СОВ может приводить к спин-решеточной релаксации (СРР). СРР возникает, когда устанавливается равновесие между спиновой системой и тепловыми колебаниями решетки. В этом случае электроны со спином вверх и вниз рассеиваются по-разному от дефектов кристаллической решетки. СРР может использоваться в различных устройствах спинтроники.
В теории атомного спектра спин-орбитальное взаимодействие многоэлектронных атомов имеет свои особенности. При рассмотрении СОВ учитываются соответствующие два электронных момента: орбитальный момент L и спин S – вращение, которое создаст магнитный момент. Для всех электронов сумма угловых моментов остается неизменной при многократном взаимодействии. Тогда полный момент импульса электрона для атома с электронами будет определяться как:
, (7)
где вектор J – оператор, который описывает полный угловой момент электрона, а базис квантовых чисел отображает диагональ гамильтониана: ||.
Гамильтониан спин-орбитального эффекта всех электронов имеет вид:
, (8)
где = 7.297 × 10–3 – постоянная тонкой структуры, Z – заряд атома, – радиальная координата электрона i, расстояние между электронами i и j. – некоторая часть орбитального углового момента электрона i (j), обусловленная кулоновским взаимодействием с электроном j (i).
Спин-орбитальный гамильтониан эффективного заряда ядра можно оценить по уравнению:
(9)
В уравнении (9) суммы необходимо брать только по -валентным электронам, расположенным вне заполненных орбиталей. Здесь – функция радиальной тонкой структуры. Этот усредненный параметр можно получить из атомных спектров или рассчитать количественно.
Спин-орбитальное взаимодействие приводит к сдвигам атомных энергетических уровней электрона в твердом теле. Это происходит за счет электромагнитного взаимодействия между магнитным диполем электрона, его орбитальным движением и электростатическим полем положительно заряженного ядра. При учете спин-орбитальной связи в процедуре расчета будем считать, что взаимодействие спина электрона с полем относительно движущегося заряда приводит к появлению магнитной индукции.
В рамках современной теории функционала плотности (CDFT) [27, 28] предположим, что спин-орбитальное взаимодействие индуцирует плотность парамагнитного тока одноэлектронных спинорных функций {}. Орбитальный вклад при этом определяется выражением
. (10)
Тогда аналоги спина с использованием матриц Паули будут определяться как
. (11)
Вектор спиновой намагниченности в неколлинеарной (векторы, не лежащие на одной прямой) двухкомпонентной системе определяется как
(12)
Такая система будет включать одноэлектронные спинорные функции и вектор , состоящий из (2 × 2) спиновых матриц Паули
(13)
С учетом вышесказанного полная плотность частиц и неколлинеарная спиновая плотность будут определяться как
(14)
(15)
Обменно-корреляционный (XC) потенциал определяется на основе нерелятивистского приближения функционала плотности в виде
(16, a)
(16, б)
В этом приближении учитываются плотности электронов со спином вверх и вниз. Такая модель CDFT может улучшить результаты самосогласованных расчетов спин-орбитальных взаимодействий в твердом теле.
Анализ функционала плотности с коррекцией плотности (DC-DFT) и критерии применения DC-DFT рассмотрены авторами [26]. Рассмотрим суть этого анализа. Энергия и плотность ( или n основного состояния системы с внешним потенциалом v в DFT определяются выражением:
. (17)
Функционал полной энергии определяется выражением:
, (18)
где , – универсальная часть функционала. можно записать следующим образом:
, (19)
где – функционал невзаимодействующей кинетической энергии по теории DFT, – энергия Хартри, – обменно-корреляционный функционал (XC), необходимо аппроксимировать в расчетах.
Функционал можно записать в виде вкладов:
, (20)
где – универсальный функционал в рамках приближения Хартри, не учитывающего эффекты обмена и корреляции. Т.е. можно написать
(21)
Тогда функционал полной энергии можно минимизировать с учетом всех плотностей электронов. Минимальную плотность () можно определить как:
. (22)
Здесь должно гарантировать, что для любого изменения изоэлектронной плотности . То есть .
Если предположить, что n близко к , то
(23)
при условии, что достаточно мало.
Таким образом, точность DFT расчета можно корректировать, выбирая тип функционала полной энергии и плотность основного состояния системы.
3.1.4. Расчет энергетической щели (). Использование методов асимметричной модели Хаббарда DFT(D)+U [28, 29] и DFT LSDA [30] позволяет корректировать и согласовывать ширину запрещенной зоны полупроводника с экспериментальными данными.
Расчеты DFT, а также экспериментальные данные показывают, что материалы TlIn1-xCrxS2 с моноклинной структурой представляют собой полупроводники p-типа с прямой запрещенной зоной. Спектральные зависимости оптических характеристик TlInS2, рассчитанные DFT(D)+U (где U = = 5 эВ) для различных поляризаций фотонов, показывают, что ширина запрещенной зоны TlInS2 составляет 2.3 эВ [29]. Это значение согласуется с нашими экспериментальными данными по оптическим свойствам TlInS2 (рис. 4) при комнатной температуре.
Рис. 4. Температурная зависимость оптической ширины запрещенной зоны монокристалла TlInS2 с моноклинной структурой.
В зонной структуре суперъячейки TlIn1-xCrxS2 (x = 0.005) минимум валентной зоны и максимум зоны проводимости расположены в точке Γ зоны Бриллюэна (рис. 5).
Рис. 5. Зонная структура суперъячейки p-типа полупроводника TlIn1-xCrxS2 (x = 0.005) с прямой шириной запрещенной зоны.
Спектр электронной структуры TlIn1-xCrxS2 характеризуется широким пиком вблизи уровня Ферми с учетом вклада примесных орбиталей Cr–[Ar] 3d⁵4s¹. Разница между расчетными DFT LSDA и GGA-PBE (Eg = 1.82 эВ) и экспериментальными значениями Eg = 2.33 эВ для TlIn1-xCrxS2 (x = 0.005) связана с точностью расчетов.
Учет вклада спин-орбитального взаимодействия в функционал GGA не приводит к заметному увеличению значения запрещенной зоны TlIn1-xCrxS2 (x = 0.005).
Рассчитанное методом DFT значение Eg для кристалла TlIn1-xCrxS2 (x = 0.005) Eg = 1.81 эВ (SGGA-PBE) было меньше, чем Eg = 2.33 эВ и Eg = 2.58 эВ, полученные из оптических измерений. Поэтому при самосогласованных расчетах необходимо корректировать вид функционала полной энергии в рамках модифицированных моделей DFT.
Ширина запрещенной зоны зависит от различных факторов, например, от кристаллической структуры. Для твердых растворов зависимость Eg(x) нелинейна. Различные полиморфные модификации соединения имеют разные значения Eg. Орторомбическая (о) и тетрагональная (t) модификации TlInS2 были выращены путем отжига моноклинных (m) кристаллов m-TlInS2 в парах серы [31]. При измерении фотопроводимости этих кристаллов было обнаружено, что запрещенная зона o-TlInS2 (Eg = 2.52 эВ) больше, а t-TlInS2 (Eg = 1.87 эВ) меньше ширины запрещенной зоны m-TlInS2 (Eg = 2.33 эВ), определенной нами экспериментально.
3.1.5. Легирование полупроводников. Примеси и дефекты в полупроводниках делятся на доноры и акцепторы. Доноры отдают лишние электроны в объем полупроводника и создают электронную проводимость (n-типа). Акцепторы, наоборот, захватывают валентные электроны вещества и создают дырки в зонной структуре и возникает дырочная проводимость (p-типа). Другими словами, наличие примесных атомов и структурных дефектов в полупроводниках может создавать новые локальные, в частности, примесные энергетические уровни (состояния) в запрещенной зоне.
Рассмотрим зонную модель, где при ≠ 0 К спектр собственного полупроводника состоит из двух зон: зоны проводимости (слабо заполненной электронами) и валентной зоны (заполненной электронами), разделенных энергетической щелью Wg = Eg. Под действием температуры, дефектов и примесей в решетке или при оптическом возбуждении часть электронов из валентной зоны может перейти в зону проводимости, в результате чего образуется равное количество электронов и дырок.
На рис. 6 представлена схема зонной структуры полупроводников с валентной зоной и зоной проводимости. Область запрещенных энергетических состояний (энергетическая щель Wg) расположена между потолком валентной зоны Wv и дном зоны проводимости: Wg = Wc – Wv.
Рис. 6. Схема энергетического спектра полупроводников с валентной зоной и зоной проводимости.
На рис. 7 представлена диаграмма влияния легирования хромом на энергетические положения уровня Ферми в полупроводнике. Примесь Cr+3 вводит донорные уровни, а акцепторная примесь Cr+6 перемещает EF в сторону валентной зоны. Это соответствует Cr-легированию p-типа.
Рис. 7. Схема влияния легирования хромом на зонную структуру полупроводника. Cr+3 вводит донорные уровни и перемещает EF в сторону зоны проводимости (легирование n-типа), тогда как акцепторная примесь Cr+6 перемещает EF в сторону валентной зоны (легирование p-типа).
Концентрации электронов в зоне проводимости и дырок в валентной зоне при T ≠ 0 K определяются уравнениями
, (24)
, (25)
где – функция распределения Ферми–Дирака, – вероятность того, что электрон не заполнит состояние с энергией , то есть вероятность обнаружения дырки в этом состоянии, , – плотности состояний в зоне проводимости и в валентной зоне, соответственно.
Свободные носители заряда могут появляться вследствие ионизации примесей или дефектов полупроводника даже при низких температурах T ≠ 0 К. Энергия ионизации мелких доноров и акцепторов мала по сравнению с шириной запрещенной зоны полупроводника. Следовательно, электрон, связанный с атомом-донором, может быть оторван от этого атома и переведен с донорного уровня в зону проводимости. Поэтому число электронов в зоне проводимости полупроводника, содержащего донорные атомы, может превышать количество дырок в валентной зоне. В таком донорном полупроводнике электропроводность будет электронной (n-типа).
В полупроводнике при T ≠ 0 К, содержащем акцепторную примесь, электроны переходят из валентной зоны на акцепторные уровни, а в валентной зоне образуются дырки. Тогда число дырок увеличится и будет больше числа свободных электронов, образовавшихся за счет переходов из валентной зоны в зону проводимости. Следовательно, дырки будут основными носителями заряда, а электроны – неосновными. Проводимость полупроводника с акцепторной примесью будет дырочной. Такой дырочный (акцепторный) полупроводник является полупроводником p-типа.
Положение примесных уровней в запрещенной зоне полупроводника определяется энергией ионизации примесных атомов. В таком материале примесь Cr может присутствовать как в степени окисления Cr+3, так и в степени окисления Cr+6. То есть примесь Cr может быть как донором, так и акцептором в полупроводнике. Предположим, что примеси хрома в TlIn1-xCrxS2 находятся в степени окисления Cr+3. Тогда катионы хрома как доноры будут отдавать лишние электроны в объем TlIn1-xCrxS2 и создавать электронную проводимость. И наоборот, катионы Cr+6 как акцепторы должны захватывать валентные электроны полупроводника TlIn1-xCrxS2. В результате образуются дырки, т.е. места в валентной зоне, не занятые электронами. Тогда в материале наблюдается дырочная проводимость (p-типа). Это означает, что перенос заряда происходит за счет движения дырок под действием электрического поля. Таким образом, с увеличением концентрации примеси хрома энергетическая щель должна уменьшаться в TlIn1-xCrxS2. Это приведет к сдвигу зоны проводимости в сторону энергии Ферми (EF).
3.1.6. Расчет магнитного момента. 2D-наноматериалы, содержащие магнитные примеси со стабильным ферромагнитным (ФМ) порядком, важны для их применения в спинтронике. Однако, в связи с этим магнитные свойства TlIn1–xCrxS2 пока не изучены. Известно, что магнитный атом хрома имеет степени окисления +2, +3 и +6.
Моделирование свойств TlIn1–xCrxS2 методом DFT GGA-PBE показывает разумное согласие с экспериментальными данными для параметров решетки. Однако в этом приближении невозможно определить влияние легирования Cr на магнитные свойства TlIn1–xCrxS2. Экспериментальных данных об этом эффекте в TlIn1–xCrxS2 нет.
Измерения спин-зависимого транспорта в системах, содержащих магнитные атомы (М) с d-электронами, показывают, что обнаруженные в них магнитосопротивления отличаются друг от друга. Это различие может быть связано с соотношением плотностей состояний со спином вверх и вниз на уровне Ферми в объемных материалах. Магнитосопротивление перехода (JMR) определяется как
, (26)
где – электрический ток, текущий между наноконтактами M, когда их намагниченности параллельны (или антипараллельны).
Спиновая поляризация (SP) тока определяется как
, (27)
где – ток со спином вверх (спин вниз).
Большую часть электронных состояний спина электрона в каждом контакте мы примем за состояние “спин вверх”, а меньшую часть состояний спина электрона – за состояние “спин вниз”.
Если электрон передается между контактами с антипараллельными намагниченностями без изменения ориентации его спина, то переход будет соответствовать состоянию спин вверх → спин вниз или спин вниз → спин вверх. Полный ток определяется как как для параллельного, так и для антипараллельного намагничивания.
Эффективный магнитный момент для 3d-катионов хрома Cr – [Ar] 3d⁵4s¹ можно оценить по уравнению: . В этом случае катион Cr+3 имеет оболочку 3d3 со спиновым угловым моментом (S) = 3/2. Следовательно, эффективный магнитный момент Cr+3 будет равен = 3.873 .
Предположим, что в структуре кристалла TlIn1-xCrxS2 индий и индийзамещающий атом хрома находятся в ионной форме. Кроме того, катионы In+3 и Cr+3 имеют низкоспиновую конфигурацию. При этом локальные магнитные моменты анионов S-2 должны быть антипараллельны магнитным моментам катионов, в том числе в узлах Cr+3 кристаллической решетки TlIn1-xCrxS2. Тогда за счет антипараллельного выравнивания спинов частиц между анионами и катионами в TlIn1-xCrxS2 возникает локальный магнитный момент. Магнетизм может быть усилен за счет дисбаланса состояний Cr-3d3 между состояниями со спином вверх и вниз в зонной структуре кристаллов TlIn1-xCrxS2.
Рассчитанное DFT SGGA-PBE значение полного магнитного момента для TlIn1–xCrxS2 (x = 0.005) составляет 3.003 . А магнитный момент, полученный только атомом примеси Cr, равен 3.944 . Это значение хорошо согласуется со значением 3.873 , оцененным по приведенной выше спиновой формуле.
Доли электронной плотности состояний частиц в кристалле определяются как парциальные плотности состояний (PDOS) от общего числа состояний. Доля плотности состояний 4s (3d) примеси Cr – [Ar] 3d⁵4s¹, например в кристалле MoS2:Cr, показана на рис. 8 [15]. Расчеты переноса заряда от атомов примеси Cr к слоям MoS2 указывают на большую перезарядку и сильную связь между атомами примеси Cr и атомами сульфида в MoS2:Cr.
Рис. 8. PDOS электронных энергетических подуровней (s-, p-, d-орбиталей) примеси Cr в двухслойном MoS2:Cr. Уровень Ферми равен нулю.
Энергия электронного обменного взаимодействия формируется за счет электростатических взаимодействий атомов и связана со спином, где учитывается принцип Паули. Другими словами, обменная энергия – это добавка к энергии системы взаимодействующих частиц, вызванная перекрытием волновых функций при ненулевом значении полного спина системы частиц. В зависимости от типа перекрытия двух волновых функций обменная энергия делится на прямой обмен, непрямой обмен, сверхобмен и двойной обмен.
Прямой обмен связан с перекрытием орбитальных волновых функций двух соседних атомов соединения. А в случае наличия промежуточной частицы, через которую происходит взаимодействие, говорят о непрямом обмене.
Суперобменное взаимодействие связано с перекрытием 3d-орбиталей между магнитными ионами и промежуточными лигандами комплексного соединения. В химии лиганд – это атом, ион или молекула (доноры), которые связаны с центральным атомом (акцептором) посредством донорно-акцепторного взаимодействия. Лиганды могут существовать независимо от комплекса.
Обменная энергия изменяется главным образом за счет конкуренции между эффектами прямого обмена и сверхобмена. Суперобменное взаимодействие связано с симметрией кристалла, длиной связи, валентным углом между частицами и количеством валентных электронов частиц комплексного соединения.
Свойства соединения могут меняться в зависимости от валентного угла между частицами магнитный катион (МК) – анион-лиганд (АЛ) – магнитный катион (МК) в сверхобменном взаимодействии. В частности, когда валентный угол МК – АЛ – МК равен 180°, магнитное соединение становится антиферромагнетиком (АФМ). Суперобмен с валентным углом 90° соответствует слабому ферромагнитному (ФМ) взаимодействию между спинами соседних атомов.
Механизм суперобмена между орбиталями Cr-3d через орбиталь серы S-3p в TlIn1–хСrхS2 можно представить следующей схемой (рис. 9)
Рис. 9. Схема суперобменного взаимодействия между орбиталями примеси Cr-3d через орбиталь S-3p в TlIn1–хСrхS2.
Атомы примеси орбиталей Cr-3d могут переносить три неспаренных электрона со спином вверх (спин электрона в состоянии “вверх”) через орбиталь S-3p при сверхобменном взаимодействии в TlIn1–хСrхS2. Эти неспаренные электроны на 3d-орбиталях между двумя атомами Cr могут обмениваться через 3p-орбитали со спином вниз (спин электрона в нижнем состоянии) соседних атомов серы (рис. 9).
Таким образом, сверхобменное взаимодействие орбиталей примеси Cr-3d через орбиталь S-3p в полупроводнике TlIn1–хСrхS2 позволяет сделать следующий вывод. При этом увеличивается доля 3p-электронов со спином вниз атомов серы и появляются магнитные свойства в материале.
3.2. Термодинамические расчеты свойств
Современные представления об устойчивости соединений основаны на представлении о коллективном эффекте межатомных взаимодействий в сплавах. Описанию, изучению и теоретическому обоснованию фазовых и структурных превращений в сплавах на основе Tl–In–S, как указано во введении, посвящено не так много работ. Эти данные не позволяют выбрать критерии, которые могут помочь в выборе оптимальной схемы легирования, количества и типа легирующего элемента для определения границы области гомогенности тройных твердых растворов на основе TlInS2. Кроме того, они также не позволяют оценить, какие позиции в решетке TlInS2 предпочитают занимать атомы легирующего элемента.
Учитывая вышеизложенное, представляется актуальным изучить общие закономерности влияния легирующего элемента (M) на фазовые превращения в сплавах Tl–In–S–M. Для этого важен анализ физико-химического взаимодействия элементов, в частности в системе Tl–In–S–Cr, с использованием фазовых диаграмм многокомпонентных сплавов, диаграмм фазовых превращений граничных и внутренних разрезов, расчет термодинамических характеристик и кристаллохимических параметров легирующих элементов. Такой подход позволяет получить информацию о влиянии легирования примесным компонентом в сплавах на основе TlInS2. Ранее с помощью этого подхода нами была установлена связь между стабильностью области гомогенности Tl–In–S–M и характером замещения легирующими элементами позиций In и/или Tl в соединении TlInS2. Для учета влияния легирования использовались данные о положении элементов в таблице Менделеева, размерах атомов в чистых металлах и их внешней электронной конфигурации.
Термодинамические параметры (энтальпия (), свободная энергия () и энтропия образования () TlIn1-xCrxS2 (x = 0.005–0.01) определены расчетным путем на основе термодинамических параметров бинарных сульфидов [32] тройной системы Tl–In–S и Cr2S3. Температура плавления и мольные стандартные термодинамические параметры сульфидов таллия, индия и хрома приведены в табл. 1.
Таблица 1. Температура плавления и стандартные термодинамические параметры бинарных сульфидов таллия, индия и хрома. Конгруэнтное плавление – CM, инконгруэнтное плавление – IM
Соединение | Tm, K | –∆fH0298 | –∆fG0298 | ∆fS0298, Дж/(К·г-ат) |
кДж/г-ат | ||||
Tl2S | 727 [33] CM | 30.4 ± 1.0 [34] 29.3 ± 1.0 [35] 30.4 ± 1.0 [36] | 30.1 ± 0.8 [33] 29.3 ± 0.8 [35] 30.3 ± 0.8 [36] | –1.01 ± 0.1 –0.10 ± 0.1 –0.50 ± 0.1 |
Tl4S3 | 547 [33] IM | 28.2 ± 0.9 [34] | 29.5 ± 0.9 [33] | 6.88 ± 0.5 |
TlS | 506 [33] CM | 26.4 ± 0.5 [34] 26.1 ± 0.5 [36] | 25.6 ± 0.5 [33] 25.8 ± 0.5 [36] | –2.68 ± 0.2 –1.01 ± 0.1 |
TlS2 | 418 [33] IM | 15.9 ± 0.4 [34] | 17.3 ± 0.5 [33] | 4.69 ± 0.4 |
Tl2S5 | 372 [33] IM | 14.2 ± 0.5 [34] | 14.8 ± 0.8 [33] | 2.01 ± 0.1 |
In2S3 | 1363 [37] CM | 70.3 ± 5 [35] | 67.44 ± 4 [35] | –9.60 ± 0.8 |
In3S4 | 1125 [37] IM | 67.5 ± 5 [35] | 64.7 ± 4 [353] | –9.4 ± 0.8 |
In6S7 | 1053 [37] IM | 61.5 ± 5 | 57.5 ± 4 | –13.4 ± 0.1 |
InS | 956 [37] IM | 54.4 ±4 [34] 53.7 ± 4 [36] | 49.1 ± 3 [36] | –17.78 ± 0.1 |
Cr2S3 | 1252 IM | 334.7 ± 5 [38] | 336.4 ± 2 [38] | 5.72 ± 0.5 |
В расчетах мы предполагали, что примесь хрома находится в степени окисления +3 в TlIn1-xCrxS2. Кроме того, предполагалось, что Cr+3 частично замещает In+3 в решетке TlInS2 [3–6]. Фазовые диаграммы систем Tl–S [33–36], In–S [34–37], Tl–In [39] и Tl2S–In2S3 [40] были использованы для определения фазового равновесия Tl–In–S в твердое состояние.
В системе Tl–S образуются пять бинарных сульфидов; фазы Tl2S и TlS плавятся конгруэнтно при 727 и 506 К соответственно. Соединения Tl4S3, TlS2 и Tl2S5 плавятся инконгруэнтно (со скрытым максимумом) при 547, 418 и 372 К.
В системе In–S образуются четыре бинарных сульфида, In2S3 плавится конгруэнтно при 1363 К, а остальные три – In3S4, In6S7 и InS – плавятся инконгруэнтно при 1125, 1053 и 956 К соответственно.
Термодинамические параметры (∆Z) TlIn1-xCrxS2 (x = 0.005, 0.01) рассчитывали с учетом парциальной энтальпии и свободной энергии образования Tl2S, In2S3 и Cr2S3 по формуле [41]:
. (28)
Полученные данные сведены в табл. 2. Рассчитанные термодинамические функции образования TlIn1-xCrxS2 мало отличались от данных TlInS2.
Таблица 2. Стандартные мольные термодинамические функции образования кристаллов TlInS2 и TlIn1-xCrxS2
Соединение | –∆fH0298 | –∆fG0298 | ∆fS0298, Дж/(К·моль) |
кДж/моль | |||
TlInS2 | 181.35 ± 7.5 [40, ЭДС] | 167.8 ± 1 [40, ЭДС] | -45.3 ± 3 |
TlIn1-xCrxS2 x = 0.005 | 181 | 168 | -46 |
TlIn1-xCrxS2 x = 0.01 | 185 | 168 | -46 |
С учетом вклада “легирующей составляющей” энергия образования TlIn1-xCrxS2 при нулевой температуре была рассчитана методом DFT GGA по формуле (6). Рассчитанные методом DFT значения для твердых растворов TlIn1-xCrxS2 (x = 0.001-0.005) ( ≈ –223 кДж/моль) превышают термодинамически рассчи-танные значения (табл. 2). Этот результат согласуется с рассчитанным нами значением = –237 кДж/моль нелегированного TlInS2 [6].
Хорошее согласие теоретически рассчитанных значений x = 0.005–0.01 (181–185 кДж/моль) с экспериментальными данными (табл. 2) свидетельствует о надежности использования термодинамического метода для расчета .
Закономерности многофакторного взаимодействия соединений с легирующими элементами зависят от различных факторов многокомпонентной системы. При этом необходимо учитывать растворение атомов примеси в соединении и характер межатомных взаимодействий с другими фазами системы.
В многокомпонентной системе Tl–In–S–Cr такими факторами могут быть, в частности, размерные и электрохимические параметры. Другими словами, многофакторное влияние на свойства в многокомпонентной системе Tl–In–S–Cr обусловлено соотношением размеров атомов и различием (или сходством) электронного строения Tl, In, S и Cr, искажения и возмущения при замене основных атомов легирующими атомами других размеров. Размерные и электрохимические факторы могут влиять 1) на характер смешанной межатомной связи (ковалентной, ионной и металлической); 2) на образование вторичных фаз помимо тройных соединений, на размеры областей гомогенности фаз Tl–In–S; 3) на характер замещения легирующими элементами позиций In и/или Tl в соединении TlInS2.
Таллий, индий и сера сильно различаются по размерам ( = 166, = 171 и = 127 пм) и принадлежат к разным группам. In – металл пятого периода, Tl – металл шестого периода, а S – неметалл третьего периода химических элементов таблицы Менделеева. Различна и конфигурация их валентных электронов: In – [Kr] 4d105s25p1; Tl – [Xe] 4f14 5d10 6s2 6p1; S – [Ne] 3s23p4. Хром – металл четвертого периода. Электронная конфигурация Cr имеет неполную 3d-электронную оболочку, расположенную позади внешней 3p-оболочки. Cr – [Ar] 3d54s1. Таким образом, характер замещения атомами Cr легирующего элемента подрешеток In и/или Tl в соединении TlInS2 зависит от взаимосвязи более чем одного параметра или фактора.
Для установления общих закономерностей взаимодействия легирующего элемента хрома с неполной 3d-оболочкой с соединением TlInS2 необходимо обоснованно выбрать и оптимизировать схему легирования. В связи с этим необходимы экспериментальные данные для определения области существования и областей гомогенности фаз на основе TlInS2 с легирующими элементами. Для представления о природе взаимодействия компонентов и практическом применении системы Tl–In–S необходимо знать диаграмму ее состояния. Экспериментальное построение диаграмм состояния многокомпонентных систем трудоемко. Поэтому для практических целей часто используют изотермические разрезы с инвариантными точками и областями распределения твердых растворов на основе компонентов многокомпонентной системы.
Проведенные термодинамические расчеты граничных бинарных и тройных сечений диаграммы состояния Tl–In–S позволили определить характер фазового равновесия, фазовую устойчивость и области существования фаз, в частности на основе TlInS2, в многокомпонентной системе в твердом состоянии.
Данные для бинарных и тройных сульфидных фаз позволили триангулировать систему Tl–In–S в твердом состоянии (рис. 10).
Рис. 10. Изотермический разрез фазовой диаграммы системы Tl–In–S при 298 К.
Таким образом, на основе термодинамических параметров и фазовых диаграмм бинарных сульфидов и квазибинарного разреза Tl2S–In2S3 определены стабильные коноды в тройной системе Tl–In–S при 298 К. Из расчетных параметров TlIn1-xCrxS2 (x = 0.005 и 0.01) следует, что легирование Cr+3 не нарушает термодинамическую стабильность TlInS2.
3.3. Диэлектрические свойства
Ниже приведены результаты исследования диэлектрических свойств выращенных монокристаллов TlIn1-xCrxS2 (x = 0.005, 0.01) с моноклинной структурой, измеренных при температуре 298 К. Частотные зависимости диэлектрической проницаемости (ε) образцов TlIn1-xCrxS2 представлены на рис. 11.
Рис. 11. Частотные зависимости действительной составляющей комплексной диэлектрической проницаемости монокристаллов TlIn1–хСrхS2: x = 0.005 (1) и 0.001 (2); T = 298 K.
Сравнение данных показывает, что, если в образце TlIn0.995Сr0.005S2 значение ε мало меняется в зависимости от частоты (ε = 14.0–16.2), то в TlIn0.99Сr0.01S2 изменение ε больше (кривые 1 и 2, рис. 11). Увеличение концентрации примеси хрома в образцах TlIn1-xCrxS2 от x = 0.005 до 0.01 приводит к существенному уменьшению (в 4 раза в высокочастотной области) диэлектрической проницаемости образцов (рис. 11). Монотонное уменьшение диэлектрической проницаемости монокристаллов TlIn1-xCrxS2 с ростом частоты (кривые 1 и 2) свидетельствует о релаксационной дисперсии.
В чистом монокристалле TlInS2 с моноклинной структурой (a = 10.9017, b = 10.9412, c = 15.1809 Å, Z = 16) существенной дисперсии ε не наблюдалось во всем исследованном нами диапазоне частот. Эти данные хорошо согласуются с нашими предыдущими результатами для нелегированного кристалла TlInS2 [2, 3].
Значения тангенса угла диэлектрических потерь tgδ в монокристаллах TlIn0.99Сr0.01S2 существенно превышали значения tgδ в TlIn0.995Сr0.005S2 (рис. 12). Кроме того, в отличие от чистых кристаллов TlInS2, на частотной зависимости tgδ легированных хромом TlIn1-xCrxS2 наблюдаются максимумы. Это подтверждает наличие релаксационных потерь в TlIn1-xCrxS2 [3, 4].
Рис. 12. Частотные зависимости тангенса угла диэлектрических потерь tgδ в монокристаллах TlIn1–хСrхS2: x = 0.005 (1) и 0.01 (2); T = 298 K.
На рис. 13 приведена частотная зависимость коэффициента диэлектрических потерь (ε˝ = ε·tgδ) для монокристаллов TlIn1–хСrхS2. Видно, что увеличение концентрации примеси хрома в кристаллах TlIn1–хСrхS2 приводит к увеличению ε˝ и к более существенной частотной дисперсии (кривая 2, рис. 13).
Рис. 13. Частотная зависимость мнимой части комплексной диэлектрической проницаемости ε˝ образцов TlIn1–хСrхS2: x = 0.005 (1) и 0.01 (2); T = 298 K.
3.4. AC-проводимость
Ниже приведены результаты исследования электрических свойств монокристаллов TlIn1–хСrхS2 (x = 0.005, 0.01), измеренных на переменном токе (ас-проводимость).
На рис. 14 представлены экспериментальные результаты изучения частотно-зависимой ac-проводимости монокристаллов TlIn1–хСrхS2 при Т = 298 К. На этом же рисунке для сравнения приведена зависимость для монокристалла TlInS2 (кривая 3). В частотной области f = 105–106 Гц ac-проводимость TlInS2 изменялась по закону , а при f ≥ 107 Гц наблюдался суперлинейный участок зависимости .
Рис. 14. Частотная зависимость ac-проводимости монокристаллов TlIn1–хСrхS2: x = 0.005 (1), 0.01 (2) и 0 (3); T = 298 K.
Дисперсионная кривая образца TlIn0.995Сr0.005S2 от 5 × 104 до 1.6·106 Гц подчинялась закону , а затем наклон кривой увеличивался и при f ≥ 2.5 × 107 Гц сменялся суперлинейным участком. Т.е. легирование монокристалла TlInS2 хромом (х = 0.005) приводило к удлинению участка и смещению точки перехода к суперлинейной области в сторону более высоких частот. А при более высокой концентрации хрома в кристаллах TlIn1–хСrхS2 (х = 0.01) во всей изученной области частот от 5 × 104 до 3.5 × 107 Гц наблюдался только закон .
Экспериментальная зависимость соответствует прыжковой модели переноса заряда. Такой перенос в твердых телах обусловлен перескоками носителей заряда между состояниями, локализованными в запрещенной зоне [3–6, 42]. Это могут быть состояния, локализованные вблизи краев разрешенных зон, или состояния, локализованные вблизи уровня Ферми. Проводимость через состояния вблизи уровня Ферми обычно преобладает над проводимостью через состояния вблизи краев разрешенных зон полупроводников. Поэтому полученный нами закон соответствует прыжковому механизму переноса заряда между состояниями, локализованными вблизи уровня Ферми. Для прыжкового механизма переноса заряда в твердых телах справедлива формула [43]:
(29)
где е – заряд электрона, – постоянная Больцмана, Т – температура, – плотность локализованных состояний вблизи уровня Ферми, = – радиус локализации, – постоянная спада волновой функции локализованного носителя заряда , – фононная частота.
Из формулы (29) следует, что при f << зависимость пропорциональна . На основании экспериментальных значений и по формуле (29) мы рассчитали плотность локализованных состояний на уровне Ферми образцов TlIn1–хСrхS2. Для монокристаллов TlIn0.995Сr0.005S2 и TlIn0.99Сr0.01S2 расчетные значения составили 7.9 × 1018 и 1.47 × 1019 эВ–1⋅cм–3, соответственно. При вычислении для радиуса локализации образцов TlIn1–хСrхS2 мы принимали значение = 14 Å [2]. Значение для TlInS2 составляло около 1012 Гц [3].
Среднее расстояние прыжка (R) по теории прыжковой проводимости на переменном токе можно определить по формуле [42]:
(30)
где – среднее время прыжков.
Среднее время прыжков в монокристаллах TlIn1–хСrхS2 составов x = 0.005 и 0.01 составило 1.2 мкс и 0.057 мкс соответственно. Величину определяли как среднюю частоту, при которой имеет место закон . Среднее расстояние прыжков, рассчитанное по формуле (30), в монокристаллах TlIn1–хСrхS2 составов x = 0.005 и 0.01 составило 99 и 77 Å соответственно. Эти значения в 5.5–7 раз превышают среднее расстояние между центрами локализации носителей заряда в TlIn1–хСrхS2. В диапазоне частот, в котором в кристаллах соблюдается закон , расстояние прыжков уменьшается с ростом частоты. Это соответствует прыжковой проводимости с переменной длиной скачка.
На высоких частотах обнаружен сверхлинейный характер частотной зависимости ас-проводимости образцов TlIn1–хСrхS2. Эту зависимость можно связать с переходом ас-проводимости с переменной длиной прыжка (зависящей от частоты) к проводимости с оптимальной длиной прыжка (не зависящей от частоты).
По формуле [42]:
(31)
мы оценили энергетический разброс состояний, локализованных вблизи уровня Ферми. Полученные значения для TlIn0.995Сr0.005S2 и TlIn0.99Сr0.01S2 составили 6 × 10–2 эВ и 7 × 10–2 эВ соответственно. Концентрация глубоких ловушек, ответственных за ac-проводимость, определенная по формуле: , составила 4.8 × 1017 cм–3 в TlIn0.995Сr0.005S2 и 1018 cм–3 в TlIn0.99Сr0.01S2.
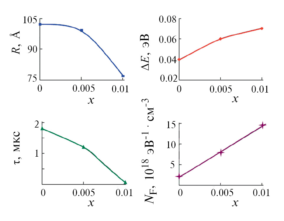
На рис. 15 представлены для сравнения зависимости рассчитанных нами параметров , R, τ и от состава монокристаллов TlIn1–хСrхS2. Из этих зависимостей видно, что с увеличением концентрации примеси хрома в кристаллах TlIn1–хСrхS2 плотность состояний , локализованных вблизи уровня Ферми, и их энергетический разброс увеличиваются, а среднее время τ и расстояние прыжков R уменьшаются.
Рис. 15. Рассчитанные нами зависимости параметров локализованных состояний NF, R, τ и ∆E от состава монокристаллов TlIn1–хСrхS2.
3.5. Дозиметрические характеристики
Переходы из возбужденного состояния в нормальное состояние на уровне энергии электронной оболочки атомов и молекул вещества могут генерировать фотоны ультрафиолетового или видимого света. То есть такие переходы между фундаментальными энергетическими уровнями частиц могут порождать фотоны [44].
Другими словами, рентгеновские лучи возникают в электронных полях, окружающих ядро вещества. Атомы и молекулы вещества излучают рентгеновские лучи, когда электроны падают из оболочки с более высокой энергией (пространства вокруг ядра) в оболочку с более низкой энергией.
Полупроводниковые детекторы рентгеновского излучения очень чувствительны к излучению. Они позволяют регистрировать один вид излучения на фоне другого. Кроме того, к преимуществам полупроводниковых детекторов относятся следующие: высокое энергетическое и временное разрешение, малые габариты и масса, высокая механическая прочность, низкое напряжение питания и малое энергопотребление, технологичность и относительно невысокая стоимость для массового производства.
С целью определения степени чувствительности полупроводниковых материалов TlIn1-хCrхS2 к рентгеновскому излучению нами были проведены исследования. Изучена зависимость коэффициента рентгеновской чувствительности (K) от мощности дозы (E) для монокристаллов TlIn1-хCrхS2 при различной жесткости рентгеновского излучения (). Полученные зависимости рентгеноэлектрических свойств оптимального состава TlIn0.995Сr0.005S2 с моноклинной структурой представлены на рис. 16.
Рис. 16. Зависимости коэффициента рентгеночувствительности от мощности дозы облучения для монокристаллов TlInS2 (а) и TlIn0.995Сr0.005S2 (б) при различных ускоряющих напряжениях на трубке Va, кэВ: 25 (1), 30 (2), 35 (3), 40 (4), 45 (5), 50 (6). T = 298 K.
При определении рентгеновских дозиметрических характеристик напряженность внешнего постоянного электрического поля, приложенного к кристаллам TlInS2 и TlIn0.995Сr0.005S2, была одинаковой и составляла F = 700 В/см.
Анализ полученных результатов показал, что коэффициент рентгеновской чувствительности ( кристалла TlIn0.995Сr0.005S2 закономерно снижается с увеличением мощности дозы и ускоряющего напряжения на рентгеновской трубке.
Сравнение зависимостей K(E) на рис. 16 а, б показывает, что введение примеси хрома в решетку TlInS2 приводит к значительному увеличению коэффициента рентгеновской чувствительности кристалла TlIn0.995Сr0.005S2.
Таким образом, если в TlInS2 значения коэффициента K находились в диапазоне 2.4 × 10–13 – 7.8 × × 10–12 (А ⋅ мин)/(В ⋅ P), то в легированном кристалле TlIn0.995Сr0.005S2 K = 1.8 × 10–12 – 2 × 10–11 (А ⋅ мин)/ (В ⋅ Р).
В области малых доз (например, при Е = 0.75 Р/мин) “мягкого” рентгеновского излучения (при = 25 кэВ) отношение коэффициентов К после и до введения хрома составило 2.6. А в области высоких доз (например, при Е = 78.05 Р/мин) “жесткого” рентгеновского излучения (при = 50 кэВ) это отношение было 7.5.
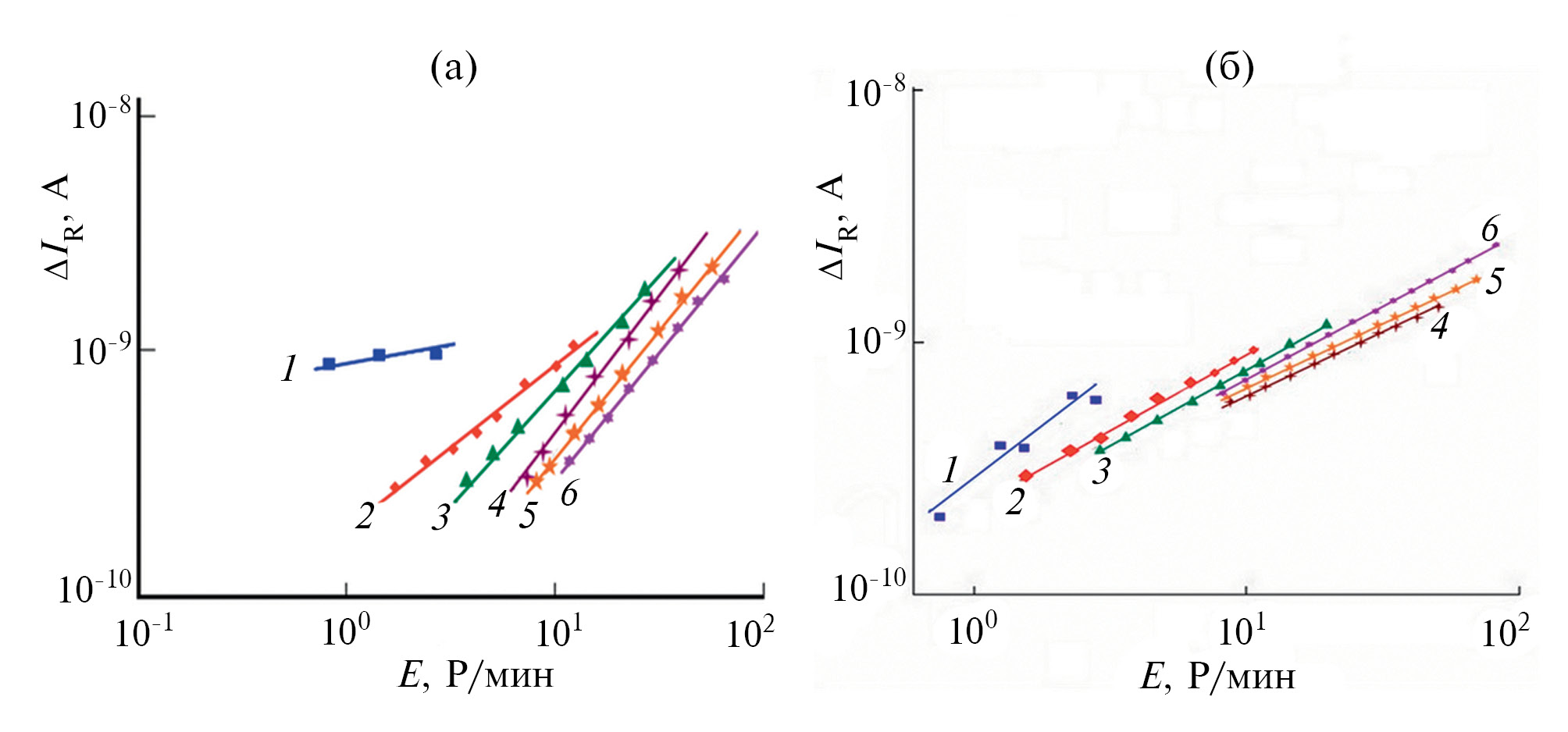
Другой важной характеристикой рентгеноэлектрических свойств материала являются рентгенамперные характеристики. На рис. 17 показаны зависимости рентгенотока от мощности дозы облучения в монокристаллах TlInS2 и TlIn0.995Сr0.005S2 при различной жесткости рентгеновских лучей.
Рис. 17. Рентгенамперные характеристики монокристаллов TlInS2 (а) и TlIn0.995Сr0.005S2 (б) при различных ускоряющих напряжениях на трубке Va, кэВ: 25 (1), 30 (2), 35 (3), 40 (4), 45 (5), 50 (6). T = 298 K.
Из рис. 17 видно, что зависимость стационарного рентгеновского тока от мощности дозы носит степенной характер:
(32)
где α – показатель степени. Установлено, что показатель степени α изменялся от 0.5 до 1.0 при мощности дозы в диапазоне 7.0-78.05 Р/мин.
ВЫВОДЫ
Точность современных методов расчета свойств многокомпонентных систем на основе теории функционала плотности (DFT) продолжает улучшаться, а увеличение вычислительной мощности позволит сравнивать свойства материалов для конкретных приложений.
Для прогнозирования и определения свойств функциональных материалов на примере 2D-полупроводника TlIn1–хСrхS2 с моноклинной структурой был использован метод DFT расчета зонных характеристик. Закономерности поведения электронов в таких слоистых материалах позволили рассчитать прикладные характеристики TlIn1–хСrхS2 для целевого применения. В TlIn1–хСrхS2 зонные характеристики и магнитные свойства рассчитаны методом DFT с учетом спин-орбитального вклада в полную энергию.
Влияние примеси хрома на свойства TlIn1–хСrхS2 связано с изменением областей запрещенных энергетических состояний, расположенных между потолком валентной зоны и дном зоны проводимости материала. С учетом спин-орбитальных взаимодействий рассчитанная зонная структура сверхъячейки TlIn1–хСrхS2 характеризуется прямой запрещенной зоной. Например, для TlIn1–хСrхS2 (x = 0,005) получено значение Eg = 1.82 эВ. Эта величина Eg существенно ниже наших экспериментальных данных Eg = 2.33 эВ для TlIn1–хСrхS2 (x = 0.005).
Полный магнитный момент в TlIn1–хСrхS2 меньше магнитного момента примесного атома Cr. Например, для TlIn1–хСrхS2 (x = 0.005) расчетное значение составляет 3.003 (функционал SGGA-PBE DFT). Локальный магнитный момент только примесного атома Cr составляет 3.944 , что согласуется со значением 3.873 , оцененным по электронной спиновой формуле. Улучшение магнитных свойств при легировании хромом может быть обусловлено взаимодействием примесных орбиталей Cr-3d через орбиталь S-3p в TlIn1–хСrхS2. Нано- и монокристаллы TlIn1–хСrхS2 с такими улучшенными магнитными свойствами могут быть полезны для приложений в спинтронике и оптоэлектронике.
Расчеты DFT, предсказывающие структурные характеристики TlIn1–xCrxS2, также подтверждены экспериментально. Однако заметные погрешности в расчетных значениях энергетической щели и ограничения DFT для дизайна материалов требуют корректировок при выборе функционала электронной плотности.
Путем расчета и анализа стандартных термодинамических функций, а также с учетом фазовых диаграмм граничных бинарных сульфидов и внутреннего квазибинарного разреза Tl2S–In2S3 определены устойчивые разрезы между компонентами в системе Tl–In–S. Из рассчитанных термодинамических параметров и построенного изотермического сечения фазовой диаграммы системы Tl–In–S следует, что легирование Cr+3 не нарушает термодинамическую стабильность материалов на основе TlInS2 при 298 К. Другими словами, построенный изотермический разрез Tl–In–S на основе термодинамических расчетов граничных бинарных и тройных разрезов позволяет установить: характер фазового равновесия, фазовую устойчивость и границы области существования фаз, в частности на основе TlInS2, в твердом состоянии.
В системе Tl–In–S, в частности, соединение TlInS2 с моноклинной структурой занимает на диаграмме очень малую область гомогенности. Установлено, что рассчитанные значения энергии образования фазы TlInS2 в твердом состоянии соответствуют экспериментальным данным: = –181 кДж/моль (термодинамический расчет), = –181.35 ± 7.5 кДж/моль (эксперимент).
Монокристаллы TlIn1–хСrхS2 (x = 0, 0.005, 0.01), выращенные методом Бриджмена–Стокбаргера, имели моноклинную структуру. Монокристаллы TlIn1–хСrхS2 имели однофазную слоистую структуру; следов вторичной фазы, связанной с примесью Cr или его соединениями, обнаружено не было. В такой структуре TlIn1–хСrхS2 смещение положения основных дифракционных пиков TlInS2 на рентгенограммах не меняется с увеличением концентрации легирования Cr (x = 0–0.01). Исследования влияния концентрации легирующего компонента Cr на параметры кристаллической структуры, диэлектрические, электрические и рентгенодозиметрические характеристики TlIn1–хСrхS2 показали следующее.
Частотные зависимости диэлектрических функций и проводимости () поперек слоев монокристаллических образцов TlIn1–хСrхS2 в переменных электрических полях измерены в диапазоне частот f = 5 × 104–3.5 × 107 Гц при 298 К.
С ростом концентрации легирующей примеси хрома (х) в монокристаллах TlIn1–хСrхS2 действительная составляющая (ε) комплексной диэлектрической проницаемости уменьшается, а ее мнимая часть (ε˝) и тангенс угла диэлектрических потерь (tgδ) увеличиваются.
Зависимость проводимости TlIn1–хСrхS2 на переменном токе от частоты позволила установить закономерность вида . Это позволило применить модель Мотта для прыжкового механизма переноса заряда по состояниям, локализованным вблизи уровня Ферми, и рассчитать основные физические параметры TlIn1–хСrхS2.
Используя положения модели прыжковой проводимости и экспериментальные данные, были рассчитаны следующие физические параметры образцов TlIn1–хСrхS2. Для монокристаллов TlIn0.995Сr0.005S2 и TlIn0.99Сr0.01S2 рассчитаны плотность ( = 7.9 × 1018 и 1.47 × 1019 эВ–1⋅cм–3) и энергетический разброс состояний в окрестности уровня Ферми ( = 6 × 10–2 и 7 × 10–2 эВ), среднее время (τ = 1.2 и 0.057 мкс) и расстояние прыжков (R = 99 и 77 Å), соответственно.
Установлено, что с увеличением концентрации легирующей примеси хрома (x) в кристаллах TlIn1–хСrхS2 проводимость на переменном токе увеличивается. Нано- и монокристаллы TlIn1–хСrхS2 с такими улучшенными магнитными свойствами могут быть полезны для приложений в наноэлектронике.
Установлено, что монокристаллы TlIn1–хСrхS2 очень чувствительны к рентгеновскому излучению. Например, отношение коэффициентов рентгеновской чувствительности TlInS2 после и до легирования хромом составляет 2.6 в области малых доз (Е = 0.75 Р/мин) “мягкого” рентгеновского излучения (= 25 кэВ). В области высоких доз (Е = 78.05 Р/мин) “жесткого” рентгеновского излучения (= 50 кэВ) это отношение составляло 7.5.
Эксперименты показали, что зависимость установившегося рентгеновского тока от мощности дозы (0.75–78.05 Р/мин) в монокристаллах TlIn0.995Сr0.005S2 при различных ускоряющих напряжениях на рентгеновской трубке ( = 25–50 кэВ) имеет степенной характер: (показатель степени α изменялся от 0.5 до 1.0 ) при 298 К.
Полученные данные по регистрации дозиметрической информации с использованием материала TlIn1–хСrхS2 могут быть использованы для изготовления неохлаждаемых полупроводниковых детекторов ионизирующего излучения, работающих при комнатной температуре.
ФИНАНСИРОВАНИЕ
Работа выполнена при частичной поддержке Фонда развития науки при Президенте Азербайджанской Республики (грант EİFBGM-4-RFTFl/2017–21/05/l-M-07) и Российского фонда фундаментальных исследований (грант 18–57–06001 № Аз_а, 2018).
КОНФЛИКТ ИНТЕРЕСОВ
Авторы заявляют, что у них нет конфликта интересов.
About the authors
S. M. Asadov
Nagiyev Institute of Catalysis and Inorganic Chemistry, Ministry of Science and Education of Azerbaijan; Scientific Research Institute “Geotechnological Problems of Oil, Gas, and Chemistry,” Ministry of Science and Education of Azerbaijan; Azerbaijan State Oil and Industry University, Ministry of Science and Education of Azerbaijan
Author for correspondence.
Email: mirasadov@gmail.com
Azerbaijan, Baku; Baku; Baku
S. N. Mustafaeva
Institute of Physics, Ministry of Science and Education of Azerbaijan
Email: mirasadov@gmail.com
Azerbaijan, Baku
A. N. Mammadov
Nagiyev Institute of Catalysis and Inorganic Chemistry, Ministry of Science and Education of Azerbaijan; Azerbaijan Technical University, Ministry of Science and Education of Azerbaijan
Email: mirasadov@gmail.com
Azerbaijan, Baku; Baku
V. F. Lukichev
Valiev Institute of Physics and Technology, Russian Academy of Sciences
Email: lukichev@ftian.ru
Russian Federation, Moscow
References
- Mustafaeva S.N., Aliev V.A., Asadov M.M. DC hopping conduction in TlGaS2 and TlInS2 single crystals // Physics of the Solid State. 1998. V. 40. No 4. P. 612–615.
- Mustafaeva S.N., Asadov M.M., Ramazanzade V.A. Dielectric properties and alternating current conductivity of TlInS2 single crystals // Physics of the Solid State. 1996. V. 38. No 1. P. 14–18.
- Mustafaeva S.N., Asadov M.M. Effect of chemical composition of TlIn1-xErxS2 (0 ≤ x ≤ 0.01) crystals on their dielectric characteristics and the parameters of localized states // Physics of the Solid State. 2019. V. 61. No 11. P. 1999–2004, https://doi.org/10.1134/S1063783419110246
- Mustafaeva S.N., Asadov M.M., Huseynova S.S., Hasanov N.Z., Lukichev V.F. Ab initio calculations of electronic properties, frequency dispersion of dielectric coefficients and the edge of the optical absorption of TlInS2:Sn single crystals // Physics of the Solid State. 2022. V. 64. No 6. P. 617–627, https://doi.org/10.21883/PSS.2022.06.53823.299
- Mustafaeva S.N., Asadov S.M., Guseinova S.S. Ab initio calculation of the structure and frequency dependences of dielectric properties of new semiconductors TlIn1−xTmxS2 (x = 0.001 and 0.005), Physics of the Solid State. 2024. V. 66. No 4. P. 524–531, https://doi.org/10.61011/FTT.2024.04.57789.8
- Asadov S.M., Mustafaeva S.N., Huseinova S.S., Lukichev V.F. Simulation of Electronic Properties, Enthalpy of Formation, and Dielectric Characteristics of Yb-Doped Single Crystal TlInS2 // Russian Journal of Physical Chemistry A. 2024. V. 98. No. 1. P. 1–8, https://doi.org/10.1134/S0036024424010023
- Gasanly N.M. Low temperature absorption edge and photoluminescence study in TlIn(Se1-xSx)2 layered mixed crystals // Physica B: Condensed Matter. 2018. V. 530. P. 82–85, https://doi.org/10.1016/j.physb.2017.11.042
- El-Nahass M.M., Ali H.A.M., Abu-Samaha F.S.H. Optical characteristics of Tl0.995Cu0.005InS2 single crystals // Physica B: Condensed Matter. 2013 V. 415. P. 57–61. https://doi.org/10.1016/j.physb.2013.01.036
- Delice S., Gasanly N.M. Defect characterization in neodymium doped thallium indium disulfide crystals by thermoluminescence measurements // Physica B: Condensed Matter. 2016. V. 499. P. 44–48, http://dx.doi.org/10.1016/j.physb.2016.07.006
- Seyidov M.Yu., Mikailzade F.A., Suleymanov R.A., Aliyeva V.B., Mammadov T.G., Sharifov G.M. Polarization switching in undoped and La-doped TlInS2 ferroelectric-semiconductors // Physica B: Condensed Matter. 2017 V. 526. P. 45–53, https://doi.org/10.1016/j.physb.2017.07.003
- Таshмеtоv M.Yu., Khаllоkоv F.K., Ismatov N.B., Umarov S.Kh. Influence of accelerated electrons on the structure, crystallite size and surface of a TlIn1-xCrxS2 crystal with x = 0.01 // Uzbek Journal of Physics. 2023. V. 23. No 4. P. 51–56, https//doi.org/10.52304/.v23i4.289
- Khallokov F.К., Imanova G.T., Umarov S.Kh., Tashmetov M.Yu., Gasanov N. Z., Esanov Z.U., Bekpulatov I.R. Influence of electron irradiation on the band gap and microhardness of TlInS2, TlInSSe and TlIn0.99Cr0.01S2 single crystals // Materials Research Innovations. 2004. P. 1–5, https://doi.org/10.1080/14328917.2024.2363583
- Okumus E., Tokdemir Ö.S, Chumakov Y.M. Identification of Mn dopant in the structure of TlInS2 layered semiconductor // Materials Research Express. 2019. V. 6. No 5. P. 056110, https://doi.org/10.1088/2053-1591/ab063e
- Mikailov F.A., Rameev B.Z., Kazan S., Yıldız F., Aktaş B. Electron paramagnetic resonance investigation of Fe3+ doped TlInS2 single crystal // Solid State Communications. 2005. V. 35. No 1–2. P. 114–118, https://doi.org/10.1016/j.ssc.2005.03.043
- Huang Z., Peng X., Yang H., He C., Xue L., Hao G., Zhang C., Liu W., Qi X., Zhong J. The structural, electronic and magnetic properties of bi-layered MoS2 with transition-metals doped in the interlayer // RSC Advances. 2013. V. 3. No 31. P. 12939–12943, https://doi.org/10.1039/C3RA41490F
- Ali R., Hanif M., Shah S.A.B., Abbas S. Z., Karim M. R. A., Arshad M., Ahmad S.H.A. Effect of chromium-doping on structure and opto-electronics properties of nanostructured indium tin oxide thin films // Applied Physics A. 2022. V. 128. No 508. P. 1–6, https://doi.org/10.1007/s00339-022-05639-1
- Asadov M.M., Mustafaeva S.N., Guseinova S.S., Lukichev V.F. Ab Initio calculations of the electronic properties and the transport phenomena in graphene materials // Physics of the Solid State. 2020. V. 62. No 11. P. 2224–2231, https://doi.org/10.1134/S1063783420110037
- Asadov M.M., Mustafaeva S.N., Guseinova S.S., Lukichev V.F., Tagiev D.B. Ab Initio modeling of the effect of the position and properties of ordered vacancies on the magnetic state of a graphene monolayer // Physics of the Solid State. 2021. V. 63. No 5. P. 797–806, https://doi.org/10.1134/S1063783421050036.
- Asadov M.M., Mustafaeva S.N., Guseinova S.S., Lukichev V.F. Simulation of supercell defect structure and transfer phenomena in TlInTe2 // Russian Microelectronics. 2023. V. 52. No 1. P. 21–31, https://doi.org/10.1134/S1063739722700196
- Asadov M.M., Mammadova S.O., Guseinova S.S., Mustafaeva S.N., Lukichev V.F. Simulation of the adsorption and diffusion of lithium atoms on defective graphene for a Li-ion battery // Russian Microelectronics. 2023. V. 52. No 3. P. 167–185, https://doi.org/10.1134/S1063739723700336
- Asadov M.M., Mammadova S.O., Mustafaeva S.N., Huseynova S.S., Lukichev V.F. Modeling of the electronic properties of M-doped supercells Li4Ti5O12–M (М = Zr, Nb) with a monoclinic structure for lithium-lon batteries // Russian Microelectronics. 2024. V. 53. No 1. P. 1–13, https://doi.org/10.1134/S1063739723600127
- Asadov M.M., Huseinova S.S., Mustafaeva S.N., Mammadova S.O., Lukichev V.F. Simulation of the physical-chemical and electronic properties of lithium-containing 4H–SiC and binary phases of the Si–C–Li system // Russian Microelectronics. 2024. V. 53. No 1. P. 14–34, https://doi.org/10.1134/S1063739723600097
- Asadov S.M., Mustafaeva S.N., Guseinov D.T. X-ray dosimetric characteristics of AgGaS2 single crystals grown by chemical vapor transport // Inorganic Materials. 2017. V. 53. No 5. P. 457–461, https://doi.org/10.1134/S0020168517050028
- Asadov S.M., Mustafaeva S.N., Guseinov D.T., Kelbaliev K.I. Dependence of the X-ray dosimetric parameters of AgGaS2xSe2–2x single crystals on their composition // Technical Physics. 2018. V. 63. No 4. P. 546–550, https://doi.org/10.1134/S1063784218040047
- Asadov S.M., Mustafaeva S.N., Guseinov D.T., Kelbaliev K.I., Lukichev V.F. Dependence of the X-ray Sensitivity of AgGaS2 Single Crystals on Faces (001) and (100) on Dose and Hardness of Radiation // Russian Microelectronics. 2022. V. 51. No 3. P. 117–125, https://doi.org/10.1134/S1063739722030027
- Vuckovic S., Song S., Kozlowski J., Sim E., Burke K. Density functional analysis: The theory of density-corrected DFT // Journal of Chemical Theory and Computation. 2019. V. 15. P. 1–30, https://doi.org/10.1021/acs.jctc.9b00826.
- Holzer C., Franzke Y.J., Pausch A. Current density functional framework for spin–orbit coupling // The Journal of Chemical Physics. 2022. V. 157. P. 204102–16, https://doi.org/10.1063/5.0122394
- Asadov M.M., Mustafaeva S.N., Guseinova S.S., Lukichev V.F. Ab initio calculations of electronic properties and charge transfer in Zn1-xCuxO with wurtzite structure // Physics of the Solid State. 2022. V. 64. No 5. P. 528–539, https://doi.org/10.21883/PSS.2022.05.54011.270
- Babuka T., Gomonnaic O.O., Glukhova K.E., Kharkhalisa L.Yu., Sznajdere M., Zahn D.R.T. Electronic and Optical Properties of the TlInS2 Crystal: Theoretical and Experimental Studies // Acta Physica Polonica A. 2019. V. 136. No 4. Р. 640–644, https://doi.org/ 10.12693/APhysPolA.136.640
- Asadov M.M., Mammadova S.O., Huseinova S.S., Mustafaeva S.N., Lukichev V. F. Ab initio calculation of the band structure and properties of modifications of the Ti3Sb compound doped with lithium // Physics of the Solid State. 2022. V. 64. No 11. Р. 1594–1609, https://doi.org/10.21883/PSS.2022.11.54179.395
- Alekperov O.Z., Ibragimov G.B., Axundov I.A. Growth of orthorhombic and tetragonal modifications of TlInS2 from its monoclinic phase // Physica Status Solidi C. 2009. V. 6. No 5. P. 981–984, https://doi.org/10.1002/pssc.200881191
- Mills K.C. Thermodynamic Data for Inorganic Sulphides, Selenides and Tellurides, NPL, Teddington. John Wiley and Sons, Incorporated, 1974, ISBN: 9780470606551.
- Vasiliev V.P., Minaev V.S. Tl-S phase diagram, structure and thermodynamic Properties // Journal of Optoelectronics and Advanced Materials. 2008. V. 10. No 6. P. 1299–1305.
- Vasiliev V.P. Correlations between the Thermodynamic Properties of II–VI and III–VI Phases // Inorganic Materials. 2007. V. 43. No 2. P. 115–124, https://doi.org/10.1134/S0020168507020045
- http://www.chem.msu.ru/cgi-bin/tkv.pl?show=welcome.html/welcome.html
- Kubaschewski O., Alcock C.B., Spencer P.J. Materials Thermochemistry. (6nd edn). Pergamon Press, 1993: ISBN 9780080418896
- Okamoto, H. In-S (Indium-Sulfur). Journal of Phase Equilibria and Diffusion. 2013. V. 34. P. 149–150, https://doi.org/10.1007/s11669-012-0152-7
- Waldner P., Sitte W. Thermodynamic modeling of the Cr–S system // International Journal of Materials Research. 2011. V. 102. No 10. P. 1216–1225, 10.3139/146.110587' target='_blank'>https://doi: 10.3139/146.110587
- https://himikatus.ru/art/phase-diagr1/In-Tl.php
- Babanly M.B., Yusibov Yu.A. Electrochemical methods in thermodynamics of inorganic substances. (1st edn). Baku, Elm, 2011, ISBN: 9789952453171
- Asadov M.M., Kuli-zade E.S. Phase equilibria, thermodynamic analysis and electrical properties of the Li2O–Y2O3–B2O3 system // Journal of Alloys and Compounds. 2020. V. 842. P. 155632–32, https://doi.org/10.1016/j.jallcom.2020.155632
- Mott N.F., Davis E.A. Electronic Processes in Non-Crystalline Materials. (2nd edn). OUP, Oxford, 2012, ISBN: 9780199645336
- Pollak M. On the frequency dependence of conductivity in amorphous solids // Philosophical Magazine. 1971. V. 23. No 183. P. 519–542, 10.1080/14786437108216402' target='_blank'>https://doi: 10.1080/14786437108216402
- Arshak K., Korostynska O. (Eds.) Advanced Materials and Techniques for Radiation Dosimetry. (1st edn). Boston. London. Artech House, Inc. 2006, ISBN: 9781580533409.
Supplementary files



















