ОСОБЕННОСТИ ДЕМОГРАФИЧЕСКОЙ СТРУКТУРЫ НАСЕЛЕНИЯ КУБАНИ В ЗОЛОТООРДЫНСКИЙ ПЕРИОД (по материалам могильника Натухаевское 5)
- Авторы: Петрова К.А.1
-
Учреждения:
- Институт археологии РАН
- Выпуск: № 1 (2023)
- Страницы: 119-127
- Раздел: СТАТЬИ
- URL: https://medbiosci.ru/0869-6063/article/view/138836
- DOI: https://doi.org/10.31857/S0869606323010166
- EDN: https://elibrary.ru/MCEWOU
- ID: 138836
Цитировать
Полный текст
Аннотация
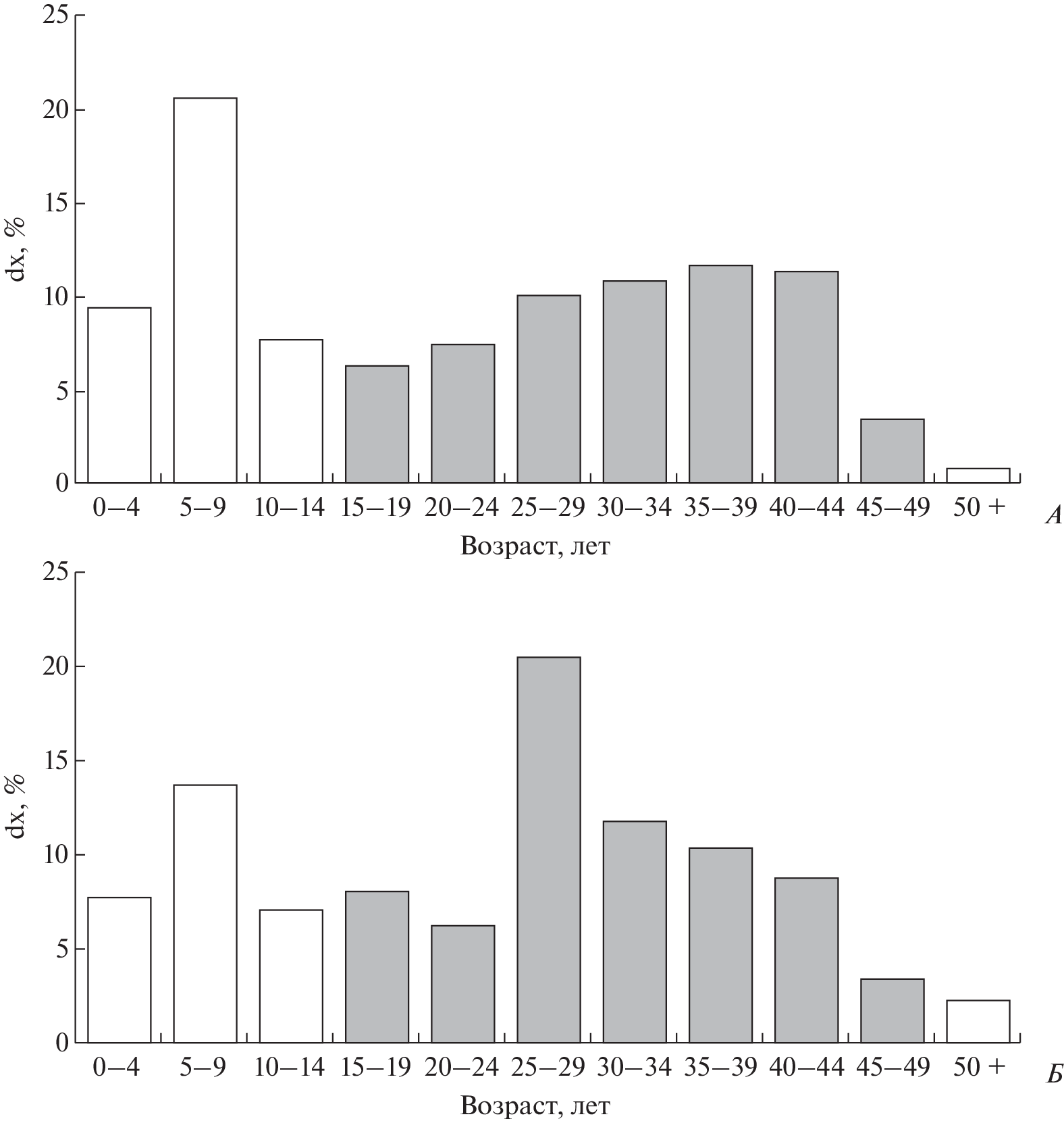
В статье впервые представлены результаты палеодемографического исследования выборки останков погребенных из средневекового курганно-грунтового могильника Натухаевское 5, исследованного в 2013–2014 гг. Благодаря благоприятным географическим условиям данный регион издавна был зоной активных межэтнических контактов, что выразилось в большом разнообразии погребальных обрядов. Археологический контекст позволяет разделить выборку на две группы: каменные ящики и грунтовые ямы. Проведенный анализ основных палеодемографических характеристик выявил различия в половозрастном составе и продолжительности жизни двух групп населения, проявляющиеся в преобладании мужских захоронений в каменных ящиках и женских – в грунтовых; в равномерном распределении смертности погребенных в каменных ящиках (в интервале от 15 до 44 лет) и в выраженном пике смертности в 25–29 лет в выборке из грунтовых захоронений. Для сравнения полученных данных привлечены материалы синхронных серий золотоордынских некрополей, демонстрирующие значительное локальное разнообразие.
Ключевые слова
Об авторах
К. А. Петрова
Институт археологии РАН
Автор, ответственный за переписку.
Email: kriss150294@mail.ru
Россия, Москва
Список литературы
- Алексеев В.П. Палеодемография: содержание и результаты // Историческая демография: проблемы, суждения, задачи / Ред. Ю.А. Поляков. М.: Наука, 1989. С. 63–90.
- Алексеева Е.П. Очерки по истории черкесов в XIV–XV вв. // Труды Карачаево-Черкесского научно-исследовательского института истории, языка и литературы. Вып. III. Черкесск, 1959. С. 3–82.
- Алексеева Е.П. Археологические памятники Карачаево-Черкесии. М.: Восточная литература, 1992. 216 с.
- Алексеева Т.И., Богатенков Д.В., Лебединская Г.В. Влахи. Антропо-экологическое исследование (по материалам средневекового некрополя Мистихали). М.: Научный мир, 2003. 132 с.
- Армарчук Е.А., Дмитриев А.В. Цемдолинский курганно-грунтовый могильник. М.: ИА РАН; СПб.: Нестор-История, 2014. 132 с.
- Армарчук Е.А., Малышев А.А. Средневековый могильник в Цемесской долине // Историко-археологический альманах. Вып. 3. Армавир; М.: Армавирский краевед. музей, 1997. С. 92–114.
- Балабанова М.А., Перерва Е.В., Зубарева Е.Г. Антропология Красноярского городища золотоордынского времени. Волгоград: Волгоградская акад. гос. службы, 2011. 180 с.
- Батиева Е.Ф. Антропологические материалы из могильника XIII–XIV века средневекового поселения “Жукова” (Краснодарский край, х. Кубанская колонка) // Вестник антропологии. 2011. Вып. 19. С. 161–168.
- Батиева Е.Ф. Демографический профиль отдельных групп населения Азака XIII–XIV веков н.э. // Азак и мир вокруг него: материалы Междунар. науч. конф. (14–18 октября 2019 г., г. Азов) / Отв. ред. Е.Е. Мамичев. Азов: Изд-во Азовского музея-заповедника, 2019 (Донские древности; вып. 12). С. 246–253.
- Батиева Е.Ф., Кашибадзе В.Ф. К антропологии средневекового населения Северо-Западного Кавказа (по материалам могильника Аушедз) // В поисках наследственной изменчивости: сб. ст. в честь 90-летия Генриэтты Леонидовны Хить. СПб.: Нестор-История, 2020. С. 96–116.
- Бонин А.В. Отчет об охранно-спасательных археологических работах 2013 г. на могильнике Натухаевское 5 в г-г. Новороссийск Краснодарского края // Архив Института археологии РАН. № 38617.
- Бонин А.В. Отчет об охранно-спасательных археологических работах 2014 г. на могильнике Натухаевское 5 в г-г. Новороссийск Краснодарского края в 2014 г. // Архив Института археологии РАН. № 32081.
- Бонин А.В. Охранно-спасательные работы 2010–2013 гг. в Анапе, Новороссийске и Крымском районе Краснодарского края // Археологические открытия 2010–2013 годов / Отв. ред. Н.В. Лопатин. М.: ИА РАН, 2015. С. 323–325.
- Дружинина И.А. Нижнее Закубанье в XIII–XIV вв.: на границе культур и природных зон // Диалог городской и степной культур на евразийском пространстве. Историческая география Золотой Орды: материалы Седьмой междунар. конф., посвящ. памяти Г.А. Федорова-Давыдова (8–12 ноября, 2016 г.). Казань; Ялта; Кишинев: Stratum Plus, 2016. С. 215–218.
- Дружинина И.А., Медникова М.Б. Между Крымом, Кавказом и степью: население степного левобережья Кубани в XIV в. (по материалам археологического и антропологического изучения грунтовых могильников) // Вестник Московского университета. Серия 23: Антропология. 2019. С. 104–116.
- Красильникова Л.И. Отчет об охранных археологических раскопках на территории выявленного объекта археологического наследия “Поселение Псебепс-3” в Крымском районе Краснодарского края в 2016 г. // Архив Института археологии РАН. № 54191.
- Лапшин А.С., Лапшина И.Ю. Христианское кладбище на Водянском городище и предметы христианского культа // Археология евразийских степей. 2018. № 4. С. 255–259.
- Лапшин А.С., Мыськов Е.П. Исследования на Водянском городище в 2009–2010 гг. Волгоград: Царицынская полиграф. компания, 2011. 174 с.
- Лапшин А.С., Мыськов Е.П. Исследования на Водянском городище в 2011–2012 гг. М.: Перо, 2013. 216 с.
- Майко В.В. Средневековые некрополи Судакской долины. Киев: Академпериодика, 2007. 273 с.
- Макарова Т.И. Археологические раскопки в Керчи около церкви Иоанна Предтечи // Материалы по археологии, истории и этнографии Таврии. Вып. VI / Отв. ред. А.И. Айбабин. Симферополь: Таврия, 1998. С. 344–393.
- Нечипорук А.А. Работы 2010 года на поселениях Жукова, Фурожан 2 и Псиф 3 в Крымском районе Краснодарского края // Археологические открытия 2010–2013 гг. / Отв. ред. Н.В. Лопатин. М.: ИА РАН, 2015. С. 407.
- Сизов В.И. Восточное побережье Черного моря. Археологические экскурсии. М.: Тип. А.И. Мамонтова, 1889 (Материалы по археологии Кавказа; вып. II). 183 с.
- Тешев М.К. Адыгские погребальные сооружения в развитом и позднем средневековье в Туапсинском районе и на черноморском побережье Западного Кавказа // Вопросы археологии Адыгеи / Отв. ред. Н.В. Анфимов. Майкоп: Адыгейский науч.-исслед. ин-т экономики, языка, литературы и истории, 1985. С. 142–165.
- Чхаидзе В.Н. Средневековые погребения в каменных ящиках на Таманском полуострове // Материалы и исследования по археологии Поволжья. Вып. 3. Средневековая археология евразийских степей. М.; Йошкар-Ола: Марийский гос. ун-т, 2006. С. 53–86.
- Standards for data collection from human skeletal remains / Eds. J. Buikstra, D. Ubelaker. Fayetteville, 1994 (Arkansas Archaeological Survey Research; no. 44). 206 p.
Дополнительные файлы









