Effect of Peroxynitrite and tert-Butyl Hydroperoxide on Thiol Ligands of Dinitrosyl Iron Complexes
- Autores: Pugachenko I.S.1, Nasybullina E.I.1, Kosmachevskaya O.V.1, Shumaev K.B.1, Topunov A.F.1
-
Afiliações:
- Bach Institute of Biochemistry, Research Center of Biotechnology of the Russian Academy of Sciences
- Edição: Volume 59, Nº 5 (2023)
- Páginas: 440-449
- Seção: Articles
- URL: https://medbiosci.ru/0555-1099/article/view/138810
- DOI: https://doi.org/10.31857/S0555109923050148
- EDN: https://elibrary.ru/NSHBED
- ID: 138810
Citar
Texto integral
Resumo
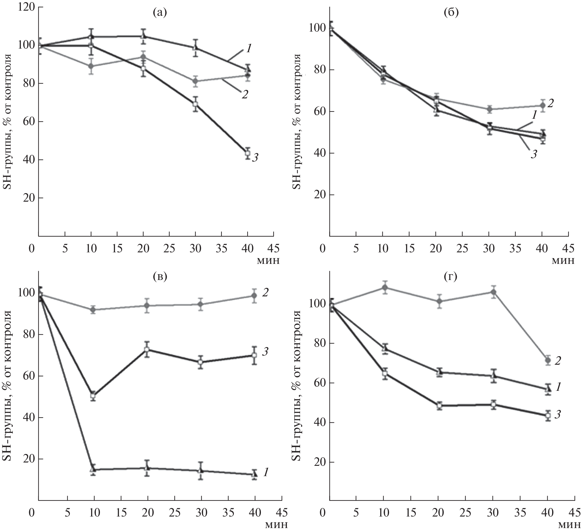
Low molecular weight dinitrosyl iron complexes (DNICs) with thiol-containing ligands are a physiological form for deposit and transport of nitric oxide (NO) in the organism, herewith DNICs can exhibit antioxidant and antiradical properties. It was that DNICs containing cysteine, glutathione and lipoic acid as ligands, decreased the rate of dihydrodamine oxidation by peroxynitrite formed during 3-morpholinononymine decomposition. Thiol (sulfhydryl) ligands are present in DNICs in the form of thiolate anions (R-S−), which protects these groups from oxidation by peroxynitrite. When tert-butyl peroxide was used as an oxidizer at low concentration, the protective effect of DNICs on their SH-groups was observed for complexes with lipoic acid (LA-DNIC) and with glutathione (GS-DNIC). LA-DNIC was more resistant to oxidizing agents and more effective peroxynitrite trap than other DNICs. DNICs associated with bovine serum albumin had a negligible protective effect on cysteine residue during oxidation by peroxynitrite and tert-butyl hydroperoxide. The obtained results allow us to consider low molecular weight DNICs with thiol ligands as peroxynitrite traps and thiol residues protectors in proteins.
Palavras-chave
Sobre autores
I. Pugachenko
Bach Institute of Biochemistry, Research Center of Biotechnology of the Russian Academy of Sciences
Email: aftopunov@yandex.ru
Russia, 119071, Moscow
E. Nasybullina
Bach Institute of Biochemistry, Research Center of Biotechnology of the Russian Academy of Sciences
Email: aftopunov@yandex.ru
Russia, 119071, Moscow
O. Kosmachevskaya
Bach Institute of Biochemistry, Research Center of Biotechnology of the Russian Academy of Sciences
Email: aftopunov@yandex.ru
Russia, 119071, Moscow
K. Shumaev
Bach Institute of Biochemistry, Research Center of Biotechnology of the Russian Academy of Sciences
Email: aftopunov@yandex.ru
Russia, 119071, Moscow
A. Topunov
Bach Institute of Biochemistry, Research Center of Biotechnology of the Russian Academy of Sciences
Autor responsável pela correspondência
Email: aftopunov@yandex.ru
Russia, 119071, Moscow
Bibliografia
- Hsiao H.-Y., Chung C.-W., Santos J.H., Villaflores O.B., Lu T.-T. // Dalton Transactions. 2019. V. 48. № 26. P. 9431–9453.
- Vanin A.F. // Nitric Oxide. 2016. V. 54. P. 15–29.
- Vanin A.F., Mokh V.P., Serezhenkov V.A., Chazov E.I. // Nitric Oxide. 2007. V. 16. № 3. P. 322–330.
- Kapelko V.I., Lakomkin V.L., Abramov A.A., Lukoshkova E.V., Undrovinas N.A., Khapchaev A.Y., Shirinsky V.P. // Oxid. Med. Cell. Longev. 2017. V. 2017. e9456163. https://doi.org/10.1155/2017/9456163
- Remizova M.I., Kochetygov N.I., Gerbout K.A., Lakomkin V.L., Timoshin A.A., Burgova E.N., Vanin A.F. // Eur. J. Pharmacol. 2011. V. 662. № 1–3. P. 40–46.
- Bor-Kucukatay M., Wenby R.B., Meiselman H.J., Baskurt O.K. // Am. J. Physiol. Heart Circ. Physiol. 2003. V. 284. P. 1577–1584.
- Shamova E.V., Bichan O.D., Drozd E.S., Gorudko I.V., Chizhik S.A., Shumaev K.B. et al. // Biophysics. 2011. V. 56. № 2. P. 237–242.
- Igrunkova A., Fayzullin A., Serejnikova N., Lipina T., Pekshev A., Vanin A. et al. // Int. J. Mol. Sci. 2023. V. 24. № 5. e4439. https://doi.org/10.3390/ijms24054439
- Чазов Е.И., Родненков О.В., Зорин А.В., Лакомкин В.Л., Грамович В.В., Выборов О.Н. и др. // Кардиология. 2011. Т. 51. № 11. С. 28–37.
- Родненков О.В., Зорин А.В., Гостеев А.Ю., Драгнев А.Г., Чазов Е.И. // Евразийский Кардиологический Журнал. 2016. № 3. С. 186–187.
- Shumaev K.B., Petrova N.E., Zabbarova I.V., Vanin A.F., Topunov A.F., Lankin V.Z., Ruuge E.K. // Biochemistry (Moscow). 2004. V. 69. № 5. P. 569–574.
- Shumaev K.B., Gubkin A.A., Serezhenkov V.A., Lobysheva I.I., Kosmachevskaya O.V., Ruuge E.K. et al. // Nitric Oxide. 2008. V. 18. № 1. P. 37–46.
- Shumaev K.B., Kosmachevskaya O.V., Grachev D.I., Timoshin A.A., Topunov A.F., Lankin V.Z., Ruuge E.K. // Biochemistry (Moscow), Supplement Series B: Biomedical Chemistry. 2021. V. 15. № 4. P. 313–319.
- Kosmachevskaya O.V., Nasybullina E.I., Shumaev K.B., Chumikina L.V., Arabova L.I., Yaglova N.V. et al. // Appl. Biochem. Microbiol. 2021. V. 57. № 4. P. 411–420.
- Kosmachevskaya O.V., Nasybullina E.I., Shumaev K.B., Novikova N.N., Topunov A.F. // Int. J. Mol. Sci. 2021. V. 22. № 24. e13649. https://doi.org/10.3390/ijms222413649
- Martusevich A.K., Soloveva A.G., Dmitrochenkov A.V., Ezhevskaya A.A., Razumovsky A.V. // Annual Research & Review in Biology. 2018. V. 26. № 6. P. 1–11.
- Martusevich A.K., Soloveva A.G., Peretyagin S.P., Davyduk A.V. // Biophysics. 2014. V. 59. № 6. P. 954–959.
- Dungel P., Perlinge M., Weidinger A., Redl H., Kozlov A.V. // Free Radic. Biol. Med. 2015. V. 89. P. 300–310.
- Shumaev K.B., Dudylina A.L., Ivanova M.V., Pugachenko I.S., Ruuge E.K. // BioFactors. 2018. V. 44. № 3. P. 237–244.
- Shumaev K.B., Gorudko I.V., Kosmachevskaya O.V., Grigoryeva D.V., Panasenko O.M., Vanin A.F., Topunov A.F. et al. // Oxid. Med. Cell. Longev. 2019. V. 2019. e2798154. https://doi.org/10.1155/2019/2798154
- Vanin A.F., Pekshev A.V., Vagapov A.B., Sharapov N.A., Lakomkin V.L., Abramov A.A. et al. // Biophysics (Oxf). 2021. V. 66. № 1. P. 155–163.
- Vanin A.F., Tronov V.A., Borodulin R.R. // Cell Biochem. Biophys. 2021. V. 79. № 1. P. 93–102.
- Vanin A.F. // Biochemistry (Moscow). 2022. V. 87. № 11. P. 1367–1386.
- Bosworth C.A., Toledo J.C. Jr., Zmijewski J.W., Lancaster J.R. // Proc. Natl. Acad. Sci. USA. 2009. V. 106. № 12. P. 4671–4676.
- Karoui H., Hogg N., Kalyanaraman B. // Arch. Biochem. Biophys. 1996. V. 330. № 1. P. 115–124.
- Shumaev K.B., Kosmachevskaya O.V., Timoshin A.A., Vanin A.F., Topunov A.F. // Methods Enzymol. 2008. V. 436. P. 445–461.
- Singh R.J., Hogg N., Joseph J., Konorev E., Kalyanaraman B. // Arch. Biochem. Biophys. 1999. V. 361. № 2. P. 331–339.
- Hoff S., Larsen F.H, Andersen M.L., Lund M.N. // Analyst. 2013. V. 138. № 7. P. 2096–2103.
- Laemmli U.K. // Nature. 1970. V. 227. № 5259. P. 680–685.
- Vanin A.F., Poltorakov A.P., Mikoyan V.D., Kubrina L.K., Burbaev D.S. // Nitric Oxide. 2011. V. 23. № 2. P. 136–149.
- Flinck M., Kramer S.H., Pedersen S.F. // Acta Physiol. (Oxf). 2018. V. 223. № 3. e13068. https://doi.org/10.1111/apha.13068
- Лобышева И.И., Сереженков В.А., Ванин А.Ф. // Биохимия. 1999. V. 64. № 2. P. 194–200.
- Tien M., Bucher J.R., Aust S.D. // Biochem. Biophys. Res. Commun. 1982. V. 107. № 1. P. 279–285.
- Younes M., Strubelt O. // J. Appl. Toxicol. 1990. V. 10. № 5. P. 319–324.
- Olson A.S., Jameson A.J., Kyasa S.K., Evans B.W., Dussault P.H. // ACS Omega. 2018. V. 3. № 10. P. 14054–14063.
- Daiber A., Daub S., Bachschmid M., Schildknecht S., Oelze M., Steven S. et al. // Int. J. Mol. Sci. 2013. V. 14. № 4. P. 7542–7570.
- Fabisiak J.P., Sedlov A., Kagan V.E. // Antioxid. Redox Signal. 2002. V. 4. № 5. P. 855–865.
- Tran N.G., Kalyvas H., Skodje K.M., Hayashi T., Moënne-Loccoz P., Callan P.E. et al. // J. Am. Chem. Soc. 2011. V. 133. № 5. P. 1184–1187.
- Kosmachevskaya O.V., Nasybullina E.I., Shumaev K.B., Novikova N.N., Topunov A.F. // Appl. Biochem. Microbiol. 2020. V. 56. № 5. P. 512–520.
- Akentieva N., Gizatullin A., Sanina N., Shkondina N., Abramova K., Tikhonov V. et al. // Biointerface Res. Appl. Chem. 2023. V. 13. № 4. e344. https://doi.org/10.33263/BRIAC134.344
Arquivos suplementares








