Гранитоидные интрузии на краю Курского блока как часть палеопротерозойской кислой крупной изверженной провинции Восточной Сарматии
- Авторы: Савко К.А.1,2, Самсонов А.В.2, Кориш Е.Х.1, Ларионов А.Н.3, Сальникова Е.Б.4, Иванова А.А.4, Базиков Н.С.1, Цыбуляев С.В.1, Червяковская М.В.5
-
Учреждения:
- Воронежский государственный университет
- Институт геологии рудных месторождений, петрографии, минералогии и геохимии РАН
- Центр изотопных исследований Всероссийского геологического института им. А.П. Карпинского
- Институт геологии и геохронологии докембрия РАН
- Институт геологии и геохимии им. А.Н. Заварицкого УО РАН
- Выпуск: Том 32, № 6 (2024)
- Страницы: 647-678
- Раздел: Статьи
- URL: https://medbiosci.ru/0869-5903/article/view/272197
- DOI: https://doi.org/10.31857/S0869590324060018
- EDN: https://elibrary.ru/acofbl
- ID: 272197
Цитировать
Полный текст
Аннотация
На восточной окраине архейского Курского блока Сарматии широко проявлен палеопротерозойский диорит-гранодиоритовый магматизм с возрастом 2.04–2.08 млрд лет. Гранитоиды интрузивных массивов являются метаглиноземистыми известково-щелочными породами I-типа, обогащены несовместимыми элементами (LILE и LREE), с отрицательными Ti-, P- и Nb-аномалиями. Они характеризуются широким диапазоном отрицательных значений εNd(T) в породах и εHf(T) в цирконах и глубин зарождения расплавов с гетерогенными архейскими нижнекоровыми базитовыми источниками. Наиболее низкорадиогенные древние коровые источники имеют диориты. Гранодиориты имеют палео- и мезоархейские и более ювенильные неоархейские источники. Причиной интенсивного магматизма с возрастом около 2.06 млрд лет был подъем астеносферной мантии при разрушении пододвинутой океанической плиты в результате пологой субдукции. Ее разрушение и мафический андерплэйтинг привели к внутрикоровому плавлению в верхней плите, состоящей из спаянных в результате предшествовавшей аккреции разновозрастных фрагментов архейской и палеопротерозойской коры. Диорит-гранодиоритовые магмы образовались в разноглубинных очагах плавления в древней архейской коре на окраине Курского блока с вовлечением в источники расплавов фрагментов палеопротерозойской литосферы Восточно-Сарматского орогена.
Ключевые слова
Полный текст
ВВЕДЕНИЕ
Роль тектоники литосферных плит в раннем докембрии обсуждается уже многие десятилетия, но до сих пор остается предметом острых дискуссий (Cawood et al., 2018). Большинство исследователей согласны, что тектоника литосферных плит, близкая к фанерозойской, начала действовать во второй половине палеопротерозоя. Это нашло отражение в международной шкале геологического времени, в которой выделена оросирианская эра (2050–1800 млн лет) (Shields et al., 2021), отражающая глобальные орогенические события в период формирования первого в истории Земли суперконтинента Колумбия/Нуна. Орогены этого периода известны в составе всех раннедокембрийских кратонов, и их изучение дает обширную информацию об особенностях тектоники, магматизма, осадконакопления и метаморфизма в конвергентных обстановках палеопротерозойского времени. Наряду с очевидным прогрессом, детализация исследований палеопротерозойских орогенов ставит все новые вопросы о их строении и эволюции, продвигая наши исследования и знания о ранней истории Земли. Одним из примеров этого служит крупный палеопротерозойский Волго-Донской ороген, который выделен между Сарматским и Волго-Уральским архейскими мегаблоками на юге Восточно-Европейского кратона (Bogdanova et al., 2006). Детально изученная западная часть этого орогена, известная как Восточно-Сарматский ороген (Щипанский и др., 2007) или Восточно-Сарматский составной террейн (Erofeeva et al., 2024), включает обширный Воронцовский террейн, отделяющий Сарматию от Волго-Уралии, Лосевский и Донской террейны в непосредственном обрамлении Сарматии, и Тимской террейн, расположенный на краю архейского Курского блока Сарматии (рис. 1).
Рис. 1. Схематическая геологическая карта Воронежского кристаллического массива. Схема расположения сегментов Восточно-Европейского кратона (Gorbatschev, Bogdanova, 1993).
Воронцовский террейн занимает восточную часть Восточно-Сарматского орогена и сложен ювенильными палеопротерозойскими флишевыми терригенными метаосадками воронцовской серии с возрастом 2.1–2.2 млрд лет (Савко и др., 2011; Terentiev, Santosh, 2016), которые рассматриваются как аккреционная призма, сформированная при разрушении островодужных построек смежного Лосевского террейна (Щипанский и др., 2007). Среди метаосадков Воронцовского террейна встречаются многочисленные посттектонические интрузии базитов и гранитоидов с возрастом 2.05–2.07 млрд лет и высокорадиогенным изотопным составом неодима, которые описаны в составе еланского, мамонского и бобровского комплексов и связываются с постколлизионным растяжением литосферы (Савко и др., 2014а; Терентьев, Савко, 2016; Terentiev et al., 2016a).
В Лосевском террейне преобладают осадочно-вулканогенные комплексы с возрастом 2.12–2.17 млрд лет, которые интерпретируются как система континентальных или аккретированных океанических вулканических дуг на восточной окраине Сарматии (Щипанский и др., 2007; Terentiev et al., 2017). Их прорывают и мигматизируют ювенильные гранитоиды I-типа усманского комплекса с возрастом 2.06–2.08 млрд лет, для которых предполагается как коллизионная, так и постколлизионная обстановки (Щипанский и др., 2007; Terentiev et al., 2016b).
Донской террейн слагают огромные гранитоидные батолиты павловского комплекса с возрастом 2.06–2.08 млрд лет, превышающие по площади 2000 км2 и протягивающиеся на расстояние более 330 км c резко подчиненным количеством метаосадков. Согласно Sm-Nd изотопно-геохимическим данным, гранитоидные магмы образовались за счет как архейских, так и палеопротерозойских источников, и их формирование связывается с обстановками либо активной окраины (Щипанский и др., 2007), либо с постколлизионным распадом орогена (Петракова и др., 2022; Terentiev et al., 2020).
Тимской террейн включает одноименную рифтогенную структуру и ее восточное обрамление и располагается на краю Курского блока. Долгое время Тимская структура рассматривалась как внутриконтинентальный рифт (Савко и др., 2017), а в последние годы интерпретируется как задуговый бассейн, сформированный около 2.1 млрд лет назад (Цыбуляев и др., 2021). Отличительной особенностью Тимского террейна является разнообразие интрузивных комплексов с возрастом около 2.06 млрд лет, включая габброиды (Альбеков и др., 2012; Савко и др., 2022), карбонатит-щелочно-ультраосновные массивы (Савко и др., 2024; Savko et al., 2023) и широко развитые и разнообразные по составу гранитоиды (Савко и др., 2014б), данные по которым на сегодня очень ограничены.
По составу и взаимному расположению близких по возрасту террейнов, представленных последовательно (с востока на запад) комплексами аккреционной осадочной призмы, аккретированных островных дуг и активной окраины и задугового бассейна, Восточно-Сарматский ороген достаточно аргументированно рассматривается как полный аналог фанерозойских аккреционных или коллизионных орогенов (Щипанский и др., 2007; Shchipansky, Kheraskova, 2023). Диссонанс в эту, казалось бы, стройную и логичную тектоническую модель вносят широко распространенные кислые магматические комплексы, которые представлены во всех террейнах, имеют близкую геолого-структурную посттектоническую позицию по отношению к супракрустальным комплексам и близкие изотопные возрасты около 2.06 млрд лет, но отличаются по составу, изотопно-геохимическим характеристикам, и рассматриваются разными исследователями в привязке к разным тектоническим обстановкам.
Мы провели детальное геохронологическое и петрологическое изучение гранитоидов стойло-николаевского комплекса Тимского террейна. Полученные данные расширяют список интрузивного магматизма (~2.06 млрд лет) в Восточной Сарматии и привлекаются для обсуждения различных возможных сценариев этого масштабного магматического события.
Впервые гранодиориты и диориты в Тимском террейне были объединены в стойло-николаевский комплекс Н.И. Голивкиным в 1962 г. (Голивкин, 1962). Разные исследователи включали в состав стойло-николаевского комплекса и основные интрузивные породы (Крестин, Леоненко, 1978; Чернышов и др., 1983). Считалось, что все интрузивные породы Тимского террейна от кислого до основного состава образовались из одного магматического очага, а их разнообразие обусловлено многократностью внедрения продуктов дифференциации магмы (Голивкин, 1962). Основные интрузии изолированы от гранодиоритовых, тем не менее, предполагалось, что диориты и гранодиориты являются производными ассимиляции метаосадочных пород базальтовой магмой в промежуточных очагах (Крестин, Леоненко, 1978). Кроме того, существовала точка зрения, что на рубеже 2.1 млрд лет назад в результате столкновения Сарматии и Волго-Уралии произошло закрытие рифтов Курского блока. В условиях сжатия возникли внутрикоровые зоны плавления, и в результате коллизии сформировались гранитоиды стойло-николаевского комплекса (Холин, 2001). Однако все эти гипотезы имели слабое фактурное обоснование.
Изотопно-геохронологические исследования циркона (TIMS) были выполнены только для двух проб гранодиоритов из небольших интрузивных тел. Возраст магматизма оценивался как 2046–2086 млн лет) (Артеменко, 1995). Оценки возраста двух массивов гранитоидов методом SIMS (2.04–2.05 млрд лет) и их изотопно-геохимическое изучение послужили основой для предположения о постколлизионной природе диорит-гранодиоритового магматизма в результате кристаллизационной дифференциации базальтовых магм, претерпевших умеренную контаминацию ТТГ-гнейсами (Савко и др., 2014б). В настоящей статье на основании результатов комплексных геолого-структурных, изотопно-геохимических и геохронологических исследований и петрологических реконструкций для всех крупных гранитоидных массивов Тимского террейна и их сравнения с возрастными аналогами в других террейнах Восточно-Сарматского орогена представлены ограничения на возможные тектонические модели формирования этой крупной гранитоидной магматической провинции среднего палеопротерозоя.
ГЕОЛОГИЧЕСКОЕ СТРОЕНИЕ ТИМСКОГО ТЕРРЕЙНА
Палеопротерозойские гранодиорит-диоритовые массивы в Курском блоке Сарматии сконцентрированы в палеопротерозойской Тимской структуре (рис. 2), которая, как считалось ранее, имеет внутриконтинентальную рифтовую природу (Савко и др., 2017). Значительно реже они встречаются за ее пределами (Кориш и др., 2020). Тимской террейн образовался 2.2–2.1 млрд лет назад на палеоархейской коре Курского блока Сарматии (Савко и др., 2017). Осадочные породы, в том числе железисто-кремнистые формации (ЖКФ), накопившиеся в интервале 2.5–2.4 млрд лет назад на пассивной континентальной окраине и имевшие площадное распространение, сохранились от эрозии в самой крупной Тимской и других – Волотовской, Авильской, Уколовской синформах Тимского террейна (Савко и др., 2015, 2017). Ими выполнены нижние части осадочного разреза. На ЖКФ коробковской и карбонатных отложениях роговской свит с перерывом и несогласием (15°) залегают углеродистые сланцы и основные вулканиты тимской свиты, накопившиеся в пределах этих синформ.
Таким образом, стратифицированные образования палеопротерозоя в Тимском террейне характеризуются последовательной сменой терригенных пород стойленской свиты и ЖКФ коробковской свиты терригенно-карбонатными (роговская свита) и терригенно-вулканогенными (тимская свита). Отложения тимской свиты занимают основную часть площади Тимской структуры (рис. 2). В ее строении широко распространены углеродистые сланцы с прослоями метапесчаников, силикатно-карбонатных пород и известняков. В последних аномально высокие значения δ13C (до +11.6 ‰) свидетельствуют об их образовании в ломагунди-ятулийскую эпоху 2.20–2.07 млрд лет назад (Савко и др., 2021). Верхняя часть разреза тимской свиты сложена метабазальтами с возрастом 2099 ± 8 млн лет (Цыбуляев и др., 2020).
Рис. 2. Схематическая геологическая карта Тимской структуры.
Вероятно, до кардинальной эндогенной перестройки, начавшейся после 2.1 млрд лет назад (магматизма, метаморфизма и складчатости), это был единый Тимской осадочный бассейн (Savko et al., 2021a). В результате интенсивной переработки в период 2.10–2.05 млрд лет осадочные толщи подверглись метаморфизму, складчатости и эрозии, были сжаты и фрагментированы и сохранились в нескольких узких синформах (рис. 1).
По морфологии, составу и зональности гранатов выделяется ранний синскладчатый метаморфизм до внедрения диорит-гранодиоритовых интрузий (Савко, Полякова, 2001) и поздний HT/LP зональный метаморфизм с возрастом ≈2.07 млрд лет в условиях от зеленосланцевой до низов амфиболитовой фации, связанный с коллизией Сарматии и Волго-Уралии (Щипанский и др., 2007; Savko et al., 2018).
Интрузивный магматизм в Тимском террейне представлен диорит-гранодиоритовыми массивами, небольшими интрузиями и силлами амфиболовых габбро (Савко и др., 2014б, 2022), прорывающими палеопротерозойские метаморфизованные вулканогенно-осадочные толщи. Интрузии гранитоидов протягиваются полосой вдоль западной границы Тимского террейна, образуют изометричные и вытянутые в северо-западном или субмеридиональном направлении массивы и штокообразные тела площадью от 2.5 до 57 км2, и дайки (рис. 2). Все массивы перекрыты осадочным чехлом мощностью 80–160 м и изучались по керну скважин. Их местоположение и форма определены по геофизическим данным.
АНАЛИТИЧЕСКИЕ МЕТОДИКИ
Микрозондовый анализ. Локальные анализы минералов выполнены на электронном микроскопе Jeol 6380LV с системой количественного энергодисперсионного анализа «Inca» (Воронежский госуниверситет). Условия анализа: ускоряющее напряжение 20 кВ, ток зонда 1.2 мА, время набора спектра 90 с, диаметр пучка 1–3 мкм. ZAF коррекция при расчете содержания оксидов и оценка точности проводились с помощью комплекта программ математического обеспечения системы. Точность анализа систематически контролировалась по эталонным образцам природных и синтетических минералов.
Определение содержаний петрогенных оксидов. Химический состав проб определялся на рентгенофлюоресцентном спектрометре S8 Tiger (Bruker AXS GmbH, Германия) в Воронежском государственном университете. Подготовка проб для анализа породообразующих элементов выполнена путем плавления 0.5 г порошка пробы, 2 г тетрабората лития в муфельной печи с последующим отливом стеклообразного диска. При калибровке спектрометра и для контроля качества измерений были использованы государственные стандартные образцы химического состава горных пород – ГСО №8871-2007, ГСО № 3333-85, ГСО № 3191-85. Точность анализа составляла 1–5 отн. % для элементов с концентрациями выше 1–5 мас. % и до 12 отн. % для элементов с концентрацией ниже 0.5 мас. %. Обработка результатов проводилась посредством разработанных методик в программе Spectra Plus (Bruker AXS GmbH, Германия).
Определение содержаний редких и редкоземельных элементов. Малые и редкие элементы определялись методом индукционно-связанной плазмы с масс-спектрометрическим окончанием анализа (ICP-MS) в АСИЦ ИПТМ РАН. Разложение образцов пород проводилось путем кислотного вскрытия в открытой и закрытой системах, в зависимости от их состава. Пределы обнаружения для REE, Hf, Ta, Th, U составляли 0.02–0.03 ppm, для Nb, Be, Co – 0.03–0.05 ppm, для Li, Ni, Ga, Y – 0.1 ppm, для Zr – 0.2 ppm, для Rb, Sr, Ba – 0.3 ppm, для Сu, Zn, V, Cr – 1–2 ppm. Правильность анализа контролировалась путем измерения международных и российских стандартных образцов GSP-2, ВМ, СГД-1А, СТ-1. Ошибки определения концентраций составляли от 3 до 5 мас. % для большинства элементов.
Изотопное U-Pb датирование циркона
SIMS. Измерения абсолютного возраста цирконов проводились на ионном микрозонде SHRIMP-II по стандартной методике (Williams, 1998; Larionov et al., 2004) с использованием эталонных цирконов «91500» и «Temora». При расчетах использовались константы распада, предложенные в работе (Steiger, Jäger, 1977), и вводилась поправка на нерадиогенный свинец по (Stacey, Kramers, 1975) на основе измеренного значения 204Pb/206Pb. Полученные результаты обрабатывались с помощью программ «SQUID v1.12» и «ISOPLOT/Ex 3.22» (Ludwig, 2005). Поскольку для части проб результаты образовали дискордии с ненулевыми нижними пересечениями, оценка возраста проводилась по верхним пересечениям с конкордией; однако, следует отметить, что полученные таким образом величины возраста неотличимы в пределах погрешности от средневзвешенных 207Pb/206Pb возрастов для результатов с умеренной дискордантностью. Под конкордантностью, следуя (Ludwig, 1998), понимается факт перекрытия линии конкордии 2 эллипсом погрешностей.
ID-TIMS. U-Pb геохронологические исследования (ID-TIMS) проведены в ИГГД РАН (Санкт-Петербург). Выбранные для геохронологических исследований зерна циркона подвергались многоступенчатому удалению поверхностных загрязнений в спирте, ацетоне и 1 M HNO3. При этом после каждой ступени они промывались особо чистой водой. Химическое разложение циркона и выделение U и Pb выполнено по модифицированной методике Т.Е. Кроу (Krogh, 1973). Для уменьшения степени дискордантности использовался метод предварительной кислотной обработки (Mattinson, 1994).
Из монофракции титанита под бинокуляром вручную отбирались визуально «чистые» фрагменты кристаллов размером не более 200 мкм. Титанит подвергался предварительной кислотной обработке 6N HCl, согласно модифицированной методике (DeWolf et al., 1996). Разложение и последующее химическое выделение U и Pb осуществлялось в соответствии с модифицированными методиками (Krogh, 1973; Horwitz et al., 1992; Corfu et al., 2002).
Изотопные анализы выполнены на многоколлекторном масс-спектрометре TRITON TI как в статическом, так и в динамическом режимах (при помощи счетчика ионов). Для изотопных исследований использовался изотопный индикатор 235U–202Pb. Точность определения значений U/Pb и содержаний U и Pb составила 0.5 %. Холостое загрязнение не превышало 15 пг Pb и 1 пг U. Обработка данных проводилась при помощи программ PbDAT (Ludwig, 1991) и ISOPLOT (Ludwig, 2005). При расчете возрастов использованы общепринятые значения констант распада урана (Steiger, Jager, 1977). Поправки на обычный свинец введены в соответствии с модельными величинами (Stacey, Kramers, 1975). Все ошибки приведены на уровне 2σ.
Lu-Hf изотопный анализ циркона. Изучение Lu-Hf изотопного состава цирконов выполнено на многоколлекторном масс-спектрометре Neptune Plus с приставкой для лазерной абляции NWR 213 в Институте геологии и геохимии им. академика А.Н. Заварицкого УрО РАН, Екатеринбург. Измерения проводились в тех же точках, где были выполнены определения абсолютного возраста на SHRIMP-II. Использованное оборудование размещено в помещении класса чистоты 7 ИСО. Проведена оптимизация работы масс-спектрометра и приставки для лазерной абляции, подбор стандартов, отработка процедуры корректировки эффектов фракционирования, дискриминации ионов по массе и изобарических помех 176Yb и 176Lu на 176Hf, оптимизация процедуры обработки экспериментальных данных с использованием образцов сравнения циркона Mud Tank, GJ-1 (Black et al., 1978; Jackson et al., 2004). Неопределенность единичного измерения 176Hf/177Hf в виде 2SD находилась в интервале 0.005–0.008%, единичного определения значения εHf в виде 2SD варьировала для перечисленных стандартов в интервале 5–9 %. Параметры процесса лазерной абляции: плотность энергии лазерного излучения – 14 Дж/см2, частота повторения импульсов – 20 Гц, диаметр кратера – 25 мкм. Для обработки Lu-Hf данных был использован макрос Hf-INATOR для Excel (Giovanardi, 2017).
Sm-Nd изотопный анализ валовых проб. Sm-Nd изотопные исследования выполнены в ИГГД РАН (Санкт-Петербург). Изотопные составы Sm и Nd определены на многоколлекторном масс-спектрометре TRITON TI в статическом режиме. Измеренные 143Nd/144Nd нормализованы к 146Nd/144Nd = 0.7219 и приведены к значению 143Nd/144Nd = 0.512115 в Nd-стандарте JNdi-1. Средневзвешенное значение 143Nd/144Nd в Nd-стандарте JNdi-1 за период измерений составило 0.512102 ± 6 (n = 8). Точность определения концентраций Sm и Nd составила ±0.5%, изотопных отношений 147Sm/144Nd ±0.5%, 143Nd/144Nd ±0.005% (2σ). Уровень холостого опыта не превышал 0.2 нг Sm и 0.5 нг Nd. При расчете величин εNd(T) и модельных возрастов ТNd(DM) использованы современные значения Sm-Nd отношений для однородного хондритового резервуара (CHUR) по (Jacobsen, Wasserburg, 1984) и деплетированной мантии (DM) по (Goldstein, Jacobsen, 1988).
ГЕОЛОГИЯ И ПЕТРОГРАФИЯ
Все интрузии занимают посттектоническую геолого-структурную позицию. Они секут складчатые структуры вмещающих осадочно-метаморфических толщ, которые на контактах ороговикованы или скарнированы. Вблизи интрузий во вмещающих породах развита контактово-метаморфическая зональность, но признаки плавления отсутствуют. Отдельные массивы имеют зональное строение. Их периферические зоны сложены диоритами, которые через кварцевые диориты постепенно переходят в гранодиориты в центральных частях интрузий. Границы разновидностей пород постепенные, по керну не выделяются. В эдоконтактовых зонах массивов часто присутствуют ксенолиты вмещающих пород размером от 0.1 до 3 м.
Нами были изучены все крупные интрузивные диорит-гранодиоритовые массивы в Тимской структуре. Кроме того, мы привлекли к исследованию единственный крупный Троснянский массив в Михайловской палеопротерозойской структуре, находящейся к западу от Тимской структуры (рис. 1).
Роговский массив находится в юго-западной части Тимской структуры, имеет округлую форму, размеры 6.5×5.5 км и площадь около 22 км2 (рис. 3). В северо-восточной части он прорывает метабазиты тимской свиты, а в юго-западной – доломиты роговской свиты. Он лучше других изучен бурением (7 скважин) на глубину до 84 м. Двумя скважинами подсечены контакты массива с базальными горизонтами метаконгломератов и метапесчаников тимской свиты и с доломитами роговской свиты. Массив имеет зональное строение – в краевых частях гранодиориты постепенно сменяются кварцевыми диоритами.
Рис. 3. Схематическая геологическая карта Роговского массива, колонки скважин с местоположением отбора проб и фотографии шлифов пород массива.
Гранодиориты розовато-серого и светло-серого цвета среднезернистые, иногда порфировидные. Текстура гранодиоритов массивная, участками такситовая, структура гипидиоморфнозернистая, порфировидная, обусловленная наличием крупных зерен микроклина размером 1.0–1.5 см (рис. 3). Границы разновидностей пород постепенные, по керну не выделяются. По минеральному составу породы довольно однообразны – сложены плагиоклазом, микроклином, биотитом, кварцем и роговой обманкой.
В гранодиоритах плагиоклаз присутствует в количестве 40–60 мас. % и представлен таблитчатыми идиоморфными зернами размером 0.5–2.0 мм. Он имеет зональность от андезина в центральных частях до олигоклаза–альбита в краевых. Иногда встречается роговая обманка (0–5 мас. %). Биотит встречается в виде лейст размером 0.2–1.0 мм в количестве до 10 мас. %, часто с ситовидной пойкилитовой структурой. По составу биотит среднежелезистый (XFe= 0.39–0.43), умеренно-глиноземистый (Al2O3 = 13.6–15.1 мас. %) с невысоким содержанием TiO2 = 1.1–1.5 мас. %. Микроклин (10–20 мас. %) образует как решетчатые мелкие зерна в основной массе, так и крупные порфировые выделения (от 2–4 мм до 1 см). В крупных кристаллах микроклина отмечаются включения биотита, плагиоклаза, кварца и роговой обманки. На контакте с зернами плагиоклаза часто наблюдается мирмекитовая структура. Кварц присутствует в количестве до 20–25 мас. % и развит обычно в интерстициях между зернами плагиоклаза и цветных минералов как изометричные и ксеноморфные зерна размером 0.1–0.8 мм. Часто зерна деформированы и гранулированы. Роговая обманка образует небольшие (0.3–1.0 мм) призматические и таблитчатые зерна с плеохроизмом от густо-зеленого до светло-буровато-зеленого цвета. Иногда отмечается замещение роговой обманки биотитом и эпидотом. Из акцессорных минералов наиболее характерным является титанит, образующий довольно крупные (0.02–0.2 мм) красновато-коричневые кристаллы с ромбическими и клиновидными сечениями. Рудные минералы представлены ильменитом, пиритом, пирротином, реже халькопиритом. Среди вторичных минералов резко преобладают минералы группы эпидота-клиноцоизита.
Диориты серого цвета, массивные, иногда со слабо выраженной директивной текстурой, среднезернистые с призматически зернистой основной массой, на фоне которой выделяются более крупные зерна плагиоклаза и биотита (рис. 3б). Директивная (гнейсовидная) текстура обусловлена линзовидными скоплениями темноцветных минералов и субпараллельным расположением их. Переходы между диоритами и гранодиоритами постепенные в результате уменьшения количества кварца и микроклина и увеличения биотита и роговой обманки. В составе диоритов преобладает плагиоклаз (50–70 мас. %), присутствуют роговая обманка (10–20 мас. %), биотит (5–10 %) и кварц (до 10 мас. %), микроколин – единичные зерна. Плагиоклаз зональный с более высоким содержанием анортитового компонента в центральных частях и альбитового в периферических. Акцессорные минералы представлены апатитом, ильменитом, титанитом, цирконом. Отмечаются участки, обогащенные акцессорными минералами, где титанит обрастает ильменит в присутствии амфибола.
Северо-Щигровский массив находится на северо-западной границе Тимской структуры и палеоархейских ТТГ. Он имеет округлую форму, площадь ~18 км2, вскрыт шестью скважинами на глубину от 30 м до 86 м и сложен только диоритами (рис. 4). Вскрыты контакты диоритов с архейскими ТТГ, сланцами и доломитами роговской свиты. Последние превращены в амфибол-пироксеновые скарны. Контакты с гнейсами под углом 30°–50°. Встречаются ксенолиты вмещающих архейских ТТГ.
Рис. 4. Схематическая геологическая карта Северо-Щигровского массива, колонки скважин с местоположением отбора проб и фотографии шлифов пород массива.
Северо-Щигровский массив, в отличие от остальных в Тимской структуре, сложен только кварцевыми диоритами серыми, средне-крупнозернистыми, массивными или слабо рассланцованными, иногда порфировидными с гипидиоморфнозернистой структурой. Состав (мас. %): плагиоклаз – 55–60, микроклин – 5–15, кварц – до 10, биотит – 5–10, амфибол – 10–15. Среди основной массы породы неравномерно распределены очень крупные кристаллы микроклина размером до 3–4 см. Акцессорные – апатит, титанит, рутил, сульфиды, вторичные – эпидот (развивается по плагиоклазу), хлорит (по биотиту), серицит, кальцит.
Плагиоклаз зонален, с увеличением альбитового компонента от центральных частей зерен к краевым. Он более основной, чем в других массивах, содержит 32–39% анортитового компонента, и даже в краевых частях зерен он представлен олигоклазом (An12–17), а не альбитом. Амфибол относится к кальциевой подгруппе (NaB = 0.10–0.17, CaB = 1.83–1.90 форм.ед.) и представлен зеленой роговой обманкой с умеренной магнезиальностью (XFe = 0.30–0.41) и невысоким содержанием щелочей (Na + K)A < 0.5 форм.ед. Биотиты среднежелезистые (XFe = 0.39–0.44), с умеренным содержанием глинозема и более титанистые (TiO2 = 1.30–2.45 мас. %), чем в других массивах.
Щигровский массив площадью 57 км2 находится в северо-западной части Тимской структуры (рис. 5). Это единственный интрузив, имеющий сильно удлиненную форму. В виде неширокой (2–3 км) полосы он протягивается в юго-восточном направлении на 23 км и изучен тремя скважинами. Углы падения контактов крутые и составляют 75°–80°. Контактовые изменения вмещающих пород проявляются в скарнировании и мраморизации карбонатных пород, ороговиковании терригенных и эффузивных пород.
Рис. 5. Схематическая геологическая карта Щигровского массива, колонки скважин с местоположением отбора проб и фотографии шлифов гранодиоритов.
Екатериновский массив округлой формы, площадью 28 км2 находится у юго-западного борта Тимской структуры и изучен 3 скважинами на глубину от 20 до 283 м (рис. 6).
Рис. 6. Схематическая геологическая карта Екатериновского и Прилепского массивов, колонки скважин с местоположением отбора проб и фотографии шлифов гранодиоритов.
Прилепский массив самый небольшой, площадью около 5 км2 находится в центральной части Тимской структуры в поле развития метабазальтов и углеродистых сланцев тимской свиты и имеет овальную форму (рис. 6). Он изучен тремя скважинами на глубину до 245 м, в которых установлены гранодиориты (рис. 6). Вскрыт контакт гранодиоритов с метабазальтами тимской свиты, и присутствуют ксенолиты ороговикованных базальтов с признаками гидротермальных изменений. Гранодиориты по своим текстурно-структурным особенностям и минералогии близки к гранодиоритам Роговского массива.
Луневский массив гранодиоритов расположен в восточной части Тимской структуры. В плане массив имеет изометричную форму. Его площадь составляет 24 км2. Массив изучен пятью скважинами на глубину от 8 м до 190 м (рис. 7). Вмещающими породами являются основные вулканиты тимской свиты, превращенные в роговики.
Рис. 7. Схематическая геологическая карта Луневского массива, колонки скважин с местоположением отбора проб и фотографии шлифов гранодиоритов.
Щигровский, Екатериновский, Прилепский и Луневский массивы сложены гранодиоритами, сходными по тектурно-структурным признакам и минералогии с гранодиоритами Роговского массива.
Троснянский массив – единственный крупный диорит-гранодиоритовый массив за пределами Тимской структуры площадью более 75 км2 (рис. 8). В нашем распоряжении оказался керн единственной сохранившейся скв. 3577, вскрывшей пироксеновые диориты. Он находился в восточном борту Михайловской структуры. Вмещающими породами являются железистые кварциты и метапесчаники, а также мезоархейские ТТГ Михайловского гранит-зеленокаменного пояса. Зона эндоконтакта массива сложена неравномернозернистыми, такситовыми диоритами с ксенолитами вмещающих пород. В диоритах встречаются шлировидные обособления меланократовых пород, близких к микрогаббро. Диориты светло-серой окраски, средне-крупнозернистые, массивные. Структура гипидиоморфно-зернистая, пойкиллитовая. Минеральный состав (мод. %): плагиоклаз – 50–65, ортопироксен – 5–10, роговая обманка – 5–10, биотит – 5, кварц – 0–10, микроклин – 0–10 (рис. 8). Редко встречаются зерна клинопироксена. Плагиоклаз образует таблитчатые зерна размером до 4 мм в поперечнике с зональностью по составу: от An30 в центральных частях зерен до An14 в краевых. Плагиоклаз иногда замещается микроклином и кварцем с образованием мирмекитовой и микрографической структуры. Ортопироксен (XFe = 0.56–0.64) присутствует в виде зерен размером 2–3 мм (рис. 8), часто замещаемых амфиболом и биотитом. Биотит (XFe = 0.63–0.66) в виде коричневато-бурых чешуек размером до 2 мм (рис. 8) имеет очень высокую титанистость (TiO2 = 4.17–4.89 мас. %). Зеленая роговая обманка (XFe = 0.57–0.60) в отличие от других массивов стойло-николаевского комплекса содержит больше щелочей ((Na + K)A ≈ ≈ 0.5 форм.ед.) и по составу отвечает ферроэдениту. Акцессорные минералы: титаномагнетит, апатит, пирит, редко халькопирит.
Рис. 8. Схематическая геологическая карта Михайловской структуры и Троснянского массива, колонка скв. 3577 с местоположением отбора проб и фотографии шлифов диоритов.
ГЕОХИМИЯ
Гранодиориты Роговского массива отличаются широким диапазоном содержания SiO2 при незначительном преобладании K2O над Na2O, за исключением двух образцов с превышением Na2O над K2O (Supplementary 1, ESM_1). Они имеют умеренное содержание CaO, за исключением одного образца с CaO = 7.89 мас. %, и высокое содержание щелочей – (Na2O + K2O) = = 5.6–8.1 мас. %. Гранодиориты недосыщены глиноземом (A/CNK = 0.64–0.96) и характеризуются повышенными концентрациями фемических элементов и фосфора при средней железистости.
Диориты Роговского массива с содержанием SiO2 от 62 до 54 мас. % имеют высокие концентрации и переменные соотношения щелочей и такую же железистость, как и гранодиориты. На бинарных диаграммах прослеживается отрицательная корреляция SiO2 с Fe2O3tot, MgO, CaO, P2O5 и TiO2, положительная с K2O (рис. 9). Между диоритами и гранодиоритами существует разрыв в составе SiO2 – 62–65 мас. % (рис. 9). На классификационных диаграммах (Igneous …, 2002; Middlemost, 1994) точки составов гранодиоритов попадают в поля гранодиоритов и кварцевых монцонитов, являются магнезиальными метаглиноземистыми породами известково-щелочной серии (рис. 10, 11).
Рис. 9. Диаграммы соотношений SiO2 и петрогенных оксидов в гранитоидах.
Рис. 10. (а) Петрографическая классификационная диаграмма QAP (Igneous …, 2002); (б) диаграмма кремнезeм–щeлочность для гранитоидов (Middlemost, 1994).
Рис. 11. Геохимическая классификация изученных пород на диаграммах: (а) SiO2 vs. Na2O + K2O – CaO (мас. %) (Frost et al., 2001); (б) SiO2 vs. FeO/(FeO + MgO) (Frost et al., 2001); (в) молярный индекс Al2O3/(CaO + Na2O + K2O) vs. Al2O3/(Na2O + K2O) (Maniar, Piccoli, 1989).
Гранодиориты Роговского массива имеют повышенные концентрации литофильных Rb, Ba, Sr, умеренные высокозарядных Zr, Nb, Y и низкие «мафических» элементов Cr и Ni (см. Supplementary 1, ESM_1). Содержания редкоземельных элементов невысокие и умеренные (ΣREE = 145–469 ppm, среднее 287 ppm). Спектры распределения REE имеют отрицательный наклон с обогащением LREE и сильным их фракционированием ((La/Yb)n = 15–68), слабо выраженным Eu-минимумом (см. Supplementary 1, ESM_1; рис. 12). Значение (Gd/Yb)n около 2, за исключением одного образца (3.8). На мультиэлементной спайдер-диаграмме, диориты и гранодиориты Роговского массива характеризуются практически одинаковым распределением элементов c отрицательными аномалиями Nb, P и Ti, слабой положительной аномалией Th (рис. 13). Распределение редких и редкоземельных элементов в диоритах и гранодиоритах близкое.
Рис. 12. Нормализованные к хондриту распределения REE для гранитоидов Тимской структуры.
Рис. 13. Нормализованное к примитивной мантии распределение элементов для гранитоидов Тимской структуры (данные по валовым составам проб).
Гранодиориты Прилепского массива по геохимии близки к гранодиоритам Роговского, отличаясь более высокими значениями Sr/Y = 61–114 (см. Supplementary 2, ESM_2) и истощением HREE (рис. 13).
Диориты Северо-Щигровского массива обогащены щелочами с небольшим преобладанием Na2O, которое увеличивается с уменьшением концентрации SiO2. В целом они близки по распределению петрогенных оксидов к диоритам Роговской интрузии (см. Supplementary 3, ESM_3; рис. 9–13). На бинарных диаграммах (рис. 9) прослеживается отрицательная корреляция SiO2 с Al2O3, Fe2O3tot, MgO, CaO и P2O5 и положительная – со щелочами. По содержаниям редких и редкоземельных элементов они также похожи на диориты Роговского массива (рис. 12, 13).
Гранодиориты Щигровского массива по геохимии в целом близки к гранодиоритам Роговского массива (см. Supplementary 4, ESM_4; рис. 9–13). На бинарных диаграммах прослеживается обратная корреляция SiO2 с Fe2O3tot, MgO, CaO и P2O5 и прямая с K2O (рис. 9). Их отличают только высокие значения Sr/Y = 54–96 и (Gd/Yb)n = 3.8–4.6 и отсутствие Eu*-аномалии.
Такие же геохимические характеристики имеют гранодиориты Луневского массива с высокими значениями Sr/Y = 65–168, но значения (Gd/Yb)n = 2.0–3.3 (см. Supplementary 5, ESM_5) близки к таковым в Роговском и Екатериновском массивах. На бинарных диаграммах прослеживается слабая отрицательная корреляция кремнезема с алюминием, фосфором и титаном (рис. 9).
Гранодиориты Екатериновского массива по всем геохимическим характеристикам очень близки к гранодиоритам Роговского массива (см. Supplementary 6, ESM_6; рис. 9–13).
Пироксеновые диориты Троснянского массива по сравнению с другими массивами являются более железистыми (XFe = 0.77–0.85) и титанистыми породами TiO2 (1.5–2.3 мас. %) с явным преобладанием Na2O в сумме щелочей (см. Supplementary 7, ESM_7). На бинарных диаграммах прослеживается отрицательная корреляция кремнезема с железом, магнием, алюминием, натрием, фосфором и положительная – с калием и титаном (рис. 9). По распределению редких и редкоземельных элементов они отличаются резкой положительной Eu-аномалией (Eu/Eu* = 1.8–3.1) (рис. 12).
ГЕОХРОНОЛОГИЧЕСКИЕ U-Pb ИЗОТОПНЫЕ ИССЛЕДОВАНИЯ
Были проведены геохронологические исследования всех массивов гранитоидов для определения места диорит-гранодиоритового магматизма в эволюции палеопротерозойской коры Курского блока.
Роговский массив. Для изотопного датирования возраста Роговского массива нами был выделен циркон из гранодиорита (скв. 3617, гл. 227.5 м). Циркон в пробе 3617/227.5 представлен в основном бесцветными идиоморфными и субидиоморфными кристаллами, причем присутствуют как длиннопризматические (длина 150–200 мкм) с острыми пирамидальными вершинами, так и короткопризматические зерна, диаметром 100–150 мкм (рис. 14а). Присутствуют твердофазные включения. В катодолюминесценции (КЛ) видна структура роста – тонкая концентрическая осцилляционная зональность, незональные участки (возможный результат рекристаллизации) наблюдаются на вершинах пирамид довольно редко. Явных унаследованных ядер не выявлено. Структурные и морфологические признаки указывают на магматическую природу циркона и практическое отсутствие значительных наложенных событий.
Рис. 14. Катодолюминесцентные изображения (а–д, ж) и снимки в отраженных электронах (е) зерен циркона из гранитоидов Курского блока: (а) проба 3617/227.5, Роговский массив; (б) проба 3117/255, Екатериновский массив; (в) проба 3041/213, Щигровский массив; (г) проба 3507/237, Северо-Щигровский массив; (д) проба 3098/303, Прилепский массив; (е) проба 4006/253.1, Луневский массив; (ж) проба 3577/363.4, Троснянский массив. Номера точек анализов соответствуют таковым в Supplementary 8, ESM_8.
В пробе 3617/227.5 было выполнено 14 анализов в 10 зернах (см. Supplementary 8, ESM_8), анализировались и центральные, и краевые части (рис. 14а). Для 9 анализов получено конкордантное значение возраста 2045 ± 15 млн лет, СКВО = 0.058, вероятность конкордантности 0.81 (рис. 15а).
Рис. 15. Результаты U-Pb датирования цирконов из гранитоидов методом SIMS.
Екатериновский массив. Циркон в пробе гранодиорита 3117/255 (скв. 3117, гл. 255 м) представлен бесцветными, прозрачными, призматическими зернами с множественными включениями твердых фаз размером 80–150 мкм. Коэффициент удлинения 1.5–3. Встречаются единичные удлиненно-призматические (палочковидные) зерна. В КЛ по краям зерен четко проявлена тонкая концентрическая осцилляционная зональность в сочетании с более грубой зональностью в центрах кристаллов (рис. 15б). Структурные и морфологические признаки указывают на магматическую природу циркона.
Было сделано 19 определений в 13 зернах (см. Supplementary 8, ESM_8). Анализировались центральные и краевые части кристаллов. На диаграмме с конкордией (рис. 15б) все результаты аппроксимируются единой линией регрессии с близкими к конкордантным значениями возрастов. Значительных различий между внутренними и внешними частями кристаллов не выявлено. Верхнее пересечение линии регрессии с конкордией через все аналитические точки дает возраст 2050 ± 4 млн лет (СКВО = 0.78), тогда как конкордантный возраст (n = 16) равен 2049 ± 7 млн лет (СКВО = 0.73; вероятность конкордантности 0.39). Средневзвешенный 206Pb/207Pb возраст 2050 ± 4 млн лет (n = 19, СКВО = 0.78; вероятность конкордантности 0.73) (рис. 15б) совпадает с полученным по пересечению дискордии и может быть принят как возраст кристаллизации.
Щигровский массив. Для изотопного датирования был выделен циркон из пробы гранодиорита 3041/213 (скв. 3041, гл. 213 м). Циркон представлен преимущественно призматическими, прозрачными, бесцветными зернами, размером 80–150 мкм с коэффициентом удлинения 2.0–4.0 (рис. 14в). В катодолюминесценции видна тонкая концентрическая осцилляторная зональность. Кроме того, в пробе присутствуют отдельные зерна, которые окрашены в коричневый цвет, имеют сглаженные ребра, непрозрачные. Они имеют овальную и изометричную форму и более крупные размеры до 250 мкм. В КЛ в таком цирконе присутствуют овальные более темные ядра и узкие и широкие внешние каймы, некоторые из которых имеют осцилляторную зональность.
Было выполнено 17 определений в 11 зернах (рис. 15в; см. Supplementary 8, ESM_8). Анализировались и более темные ядра, и внешние каймы (рис. 14в). По результатам измерений в призматических зернах и внешних оболочках был получен конкордантный возраст 2047 ± 10 млн лет (n = 7, СКВО = 1.6; вероятность конкордантности 0.21), который в пределах ошибки совпадает с рассчитанным средневзвешенным 206Pb/207Pb возрастом 2044 ± 8 млн лет (n = 10, СКВО = 0.46; вероятность конкордантности 0.90) (рис. 15в).
Анализ темных ядер был выполнен в четырех точках и получены значительно более древние возрасты от 2753 до 3393 млн лет (см. Supplementary 8, ESM_8). Таким образом, циркон из гранодиоритов Щигровского массива содержит унаследованные более древние архейские ядра и более молодые магматические оболочки и кристаллы с палеопротерозойскими возрастами.
Северо-Щигровский массив. Акцессорные цирконы из диоритов Северо-Щигровского массива представлены в основном бесцветными субидиоморфными и идиоморфными короткопризматическими кристаллами размером от 100 до 250 мкм, часто трещиноватыми, содержащими включения других минеральных фаз, а также флюидные включения. В КЛ в цирконах отмечается осцилляционная концентрическая зональность (рис. 14г).
Было выполнено 23 анализа в 9 зернах, анализировались и центральные, и краевые части кристаллов (рис. 15г). Все результаты на графике с конкордией аппроксимируются единой линией регрессии, где большая часть значений образует конкордантный кластер (рис. 15г). Невысокая девиация точек от линии регрессии (СКВО = 0.60) предполагает минимальное воздействие докембрийских процессов на кристаллы циркона. Возраст по верхнему пересечению с конкордией (23 анализа) составляет 2049 ± 10 млн лет. Значения, полученные по нижнему пересечению дискордии, учитывая сложную историю пород, вероятнее всего, не имеют геологического смысла. С этими результатами совпадает рассчитанный средневзвешенный возраст 206Pb/207Pb 2049 ± 7 млн лет (n = 23, СКВО = 0.46; вероятность конкордантности 0.94) (рис. 15г).
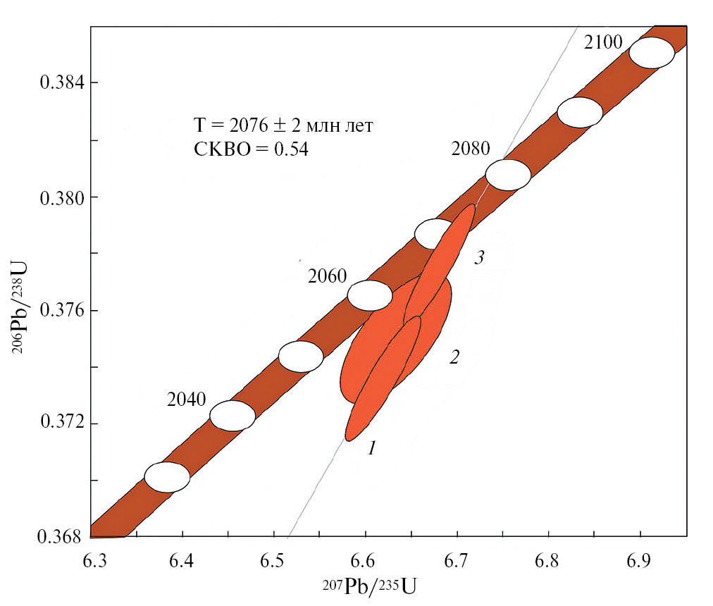
Возраст циркона из Северо-Щигровского массива, определенный методом ID-TIMS, составляет 2076 ± 2 млн лет (рис. 16; см. Supplementary 9, ESM_9), что почти на 20 лет древнее значения 2058 ± ± 7 млн лет, полученного с помощью SHRIMP-II для цирконов из той же пробы 3507/237.
Рис. 16. Результаты U-Pb датирования цирконов из пробы 3507/237 (Северо-Щигровский массив) методом ID-TIMS.
Прилепский массив. Были выполнены определения возраста циркона для проб гранодиорита 3098/303 (скв. 3098, гл. 303 м). Циркон в пробе 3098/303 представлен идиоморфными и субидиоморфными призматическими непрозрачными зернами светло-коричневой и серой окраски, размером 100–300 мкм, коэффициентом удлинения 1.5–3 (рис. 14д). В КЛ видна структура роста – тонкая концентрическая осцилляционная зональность. Унаследованных ядер не выявлено. Структурные и морфологические признаки указывают на магматическую природу циркона и практически отсутствие значительных наложенных событий.
В пробе 3098/303 было выполнено 16 определений в 10 зернах, анализировались и центральные, и краевые части (рис. 15д). Все результаты на графике с конкордией аппроксимируются единой линией регрессии (рис. 15д). Невысокая девиация точек от линии регрессии (СКВО = 0.25) предполагает минимальное воздействие докембрийских процессов на анализированные цирконы. Возраст по верхнему пересечению с конкордией составляет 2077 ± 8 млн лет (n = 16, СКВО = 0.25). Значения, полученные по нижним пересечениям дискордии, учитывая сложную историю пород, вероятнее всего, не имеют геологического смысла. С этой оценкой совпадает рассчитанный по 8 определениям конкордантый возраст 2078 ± 7 млн лет (n = 8, СКВО = 0.025, вероятность конкордантности 0.88). Полученные результаты совпадают с рассчитанным средневзвешенным значением возраста 2078 ± 7 (n = 16, СКВО = 0.25, вероятность конкордантности 0.999), и его можно принять как возраст кристаллизации.
Луневский массив. Определения возраста циркона выполнены для пробы гранодиоритов 4006/252.5 (скв. 4006, гл. 252.5). Циркон рыже-коричневого цвета, полупрозрачный, представлен идиоморфными и субидиоморфными призматическими полупрозрачными кристаллами светло-коричневой окраски, размером 80–200 мкм с коэффициентом удлинения 1.5–4 (рис. 14е). Присутствуют многочисленные твердофазные включения. В катодолюминесценции видна структура роста – тонкая концентрическая осцилляторная зональность. Явных унаследованных ядер не выявлено. Структурные и морфологические признаки указывают на магматическую природу циркона и практическое отсутствие значительных наложенных событий.
Было выполнено 20 анализов в 18 зернах (рис. 15е; см. Supplementary 8, ESM_8). Все результаты на графике с конкордией аппроксимируются единой линией регрессии (рис. 15е). Невысокая девиация точек от линии регрессии (СКВО = 1.4) предполагает минимальное воздействие докембрийских процессов на цирконы. Возраст по верхнему пересечению с конкордией (20 анализов) составляет 2040 ± 5 млн лет.
Значения, полученные по нижним пересечениям дискордии, учитывая сложную историю пород, вероятнее всего, не имеют геологического смысла. Этот возраст совпадает с рассчитанным конкордантным возрастом 2038 ± 7 млн лет (11 анализов, СКВО = 0.00066; вероятность конкордантности 0.98) (рис. 15е). Полученные результаты совпадают в пределах погрешности с рассчитанным средневзвешенным значением возраста 2043 ± 5 млн лет (СКВО = 0.87, вероятность конкордантности 0.58), который можно принять как возраст кристаллизации.
Троснянский массив. Выполнены определения возраста циркона из пробы диоритов Троснянского массива (скв. 3577, гл. 363.4). Циркон представлен прозрачными и полупрозрачными идиоморфными призматическими и изометричными кристаллами размером 150–300 мкм (рис. 14ж). В КЛ циркон темный с осциляционной зональностью и редкими более светлыми ядрами (рис. 14ж).
В ходе U-Pb геохронологических исследований получены 14 конкордантных и субконкордантных оценок возраста (D < 4%) циркона (см. Supplementary 8, ESM_8), в совокупности дающих значение 2059 ± 10 млн лет (n = 14, СКВО = 0.35, вероятность конкордантности 0.55). Средневзвешенное значение возраста, рассчитанное по 207Pb/206Pb, составляет 2058 ± 7 млн лет (СКВО = 0.98, вероятность конкордантности 0.47) (рис. 15ж), что можно принять как оценку возраста кристаллизации.
Таким образом, результаты геохронологического датирования показали, что с учетом довольно больших погрешностей (10–15 млн лет) гранодиорит-диоритовые интрузии образовались в достаточно широком диапазоне 2045–2078 млн лет.
Sm-Nd и Lu-Hf ИЗОТОПНАЯ СИСТЕМАТИКА
По Sm-Nd изотопно-геохимическим данным для валовых проб гранитоиды всех массивов характеризуются отрицательными величинами εNd(T) (см. Supplementary 10, ESM_10). При этом породы Луневского и Прилепского массивов в восточной части Тимской структуры имеют более радиогенный состав Nd, чем остальные массивы εNd(T) = −3.6 и −2.9 и модельные возрасты TNd(DM) = 2.64 и 2.58 млрд лет соответственно (см. Supplementary 10, ESM_10; рис. 17). Наименьшими значениями εNd(T) характеризуются диориты Северо-Щигровского (εNd(T) = −9.3) и Троснянского (εNd(T) = = −8.4) массивов по сравнению с гранодиоритами Роговского, Екатериновского и Щигровского массивов (εNd(Т) от −6.0 до −6.8). Их модельные возрасты TNd(DM) составляют 2.81–3.28 млрд лет.
Рис. 17. Диаграмма εNd(T)–возраст для гранитоидов Курского блока.
Похожая дифференциация гранитоидных массивов наблюдается по Lu-Hf изотопии циркона. Наиболее радиогенный состав Hf имеют цирконы из гранитоидов Луневского и Прилепского массивов (εHf (Т) = −2.1 … −9.2) (см. Supplementary 11, ESM_11; рис. 18). Промежуточное положение занимают гранодиориты Щигровского массива, где присутствует циркон как с низкорадиогенным составом Hf (εHf (2044) = −19.3 … −19.8), так и с более радиогенным (εHf (2044) = −2.7 … −9.6). Кроме того, в Щигровском массиве присутствуют ксеногенные зерна циркона с возрастами 2.75 и 2.83 млрд лет и значениями εHf (Т) +2.1 и −8.7 соответственно. Циркон из гранодиоритов Екатериновского массива имеет похожий изотопный состав Hf (εHf (2050) = −3.5 … −13.5), но без максимальных отрицательных значений. В остальных массивах циркон характеризуется низкорадиогенным составом Hf: в Роговском εHf (2045) = −8.0 … −19.7, в Северо-Щигровском εHf (2049) = −13.9 … −21.6 и в Троснянском εHf (2045) = −10.1 … −15.4. Модельные возрасты, рассчитанные для циркона по двухстадийной модели (Тс), для Луневского и Прилепского массивов мезоархейские, а для остальных массивов палеоархейские и даже эоархейские (см. Supplementary 11, ESM_11).
Рис. 18. Диаграмма εHf(T)–возраст зерен цирконов из гранитоидов Курского блока.
ОБСУЖДЕНИЕ РЕЗУЛЬТАТОВ
Возраст гранитоидного магматизма Тимского террейна
Проведенные U-Pb изотопно-геохронологические исследования циркона фиксируют значительный возрастной интервал внедрения гранитоидов Тимского террейна длительностью 40 млн лет от 2038 ± 7 до 2078 ± 7 млн лет. Это совпадает со сделанными ранее оценками возраста гранитоидов Тимского террейна в интервале 2046–2086 млн лет (Артеменко и др., 1995). Вариации оценок возрастов гранитоидов методом SIMS не коррелируют с их составом и положением в Тимском террейне.
Процессы коровой эволюции расплавов
При анализе петрогеохимических особенностей всех изученных диорит-гранодиоритовых массивов обращают на себя внимание закономерные изменения составов и многочисленные черты геохимического сходства гранитоидов. Эти особенности в сочетании с тесной пространственной сопряженностью диоритов и гранодиоритов в составе единых массивов могли бы указывать на генетическую взаимосвязь с образованием гранодиоритовой магмы за счет дифференциации исходного диоритового расплава. Однако в рамках такой модели сложно объяснить многие имеющиеся фактические данные. Во-первых, при ведущей роли кристаллизационной дифференциации невозможно объяснить разрыв в составах между диоритами и гранодиоритами в интервале содержаний SiO2 62–65 мас.% (рис. 9). Во-вторых, различия изотопного состава неодима с более радиогенным изотопным составом в гранодиоритах по сравнению с диоритами исключают механизм фракционной кристаллизации и контаминации (AFC) единого исходного расплава и предполагают существование как минимум двух независимых источников диоритового и гранодиоритового расплавов. В-третьих, в рамках модели кристаллизационной дифференциации единого расплава сложно объяснить появление в одном массиве гранитоидов с контрастными геохимическими характеристиками. Например, в совокупности образцов гранодиоритов из Роговского и Екатериновского массивов контрастно выделяется по одному с резко фракционированным спектром REE, низкой концентрацией тяжелых лантаноидов и Y, и высокой – Sr. Это предполагает либо источник с такими характеристиками, либо формирование в равновесии с гранатсодержащим реститом. Такие отличия, необъяснимые за счет дифференциации единого материнского расплава, заставляют предполагать, что в формировании Роговского и Екатериновского массивов принимали участие кислые расплавы, образованные за счет двух разных по составу и (или) условиям магмогенерации источников.
Таким образом, диориты и гранодиориты стойло-николаевского комплекса, вероятно, не связаны процессами кристаллизационной дифференциации, а представляют независимые порции расплавов, сформированные за счет источников, различавшихся по составу, глубине расположения и коровой предыстории.
Источники расплавов
Анализ полученных данных показывает, что определяющим фактором разнообразия интрузивного магматизма Тимского террейна могло служить различие источников расплава. Разные по кремнекислотности гранитоиды имели, вероятно, разный состав источников расплава. Диориты требуют более мафический состав предшественников, которыми могли служить мантийные базальтовые магмы. В пользу этого свидетельствуют мафические включения, обнаруженные в диоритах Троснянского массива. Для гранодиоритов источниками могли служить как метабазиты, так и, что более вероятно, тоналитовые гнейсы, слагающие основной объем коры Курского блока.
Изотопно-геохимические характеристики гранитоидов указывают на разную коровую предысторию источников их материнских расплавов. Расположенные в западной части Тимского террейна Северо-Щигровский и Троснянский диоритовые массивы имеют наиболее низкорадиогенный состав Nd в породах (εNd(T) = −9.3 и −8.4 соответственно), длительную коровую предысторию и палео- и мезоархейские источники (см. Supplementary 9, ESM_9; рис. 17). Эти результаты дополняются данными об изотопным составе Hf в цирконе (см. Supplementary 10, ESM_10; рис. 18), который демонстрирует еще более древние палеоархейские и даже хадейские источники. Роговский, Екатериновский и Щигровский диорит-гранодиоритовые массивы на западе Тимского террейна имеют также низкорадиогенный состав Nd и мезоархейские источники, причем в Роговской интрузии диориты имеют более низкорадиогенный состав Nd, чем гранодиориты. Изотопный состав Hf в цирконе из этих массивов свидетельствует о неоднородных древних, главным образом, палеоархейских источниках с широким разбросом значений модельных возрастов, что указывает на ведущую роль разновозрастных коровых источников в генезисе гранитоидных магм. Участие очень гетерогенной по возрасту коры в образовании гранитоидных расплавов подтверждается также находками в гранодиоритах Щигровского массива унаследованных зерен палео-, мезо- и неоархейского циркона.
В восточной части Тимского террейна гранодиориты Луневского и Прилепского массивов отличаются значительно более радиогенным изотопным составом Nd и имеют неоархейский модельный возраст (TNd(DM) = 2.58–2.64 млрд лет) (рис. 17). Это, вероятно, было связано с субдукционной добавкой в архейскую кору Курского блока ювенильного палеопротерозойского материала и дополняет картину возрастной гетерогенности литосферы Тимского террейна. Цирконы из этих массивов характеризуются широким диапазоном отрицательных значений εHf(T) (рис. 18), по-видимому, отвечающих неоднородному источнику.
Широкие вариации содержаний и степени фракционирования тяжелых REE могут указывать на разные глубины зарождения гранитоидных магм. Так, слабо фракционированные спектры тяжелых лантаноидов ((Gd/Yb)n < 2.2) и отрицательная Eu-аномалия в диоритах Северо-Щигровского и Роговского массивов предполагают, что зарождение их материнских расплавов происходило в равновесии с плагиоклазсодержащим безгранатовым реститом, т.е. на умеренных глубинах. Напротив, диоритовые расплавы Троснянского массива с фракционированными тяжелыми REE ((Gd/Yb)n = = 2.2–3.0) и положительной Eu-аномалией, вероятно, являются более глубинными и зарождались в поле устойчивости граната. Это объясняется тем, что западнее Тимской структуры мощность континентальной коры, возможно, увеличена в результате надвига мезоархейского гранит-зеленокаменного террейна на палеоархейскую гранулит-гнейсовую область (Savko et al., 2021b). Гранодиориты отличаются более широкими вариациями значений (Gd/Yb)n, чем диориты, что предполагает разные по глубине источники исходных расплавов. Для гранодиоритов Екатериновского и Роговского массивов характерны в целом менее глубинные условия зарождения расплавов ((Gd/Yb)n < 2.1), чем для Щигровского и Прилепского массивов ((Gd/Yb)n > 3.8). Промежуточное положение занимает Луневский массив ((Gd/Yb)n = 2.0–3.3).
Широкие вариации концентраций щелочных, высокозарядных (Zr, Hf, Nb, Ta, Th) и легких REE (рис. 13) в гранитоидах, недостижимые за счет кристаллизационной дифференциации, могут быть связаны как с условиями плавления, так и с разными концентрациями этих элементов в источниках расплавов.
Таким образом, мы наблюдаем «пеструю» картину изотопно-геохимических характеристик и глубин зарождения расплавов для одновозрастных и пространственно сближенных палеопротерозойских гранитоидных массивов в составе Тимского террейна. Выявленные петрогенетические особенности диорит-гранодиоритового магматизма в Тимском террейне определяют источники расплавов, условия их зарождения и коровой эволюции. Широкие вариации и отрицательные значения величин εNd(T) в породах и εHf(T) в цирконе во всех изученных образцах указывают, что гранитоидные расплавы образовались за счет неоднородных по составу и возрасту литосферных источников, сформированных в ходе палео-, мезо- и неоархейских эпизодов роста коры. Субщелочной характер магматизма, повышенные концентрации K, Ba, Sr, P, Zr, Mg# и легких REE в сочетании с резкой отрицательной Nb-аномалией – индикаторы плавления обогащенных источников в присутствии водного флюида. Широкие вариации значений (Gd/Yb)n указывают на разноглубинное плавление в равновесии с гранатовым и безгранатовым реститом. Выраженный бимодальный характер магматизма предполагает два автономных источника расплавов. Диориты могут представлять продукты AFC процесса более мафических расплавов, сформированных при плавлении обогащенной литосферной мантии. Гранодиориты могли образоваться при плавлении базальтового или более кислого диорит-тоналитового корового источника. Роль внутрикоровой дифференциации диоритовых и гранодиоритовых расплавов была минимальной. Все перечисленные характеристики указывают, что образование гранитоидов Тимского террейна происходило при плавлении гетерогенной архейской литосферы, претерпевшей переработку в палеопротерозойское время.
Сравнение посттектонического магматизма в террейнах Восточно-Сарматского орогена
Результаты изучения гранитоидов Тимского террейна дополняют общую картину и позволяют провести сравнительный анализ возрастных и петрогенетических характеристик посттектонического магматизма (интрузивного, субвулканического и эффузивного) в разных террейнах Восточно-Сарматского орогена для оценки применимости обсуждаемых тектонических моделей.
Оценки возраста посттектонических гранитоидов в разных террейнах Восточно-Сарматского орогена близки (рис. 19а). В Тимском террейне подавляющее большинство изотопных возрастов массивов гранитоидов группируется в интервале 2060 ± 20 млн лет, единичные массивы имеют возрасты 2030–2020 млн лет. Предшествовавший базитовый магматизм, связанный с субдукционными процессами и приведший к открытию задугового Тимского бассейна, датирован возрастом 2099 млн лет (Цыбуляев и др., 2021).
Рис. 19. Диаграммы изменений основных химических и изотопных особенностей пород террейнов Курского блока в зависимости от долготы.
В Лосевском и Донском террейнах все датированные посттектонические гранитоиды комплексов также укладываются в возрастной интервал 2060 ± 20 млн лет, хотя преобладающая часть оценок возраста гранитоидов в этих террейнах составляет около 2070 млн лет, и только два массива моложе 2050 млн лет. Возраст субдукционных процессов в Лосевском террейне оценивается по кислым вулканитам и островодужным базитам как 2170–2140 млн лет (Терентьев и др., 2014). В Воронцовском террейне возраст гранитоидов отвечает временному интервалу 2050–2090 млн лет, большинство оценок группируется между 2060 и 2070 млн лет. Самая молодая популяция детритового циркона в граувакках Воронцовского террейна, образовавшихся при разрушении островодужных построек, датирована возрастом 2100 млн лет (Ерофеева и др., 2023).
Таким образом, во всех террейнах Восточно-Сарматского орогена протяженность посттектонического гранитоидного магматизма составляла около 40 млн лет. Кроме того, возможно некоторое омоложение возраста гранитоидов с востока на запад.
По составу посттектонические интрузивные (или магматические) комплексы террейнов Восточно-Сарматского орогена несколько различаются (рис. 19в–19е). В Тимском террейне широко представлены породы среднего и кислого состава при редкой встречаемости пород основного состава. В Лосевском и Донском террейнах породы основного, среднего, кислого и ультракислого составов представлены примерно в равных пропорциях. В Воронцовском террейне гипербазиты, габбронориты, нориты и диориты пользуются бóльшим распространением, чем гранодиориты и граниты, высококременистые гранитоиды редки. Помимо вариаций содержания SiO2, посттектонический магматизм в террейнах Восточно-Сарматского орогена закономерно различается по содержанию других петрогенных оксидов. С перемещением с востока на запад из Воронцовского к Тимскому террейну устанавливается общее снижение магнезиальности магматических пород и рост их общей щелочности с увеличением доли K2O (рис. 19г–19е).
Геохимические особенности посттектонических магматических комплексов также демонстрируют закономерные вариации в террейнах Восточно-Сарматского орогена (рис. 19ж–19м), которые, вероятно, отражают различия в составах источников и условиях их плавления. При перемещении из Воронцовского в Тимской террейн в магматических породах наблюдается увеличение концентраций крупноионных литофильных и высокозарядных элементов, включая Th, Nb, Ba (рис. 19и, 19к, 19м) и другие, что, возможно, отражает увеличение степени обогащенности литосферных мантийного и корового источников. Высокие концентрации Cr, Ni, Co (рис. 19л) и других «мантийных» элементов в магматических комплексах Воронцовского террейна в сочетании с умеренными содержаниями в них LILE и HFSE могут указывать на менее обогащенную примитивную литосферу этого террейна и, возможно, участие подлитосферного источника. Заметный рост значений (Gd/Yb)n и Eu/Eu* (рис. 19ж, 19з) в посттектонических породах при переходе от Воронцовского к Тимскому террейну отражает, вероятно, увеличение роли граната и уменьшение роли плагиоклаза в реститах материнских расплавов, что в целом отражает увеличение глубины магмогенерации при перемещении с востока на запад в Восточно-Сарматском орогене.
Sm-Nd изотопно-геохимические характеристики посттектонических гранитоидов в террейнах Восточно-Сарматского орогена контрастно различаются и закономерно изменяются с запада на восток (рис. 19б). В Тимском террейне гранитоиды имеют отрицательные значения εNd(T), и в направлении к Волго-Донскому орогену в них отмечается все более радиогенный состав Nd. Значения εNd(T) = = −9 … −8 в тыловой части структуры сменяются εNd(T) = −3 … −2 при приближении к Лосевскому и Донскому террейнам. Причем низкорадиогенный состав Nd также имеют и габброиды Тимского террейна с возрастом ≈2.06 млрд лет (Бойко и др., 2014; Савко и др., 2022).
В Донском террейне гранитные батолиты павловского комплекса имеют более радиогенный состав Nd и тенденцию его изменения к положительным значениям εNd(T) на восток в направлении к Воронцовскому террейну. К примеру, на границе с Тимским террейном в них еще отмечаются отрицательные значения εNd(T) = −2.4 … −1.3, которые сменяются положительными ближе к Воронцовскому террейну (Terentiev et al., 2020). Северо-восточнее в Лосевском террейне все крупные батолиты усманского комплекса имеют радиогенный состав Nd и положительные значения εNd(T) (Terentiev et al., 2016b). В Воронцовском террейне гранитоиды имеют только положительные значения εNd(T) = 1.6–3.1.
Таким образом, изотопно-геохимические характеристики гранитоидов Восточной Сарматии обнаруживают закономерные изменения в изотопном составе Nd, которые отражают изменение возраста литосферных источников от палео- и мезоархейских для Тимского террейна к неоархейским и палеопротерозойским для Донского и Лосевского террейнов и только палеопротерозойским для Воронцовского.
Геодинамические обстановки проявления посттектонического магматизма Восточно-Сарматского орогена
Вопросы тектонических обстановок формирования посттектонических магматических ассоциаций Восточно-Сарматского орогена обсуждались многими исследователями, но исключительно в масштабах отдельных магматических комплексов и террейнов. Формирование габброидов Тимского террейна связывалось с континентальным рифтогегенезом (Бойко и др., 2014), а гранодиоритов – с коллизией (Чернышов и др., 1997) и с постколлизионным растяжением (Савко и др., 2014б). Для гранитоидов Лосевского и Донского террейнов предполагалась надсубдукционная природа (Чернышов и др., 1997) или поздне- и постколлизионная обстановка (Terentiev et al., 2016а, Terentiev et al., 2020). В Воронцовском террейне базит-гипербазитовый магматизм рассматривался как результат внутриплитного рифтогенеза и рассеянного спрединга, а гранитный – как коллизионный (Чернышов и др., 1997). В более поздних работах (Савко и др., 2014а; Терентьев, Савко, 2016; Terentiev et al., 2016б, 2018) считалось, что базиты, кольцевой Ольховский плутон, граниты A- и S-типов, а также андезиты в Калачском грабене в Воронцовском террейне образуются в постколлизионной обстановке при распаде коллизионного орогена.
Рассмотрение террейнов по отдельности не способствует пониманию тектоники, поскольку посттектонические магматические комплексы в разных террейнах, имеющие сходную структурно-тектоническую позицию, близкие изотопные возрасты и тесную пространственную сопряженность в составе общей тектонической структуры Восточно-Сарматского орогена, являются, вероятно, частями единой крупной магматической провинции, и их формирование было связано с общим тектоническим/геодинамическим режимом. Расшифровка этого режима для Восточной Сарматии является частью общей проблемы тектоники и геодинамики кислых крупных изверженных провинций (ККИП или silica large igneous provinces – SLIPs), которые широко развиты и в докембрийских, и в фанерозойских областях и активно изучаются в последние десятилетия (Bryan, Ferrari, 2013; Navarrete et al., 2024; Rodríguez et al., 2022). В настоящее время обсуждаются две главные геодинамические модели формирования SLIPs – в связи с плавлением континентальной литосферы при подъеме глубинных плюмов (Цыганков и др., 2017; Ernst, 2014) или при постсубдукционных процессах разрушения литосферы (Navarrete et al., 2024).
Данные о площадном распространении магматических комплексов с возрастом 2.05–2.08 млрд лет на территории всего Восточно-Сарматского орогена и их возрастная корреляция с крупным магматическим плюмовым событием на других кратонах (Bushveld age) могли бы указывать на плавление литосферы Восточной Сарматии под воздействием крупного глубинного мантийного плюма, ведущая роль которого широко обсуждается для ККИП (Цыганков и др., 2017) Однако плюмовая модель предполагает объемный базитовый магматизм с участием примитивных мантийных базальтов в Тимском и соседних Лосевском и Донском террейнах, который проявлен спорадически, а деплетированные ювенильные базиты отсутствуют. Кроме того, мы должны признать необычайную своевременность и «меткость» глубинного плюма, поднявшегося точно под Восточно-Сарматский ороген примерно через 30 млн лет после завершения в нем активных субдукционных процессов.
Альтернативой глубинного мантийного плюма мог служить астеносферный диапир, инициированный растяжением литосферы при коллапсе Восточно-Сарматского орогена (Савко и др., 2014а, 2014б; Терентьев, Савко, 2016; Terentiev et al., 2016б). Этот механизм наиболее востребован исследователями, поскольку с его помощью можно объяснить пространственную и временную взаимосвязь разнообразных гранитоидов в истории Восточно-Сарматского орогена, а также их субщелочной характер и геохимическую специфику, типичные для посторогенных комплексов фанерозойских поясов (Li, Li, 2007; Navarrete et al., 2024). Для этой модели наиболее подходит Воронцовский террейн, где больше, чем в других, выражен мафит-ультрамафитовый магматизм. Однако хорошая вещественная сохранность и сравнительно слабый метаморфизм вулканогенно-осадочных комплексов указывают, скорее, на его аккреционную, чем коллизионную природу, что делает маловероятным масштабную реализацию механизма коллапса орогена с постколлизионным растяжением и его значимый вклад в плавление литосферы.
Для нескольких фанерозойских SLIPs обсуждается близкий по сути механизм плавления континентальной литосферы при разрушении полого субдуцированной океанической плиты (Li, Li, 2007; Liu et al., 2021; Navarrete et al., 2024). Представляется, что эта модель может быть наиболее применима для объяснения особенностей посттектонического магматизма Восточно-Сарматского орогена. Важно отметить, что крупномасштабные пологие слэбы нередки в геологической летописи и демонстрируют значительную изменчивость протяженности пологой субдукции (Li, Li, 2007; Liu et al., 2021; Navarrete et al., 2024; Wu et al., 2019).
Завершающий эпизод субдукционных процессов в Восточной Сарматии фиксируется одновременно около 2.1 млрд лет назад на самом востоке Воронцовского террейна в виде метаморфизованных осадочных пород (граувакк) аккреционного клина, образовавшихся при разрушении ювенильной внутриокеанической островной дуги в Волго-Донском океане (Ерофеева и др., 2023), в центре – в островодужном Лосевском террейне (Terentiev et al., 2017) и на самом западе в Тимском террейне в виде вулканогенно-осадочных комплексов задугового бассейна, образовавшегося около 2.1 млрд лет назад на континентальной коре Курского блока при отрыве погружающейся плиты (Цыбуляев и др., 2021). Это дает основание предполагать, что около 2.1 млрд лет назад вся Восточная Сарматия на протяжении около 800 км подстилалась океанической плитой (рис. 20).
Рис. 20. Геодинамическая модель развития восточного фланга Сарматии и Восточно-Сарматского орогена в палеопротерозое.
На начальных стадиях погружения плоского слэба происходит прогибание перекрывающей плиты и появление морских (или озерных) бассейнов во внутренних регионах (Navarrete et al., 2024). Такой бассейн существовал в районе северного сочленения Лосевского и Воронцовского террейнов. Почти неметаморфизованные груботерригенные породы и филлиты воронежской свиты (рис. 1) накапливались в узком интервале 2070–2074 млн лет (Terentiev et al., 2018) и плащом перекрывали усманские гранитоиды, флишевые метаосадки воронцовской серии и другие комплексы Лосевского и Воронцовского террейнов. Короткое время существования воронежского бассейна объясняется сменой прогибания поднятием в результате отделения и погружения нижней плиты.
Между двумя плитами находилась гетерогенная смесь фрагментов метабазальтов, метаосадочных пород и порций мантийных расплавов, образующихся в результате поступления флюидов при дегидратации нижней плиты. Около 2.07 млрд лет назад эта океаническая плита начала разрушаться, о чем свидетельствует первое появление гранитов А2-типа в центральной части Воронцовского террейна (Савко и др., 2014a). Эта важная трансформация от внутриконтинентального орогена к растяжению литосферы, вероятно, была связана с усилением гравитационного притяжения океанической плиты, поскольку метаморфические фазовые изменения сделали ее более плотной. Обрушение погруженной плиты (рис. 20) привело к апвеллингу астеносферной мантии и мафическому инфра- и/или андерплэйтингу. Значительное увеличение теплового потока вызвало внутрикоровое плавление в верхней плите, состоящей из спаянных в результате недавней субдукции разновозрастных фрагментов архейской и палеопротерозойской коры. Эти коровые расплавы могли смешиваться с магмами, образовавшимися при субдукции. Модельные возрасты TNd в породах и THf в цирконах закономерно становятся моложе в направлении от Тимского террейна к Воронцовскому, указывая на смену древних архейских коровых источников ювенильными палеопротерозойскими. Основной объем магматизма составляют кислые и средние известково-щелочные породы с разноглубинными, в том числе и эклогитизированными источниками.
Обрушение плиты и внутрикоровое плавление были наиболее интенсивными в области «ретросубдукционного шва» – тектонического перехода («ступени») на границе с более мощной жесткой холодной архейской литосферой Тимского террейна и недавно образованной в результате субдукционно-аккреционных процессов «теплой» и «эластичной» островодужной корой Лосевского и Воронцовского террейнов. Именно в этой области отмечается наиболее высокотемпературный метаморфизм с возрастом 2.07 млрд лет (Savko et al., 2018), интенсивная переработка (переплавление) архейской коры на краю Курского блока (Тимской террейн), возникновение огромных батолитов павловских гранитов (Terentiev et al., 2020) Донского террейна, отделяющих Курский блок от Лосевского террейна (рис. 1). Повышенный тепловой поток на западной границе Воронцовского террейна также привел к выплавлению S-гранитов из флишевых метаосадков (Савко и др., 2014a).
Диорит-гранодиоритовый магматизм в виде не очень крупных интрузий в западной части Тимского террейна фиксирует образование разноглубинных очагов плавления в древней архейской коре Курского блока в условиях меньшего теплопотока, чем на его восточной границе. Омоложение модельных возрастов TNd в породах и THf в цирконах из диорит-гранодиоритовых массивов, близких к восточной границе Тимского террейна, объясняется вовлечением во внутрикоровые очаги плавления фрагментов палеопротерозойской литосферы. Распад нижней плиты также стал причиной образования небольшого количества габброидных интрузий с возрастом 2.07–2.05 млрд лет (Савко и др., 2022).
ВЫВОДЫ
1. Посттектонический магматизм с возрастом 2.08–2.04 млрд лет в Тимском террейне представлен известково-щелочными гранодиоритами и диоритами, образовавшимися при плавлении неоднородных по составу палео-, мезо- и неоархейских обогащенных литосферных источников, претерпевших переработку в палеопротерозойское время. Роль внутрикоровой дифференциации диоритовых и гранодиоритовых расплавов была минимальной.
2. Синтез изотопно-геохимических данных для синхронного посттектонического магматизма Тимского террейна и террейнов Восточно-Сарматского орогена позволил сформулировать геодинамическую модель для SLIPs Восточной Сарматии с возрастом 2.08–2.04 млрд лет, в основу которой положен механизм пологой субдукции:
2.1. Около 2.1 млрд лет назад Восточная Сарматия на протяжении около 800 км подстилалась океанической плитой.
2.2. На начальных стадиях погружения плоского слэба происходит прогибание перекрывающей плиты и появление 2070–2074 млн лет назад в приграничной области Лосевского и Воронцовского террейнов Воронежского мелководного бассейна, который быстро исчезает при смене прогибания поднятием в результате отделения и погружения нижней плиты.
2.3. В результате дестабилизации океанической плиты, вызванной частичной эклогитизацией, около 2.07 млрд лет назад произошел переход от режима сжатия к растяжению. Последующее обрушение погруженной плиты (рис. 20) привело к апвеллингу астеносферной мантии и мафическому инфра- и/или андерплэйтингу. На начальных этапах погружения плиты образуются продукты низкой степени частичного плавления частично эклогитизированных субдуцированных пород.
2.4. Значительное увеличение теплового потока вызвало внутрикоровое плавление в верхней плите, состоящей из спаянных в результате недавней субдукции разновозрастных фрагментов архейской и палеопротерозойской коры.
Основной объем SLIPs Восточной Сарматии составляют кислые и средние известково-щелочные породы с разноглубинными, в том числе и эклогитизированными источниками. Диорит-гранодиоритовые магмы Тимского террейна образовались в разноглубинных очагах плавления в древней архейской коре на окраине Курского блока с вовлечением в источники расплавов фрагментов палеопротерозойской литосферы Восточно-Сарматского орогена.
Благодарности. Авторы выражают благодарность рецензентам В.В. Ярмолюку и А.А. Цыганкову за замечания и предложения, способствовавшие улучшению рукописи.
Источники финансирования. Исследование выполнено при поддержке госбюджетной темы ИГЕМ РАН № 124022400143-9.
Дополнительные материалы размещены в электронном виде по doi статьи.
В дополнительных материалах к русской онлайн-версии статьи на сайтах https://elibrary.ru/ и https://link.springer.com/приведены:
Supplementary 1, ESM_1.pdf – Содержания петрогенных оксидов, редких и редкоземельных элементов в гранитоидах Роговского массива.
Supplementary 2, ESM_2.pdf – Содержания петрогенных оксидов, редких и редкоземельных элементов в гранодиоритах Прилепского массива.
Supplementary 3, ESM_3.pdf – Содержания петрогенных оксидов, редких и редкоземельных элементов в диоритах Северо-Щигровского массива.
Supplementary 4, ESM_4.pdf – Содержания петрогенных оксидов, редких и редкоземельных элементов в гранодиоритах Щигровского массива.
Supplementary 5, ESM_5.pdf – Содержания петрогенных оксидов, редких и редкоземельных элементов в гранодиоритах Луневского массива.
Supplementary 6, ESM_6.pdf – Содержания петрогенных оксидов, редких и редкоземельных элементов в гранодиоритах Екатерининского массива.
Supplementary 7, ESM_7.pdf – Содержания петрогенных оксидов, редких и редкоземельных элементов в диоритах Троснянского массива.
Supplementary 8, ESM_8.pdf – Результаты U-Pb геохронологических исследований циркона методом SHRIMP.
Supplementary 9, ESM_9.pdf – Результаты U-Pb изотопных исследований циркона методом TIMS.
Supplementary 10, ESM_10.pdf – Sm-Nd изотопные данные для гранитоидов стойло-николаевского комплекса.
Supplementary 11, ESM_11.pdf – Lu-Hf изотопный состав циркона из гранитоидов стойло-николаевского комплекса.
Об авторах
К. А. Савко
Воронежский государственный университет; Институт геологии рудных месторождений, петрографии, минералогии и геохимии РАН
Автор, ответственный за переписку.
Email: ksavko@geol.vsu.ru
Россия, Воронеж; Москва
А. В. Самсонов
Институт геологии рудных месторождений, петрографии, минералогии и геохимии РАН
Email: ksavko@geol.vsu.ru
Россия, Москва
Е. Х. Кориш
Воронежский государственный университет
Email: ksavko@geol.vsu.ru
Россия, Воронеж
А. Н. Ларионов
Центр изотопных исследований Всероссийского геологического института им. А.П. Карпинского
Email: ksavko@geol.vsu.ru
Россия, Санкт-Петербург
Е. Б. Сальникова
Институт геологии и геохронологии докембрия РАН
Email: ksavko@geol.vsu.ru
Россия, Санкт-Петербург
А. А. Иванова
Институт геологии и геохронологии докембрия РАН
Email: ksavko@geol.vsu.ru
Россия, Санкт-Петербург
Н. С. Базиков
Воронежский государственный университет
Email: ksavko@geol.vsu.ru
Россия, Воронеж
С. В. Цыбуляев
Воронежский государственный университет
Email: ksavko@geol.vsu.ru
Россия, Воронеж
М. В. Червяковская
Институт геологии и геохимии им. А.Н. Заварицкого УО РАН
Email: ksavko@geol.vsu.ru
Россия, Екатеринбург
Список литературы
- Альбеков А.Ю., Рыборак М.В., Бойко П.С. Реперное U-Pb изотопное датирование палеопротерозойских габброидных формаций Курского блока Сарматии (Воронежский кристаллический массив) // Вестн. Воронежского ун-та. Сер. геол. 2012. № 2. С. 84–94.
- Артеменко Г.В. Геохронологическая корреляция вулканизма и гранитоидного магматизма юго-восточной части Украинского щита и Курской магнитной аномалии // Киев: Наукова думка, Геохимия и рудообразование. 1995. Вып. 21. С. 129–154.
- Бойко П.С., Альбеков А.Ю., Рыборак М.В. Петролого-геохимические особенности габброидов золотухинского комплекса Курского блока ВКМ как индикаторы геодинамической обстановки его формирования // Вестн. Воронежского ун-та. Сер. геол. 2014. № 1. С. 47–53.
- Голивкин Н.И. Петрография и петрохимия пород стойло-николаевского габбро-диоритового комплекса // Материалы по геологии и полезным ископаемым центральных районов европейской части СССР. М., 1962. Вып. V. С. 25–33.
- Ерофеева К.Г., Самсонов А.В., Савко К.А. История развития юго-западной окраины палеопротерозойского Волго-Донского океана (Восточно-Европейский кратон) // Литогенез и минерагения осадочных комплексов докембрия и фанерозоя Евразии. Материалы X Международного совещания по литологии. Воронеж, 2023. С. 102–105.
- Кориш Е.Х., Савко К.А., Самсонов А.В., Червяковская М.В. Палеопротерозойские диориты Троснянского массива Курского блока Сарматии: U-Pb возраст, изотопная систематика и источники расплавов // Вестн. Воронежского ун-та. Сер. геол. 2020. № 1. С. 87–99.
- Крестин Е.М., Леоненко Е.И. Петрология и потенциальная рудоносность габбро-диорит-гранодиоритовой формации раннего докембрия КМА // Изв. Вузов. Геология и разведка. 1978. № 8. С. 33–45.
- Петракова М.Е., Терентьев Р.А., Юрченко А.В., Савко К.А. Геохимия и геохронология палеопротерозойских кварцевых монцогаббро-монцодиорит-гранодиоритов плутона Потудань (Волго-Донской ороген) // Вест. СПб. ун-та. Науки о Земле. 2022. Т. 67. № 1. С. 74–96.
- Савко К.А., Полякова Т.Н. Зональный метаморфизм и петрология метапелитов Тим-Ястребовской структуры, Воронежский кристаллический массив // Петрология. 2001. Т. 9. № 6. С. 593–611.
- Савко К.А., Самсонов А.В., Базиков Н.С. Метатерригенные породы воронцовской серии Воронежского кристаллического массива: геохимия, особенности формирования и источники сноса // Вестн. Воронежского ун-та. Сер. геол. 2011. № 1. С. 70–94.
- Савко К.А., Самсонов А.В., Ларионов А.Н. и др. Палеопротерозойские граниты А- и S-типов востока Воронежского кристаллического массива: геохронология, петрогенезис и тектоническая обстановка формирования // Петрология. 2014а. Т. 22. № 3. С. 235–264.
- Савко К.А., Самсонов А.В., Базиков Н.С., Козлова Е.Н. Палеопротерозойские гранитоиды Тим-Ястребовской структуры Воронежского кристаллического массива: геохимия, геохронология и источники расплавов // Вестн. Воронежского ун-та. Сер. геол. 2014б. № 2. С. 56–78.
- Савко К.А., Базиков Н.С., Артеменко Г.В. Геохимическая эволюция железисто-кремнистых формаций Воронежского кристаллического массива в раннем докембрии: источники вещества и геохронологические ограничения // Стратиграфия. Геол. корреляция. 2015. Т. 23. № 5. С. 3–21.
- Савко К.А., Самсонов А.В., Холин В.М., Базиков Н.С. Мегаблок Сарматия как осколок суперкратона Ваалбара: корреляция геологических событий на границе архея и палеопротерозоя // Стратиграфия. Геол. корреляция. 2017. Т. 25. № 2. С. 3–26.
- Савко К.А., Кузнецов А.Б., Овчинникова М.Ю., Крамчанинов М.Ю. Положительная аномалия δ13C и изотопный состав Sr в палеопротерозойских известняках тимской свиты Курского блока Сарматии // Докл. АН. 2021. Т. 497. № 2. С. 122–127.
- Савко К.А., Самсонов А.В., Кориш Е.Х. и др. Палеопротерозойские роговообманковые габбро Гнилушинского массива Курского блока Сарматии: геохронология, источники расплавов и тектоническая позиция // Вестн. Воронежского ун-та. Сер. геол. 2022. № 3. С. 4–19.
- Савко К.А., Самсонов А.В., Цыбуляев С.В. и др. Первая находка даек палеопротерозойских айлликитов в Сарматии: геохимия и петрогенезис // Докл. АН. 2024. Т. 515. № 6. С. 71–80.
- Терентьев Р.А., Савко К.А. Высокомагнезиальные низкотитанистые габбро-гранитные серии в палеопротерозое Восточной Сарматии: геохимия и условия формирования // Геология и геофизика. 2016. Т. 57. № 6. С. 1155–1183.
- Терентьев Р.А., Савко К.А., Самсонов А.В., Ларионов А.Н. Геохронология и геохимия кислых метавулканитов лосевской серии Воронежского кристаллического массива // Докл. АН. 2014. Т. 454. № 5. С. 575–578.
- Холин В.М. Геология, геодинамика и металлогеническая оценка раннепротерозойских структур КМА. Автореф. дисс. … канд. геол.-мин. наук. Воронеж, 2001. 24 с.
- Цыбуляев С.В., Савко К.А., Самсонов А.В., Кориш Е.Х. Палеопротерозойские вулканиты тимской свиты Курского блока Сарматии: возраст и геодинамическая обстановка // Докл. АН. 2020. Т. 495. № 1. С. 36–40.
- Цыбуляев С.В., Савко К.А., Самсонов А.В., Кориш Е.Х. Палеопротерозойские рифтогенные вулканиты OIB- и MORB-типа Курского блока Восточной Сарматии: петрология и геодинамика // Петрология. 2021. Т. 29. № 2. С. 136–171.
- Цыганков А.А., Бурмакина Г.Н., Хубановa, В.Б., Буянтуев М.Д. Геодинамика позднепалеозойского батолитообразования в Западном Забайкалье // Петрология. 2017. Т. 25. № 4. С. 395–418.
- Чернышов Н.М., Бочаров В.Л., Молотков С.П. Магматические формации и рудоносность раннего докембрия ВКМ // Петрология и металлогения магматических и метаморфических комплексов КМА и смежных районов. Воронеж: Изд-во ВГУ, 1983. С. 3-49.
- Чернышов Н.М., Ненахов В.М., Лебедев И.П., Стрик Ю.Н. Модель геодинамического развития Воронежского кристаллического массива в раннем докембрии // Геотектоника. 1997. № 3. С. 21–30.
- Щипанский А.А., Самсонов А.В., Петрова А.Ю., Ларионова Ю.О. Геодинамика восточной окраины Сарматии в палеопротерозое // Геотектоника. 2007. № 1. С. 43–70.
- Black L.P., Gulson B.L. The age of the Mud Tank carbonatite, Strangways Range, Northern Territory // BMR J. Austl. Geol. Geophys. 1978. V. 3. P. 227–232.
- Bogdanova S.V., Gorbatschev R., Grad M. et al. EUROBRIDGE: new insight into the geodynamic evolution of the East European Craton // Eds. D.G. Dee, R.A. Stephenson, European Lithosphere Dynamics. 32. Geol. Soc. London Memoirs, 2006. P. 599–628.
- Bryan S.E., Ferrari L. Large igneous provinces and silicic large igneous provinces: Progress in our understanding over the last 25 years // Geol. Soc. Amer. Bull. 2013. V. 125. № 7–8. P. 1053–1078.
- Cawood P.A., Hawkesworth C.J., Pisarevsky S.A. et al. Geological archive of the onset of plate tectonics // Philos. Trans. R. Soc., A. 2018. V. 376. 20170405.
- Corfu F., Andersen T.B. U-Pb ages of the Dalsfjord complex, SW Norway and their bearing on the correlation of allochthonous crystalline segment of the Scandinavian Caledonides // Int. J. Earth Sci. 2002. V. 91. P. 955–963.
- DeWolf C.P., Zeissler C.J., Halliday A.N. et al. The role of inclusions in U-Pb and Sm-Nd garnet geochronology: Stepwise dissolution experiments and trace uranium mapping by fission tracks analysis // Geochim. Cosmochim. Acta. 1996. V. 60. P. 121–134.
- Ernst R.E. Silicic LIPs // Large Igneous Provinces. Cambridge University Press, 2014. P. 214–244.
- Erofeeva K.G., Samsonov A.V., Larionov A.N. et al. Buried Paleoproterozoic orogen of the East European Craton: Age and origin of the Vyatka terrane // Gondwana Res. 2024. V. 129. № 3. P. 53–74.
- Frost B.R., Barnes C.G., Collins W.J. et al. A geochemical classification for granitic rocks // J. Petrol. 2001. V. 42. № 11. P. 2033–2048.
- Giovanardi T., Lugli F. The Hf-INATOR: A free data reduction spreadsheet for Lu/Hf isotope analysis // Earth Sci. Inform. 2017. P. 1–7.
- Goldstein S.J., Jacobsen S.B. Nd and Sr isotopic systematics of river water suspended material: implications for crustal evolution // Earth Planet. Sci. Lett. 1988. V. 87. P. 249–265.
- Gorbatschev R., Bogdanova S. Frontiers in the Baltic shield // Precambr. Res. 1993. V. 64. P. 3–21.
- Horwitz E.Ph., Dietz M.L., Chiarizia R. et al. Separation and preconcentration of uranium from acidic media by extraction chromatography // Anal. Chim. Acta. 1992. V. 266. P. 25–37.
- Igneous Rocks. A Classification and Glossary of Terms. Recommendations of the International Union of Geological Sciences Subcommission on the Systematics of Igneous Rocks, 2nd ed. Ed. R.W. Le Maitre. Geol. Mag. 140. Cambridge, New York, Melbourne: Cambridge University Press, 2002. 367 p.
- Jackson S.E., Norman J.P., William L.G., Belousova E.A. The application of laser ablation-inductively coupled plasma-mass spectrometry to in situ U-Pb zircon geo-chronology // Chem. Geol. 2004. V. 211. P. 47–69.
- Jacobsen S.B., Wasserburg G.J. Sm-Nd isotopic evolution of chondrites and achondrites, II // Earth Planet. Sci. Lett. 1984. V. 67. № 2. P. 137–150.
- Krogh T.E. A low-contamination method for hydrothermal decomposition of zircon and extraction of U and Pb for isotopic age determination // Geochim. Cosmochim. Acta. 1973. V. 37. P. 485–494.
- Larionov A.N., Andreichev V.A., Gee D.G. The Vendian alkaline igneous suite of northern Timan: ion microprobe U-Pb zircon ages of gabbros and syenite // Eds. D.C. Gee, V.L. Pease. The Neoproterozoic Timanide Orogen of Eastern Baltica. Geol. Soc., London Memoirs, 2004. P. 69–74.
- Li Z.-X., Li X.H. Formation of the 1300-km-wide intracontinental orogen and postorogenic magmatic province in Mesozoic South China: A flat-slab subduction model // Geology. 2007. V. 35. № 2. P. 179–182.
- Liu L., Peng D., Liu L. et al. East Asian lithospheric evolution dictated by multistage Mesozoic flat-slab subduction // Earth-Sci. Rev. 2021. V. 217. 103621.
- Ludwig K.R. PBDAT: A computer program for processing Pb-U-Th isotope data, version 1.20: Reston, Virginia, U.S. Geol. Soc. Open-File Report. 1991. 88–542, 40 p.
- Ludwig K.R. On the treatment of concordant uranium-lead ages // Geochim. Cosmochim. Acta. 1998. V. 62. P. 665–676.
- Ludwig K.R. User’s Manual for ISOPLOT/Ex 3.22. A geochronological toolkit for Microsoft Excel. Berkeley Geochronology Center Special Publication. 2005. http://www. bgc.org/klprogrammenu.html.
- Maniar P.D., Piccoli P.M. Tectonic discrimination of granitoids // Geol. Soc. Amer. Bull. 1989. V. 101. P. 636–643
- Mattison J.M. A study of complex discordance in zircon using step-wise dissolution technique // Contrib. Mineral. Petrol. 1994. V. 116. P. 117–129.
- Middlemost E.A.K. Naming materials in the magma/igneous rock system // Earth-Sci. Rev. 1994. V. 37. P. 215–224.
- Navarrete C., Gianni G., Tassara S. et al. Massive Jurassic slab break-off revealed by a multidisciplinary reappraisal of the Chon Aike silicic large igneous province // Earth-Sci. Rev. 2024. V. 249. 104651.
- Rodríguez C., Castro A., Daniel Gómez-Frutos D. et al. The unique Cambro-Ordovician silicic large igneous province of NW Gondwana: Catastrophic melting of a thinned crust // Gondwana Res. 2022. V 106. P. 164–173.
- Savko K.A., Samsonov A.V., Kotov A.B. et al. The early Рrecambrian metamorphic events in Eastern Sarmatia // Precambr. Res. 2018. V. 311. P. 1–23.
- Savko K.A., Samsonov A.V., Santosh M., Ovchinnikova M.Yu. Neoarchean-Palaeoproterozoic sedimentary basins in the Sarmatian Craton: global correlations and connections // Geol. J. 2021a. V. 56. № 9. P. 4479–4498.
- Savko K.A., Samsonov A.V., Larionov A.N. et al. A buried Paleoarchean core of the Eastern Sarmatia, Kursk block: U-Pb, Lu-Hf and Sm-Nd isotope mapping and paleotectonic application // Precambr. Res. 2021b. V. 353. 106021.
- Savko K.A., Samsonov A.V., Salnikova E.B. et al. Paleoproterozoic alkaline-carbonatite magmatism in the convergent tectonic setting: evidences from 2.07 Ga Dubravinsky complex in the eastern Sarmatia // Precambr. Res. 2023. V. 395. 107153
- Shchipansky A.A., Kheraskova T.N. The Volga-Don collisional orogen in the East European craton as the Paleoproterozoic analogue of the Himalayan-Tibetan orogen // Geodynam. Tectonophys. 2023. V. 14. № 2. 0692.
- Shields G.A., Strachan R.A., Porter S.M. et al. A template for an improved rock-based subdivision of the pre-Cryogenian time scale // J. Geol. Soc. 2021. V. 179. № 1. jgs2020–222
- Stacey J.S., Kramers J.D. Approximation of terrestrial lead isotope evolution by a two stage model // Earth Planet. Sci. Lett. 1975. V. 26. P. 207–221.
- Steiger R.H., Jäger H. Subcommission on geochronology: convention of the use of decay constants in geo- and cosmochronology // Earth Planet. Sci. Lett. 1977. V. 36. P. 359–362.
- Terentiev R.A., Santosh M. Detrital zircon geochronology and geochemistry of metasediments from the Vorontsovka terrane: implications for microcontinent tectonics // Int. Geol. Rev. 2016. V. 58. P. 1108–1126.
- Terentiev R.A., Savko K.A., Santosh M. Paleoproterozoic crustal evolution in the Еast Sarmatian Orogen: Petrology, geochemistry, Sr-Nd isotopes and zircon U-Pb geochronology of andesites from the Voronezh massif, Western Russia // Lithos. 2016a. V. 246–247. P. 61–80.
- Terentiev R.A., Savko K.A., Santosh M. et al. Paleoproterozoic granitoids of the Losevo terrane, East European Craton: Age, magma source and tectonic implications // Precambr. Res. 2016b. V. 287. P. 48–72.
- Terentiev R.A., Savko K.A., Santosh M. Paleoproterozoic evolution of the arc–back-arc system in the East Sarmatian Orogen (East European Craton): zircon SHRIMP geochronology and geochemistry of the Losevo volcanic suite // Amer. J. Sci. 2017. V. 317. P. 707–753.
- Terentiev R.A., Savko K.A., Santosh M. Post-collisional two-stage magmatism in the East Sarmatian Orogen, East European Craton: evidence from the Olkhovsky ring complex // J. Geol. Soc. 2018. V. 175. P. 86–99.
- Terentiev R.A., Savko K.A., Santosh M. et al. Paleoproterozoic granitoids of the Don terrane, East Sarmatian Orogen: age, magma source and tectonic implications // Precambr. Res. 2020. V. 346. 105790.
- Williams I.S. U-Th-Pb Geochronology by ion microprobe. Applications in microanalytical techniques to understanding mineralizing processes // Rev. Econom. Geol. 1998. V. 7. P. 1–35.
- Wu F.Y., Yang J.H., Xu Y.G. et al. Destruction of the North China craton in the Mesozoic // Annu. Rev. Earth Planet. Sci. 2019. V. 47. P. 173–195
Дополнительные файлы





















