New Acacetin Glycosides and Other Phenolics from Agastache foeniculum and Their Influence on Monoamine Oxidase A and B
- Authors: Olennikov D.N.1, Kashchenko N.I.1
-
Affiliations:
- Institute of General and Experimental Biology SB RAS
- Issue: Vol 60, No 6 (2024)
- Pages: 645-656
- Section: Articles
- URL: https://medbiosci.ru/0555-1099/article/view/285214
- DOI: https://doi.org/10.31857/S0555109924060084
- EDN: https://elibrary.ru/QFJSVU
- ID: 285214
Cite item
Full Text
Abstract
Monoamine oxidase (MAO) inhibitors are effective therapeutic agents for the treatment of neurodegenerative diseases, and natural flavonoids found in Agastache species belong to them. In the present study, six new acylated flavone-O-glycosides were isolated from A. foeniculum and identified using UV, NMR spectroscopy and mass spectrometry as agastoside A (acacetin 7-O-(2′′-O-malonyl)-β-D-glucopyranoside), B (acacetin 7-O-(4′′-O-malonyl)-β-D-glucopyranoside), C (acacetin 7-O-(2′′,6′′-di-O-malonyl)-β-D-glucopyranoside), D (acacetin 7-O-(4′′,6′′-di-O-malonyl)-β-D-glucopyranoside), E (acacetin 7-O-(2′′-O-malonyl-6′′-O-acetyl)-β-D-glucopyranoside), and F (acacetin 7-O-(4′′-O-acetyl-6′′-O-malonyl)-β-D-glucopyranoside). Using flash chromatography and liquid chromatography-mass spectrometry, an additional 34 known phenolic compounds were detected. A study of biological activity showed that A. foeniculum flavonoids had an inhibitory effect on MAO-A and MAO-B, with the greatest effect noted for acacetin 7-O-glucoside acetate and malonate esters, which may be promising compounds for the development new drugs.
Full Text
Нейродегенеративные заболевания представляют собой третью по распространенности группу патологий человека в мире [1]. Одной из частых причин возникновений данных нарушений нервной деятельности является повышенная активность митохондриальных моноаминоксидаз (МАО), участвующих в процессах окислительного дезаминирования биогенных аминов (серотонина, адреналина, допамина и других), что может приводить к депрессии, тревожным расстройствам, а также болезни Альцгеймера и Паркинсона [2]. Для коррекции данного типа нарушений применяются ингибиторы МАО, предотвращающие разрушение моноаминных нейротрансмиттеров и повышающие тем самым их доступность. В настоящее время для этой цели применяются различные синтетические ингибиторы МАО (коргилин, L-депренил, разагинил), которые, несмотря на свою эффективность, обладают побочными эффектами, включая гипертензию, расстройства пищеварения, бессонницу, сонливость, головокружение и головные боли [3]. В ходе поисковых исследований было выявлено, что природные флавоноиды обладают способностью ингибировать МАО изоформ А (МАО-А) и В (МАО-В), не обладая негативными эффектами синтетических лекарств [4]. Среди множества известных флавоноидов, наибольший интерес представляют флавоны, широко представленные в растениях семейства Lamiaceae, в частности производные акацетина, обнаруженные в Agastache rugosa (Fisch. & C.A. Mey.) Kuntze и охарактеризованные как эффективные ингибиторы МАО-А и МАО-В [5].
В России наиболее распространенным видом рода Agastache является Agastache foeniculum (Pursh) Kuntze (син. Lophanthus anisatus (Nutt.) Benth.), для которого известно около 10 сортов, зарегистрированных в Государственном реестре селекционных достижений, широко применяемых с лекарственной и пищевой целью [6]. Сведения о химическом составе A. foeniculum ограничены данными о присутствии некоторых флавоноидов в сырье из Румынии [7]. Ранее было показано, что данный вид содержит акацетин 7-О-глюкозид и некоторые другие флавоны [8], однако углубленных исследований
метаболитов не проводились. В этой связи представляло интерес изучить состав фенольных соединений A. foeniculum сорта Франт, который наиболее распространен в России в качестве высокопродуктивного медоносного растения [9].
Цель работы – изучить фенольные соединения надземной части A. foeniculum, культивируемого в России, выделить основные флавоноиды, определить их количественное содержание и изучить их влияние на МАО-А и МАО-В.
МЕТОДИКА
Общие экспериментальные условия. Цветки и листья A. foeniculum (сорт Франт; ООО “Селекционная фирма Гавриш”, Россия) были собраны в экспериментальном тепличном хозяйстве Института общей и экспериментальной биологии СО РАН (Республика Бурятия, Россия) и высушены при 40°С до влажности <5% в конвекционном сушильном шкафу ПРО ШСП-У 35/150-120 (ООО “Новые технологии”, Россия). Для колоночной хроматографии использовали полиамид, нормально- (SiO2) и обращено-фазовый силикагель (ОФ-SiO2) Сефадекс LH-20 (“Sigma-Aldrich”, США). Спектры поглощения в ультрафиолетовой области (УФ) регистрировали для растворов в метаноле на спектрофотометре СФ-2000 (“ОКБ Спектр”, Россия), масс-спектры – на TQ-масс-спектрометре LCMS-8050 (“Shimadzu”, Япония) [10], спектры ЯМР – на спектрометре VXR 500S (“Varian”, США). Препаративную высокоэффективную жидкостную хроматографию (ПВЭЖХ) осуществляли на жидкостном хроматографе LC-20 Prominence (“Shimadzu”, Япония), снабженном колонкой Shim-pak PREP-ODS (20 мм × 250 мм × 15 мкм, “Shimadzu”, Япония) и фотодиодным детектором SPD-M30A (“Shimadzu”, Япония), при скорости – 1.0 мл/мин и температуре колонки 20°С.
Экстракты из высушенных цветков и листьев A. foeniculum получали в аппарате Сокслета после исчерпывающей экстракции изопропанолом. Выход изопропанольных экстрактов, от массы воздушно-сухого сырья: цветки 35.2%, листья – 22.6%.
Выделение соединений из A. foeniculum. Изопропанольный экстракт из цветков A. foeniculum экстрагировали хлороформом в аппарате Сокслета. После этого остаток экстракта переносили на полиамид для колоночной хроматографии (10 кг), промывали водой, 70%-ным этанолом и 0.5%-ным раствором аммиака в 90%-ном этаноле и после удаления растворителей были получены фракции ТФЭ-1, фракция ТФЭ-2 и фракция ТФЭ-3, соответственно [11]. Для выделения индивидуальных соединений фракции ТФЭ-2 (500 г) и ТФЭ-3 (550 г) хроматографировали методом флэш-хроматографии на Сефадексе LH-20 (2 × 90 см, элюент – этанол–вода 90 : 10 → 50 : 50), ОФ-SiO2 (2 × 40 см, элюент вода–ацетонитрил 80 : 20 → 20 : 80) и SiO2 (3 × 40 см, элюент этилацетат–этанол 100 : 0 → 60 : 40). Соединения с близкими временами удерживания разделяли, используя ПВЭЖХ в градиентном режиме. Элюент I – вода, элюент II – ацетонитрил; программа элюирования: 0–15 мин 10–30% I в II, 15–80 мин 30–70% I в II, 80–120 мин 70–100% I в II.
Гидролиз. Кислотный гидролиз соединений I–VI в 2 М ТФУ и последующий анализ продуктов гидролиза проводили как описано ранее [12]. Дезацилирование соединений I–VI осуществляли в среде 0.3%-ного NaOH по известной методике [13].
Биологическая активность. Исследование влияния экстрактов листьев и цветков A. foeniculum и индивидуальных соединений на активность моноаминооксидаз (рекомбинантная моноаминооксидаза А и В человека, КФ 1.4.3.4, “Sigma-Aldrich” США) осуществляли с использованием флуориметрического метода [14]. Толоксатон и паргилин применялись в качестве веществ сравнения (“SigmaAldrich”, США). Ингибиторная активность выражалась величиной IC50 (концентрация, вызывающая 50% ингибирование активности фермента) в мкг/мл, которую определяли графически после построения зависимости ингибиторной активности от концентрации.
Высокоэффективная хроматография с диодно-матричным и масс-спектрометрическим детектированием с ионизацией электрораспылением (ВЭЖХ-ДМД-ИЭР-МС). Анализ осуществляли на жидкостном хроматографе LCMS-8050 (“Shimadzu”, Япония), соединенном с диодно-матричным детектором (ДМД) и 3Q-детектором с ионизацией электрораспылением (ИЭР/МС), используя колонку ReproSil-Pur 120 C18-AQ (250 мм × 4,6 мм × 5 мм; “Dr. Maisch GmbH”, Германия). Условия ВЭЖХ: подвижная фаза, элюент A – вода, элюент В – ацетонитрил. Программа градиента – 0–20 мин 2–80% B, 20–30 мин 80–100% B, 30–35 мин 100% B, 35–40 мин 100–2% B; инжектируемый объем – 1 мкл; скорость потока – 1 мл/мин, температура колонки – 30°C; диапазон сканирования спектров поглощения – 200–600 нм. Условия ИЭР/МС: режим ионизации – электрораспыление, положительная ионизация; температура интерфейса ИЭР – 300°C; температура линии десольватации – 250°C; температура нагревательного блока – 400°C; скорость газа-распылителя (N2) – 3 л/мин; скорость газа-нагревателя (воздух) – 10 л/мин; давление газа, используемого для диссоциации, индуцируемой соударением (CID газ, Ar) – 270 кПa; скорость Ar – 0.3 мл/мин; напряжение на капилляре – 3 кВ; диапазон сканирования масс (m/z) 100–1900. Для построения градуировочных графиков серию разведений веществ сравнения (1–100 мкг/мл) хроматографировали в описанных выше условиях трижды для каждой концентрации вещества. По полученным данным строили градуировочные графики в координатах “концентрация, мкг/мл – площадь пика” с применением пакета программ Advanced Grapher ver. 2.2 (“Alentum Software, Inc.”, США).
Статистический анализ проводили с использованием однофакторного дисперсионного анализа (ANOVA). Значимость различий средних определяли с помощью многорангового теста Дункана. Отличия при р < 0.05 считались статистически значимыми. Данные представлены в виде среднего из трех (количественный анализ) и пяти (биологическая активность) определений ± среднеквадратичное отклонение (S.D.).
РЕЗУЛЬТАТЫ И ИХ ОБСУЖДЕНИЕ
Для определения биологически активных компонентов цветков A. foenicilum изопропанольный экстракт (2.64 кг) предварительно обезжиривали хлороформом, после чего фракционировали на полиамиде, что позволило получить фракции, в которых сконцентрированы нефенольные гидрофильные компоненты (фракция ТФЭ-1, 810 г), неацилированные фенольные соединения (фракция ТФЭ-2, 550 г) и фенольные кислоты и ацилированные флавоноиды (фракция ТФЭ-3, 570 г). Фракции, содержание фенольные компоненты подвергали хроматографическому разделению на Сефадексе LH-20, обращено- и нормально-фазовом силикагеле, и очистке с применением ПВЭЖХ. В результате были выделены флавоноиды i–xiv – акацетин 7-О-глюкозид (25 г; i) и акацетин (7 г; ii), лютеолин 7-О-(6''-О-ацетил)-глюкозид (10 мг; iii), апигенин 7-О-(2''-О-ацетил)-глюкозид (25 мг; iv), диосметин 7-О-(6''-О-ацетил)-глюкозид (7.5 г; v), апигенин 7-О-(6''-О-ацетил)-глюкозид (18 г; vi), апигенин 7-О-(3''-О-ацетил)-глюкозид (30 мг; vii), апигенин 7-О-(4''-О-ацетил)-глюкозид (45 мг; viii), акацетин 7-О-(6''-О-малонил)-глюкозид (21 г; ix), акацетин 7-О-(2''-О-ацетил)-глюкозид (40 мг; x), акацетин 7-О-(6''-О-ацетил)-глюкозид (20 г; xi), акацетин 7-О-(2''-О-ацетил-6''-О-малонил)-глюкозид (125 г; xii), акацетин 7-О-(3''-О-ацетил-6''-О-малонил)-глюкозид (1 г; xiii) и лютеолин 7,4'-диметиловый эфир (520 мг; xiv) (рис. 1), а также 6 новых соединений – I (220 г), II (50 мг), III (3.5 г), IV (35 мг), V (5 г) и VI (14 г), идентифицированные по данным спектроскопии УФ, масс-спектрометрии (табл. 1) и ЯМР 1Н (табл. 2) и 13С (табл. 3) [15, 16].
Рис. 1. Строение известных флавоноидов i–xiv, выделенных из A. foenicilum: Ac – ацетил, Mal – малонил.
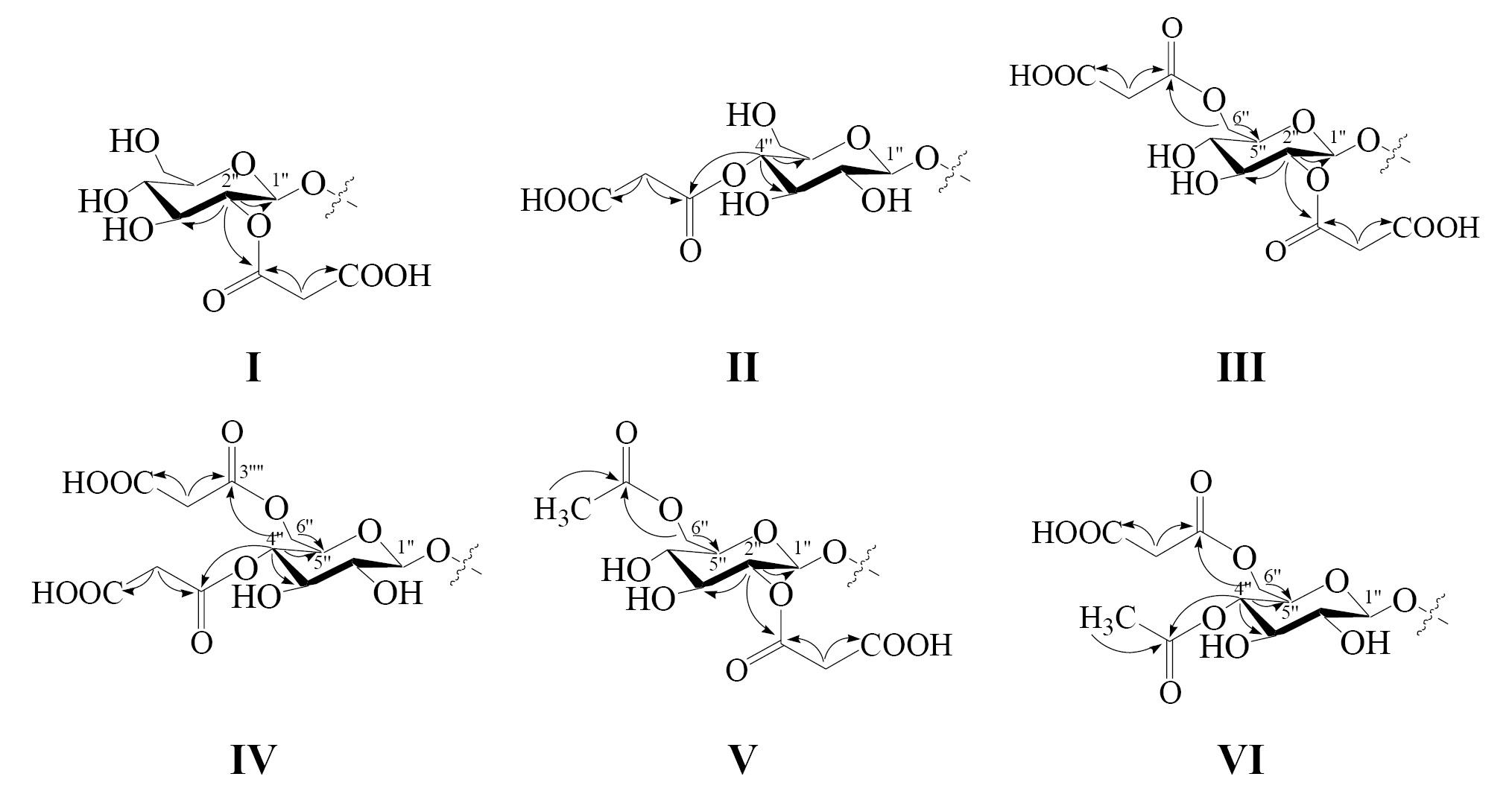
В масс-спектрах соединений I–VI были отмечены ионы, указывающие на присутствие одного (m/z 531 → 445; у I и II) или двух фрагментов малоновой кислоты (m/z 617 → 531, 445; у III и IV), уксусной и малоновой кислот (m/z 573 → 531, 487, 445; у V и VI), а также фрагмента гексозы (m/z 445 → 283; у I–VI) (табл. 1, рис. 2) [18]. Для определения природы агликона и углеводного остатка соединения I–VI подвергали гидролизу в среде 2 М ТФУ, после чего были идентифицированы акацетин (4'-метокси-апигенин) и D-глюкоза в соотношении 1 : 1. Форма УФ-спектров всех соединений указывала на замещение агликона по положению С-7, что характерно для производных акацетин 7-О-глюкозида (тилианина) (табл. 1) [17]. Это было подтверждено результатами щелочного дезацилирования соединений, приводившему к образованию тилианина. Данные спектроскопии ЯМР для всех изученных соединений были близки к таковым тилианина [19], но содержали сигналы, обусловленные влиянием фрагментов малоновой (δН 2.52–2.57; δС 42.0–42.4, 167.5–168.2, 168.7–170.5) и уксусной кислот (δН 2.09–2.11; δС 20.3–20.4, 169.4–169.6) [20] (табл. 2, 3).
Таблица 1. Молекулярная формула, данные УФ и масс-спектров соединений I–VI
№ соед. | Показатель | Значение |
I | Формула | C25H24O13 |
УФ-спектр, λmax, нм | 268, 332 | |
HR-ESI-MS, m/z | 531.431 [M–Н]– (расч. 531.446 для C25H23O13 [M–Н]–) | |
ESI-MS, m/z (%) | 531 (61) [M–Н]–, 445 (100) [(M–Н)–малонил]–, 283 (5) [(M–Н)–малонил–глюкоза]– | |
II | Формула | C25H24O13 |
УФ-спектр, λmax, нм | 267, 332 | |
HR-ESI-MS, m/z | 531.362 [M–Н]– (расч. 531.446 для C25H23O13 [M–Н]–) | |
ESI-MS, m/z (%) | 531 (60) [M–Н]–, 445 (100) [(M–Н)–малонил]–, 283 (2) [(M–Н)–малонил–глюкоза]– | |
III | Формула | C28H26O16 |
УФ-спектр, λmax, нм | 270, 330 | |
HR-ESI-MS, m/z | 617.301 [M–Н]– (расч. 617.492 для C28H25O16 [M–Н]–) | |
ESI-MS, m/z (%) | 617 (72) [M–Н]–, 531 (23) [(M–Н)–малонил]–, 445 (100) [(M–Н)–2×малонил]–, 283 (4) [(M–Н)–2×малонил–глюкоза]– | |
IV | Формула | C27H26O14 |
УФ-спектр, λmax, нм | 269, 333 | |
HR-ESI-MS, m/z | 573.196 [M–Н]– (расч. 573.483 для C27H25O14 [M–Н]–) | |
ESI-MS, m/z (%) | 573 (52) [M–Н]–, 531 (14) [(M–Н)–ацетил]–, 487 (9) [(M–Н)–малонил]–, 445 (100) [(M–Н)–ацетил–малонил]–, 283 (4) [(M–Н)–ацетил–малонил–глюкоза]– | |
V | Формула | C28H26O16 |
УФ-спектр, λmax, нм | 270, 331 | |
HR-ESI-MS, m/z | 617.254 [M–Н]– (расч. 617.492 для C28H25O16 [M–Н]–) | |
ESI-MS, m/z (%) | 617 (70) [M–Н]–, 531 (20) [(M–Н)–малонил]–, 445 (100) [(M–Н) –2×малонил]–, 283 (5) [(M–Н)–2×малонил–глюкоза]– | |
VI | Формула | C27H26O14 |
УФ-спектр, λmax, нм | 269, 332 | |
HR-ESI-MS, m/z | 573.207 [M–Н]– (расч. 573.483 для C27H25O14 [M–Н]–) | |
ESI-MS, m/z (%) | 573 (50) [M–Н]–, 531 (12) [(M–Н)–ацетил]–, 487 (5) [(M–Н)–малонил]–, 445 (100) [(M–Н)–ацетил–малонил]–, 283 (2) [(M–Н)–ацетил–малонил–глюкоза]– |
Рис. 2. Масс-спектры соединений I (а), II (б) и III (в): Ac – ацетил, Mal – малонил.
Таблица 2. Сигналы спектров ЯМР 1Н (500 МГц, ДМСО-d6, 333 K, dH, м.д., J/Гц) соединений I–VI
№ соединения | dH |
I | Акацетин – 6.98 (1H, с; H-3), 6.42 (1H, д, J = 2.0 Гц; H-6), 6.83 (1H, д, J = 2.0 Гц; H-8), 8.11 (2H, д, J = 9.0 Гц; H-2′, H-6′), 7.10 (2H, д, J = 9.0 Гц; H-3′, H-5′), 3.82 (3H, с; 4′-CH3O); 7-O-β-D-глюкопираноза – 5.43 (1H, д, J = 7.6 Гц; H-1′′), 4.89 (1H, м; H-2′′), 3.58 (1H, м; H-3′′), 3.47 (1H, м; H-4′′), 3.53 (1H, м; H-5′′), 3.73 (1H, дд, J = 11.8, 5.2 Гц; H-6′′A), 3.90 (1H, д, J = 11.8 Гц; H-6′′B); 2′′-O-малонил – 2.52 (2H, с; OC-CH2-COOH) |
II | Акацетин – 6.99 (1H, с; H-3), 6.10 (1H, д, J = 1.8 Гц; H-6), 6.80 (1H, д, J = 1.8 Гц; H-8), 8.09 (2H, д, J = 8.9 Гц; H-2′, H-6′), 7.11 (2H, д, J = 8.9 Гц; H-3′, H-5′), 3.85 (3H, с; 4′-CH3O); 7-O-β-D-глюкопираноза – 5.25 (1H, д, J = 7.8 Гц; H-1′′), 3.72 (1H, м; H-2′′), 3.62 (1H, м; H-3′′), 4.73 (1H, м; H-4′′), 3.58 (1H, м; H-5′′), 3.75 (1H, дд, J = 12.0, 5.0 Гц; H-6′′A), 3.94 (1H, д, J = 12.0 Гц; H-6′′B); 4′′-O-малонил– 2.54 (2H, с; OC-CH2-COOH) |
III | Акацетин – 6.96 (1H, с; H-3), 6.40 (1H, д, J = 2.0 Гц; H-6), 6.82 (1H, д, J = 2.0 Гц; H-8), 8.09 (2H, д, J = 9.0 Гц; H-2′, H-6′), 7.08 (2H, д, J = 9.0 Гц; H-3′, H-5′), 3.81 (3H, с; 4′-CH3O); 7-O-β-D-глюкопираноза – 5.45 (1H, д, J = 7.6 Гц; H-1′′), 4.92 (1H, м; H-2′′), 3.57 (1H, м; H-3′′), 3.50 (1H, м; H-4′′), 3.72 (1H, м; H-5′′), 4.35 (1H, дд, J = 11.9, 5.8 Гц; H-6′′A), 4.62 (1H, д, J = 11.9 Гц; H-6′′B); 2′′-O-малонил – 2.52 (2H, с; OC-CH2-COOH); 6′′-O-малонил – 2.57 (2H, с; OC-CH2-COOH) |
IV | Акацетин – 6.95 (1H, с; H-3), 6.42 (1H, д, J = 1.9 Гц; H-6), 6.84 (1H, д, J = 1.9 Гц; H-8), 8.10 (2H, д, J = 9.1 Гц; H-2′, H-6′), 7.12 (2H, д, J = 9.1 Гц; H-3′, H-5′), 3.83 (3H, с; 4′-CH3O); 7-O-β-D-глюкопираноза– 5.47 (1H, д, J = 7.6 Гц; H-1′′), 4.93 (1H, м; H-2′′), 3.55 (1H, м; H-3′′), 3.50 (1H, м; H-4′′), 3.73 (1H, м; H-5′′), 4.30 (1H, дд, J = 12.0, 5.6 Гц; H-6′′A), 4.58 (1H, д, J = 12.0 Гц; H-6′′B); 2′′-O-малонил – 2.52 (2H, с; OC-CH2-COOH); 6′′-O-ацетил – 2.11 (3H, с; OC-CH3) |
V | Акацетин – 6.95 (1H, с; H-3), 6.42 (1H, д, J = 2.1 Гц; H-6), 6.79 (1H, д, J = 2.1 Гц; H-8), 8.12 (2H, д, J = 8.8 Гц; H-2′, H-6′), 7.10 (2H, д, J = 8.8 Гц; H-3′, H-5′), 3.83 (3H, с; 4′-CH3O); 7-O-β-D-глюкопираноза – 5.25 (1H, д, J = 7.5 Гц; H-1′′), 3.70 (1H, м; H-2′′), 3.65 (1H, м; H-3′′), 4.82 (1H, м; H-4′′), 3.76 (1H, м; H-5′′), 4.38 (1H, дд, J = 11.8, 5.7 Гц; H-6′′A), 4.65 (1H, д, J = 11.8 Гц; H-6′′B); 4′′-O-малонил – 2.54 (2H, с; OC-CH2-COOH); 6′′-O-малонил – 2.57 (2H, с; OC-CH2-COOH) |
VI | Акацетин – 6.93 (1H, с; H-3), 6.40 (1H, д, J = 1.9 Гц; H-6), 6.82 (1H, д, J = 1.9 Гц; H-8), 8.14 (2H, д, J = 9.1 Гц; H-2′, H-6′), 7.09 (2H, д, J = 9.1 Гц; H-3′, H-5′), 3.81 (3H, с; 4′-CH3O); 7-O-β-D-глюкопираноза – 5.23 (1H, д, J = 7.8 Гц; H-1′′), 3.69 (1H, м; H-2′′), 3.62 (1H, м; H-3′′), 4.78 (1H, м; H-4′′), 3.79 (1H, м; H-5′′), 4.40 (1H, дд, J = 12.0, 5.7 Гц; H-6′′A), 4.69 (1H, д, J = 12.0 Гц; H-6′′B); 4′′-O-ацетил – 2.09 (3H, с; OC-CH3); 6′′-O-малонил – 2.57 (2H, с; OC-CH2-COOH) |
Таблица 3. Сигналы спектров ЯМР 13C (125 МГц, ДМСО-d6, 330 K, δС, м.д.) соединений I–VI и акацетин 7-О-глюкозида (AG)
С-атом | I | II | III | IV | V | VI | AG |
Акацетин | |||||||
2 | 163.3 | 163.4 | 163.2 | 163.1 | 163.5 | 163.4 | 163.2 |
3 | 103.0 | 103.2 | 103.2 | 103.0 | 103.1 | 103.3 | 103.1 |
4 | 181.9 | 182.0 | 181.8 | 181.8 | 182.1 | 181.8 | 181.8 |
5 | 158.5 | 158.2 | 158.6 | 158.2 | 158.1 | 158.2 | 158.3 |
6 | 99.4 | 99.1 | 99.2 | 99.2 | 99.4 | 99.2 | 99.3 |
7 | 161.9 | 162.0 | 162.1 | 162.0 | 162.2 | 162.1 | 162.0 |
8 | 95.4 | 95.2 | 95.6 | 95.3 | 95.3 | 95.4 | 95.2 |
9 | 156.8 | 156.4 | 156.7 | 156.7 | 156.2 | 156.4 | 156.7 |
10 | 105.4 | 105.1 | 105.2 | 105.4 | 105.4 | 105.3 | 105.2 |
1' | 122.4 | 122.5 | 122.0 | 122.2 | 122.4 | 122.0 | 122.5 |
2', 6' | 128.4 | 128.4 | 128.2 | 128.5 | 128.4 | 128.1 | 128.3 |
3', 5' | 114.4 | 114.2 | 114.4 | 114.6 | 114.5 | 114.4 | 114.0 |
4' | 162.6 | 162.4 | 162.7 | 162.7 | 162.8 | 162.9 | 162.5 |
4'-CH3O | 55.2 | 55.2 | 55.4 | 55.5 | 55.4 | 55.3 | 55.4 |
7-О-β-D-Глюкопираноза | |||||||
1'' | 96.8 | 100.1 | 96.5 | 100.2 | 96.4 | 100.1 | 100.2 |
2'' | 73.5 | 72.7 | 73.4 | 72.5 | 73.2 | 72.4 | 72.8 |
3'' | 73.8 | 76.2 | 73.9 | 76.0 | 73.8 | 75.8 | 77.3 |
4'' | 70.3 | 72.7 | 70.7 | 72.9 | 70.9 | 73.2 | 70.2 |
5'' | 76.2 | 75.1 | 75.3 | 74.8 | 75.0 | 74.7 | 76.4 |
6'' | 60.3 | 60.3 | 64.6 | 64.5 | 65.3 | 64.3 | 60.2 |
Малонил | |||||||
COO | 168.2 | 168.0 | 167.5, 168.1 | 168.0, 168.2 | 168.3 | 167.5 | |
CH2 | 42.0 | 42.2 | 42.0, 42.3 | 42.0, 42.3 | 42.1 | 42.4 | |
COOH | 170.6 | 170.3 | 168.7, 170.5 | 170.2, 170.5 | 170.5 | 168.7 | |
Ацетил | |||||||
CH3 | 20.4 | 20.3 | |||||
COO | 169.4 | 169.6 | |||||
Локализацию ацильных групп определяли по данным одно- и двумерной спектроскопии ЯМР (табл. 2, 3, рис. 3). Сравнительный анализ спектров тилианина и I выявил наличие сдвига в слабое поле сигнала С-2'' глюкозы (δС 72.8 → 72.5) и сильнопольные сдвиги сигналов соседних атомов С-1'' (δС 100.2 → 96.8) и С-3'' (δС 77.3 → 73.8) [15]. В спектре HMBC выявлены корреляции между сигналами Н-2'' (δН 4.89) и малонильным карбонилом (δС 168.2), что указывало на наличие замещения по положению С-2'' глюкозы и позволило описать строение I, как акацетин 7-О-(2''-О-малонил)-β-D-глюкопиранозида. У флавона II отмечены сдвиги в слабое поле сигнала С-4'' глюкозы (δС 70.2 → 72.7), а в спектре HMBC присутствовали корреляции между Н-4'' (δН 4.73) и малонильным карбонилом (δС 168.0), что возможно для акацетин 7-О-(4''-О-малонил)-β-D-глюкопиранозида. Ранее имелись сведения только об одном малонате тилианина – акацетин 7-О-(6''-О-малонил)-глюкозиде, выделенном из травы A. rugosa полностью [15].
Рис. 3. Строение углеводных фрагментов новых гликозидов акацетина I–VI. Стрелками указаны ключевые корреляции в спектрах HMBC.
Дималонильные эфиры тилианина III и IV представляли собой акацетин 7-О-(2'',6''-ди-О-малонил)-β-D-глюкопиранозид и акацетин 7-О-(4'',6''-ди-О-малонил)-β-D-глюкопиранозид соответственно. На это указывали сдвиги в слабое поле сигналов С-2'' (δС 72.8 → 73.4) и С-6'' (δС 60.2 → 64.6) у III и С-4'' (δС 70.2 → 72.9) и С-6'' (δС 60.2 → 64.5) у IV [21], а также взаимные корреляции в спектрах HMBC. Данные о природных или синтетических дималонатах тилианина отсутствуют.
Два ацетат-малоната тилианина были идентифицированы как акацетин 7-О-(2''-О-малонил-6''-О-ацетил)-β-D-глюкопиранозид (V) и акацетин 7-О-(4''-О-ацетил-6''-О-малонил)-β-D-глюкопиранозид (VI) на основании сдвигов в слабое поле сигналов С-2'' (δС 72.8 → 73.2) и С-6'' (δС 60.2 → 65.3) у V и С-4'' (δС 70.2 → 73.2) и С-6'' (δС 60.2 → 64.3) у VI и данных спектров HMBC. Известные ацетил-малонил тилианины – акацетин 7-О-(2''-О-ацетил-6''-О-малонил)-глюкозид и акацетин 7-О-(3''-О-ацетил-6''-О-малонил)-глюкозид, были обнаружены ранее только в A. rugosa [15]. Новым соединениям были даны названия агастозид А (I), В (II), C (III), D (IV), E (V) и F (VI).
Дополнительные сведения о компонентах A. foenicilum были получены в ходе ВЭЖХ-ДМД-ИЭР-МС профилирования экстрактов из цветков и листьев данного растения (рис. 4). В результате было установлено присутствие 40 соединений, в том числе 35 – в цветках и 34 – в листьях (табл. 4). Кроме выделенных флавоноидов в цветках A. foenicilum после сравнения спектральных данных с таковыми известных веществ было установлено присутствие 8 производных кофейной кислоты, включая 3-О- (5), 4-О- (1), 5-О- (4), 3,4-ди-О- (14), 3,5-ди-О- (17), 4,5-ди-О-кофеилхинные кислоты (20), розмариновую кислоту (12) и литоспермовую кислоту В (18), а также апигенин 7-О-глюкозида (7) и нарингенин 7-О-глюкозида (9).
Рис. 4. Хроматограмма (ВЭЖХ-ДМД, λ = 330 нм) экстракта цветков A. foenicilum и спектр поглощения гликозидов акацетина (на врезке). Номера соединений указаны как в табл. 4.
Природа пяти соединений (26, 31, 32, 36, 39) была установлена предварительно на основании УФ- и масс-спектральных данных в виде ацилированных гликозидов тилианина. Соединение 26 давало депротонированный ион с m/z 531, последовательно распадавшийся до ионов с m/z 445 и 283, что характерно для моно-малонатов тилианина [15]. Из четырех возможных эфиров тилианина с замещением по положениям С-2'', С-3'', С-4'' и С-6'', присутствие трех уже установлено в A. foenicilum (2''-О-малонил 23, 4''-О-малонил 27, 6''-О-малонил 24), что указывало на наиболее вероятное строение 26 в виде пока не охарактеризованного 3''-О-малонильного эфира тилианина.
Четыре изомерных флавона 31, 32, 36 и 39 были идентифицированы как тилианин ди-О-малонаты, так как масс-спектры содержали набор ионов с m/z 617, 531, 445 и 283, сходный с таковым у соединений 28 и 33. Из шести возможных соединений, замещенных по С-2'',3''; С-2'',4''; С-2'',6''; С-3'',4''; С-3'',6'' и С-4'',6'', известны лишь акацетин 7-О-(2'',6''-ди-О-малонил)-глюкозид (28) и акацетин 7-О-(4'',6''-ди-О-малонил)-глюкозид (33), описанные в данной работе, что указывает на существование еще четырех новых изомерных флавоноидов.
Хроматографический профиль листьев A. foenicilum был близок к таковому цветков, но отличался присутствием 2-О- (2) и 3-О-кофеилтреоновых кислот (3), лютеолин 7-О-глюкозида (6) и двух его моноацетатов 10 и 11, а также отсутствием минорных флавонов 7, 9, 31, 32, 36 и 39. Ранее в экстрактах травы A. foenicilum, культивируемой в Румынии, были обнаружены 5-О-кофеилхинная кислота (4), лютеолин 7-О-глюкозид (6), апигенин 7-О-глюкозид (7) и розмариновая кислота (12) [21], следовательно 36 соединений (1–3, 5, 8–11, 13–40) обнаружены впервые у этого вида. Флавоноиды 15, 22, 24, 25, 29, 34 и 35 были описаны как компоненты A. rugosa и A. mexicana первый раз полностью, т.к. другой вид [7] в отличие от 29 оставшихся фенольных соединений (1–3, 5, 8–11, 13, 14, 16–22, 23, 26–28, 30–33, 36–40), впервые выявленных у представителей рода Agastache.
Данные количественного анализа свидетельствовали о том, что содержание флавоноидов в цветках A. foenicilum (102.18 мг/г) в 4.7 раза выше такового в листьях (21.58 мг/г) (табл. 4). На долю производных акацетина приходилось 94% от идентифицированных флавоноидов цветков (96.32 мг/г) и 82% от флавоноидов листьев (21.58 мг/г). Основными флавонами цветков были агастозид А (39.26 мг/г) и акацетин 7-О-(2''-О-ацетил-6''-О-малонил)-глюкозид (38.20 мг/г), а в листьях – агастозид А (10.49 мг/г). Концентрация производных кофейной кислоты составила 57.62 и 33.43 мг/г соответственно в цветках и листьях, в то время как общее содержание идентифицированных фенольных соединений было 159.80 мг/г в цветках и 55.01 мг/г в листьях, что значительно выше такового для Европейских сортов A. foenicilum (2.2–2.8 мг/г) [22].
Таблица 4. Хроматографическая подвижность (tR), молекулярная формула, данные масс-спектров (ИЭР-МС) соединений 1–40 из A. foeniculum и их содержание в растительном сырье
№ | tR, мин | Соединение | Формула | УИа | ИЭР-МС, m/z | Содержание ± S.D., мг/г б | ||
[M+H]+ | дополнительные ионы | в цветках | в листьях | |||||
1 | 9.29 | 4-О-Кофеилхинная кислота | C16H18O9 | 1а | 353 | + | + | |
2 | 10.21 | 2-О-Кофеилтреоновая кислота | C13H14O8 | 1а | 297 | – | + | |
3 | 11.08 | 3-О-Кофеилтреоновая кислота | C13H14O8 | 1а | 297 | – | + | |
4 | 11.55 | 5-О-Кофеилхинная кислота | C16H18O9 | 1а | 353 | 9.37 ± 0.18 | 2.86 ± 0.05 | |
5 | 11.92 | 3-О-Кофеилхинная кислота | C16H18O9 | 1а | 353 | 1.93 ± 0.03 | 2.03 ± 0.04 | |
6 | 16.09 | Лютеолин 7-О-глюкозид (цинарозид) | C21H20O11 | 1а | 447 | 285 | – | + |
7 | 17.20 | Апигенин 7-О-глюкозид (космосиин) | C21H20O10 | 1а | 431 | 269 | + | – |
8 | 17.48 | Лютеолин 7-О-(6′′-О-ацетил)-глюкозид | C23H22O12 | 1б | 489 | 447, 285 | + | 1.58 ± 0.03 |
9 | 18.15 | Нарингенин 7-О-глюкозид (прунин) | C21H22O10 | 1а | 433 | 271 | + | – |
10 | 18.20 | Лютеолин 7-О-(X′′-О-ацетил)-глюкозидв | C23H22O12 | 2 | 489 | 447, 285 | – | + |
11 | 18.43 | Лютеолин 7-О-(X′′-О-ацетил)-глюкозидв | C23H22O12 | 2 | 489 | 447, 285 | – | + |
12 | 18.54 | Розмариновая кислота | C18H16O8 | 1а | 359 | 15.69 ± 0.31 | 26.73 ± 0.54 | |
13 | 19.21 | Апигенин 7-О-(2′′-О-ацетил)-глюкозид | C23H22O11 | 1б | 473 | 431, 269 | + | + |
14 | 19.65 | 3,4-Ди-О-кофеилхинная кислота | C25H24O12 | 1а | 515 | 355 | + | + |
15 | 19.81 | Диосметин 7-О-(6''-О-ацетил)-глюкозид | C24H24O12 | 1б | 547 | 461, 299, 285 | 1.85 ± 0.03 | 1.88 ± 0.03 |
16 | 20.04 | Апигенин 7-О-(6''-О-ацетил)-глюкозид | C23H22O11 | 1б | 473 | 431, 269 | 3.75 ± 0.07 | 0.27 ± 0.00 |
17 | 20.13 | 3,5-Ди-О-кофеилхинная кислота | C25H24O12 | 1а | 515 | 355 | + | + |
18 | 20.70 | Литоспермовая кислота В | C36H30O16 | 1а | 717 | 519 | 30.63 ± 0.62 | 1.81 ± 0.03 |
19 | 20.76 | Апигенин 7-О-(3''-О-ацетил)-глюкозид | C23H22O11 | 1б | 473 | 431, 269 | + | + |
20 | 20.81 | 4,5-Ди-О-кофеилхинная кислота | C25H24O12 | 1а | 515 | 355 | + | + |
21 | 21.98 | Апигенин 7-О-(4''-О-ацетил)-глюкозид | C23H22O11 | 1б | 473 | 431, 269 | + | + |
22 | 22.37 | Акацетин 7-О-глюкозид (тилианин) | C22H22O10 | 1б | 445 | 283 | 4.12 ± 0.08 | 0.68 ± 0.01 |
23 | 23.94 | Акацетин 7-О-(2''-О-малонил)-глюкозид (агастозид А) | C25H24O13 | 1б | 531 | 445, 283 | 39.26 ± 0.79 | 10.49 ± 0.21 |
24 | 24.59 | Акацетин 7-О-(6''-О-малонил)-глюкозид | C25H24O13 | 1б | 531 | 445, 283 | 3.76 ± 0.07 | 0.08 ± 0.00 |
25 | 24.75 | Акацетин 7-О-(2''-О-ацетил)-глюкозид (изоагастахозид) | C24H24O11 | 1б | 487 | 445, 283 | + | + |
26 | 24.87 | Акацетин 7-О-(X''-О-малонил)-глюкозид | C25H24O13 | 2 | 531 | 445, 283 | + | 0.95 ± 0.02 |
27 | 25.00 | Акацетин 7-О-(4''-О-малонил)-глюкозид (агастозид B) | C25H24O13 | 1б | 531 | 445, 283 | + | 0.23 ± 0.00 |
№ | tR, мин | Соединение | Формула | УИа | ИЭР-МС, m/z | Содержание ± S.D., мг/г б | ||
[M+H]+ | дополнительные ионы | в цветках | в листьях | |||||
28 | 25.08 | Акацетин 7-О-(2'',6''-ди-О-малонил)-глюкозид (агастозид C) | C28H26O16 | 1б | 617 | 531, 445, 283 | 1.05± 0.02 | 0.87± 0.02 |
30 | 25.55 | Акацетин 7-О-(2''-О-малонил-6''-О-ацетил)-глюкозид (агастозид E) | C27H26O14 | 1б | 573 | 531, 487, 445, 283 | 1.45 ± 0.03 | 0.10 ± 0.00 |
31 | 25.59 | Акацетин 7-О-(X'',Y''-ди-О-малонил)-глюкозидв | C28H26O16 | 2 | 617 | 531, 445, 283 | + | + |
32 | 25.70 | Акацетин 7-О-(X'',Y''-ди-О-малонил)-глюкозидв | C28H26O16 | 2 | 617 | 531, 445, 283 | + | – |
33 | 26.03 | Акацетин 7-О-(4'',6''-ди-О-малонил)-глюкозид (агастозид D) | C28H26O16 | 1б | 617 | 531, 445, 283 | + | – |
34 | 26.10 | Акацетин 7-О-(2''-О-ацетил-6''-О-малонил)-глюкозид | C27H26O14 | 1б | 573 | 531, 487, 445, 283 | 38.20 ± 0.79 | 3.75 ± 0.07 |
35 | 26.40 | Акацетин 7-О-(3''-О-ацетил-6''-О-малонил)-глюкозид | C27H26O14 | 1б | 573 | 531, 487, 445, 283 | 0.34 ± 0.00 | 0.36 ± 0.00 |
36 | 26.44 | Акацетин 7-О-(X'',Y''-ди-О-малонил)-глюкозидв | C28H26O16 | 2 | 617 | 531, 445, 283 | + | – |
37 | 26.62 | Лютеолин 7,4'-диметиловый эфир | C17H14O6 | 1б | 313 | 299, 285 | 0.26 ± 0.00 | + |
38 | 26.85 | Акацетин 7-О-(4''-О-ацетил-6''-О-малонил)-глюкозид (агастозид F) | C27H26O14 | 1б | 573 | 531, 487, 445, 283 | 3.32 ± 0.07 | 0.34 ± 0.00 |
39 | 26.91 | Акацетин 7-О-(X'',Y''-ди-О-малонил)-глюкозидв | C28H26O16 | 2 | 617 | 531, 445, 283 | + | – |
40 | 27.65 | Акацетин | C16H12O5 | 1б | 283 | 269 | 1.29 ± 0.02 | + |
Суммарное содержание: | ||||||||
- производных кофейной кислоты | 57.62 | 33.43 | ||||||
- производных лютеолина | 0.26 | 1.58 | ||||||
- производных апигенина | 3.75 | 0.27 | ||||||
- производных диосметина | 1.85 | 1.88 | ||||||
- производных акацетина | 96.32 | 17.85 | ||||||
- флавоноидов | 102.18 | 21.58 | ||||||
- фенольных соединений | 159.80 | 55.01 | ||||||
а Уровень идентификации: (1а) идентифицированное соединение после анализа данных УФ, масс-спектрометрии в сравнении с известным веществом; (1б) идентифицированное соединение после выделения и анализа данных УФ, ЯМР спектроскопии и масс-спектрометрии; (2) предположительно охарактеризованные соединения после сравнения данных УФ и масс-спектров с таковыми из литературы.б В пересчете на воздушно-сухую массу.в Символы X'' и Y'' указывают на то, что положение заместителей не определено.
Анализ биологической активности препаратов из A. foenicilum выявил, что экстракт цветков оказывал выраженное ингибиторное действие на МАО-А и МАО-В в дозе 50 мкг/мл (63.7% и 75.4% соответственно), в то время как экстракт листьев демонстрировал меньшую эффективность ингибирования ферментов (10.3% и 15.8%).
Исследование влияния различных флавоноидов A. foenicilum на активность МАО-А и МАО-В показало, что неацилированные 7-О-глюкозиды флавоноидов демонстрировали либо слабую выраженность действия на ферменты (лютеолин 7-О-глюкозид) либо были неэффективны (гликозиды акацетина, апигенина, нарингенина и диосметина) (табл. 5). Наличие ацетильной группы в составе углеводного фрагмента молекулы по положениям С-4'' и С-6'' приводило к значительному возрастанию способности соединений ингибировать ферменты (МАО-А/МАО-В: гликозиды акацетина 3.89/3.44 мкМ, гликозиды апигенина 3.52–3.87/3.31–3.53 мкМ, гликозиды лютеолина 2.83/2.97 мкМ). Присутствие заместителя у С-2'' и С-3'' глюкозы не влияло на активность соединения. Сходный паттерн в проявлении активности был отмечен при введении с молекулу флавонов фрагмента малоновой кислоты, причем 4''-О-малонаты были более эффективными ингибиторами, чем 6''-О-малонаты. Агастозид В (акацетин 7-О-(4''-О-малонил)-глюкозид; 1.53 мкМ) оказывал большее ингибиторное влияние на активность МАО-А, чем вещество сравнения толоксатон (1.78 мкМ). Диацилированные гликозиды также ингибировали МАО-А и МАО-В, причем 2'',6''- и 3'',6''-дизамещенные гликозиды были менее эффективными, чем соединения с 4'',6''-типом замещения. Так активность агастозида F (акацетин 7-О-(4''-О-ацетил-6''-О-малонил)-глюкозид) и D (акацетин 7-О-(4'',6''-ди-О-малонил)-глюкозид) в отношении МАО-А/МАО-В составила 1.95/1.63 и 1.58/1.30 мкМ соответственно. Ранее было показано, что присутствие малонильной группы у О-гликозилфлавонов по положению С-6'' может приводить к образованию водородных связей между ацильным фрагментом и участками молекулы ферментов (Cys172 и Ile477 у МАО-В) [5]. В настоящей работе впервые показано, что 4''-О-малонаты флавоноидов являются более активными ингибиторами МАО-А и МАО-В, чем их 6''-О-замещенные аналоги.
Таблица 5. Показатель 50%-ого ингибирования МАО-А и МАО-В флавоноидами (гликозидами акацетина, апигенина, лютеолина) из A. foeniculum, IC50 ± S.D., мкМ*
Углеводный фрагмент | Агликон | |||||
акацетин | апигенин | лютеолин | ||||
МАО-А | МАО-В | МАО-А | МАО-В | МАО-А | МАО-В | |
7-О-Glc | > 50 | > 50 | > 50 | > 50 | 12.8 ± 0.9† | 10.7 ± 0.8†† |
7-О-(2''-O-Ac)-Glc | > 50 | > 50 | > 50 | > 50 | – | – |
7-О-(3''-O-Ac)-Glc | – | – | > 50 | > 50 | – | – |
7-О-(4''-O-Ac)-Glc | – | – | 3.87 ± 0.24† | 3.53 ± 0.23†† | – | – |
7-О-(6''-O-Ac)-Glc | 3.89 ± 0.29† | 3.44 ± 0.25†† | 3.52 ± 0.21† | 3.31 ± 0.22†† | 2.83 ± 0.22† | 2.97 ± 0.21†† |
7-О-(2''-O-Mal)-Glc | > 50 | > 50 | – | – | – | – |
7-О-(4''-O-Mal)-Glc | 1.53 ± 0.11† | 1.48 ± 0.10†† | – | – | – | – |
7-О-(6''-O-Mal)-Glc | 2.30 ± 0.17† | 1.75 ± 0.12†† | – | – | – | – |
7-О-(2''-O-Ac-6''-O-Mal)-Glc | 2.35 ± 0.18† | 1.96 ± 0.15†† | – | – | – | – |
7-О-(3''-O-Ac-6''-O-Mal)-Glc | 2.37 ± 0.18† | 1.90 ± 0.15†† | – | – | – | – |
7-О-(4''-O-Ac-6''-O-Mal)-Glc | 1.95 ± 0.14 | 1.63 ± 0.11†† | – | – | – | – |
7-О-(2''-O-Mal-6''-O-Ac)-Glc | 3.95 ± 0.31† | 3.59 ± 0.27†† | – | – | – | – |
7-О-(2'',6''-O-Mal2)-Glc | 2.79 ± 0.19 | 2.56 ± 0.21†† | – | – | – | – |
7-О-(4'',6''-O-Mal2)-Glc | 1.58 ± 0.09† | 1.30 ± 0.09†† | – | – | – | – |
* Вещества сравнения: толоксатон – IC50 МАО-А 1.78 ± 0.08 мкМ; паргилин – IC50МАО-В 0.15 ± 0.01 мкМ. Отличия достоверны в сравнении с показателями веществ сравнения († – толоксазон, †† – паргилин).
Учитывая высокое содержание ацилированных производных тилианина у A. foenicilum можно высказать предположение, что присутствие именно этой группы соединений в экстрактах растения объясняет их способность ингибировать МАО. Дополнительно было изучено влияние некоторых нефлавоноидных соединений, обнаруженных в высоких концентрациях в A. foenicilum, на активность МАО-А и МАО-В и установлено, что розмариновая кислота, литоспермовая кислота В и 5-О-кофеилхинная кислота проявляли низкую выраженность действия (IC50 > 50 мкМ).
Таким образом, проведенные исследования показали, что A. foenicilum является источником различных фенольных соединений, включая производные кофейной кислоты и флавоноиды. Среди последних особое внимание заслуживают ацилированные гликозиды акацетина, которые обладают способностью ингибировать активность МАО-А и МАО-В и могут рассматриваться как перспективные кандидаты для создания новых лекарственных средств.
ФИНАНСИРОВАНИЕ. Исследование выполнено при поддержке Министерства науки и высшего образования Российской Федерации в рамках научного проекта FWSM-2021-0005 (№121030100227-7).
СОБЛЮДЕНИЕ ЭТИЧЕСКИХ СТАНДАРТОВ. В данной работе отсутствуют исследования человека или животных.
КОНФЛИКТ ИНТЕРЕСОВ. Авторы данной работы заявляют, что у них нет конфликта интересов.
About the authors
D. N. Olennikov
Institute of General and Experimental Biology SB RAS
Author for correspondence.
Email: olennikovdn@mail.ru
Russian Federation, Ulan-Ude, 670047
N. I. Kashchenko
Institute of General and Experimental Biology SB RAS
Email: olennikovdn@mail.ru
Russian Federation, Ulan-Ude, 670047
References
- Lamptey R.N.L., Chaulagain B., Trivedi R., Gothwal A., Layek B., Singh J. // Int. J. Mol. Sci. 2022. V. 23. № 1851. https://doi.org/10.3390/ijms23031851
- Youdim M.B.H., Edmondson D., Tipton K.F.// Nature Rev. Neurosci. 2006. V. 7. P. 295–309. https://doi.org/10.1038/nrn1883
- Dhiman P., Malik N., Sobarzo-Sánchez E., Uriarte E., Khatkar A. // Molecules. 2019. V. 24. № 418. https://doi.org/10.3390/molecules24030418
- Chaurasiya N.D., Midiwo J., Pandey P., Bwire R.N., Doerksen R.J., Muhammad I., Tekwani B.L. // Molecules. 2020. V. 25. № 5358. https://doi.org/10.3390/molecules25225358
- Lee H.W., Ryu H.W., Baek S.C., Kang M.-G., Park D., Han H.-Y., Kim H. // Int. J. Biol. Macromol. 2017. V. 104. P. 547–553. https://doi.org/10.1016/j.ijbiomac.2017.06.076
- Абрамчук А.В., Карпухин М.Ю. // Аграрный вестник Урала. 2017. № 2. С. 6–9.
- Nechita M.-A., Toiu A., Benedec D., Hanganu D., Ielciu I., Oniga O., Nechita V.-I., Oniga I. // Plants. 2023. V. 12. № 2937. https://doi.org/10.3390/plants12162937
- Vogelmann J.E. // Biochem. Syst. Ecol. 1984. V. 12. P. 363–366. https://doi.org/10.1016/0305-1978(84)90067-X
- Чумакова В.В., Попова О.И., Чумакова В.В. // Растит. ресурсы. 2011. Т. 47. С. 51–55.
- Olennikov D.N., Kashchenko N.I. // Agronomy. 2023. V. 13. № 2410. https://doi.org/10.3390/agronomy13092410
- Olennikov D.N. // Separations. 2023. V. 10. № 255. https://doi.org/10.3390/separations10040255
- Olennikov D.N., Kashchenko N.I. // Appl. Biochem. Microbiol. 2023. V. 59. P. 530–538. https://doi.org/10.1134/S0003683823040099
- Olennikov D.N., Chirikova N.K. // Chem. Nat. Compd. 2019. V. 55. P. 1032–1038. https://doi.org/10.1007/s10600-019-02887-1
- Olennikov D.N. // Chem. Nat. Compd. 2022. V. 58. P. 816–821. https://doi.org/10.1007/s10600-022-03805-8
- Seo Y.H., Kang S.-Y., Shin J.-S., Ryu S.M., Lee A.Y., Choi G., Lee J. // J. Nat. Prod. 2019. V. 82. P. 3379–3385. https://doi.org/10.1021/acs.jnatprod.9b00697
- Park S., Kim N., Yoo G., Kim Y., Lee T.H., Kim S.Y., Kim S.H. // Biochem. Syst. Ecol. 2016. V. 67. P. 17–21. https://doi.org/10.1016/j.bse.2016.05.019
- Mizuno T., Seto H., Nakane T., Murai Y., Tatsuzawa F., Iwashina T. // Bull. Natl. Mus. Nat. Sci. B. 2023. V. 49. P. 57–64. https://doi.org/10.50826/bnmnsbot.49.2_57
- Kachlicki P., Piasecka A., Stobiecki M., Marczak Ł. // Molecules. 2016. V. 21. № 1494. https://doi.org/10.3390/molecules21111494
- Itokawa H., Suto K., Takeya K. // Chem. Pharm. Bull. 1981. V. 29. P. 1777–1779. https://doi.org/10.1248/cpb.29.1777
- Olennikov D.N., Kashchenko N.I. // Chem. Nat. Comp. 2016. V. 52. P. 996–999. https://doi.org/10.1007/s10600-016-1845-7
- Norazhar A.I., Lee S.Y., Faudzi S.M.M., Shaari K. // Appl. Sci. 2021. V. 11. № 3526. https://doi.org/10.3390/app11083526
- Duda S.C., Marghitas L.A., Dezmirean D., Duda M., Margaoan R., Bobis O. // Ind. Crops Prod. 2015. V. 77. P. 499–507. https://doi.org/10.1016/j.indcrop.2015.09.045
Supplementary files





