Перспективы применения сенсорных элементов для детекции присутствия бактерий в режиме реального времени
- Авторы: Лачинов А.Н.1, Лачинов А.А.1, Карамов Д.Д.1, Галиев А.Ф.1, Кузина Е.В.2, Коршунова Т.Ю.2
-
Учреждения:
- Институт физики молекул и кристаллов УФИЦ РАН
- Уфимский Институт биологии УФИЦ РАН
- Выпуск: Том 59, № 3 (2023)
- Страницы: 295-300
- Раздел: Статьи
- URL: https://medbiosci.ru/0555-1099/article/view/138776
- DOI: https://doi.org/10.31857/S0555109923030121
- EDN: https://elibrary.ru/BEFAWD
- ID: 138776
Цитировать
Полный текст
Аннотация
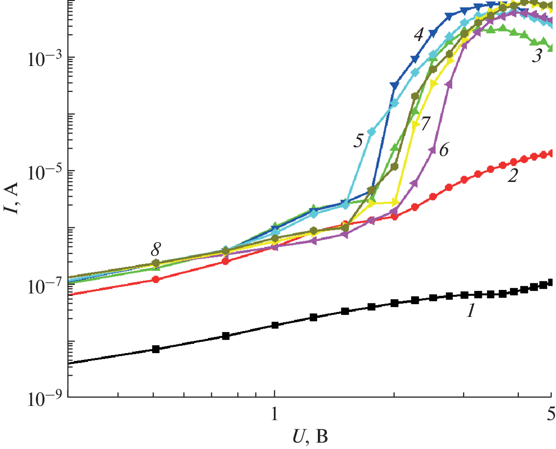
Проведено исследование отклика сенсорного элемента на основе полидифениленфталида на изменение состава воздушной среды при культивировании бактерий Enterobacter asburiae UOM 3 в жидкой питательной среде. Регистрацию изменения сопротивления сенсорного элемента в ответ на выделяемые бактериальными клетками летучие органические соединения проводили путем измерения вольт-амперных характеристик через заданные промежутки времени. Результаты показали взаимосвязь между количеством бактерий и изменением сопротивления сенсорного элемента, обусловленное выделением продуктов жизнедеятельности микроорганизмов. При увеличении титра бактерий на 3 порядка сопротивление сенсора под воздействием накопленных в среде летучих органических соединений уменьшилось на 2 порядка. Предполагается, что сенсоры на основе полидифениленфталида могут использоваться для установления наличия микроорганизмов в различных материалах и средах.
Об авторах
А. Н. Лачинов
Институт физики молекул и кристаллов УФИЦ РАН
Email: korshunovaty@mail.ru
Россия, 450075, Уфа
А. А. Лачинов
Институт физики молекул и кристаллов УФИЦ РАН
Email: korshunovaty@mail.ru
Россия, 450075, Уфа
Д. Д. Карамов
Институт физики молекул и кристаллов УФИЦ РАН
Email: korshunovaty@mail.ru
Россия, 450075, Уфа
А. Ф. Галиев
Институт физики молекул и кристаллов УФИЦ РАН
Email: korshunovaty@mail.ru
Россия, 450075, Уфа
Е. В. Кузина
Уфимский Институт биологии УФИЦ РАН
Email: korshunovaty@mail.ru
Россия, 450054, Уфа
Т. Ю. Коршунова
Уфимский Институт биологии УФИЦ РАН
Автор, ответственный за переписку.
Email: korshunovaty@mail.ru
Россия, 450054, Уфа
Список литературы
- Веселова М.А., Плюта В.А., Хмель И.А. // Микробиология. 2019. Т. 88. № 3. С. 272–287.
- Schulz S., Dickschat J.S. // Nat. Prod. Rep. 2007. V. 24. № 4. P. 814–842.
- Weisskopf L., Schulz S., Garbeva P. // Nat. Rev. Microbiol. 2021. V. 19. № 6. P. 391–404.
- Elmassry M.M., Piechulla B. // Front. Neurosci. 2020. V. 14. Article 257.https://doi.org/10.3389/fnins.2020.00257
- Lough F., Perry J.D., Stanforth S.P., Dean J.R. // TrAC Trends Anal. Chem. 2017. V. 87. P. 71–81.
- Ratiu I.A., Bocos-Bintintan V., Monedeiro F., Milanowski M., Ligor T., Buszewski B. // Crit. Rev. Anal. Chem. 2020. V. 50. № 6. P. 501–512.
- Bonah E., Huang X., Aheto J.H., Osae R. // J. Food Sci. Technol. 2020. V. 57. № 6. P. 1977–1990.
- Seesaard T., Thippakorn C., Kerdcharoen T., Kladsomboon S. //Anal. Methods. 2020. V. 12. № 47. P. 5671–5683.
- Shauloff N., Morag A., Yaniv K., Singh S., Malishev R., Paz-Tal O., Rokach L., Jelinek R. // Nanomicro Lett. 2021. V. 13. № 1. Article 112. doi.org/https://doi.org/10.1007/s40820-021-00610-w
- Gadiev R.M., Lachinov A.N., Salikhov R.B., Rakhmeev R.G., Kornilov V.M., Yusupov A.R. // Appl. Phys. Lett. 2011. V.98. P. 173305. https://doi.org/10.1063/1.3584135
- Yusupov A.R., Gadiev R.M., Lachinov A.N., Kornilov V.M., Kalimullina L.R., Galiev A.F., Kian M., Salazkin S.N. // Synth. Met. 2021. V. 274. Article 116733.https://doi.org/10.1016/j.synthmet.2021.116733
- Lachinov A.N., Gadiev R.M., Salikhov R.B., Zhdanov E.R. // Nanotechnology in the Security Systems. NATO Science for Peace and Security. Series C: Environmental Security. /Ed. J. Bonča, S. Kruchinin. Dordrecht: Springer, 2015. P. 243–256.
- García C., Lozano A.E., de la Campa J.G., Vygoskii Y., Zolotukhin M., de Abajo J., Garrido L., Guzmán J. // Macromolecules. 2015. V. 48. № 8. P. 2585–2592.
- Определитель бактерий. /Ред. Дж. Х. Берджи. М.: Мир, 1997. Т. 1. 429 с.
- Лабинская А.С., Быков А.С., Бондаренко В.М., Березкина Н.Е. Руководство по медицинской микробиологии. Общая и санитарная микробиология. Книга I. / Ред. А.С. Лабинская, Е.Г. Волина. Изд-во Бином, 2020. 1080 с.
- Ламперт М., Марк П. Инжекционные токи в твердых телах. М.: Мир, 1973. 416 с.
Дополнительные файлы







