Spatial and Temporal Variability of the Thermal Comfort Conditions in Kazakhstan
- Authors: Gushchina D.Y.1, Muhtarova Z.T.2
-
Affiliations:
- Lomonosov Moscow State University
- Kazakhstan Branch of Lomonosov Moscow State University
- Issue: Vol 156, No 4 (2024)
- Pages: 311-339
- Section: Articles
- URL: https://medbiosci.ru/0869-6071/article/view/281288
- DOI: https://doi.org/10.31857/S0869607124040069
- EDN: https://elibrary.ru/MOEWKI
- ID: 281288
Cite item
Full Text
Abstract
The investigation of cold stress conditions in Kazakhstan is motivated by the lack of generalized studies of thermal comfort for the country, the high social and economic consequences of extreme cold conditions for the region and the observed significant trends in air temperature and precipitation in the region. Basing on 3-hour data for 13 cities of Kazakhstan the seasonal cycle and spatial distribution of thermal comfort over the territory of Kazakhstan were analyzed. The wind-chill index (WCI) was used to assess cold stress, and the physiologically equivalent temperature (PET) was used for the warm period. It was shown that the coldest region of Kazakhstan is the North with the maximum amount of days with cold stress conditions in Astana and Petropavlovsk. The maximum number of days with cold stress occurs in January and February, the minimum is in March, and in October cold stress is not recorded on the territory of the Republic. High heat stress was recorded in all regions of Kazakhstan during all 6 months of the warm half-year. The maximum repeatability of high heat stress (PET index exceeding +35°C) is documented in Almaty and Shymkent. The spatial distribution of thermal comfort is governed mainly by atmosphere circulation in winter and radiation conditions in summer, which is characteristic of continental climate. The interannual variability of cold stress conditions has no pronounced trend and is irregular due to the specific of synoptic processes in a particular year. During the warm period in most cities, the number of days with high thermal stress increases toward the end of the period in accordance with the positive temperature trend.
It was revealed that the most thermally comfortable cities in Kazakhstan are Kokshetau and Kostanay, the most thermally uncomfortable ones are Almaty and Shymkent. It is shown that despite the fact that Kazakhstan is traditionally considered as a country with severe winter conditions, the summer period is the dominant factor for the conditions of thermal discomfort in the Republic.
Full Text
ВВЕДЕНИЕ
Современное изменение климата сопровождается резкими изменениями биоклиматических условий по всему миру [3, 7, 8], что мотивирует многочисленные исследования условий термического комфорта в различных регионах в условиях меняющегося климата. Особое внимание уделяется анализу адаптационной способности населения к некомфортным погодным условиям, поскольку тепловой комфорт и дискомфорт в основном определяют самочувствие и работоспособность человека. Экстремальные температуры, резкие колебания погодных условий приводят к риску ухудшения здоровья и безопасности населения [1, 11, 14, 16, 17, 21].
Тепловой комфорт характеризует состояние организма с оптимальным уровнем физиологических функций, при этом человек не чувствует ни жары, ни холода [12]. Организм человека непрерывно вырабатывает тепло для поддержания постоянной температуры. Тем не менее, когда теплообмен между организмом и окружающей средой несбалансирован, накопление тепла приводит к повышению температуры, в то время как дефицит тепла приводит к переохлаждению организма [15].
На сегодняшний день существует значительное количество исследований, посвященных анализу термического комфорта в городских ландшафтах, на примере крупных городов СНГ и зарубежья [1, 14, 16], при этом все еще существуют значительные неопределенности оценок как прошлых, так и будущих изменений теплового комфорта [23, 32, 33]. Однако комфортность погодно-климатических условий на территории Казахстана изучена лишь в отдельных регионах, в частности в Актюбинской области, южных районах Казахстана, в г. Астана [4, 18, 19], а исследования в основном касаются экстремально жарких условий [9, 10]. Комплексных оценок условий комфортности для всей Республики Казахстан не существует. При этом данные метеонаблюдений свидетельствуют о значительной суровости климата и больших сезонных амплитудах метеорологических характеристик в республике: разность между абсолютными максимумами и минимумами температур в Астане составляет около 93˚С, а абсолютный минимум температуры, зафиксированный на территории республики 5 января 1893 г., достиг –51,6°C [6]. Астана, где наблюдения ведутся 152 года, признана одной из самых холодных столиц в мире. Дискомфорт зимних условий усиливается сильными ветрами, наблюдаемыми в холодное время года. Максимальная средняя скорость ветра за доступный период наблюдений, зафиксированная в Астане, составляет 36 м/с [30].
Необходимо отметить, что в недавнем исследовании [25] была выполнена комплексная оценка условий термического комфорта для всей территории Северной Евразии, включающей в себя Республику Казахстан. Создана региональная база данных значений и трендов шести индексов термического комфорта North Eurasian Thermal Comfort Indices Dataset (NETCID), выполнены оценки повторяемости различных градаций теплового и холодового стресса, исследована их пространственная и временная изменчивость, в том числе долгопериодные тренды. Данное исследование базировалось на данных реанализа ERA-Interim. Однако в данном исследовании не проводился региональный анализ условий комфорта для отдельных городов с детализацией сезонного хода по всем месяцам года.
При этом, принимая во внимание очень большую временную и пространственную изменчивость условий термического комфорта по всему Казахстану, отсутствие обобщенных исследований термического комфорта для страны и значительные социальные и экономические последствия экстремальных погодных условий для региона, представляется важной и актуальной научно-практической задачей оценка повторяемости условий теплового и холодового стресса в Республике Казахстан и анализ их многолетней временной изменчивости за период с доступными данными наблюдений для конкретных городов на основании данных наблюдений на метеостанциях, так как данные реанализов во многом сглаживают анализируемые поля метеохарактеристик, существенно занижая наблюдавшиеся экстремумы. Последние исследования показывают, что на территории Казахстана отмечаются значимые тренды метеорологических характеристик, в первую очередь температуры воздуха и осадков, обусловленные глобальными тенденциями изменения климата [20, 35]. Эти тренды имеют неоднородный характер и различаются как в зависимости от региона, так и от сезона года. В связи с этим встает вопрос о возможном влиянии наблюдающихся тенденций изменения климата на условия термического комфорта на территории Казахстана.
Целью настоящего исследования является комплексный анализ изменений условий термического комфорта на территории Республики Казахстан по данным станционных наблюдений. Они определяются двумя основными факторами: долгопериодными трендами метеохарактеристик, определяющих термический комфорт, и изменчивостью синоптических условий в каждый конкретный год исследуемого периода. Неоднородность климатических и географических условий на территории Казахстана приводят к существенным различиям как синоптических ситуаций, так и долговременных трендов в разных регионах Казахстана, что, в свою очередь, определяет неоднородный характер изменений термического комфорта в пределах республики.
МАТЕРИАЛЫ И МЕТОДЫ ИССЛЕДОВАНИЯ
Район исследования
Казахстан расположен в центральной части Азиатского континента и является девятой по величине страной на планете (2.7 млн км2). Большая часть территории страны представляет собой низменности и равнины, с горными районами только на востоке и юго-востоке [29]. Расположение Казахстана в центре Азиатского континента обуславливает резкую континентальность климата и практическое отсутствие влияния океанов. Воздушные массы с Индийского и Тихого океанов почти не достигают этой территории. Атлантический океан оказывает наибольшее влияние на региональный климат из-за западного переноса влажных воздушных масс [30]. Климат Казахстана резко континентальный. На севере страны ежегодно выпадает 250–350 мм осадков, а в южных регионах — всего 100–120 мм. Средняя температура января составляет –15°C. Лето довольно жаркое, со средней максимальной температурой июля до 40°C в низменных степях и пустынных степях [30].
Данные
Исследования проводились по данным в 13 крупных городах Казахстана. Города были выбраны исходя из доступности данных (период доступных наблюдений составляет не менее пяти лет) и репрезентативности (климатические условия в городе являются репрезентативными для некоторой территории Казахстана). В их число вошли такие города как Актау, Актобе, Алматы, Астана, Атырау, Караганда, Кокшетау, Костанай, Кызылорда, Петропавловск, Тараз, Усть-Каменогорск и Шымкент.
В качестве исходных данных были использованы данные станционных наблюдений на территории Казахстана, представленные компанией ООО “Расписание Погоды” за период 2005–2021 г. [13]. Дискретность наблюдений составляет 3 часа. Использованы данные о приземной температуре воздуха, скорости ветра, общем количестве облачности и относительной влажности. Во время анализа полученных данных обнаружилось, что на отдельных станциях существуют значительные пропуски. Все метеостанции разделились на станции с полными рядами данных, имеющими частичные пропуски и станции со значительными пропусками. Важным этапом работы стало устранение неточности и редактирование таблиц исходных данных.
Для анализа температурных трендов были использованы данные из веб-приложения “Climate at a Glance” NOAA [28]. Приложение предназначено для визуализации климатической статистики по всему миру и содержит, среди прочего, аномалии приземной температуры воздуха. Данные о температуре получены из двух реанализов: Глобальной исторической климатологической сети (среднемесячные данные) — GHCN-M версия 4 [27] и Международного комплексного набора данных об океане и атмосфере (ICOADS) версия 5 [24] за период с 1880 г. по настоящее время и основаны на наблюдениях с более чем 26000 станций. Аномалии рассчитаны путем удаления сезонного цикла, усредненного за 1981–2010 г. (референтный период, используемый во многих климатических исследованиях). Далее были рассчитаны тренды температурных аномалий (в °С за десятилетие) за исследуемый период (2005–2021). Тренды температуры точки росы и скорости ветра были рассчитаны по данным архива Copernicus Climate Change Service (CCCS) Climate Data Store [22] по аналогичной методике.
Методы
Для анализа условий термической комфортности в городах Казахстана было выбрано два индекса: для холодного периода ветро-холодовой индекс (Wind Chill Index — WCI); для теплого периода – физиологически эквивалентная температура (Physiological Equivalent Temperature — РЕТ). Данный выбор обусловлен следующими причинами. Основными факторами, обуславливающими дискомфорт в холодное полугодие в Республике Казахстан, являются низкие температуры и высокие скорости ветра, именно эти характеристики входят в WCI. Однако в теплое полугодие влияние на условия термического комфорта также оказывают влажность воздуха, балл облачности и радиационный баланс, в большей степени, чем зимой. Кроме того, значительное влияние на состояние термического комфорта человека оказывают процессы метаболизма в организме. Все эти факторы учитываются при расчете индекса PET. Метаболизм безусловно оказывает влияние и в холодный период года. Однако в холодный период доминирующее влияние на ощущение комфорта оказывает одежда человека, что делает расчет PET для зимнего периода достаточно субъективным, так как существует неопределенность в выборе параметра, описывающего одежду. В связи с этим было принято решение для холодного периода использовать индекс, не зависящий от одежды, то есть WCI. В летний период, особенно для условий достаточно жарких, анализируемых в работе, можно принять параметр одежды постоянным, соответствующим легкой одежде.
Расчет ветро-холодового индекса для холодного полугодия
Для оценки условий термического комфорта в холодное полугодие (октябрь–март) использовался ветро-холодовой индекс:
WCI = 13.12 + 0.6215 × t – 11.37 × U^0.16 + 0.3965 × t × U^0.16.
где t — приземная температура воздуха в °C, U — приземная скорость ветра в км/час (на стандартной высоте 10 м). Индекс используется как способ определения жесткости погодных условий, а именно оценивается субъективное ощущение человека при одновременном воздействии мороза и ветра. Формула рассчитана на среднестатистического человека, не подверженного вирусным, инфекционным и другим заболеваниям и одетого по погоде. На основании исследований Антарктики Пол Сейпл разделил значения индекса на три градации: умеренная зона, зона нарастающей опасности, опасная зона [31]. Канадская шкала значений ветро-холодового стресса увеличила число градаций рисков обморожения (табл. 1).
Таблица 1. Градации ветро-холодового стресса. Взято из [34]
Table 1. Grades of Wind-Chill Index, from [34]
Опасность для здоровья согласно WCI, в ˚С | |
< 0.0 | Риск обморожения или переохлаждения отсутствует |
0.0…—10.0 | Небольшой риск обморожения |
—10.0…–28.0 | Небольшой риск обморожения и переохлаждения |
—28.0…–40.0 | Средний риск переохлаждения и обморожения открытых учаcтков кожи в течение 10–30 минут |
–40.0…—48.0 | Высокий риск переохлаждения и обморожения открытых участков кожи в течение 5–10 минут |
—48.0…–55.0 | Очень высокий риск переохлаждения и обморожения открытых участков кожи в течение 2–5 минут |
< –55.0 | Крайне высокий риск переохлаждения и обморожения открытых участков кожи менее чем в течение 2 минут |
В настоящем исследовании рассматривались две градации WCI: значения в интервале –28.0°С...–40.0 — средний риск переохлаждения и < –40.0˚С — высокий, очень высокий и крайне высокий риск переохлаждения.
Расчет индекса физиологически эквивалентной температуры (РЕТ) для теплого полугодия
Для определения термического комфорта в теплое полугодие (апрель–сентябрь) рассчитывалась физиологически эквивалентная температура (РЕТ). Индекс соответствует физиологической температуре, при которой температура воздуха поддерживает тепловой баланс человека в условиях нормальной комнатной температуры, с учетом температуры кожи и внутренних органов. Параметр определяется как мера теплоощущения человека, находящегося в состоянии покоя (табл. 2). Расчет термических параметров производится с помощью модели MEMI, с учетом уравнения теплового баланса:
M + W + R + C + ED + ERe + ESe + ESw + S = 0.
где M — метаболизм, W — теплоотдача при физической нагрузке, R — радиационный баланс, C — конвективный поток тепла, ED — скрытый поток тепла, расходуемый потоотделением, ERe + ESe — сумма тепловых поток для нагревания и увлажнения вдыхаемого воздуха, ESw — поток тепла, расходуемый на испарение пота, S — поток тела, который сохраняется для нагревания или охлаждения массы тела [19].
Таблица 2. Градации условий теплового стресса по физиологически эквивалентной температуре (PET). Взято из [20]
Table 2. Grades of heat stress according to Phisiological Equivalent Temperature (PET), from [20]
Индекс РЕТ | Теплоощущение человека | Класс физиологического воздействия |
<4˚С | Крайне холодно | Экстремальный холодовой стресс |
4–7.9˚С | Очень холодно | Сильный холодовой стресс |
8–12.9˚С | Холодно | Умеренный холодовой стресс |
13–17.9˚С | Прохладно | Слабый холодовой стресс |
18–22.9˚С | Комфортно | Отсутствие теплового воздействия |
23–27.9˚С | Умеренно тепло | Легкое тепловое воздействие |
28–34.9˚С | Тепло | Умеренное тепловое воздействие |
35–40.9˚С | Жарко | Сильное тепловое воздействие |
>41˚С | Очень жарко | Экстремальное тепловое воздействие |
Преимуществом эквивалентно физиологической температуры является то, что она учитывает не только метеорологические параметры, но и тепловой баланс на поверхности кожи человека, а также температуру внутренних органов, интенсивность потоотделения, влажность кожи.
Расчет индекса РЕТ осуществлялся с помощью программного обеспечения RayMan [25]. Индекс термического комфорта рассчитывался для среднестатистического человека мужского пола со следующими параметрами: рост 175 сантиметров, вес 75 килограмм, возраст 35 лет. Для теплого периода было предусмотрена теплоизоляция в 0.9 Clo, что соответствует легкой одежде, привычной для летнего сезона. Так как нас интересовали условия термического дискомфорта, то были рассмотрены две градации PET: 28...34.9°С (умеренное тепловое воздействие) и выше 35˚С (сильное и экстремальное тепловое воздействие).
Далее рассчитано количество случаев превышения пороговых значений для рядов ветро-холодового индекса и PET. При расчетах не учитывались повторяющиеся превышения в течение суток. Таким образом, полученное количество случаев превышений пороговых значений эквивалентно количеству дней, когда наблюдался холодовой или тепловой стресс определенной градации.
РЕЗУЛЬТАТЫ
Территорию республики Казахстан можно разделить на 5 регионов, характеризующихся сильно отличающимися географическими и климатическими условиями. Данное деление было предложено Н.Н. Баранским [2]. В нашем исследовании были проанализированы условия холодового и теплового стресса в следующих городах этих регионов: Северный Казахстан — Петропавловск, Астана, Кокшетау, Костанай; Центральный Казахстан — Караганда; Западный Казахстан — Актау, Атырау, Актобе; Восточный Казахстан — Усть-Каменогорск; Южный Казахстан — Алматы, Шымкент, Тараз, Кызылорда.
Пространственно-временное распределение условий холодового стресса
В течение анализируемого периода условия холодного стресса (средний риск обморожения) были зарегистрированы во всех регионах Казахстана, за исключением Шымкента; высокий риск обморожения отмечен в Северном, Центральном и Восточном Казахстане, с единичными случаями в южном и западном регионах. Максимальное количество дней, когда были превышены пороговые значения, приходится на январь и февраль по всему Казахстану. Однако в определенные годы первая часть холодного сезона (ноябрь–декабрь) может быть холоднее, чем вторая часть (январь–февраль). Минимум наблюдается в марте и в ноябре, в октябре случаев превышения пороговых значений не зафиксировано, поэтому данный месяц на рисунках не представлен. Анализ выявил значительную неоднородность условий холодового стресса на территории страны.
В Северном Казахстане было зафиксировано максимальное количество дней с превышением пороговых значений (рис. 1). Самым холодным городом является Астана, где средняя за период наблюдений повторяемость условий среднего и высокого риска обморожения составляет 27 дней за шесть месяцев холодного полугодия, а в 2010 г. достигла 55 дней, то есть почти треть холодного полугодия. В Петропавловске также часто отмечаются условия холодового стресса (средняя повторяемость 22.2 дня за 6 месяцев и 53 дня в 2018 году). В Костанае наименьшая повторяемость средних рисков обморожения (13.8 дня в среднем за период наблюдений), высокий риск обморожения за анализируемый период зафиксирован только дважды.
Рис. 1. Количество дней со значениями WCI в двух градациях: –28.0...–40.0°С (левый столбец) и < –40.0˚С (правый столбец) для городов Северного Казахстана (Астаны, Петропавловска, Костаная и Кокшетау) в холодный период (ноябрь–март). Октябрь не представлен на графиках, так как для него не зарегистрировано ни одного случая попадания в градации среднего и высокого риска обморожений. Различными оттенками серого показаны данные для месяцев с ноября по март. Внутри каждого месяца дано количество дней с попаданиями в конкретную градацию. Справа дано общее количество дней с попаданием в данную градацию за все месяцы холодного полугодия в конкретный год, вертикальной пунктирной линией показано среднее количество дней с данной градацией WCI за доступный период наблюдений. Период наблюдений различается по городам, максимальный охват 2005–2021 гг.
Fig. 1. The number of days with WCI values in two grades: –28.0...–40.0°С (left column) and < –40.0°C (right column) for the cities of Northern Kazakhstan (Astana, Petropavlovsk, Kostanay and Kokshetau) during the cold period (November–March). October is not represented on the charts, as no cases with medium and high risk of frostbite have been registered for it. Data for the months from November to March are shown with various shading. Within each month, the number of days of each grade is presented. On the right, the total number of days falling into this gradation for all months of the cold period in a particular year is given, the vertical dotted line shows the average number of days with this WCI gradation for the available observation period. The observation period varies by cities, the maximum coverage is 2005–2021.
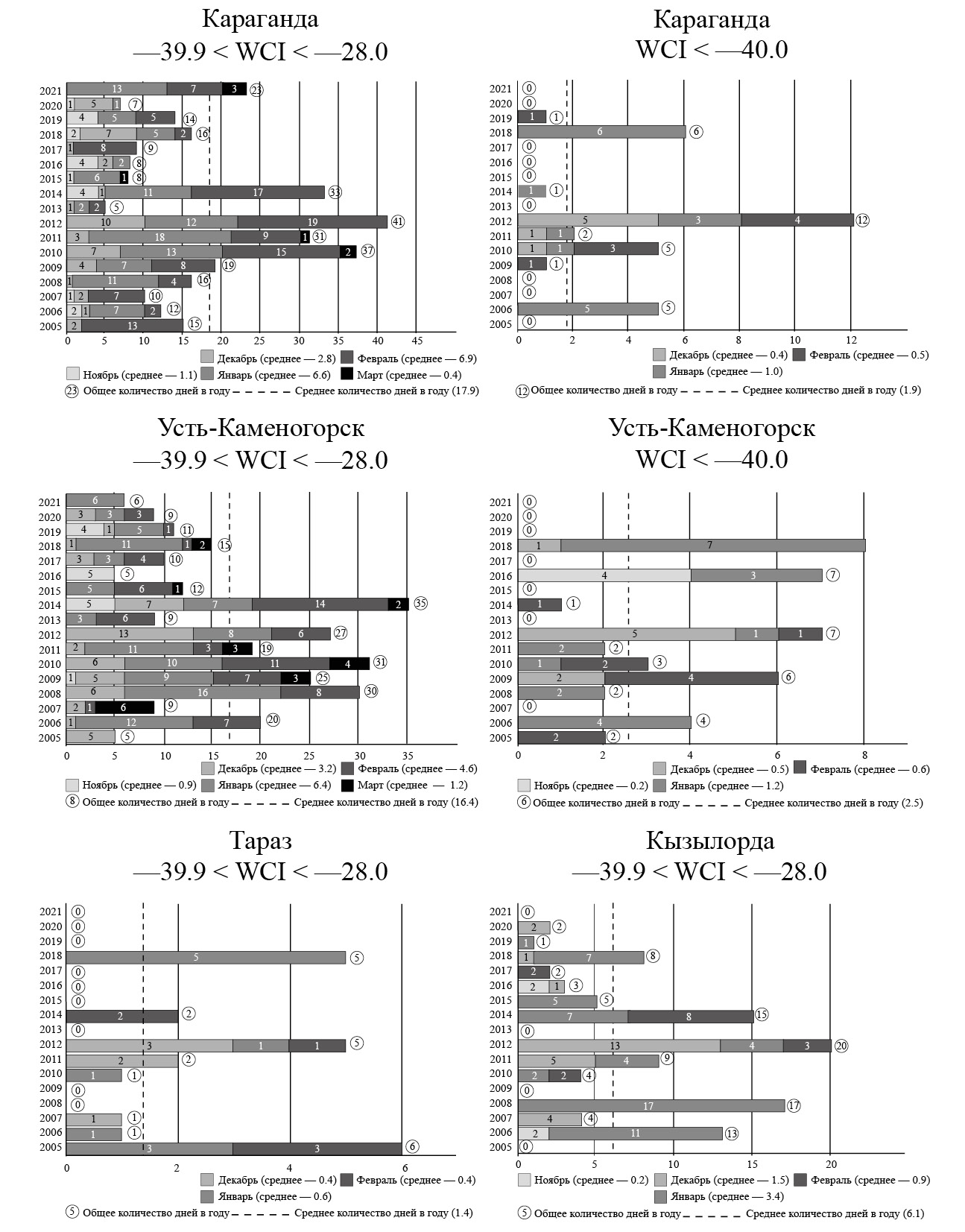
Центральный (Караганда) и Восточный (Усть-Каменогорск) Казахстан (рис. 2) характеризуются суровыми зимними условиями, однако повторяемость средних и высоких рисков обморожения несколько меньше, чем в северном регионе (19.8 и 18.9 дней в среднем за холодное полугодие соответственно). Максимальное количество превышений в Караганде достигло 53 дня в 2012 г. и 34 дня в 2010 г. в Усть-Каменогорске.
Рис. 2. То же, что на рис. 1, но для городов Центрального (Караганда), Восточного (Усть-Каменогорск) и Южного (Тараз и Кызылорда) Казахстана. Для городов Южного Казахстана представлена только градация –28.0...–40.0°С, так как случаев WCI < –40.0˚С в этих городах не зафиксировано. Города Алматы и Шымкент не представлены, так как в них отмечены единичные случаи попадания в данные градации или не отмечено случаев вообще.
Fig. 2. The same as in Figure 1, but for the cities of Central (Karaganda), Eastern (Ust-Kamenogorsk) and Southern (Taraz and Kyzylorda) Kazakhstan. For the cities of Southern Kazakhstan, only a grade –28.0...–40.0°С is presented, since no cases of WCI < –40.0 C have been recorded in these cities. The cities of Almaty and Shymkent are not presented, as isolated cases or no cases at all were registered.
Запад Казахстана характеризуется более комфортными климатическими условиями в холодное полугодие (рис. 3). В Актау и Атырау даже средний риск обморожения фиксируется очень редко (средняя повторяемость 0.5 и 1.1 день в году соответственно), в Актобе он несколько выше (11.6 дней в году). Высокий риск обморожения (WCI < –40°C) в Западном Казахстане наблюдался шесть раз в течение 2005–2021 г. только в Актобе. Однако в отдельные годы повторяемость градации –28°C < WCI < –40 °C может достигать 28 дней (Актобе, 2010 г.).
Рис. 3. То же, что на рис. 1, но для городов Западного Казахстана (Актау, Атырау, Актобе). Для городов Актау и Атырау представлена только градация –28.0...–40.0°С, так как случаев WCI < –40.0˚С в этих городах не зафиксировано.
Fig. 3. The same as in Figure 1, but for the cities of Western Kazakhstan (Aktau, Atyrau, Aktobe). For the cities of Aktau and Atyrau, only a grade of –28.0...–40.0°С is presented, since no cases of WCI < –40.0°C have been recorded in these cities.
Южный Казахстан является регионом, наименее подверженным холодовому стрессу (рис. 2). Однако в Кызылорде отмечалось до 20 дней со средним риском обморожения зимой 2012 г. и даже зафиксирован случай с высоким риском обморожения, в Таразе условия холодового стресса составили максимум 6 дней в году, в Алматы зафиксирован только один случай, а в Шымкенте рисков обморожения за исследуемый период не наблюдалось.
Анализ сезонного распределения превышений пороговых значений показал, что практически во всех анализируемых городах максимальная повторяемость как среднего, так и высокого риска обморожения приходится на январь. Исключение составляют Караганда и Костанай, где в феврале наблюдается незначительное превышение по сравнению с январем.
Пространственное распределение условий холодового стресса представлено на рис. 4. Можно выделить очевидное увеличение повторяемости условий холодового стресса с юга на север и с запада на восток. Высокие риски обморожений регулярно отмечаются только в Северном, Центральном и Восточном Казахстане, в Южном и Западном они единичны. Самыми холодными городами на юге и западе являются Кызылорда и Актобе.
Рис. 4. Распределение среднего количества дней в месяц с –39.9°C < WCI < –28°C (а) WCI < –40°C (б) в холодное полугодие на территории Казахстана. Осреднение произведено по периоду наблюдений, доступному для каждого города.
Fig. 4. Distribution of the month averaged number of days with –39.9°C < WCI < –28 °C (a) WCI < –40°C (б) in cold period in Kazakhstan. Averaged over the period with available observations for each city.
Пространственно-временное распределение условий теплового стресса
За рассмотренный период 2005–2021 гг. умеренное и сильное тепловое воздействие отмечено во всех исследуемых городах в течение теплого полугодия, с минимальной повторяемостью в апреле (рис. 5–8). Максимальная повторяемость условий теплового стресса регистрируется в летние месяцы (июль–август) по всей территории Казахстана. Основная доля термически комфортных дней выпадает повсеместно на май и сентябрь.
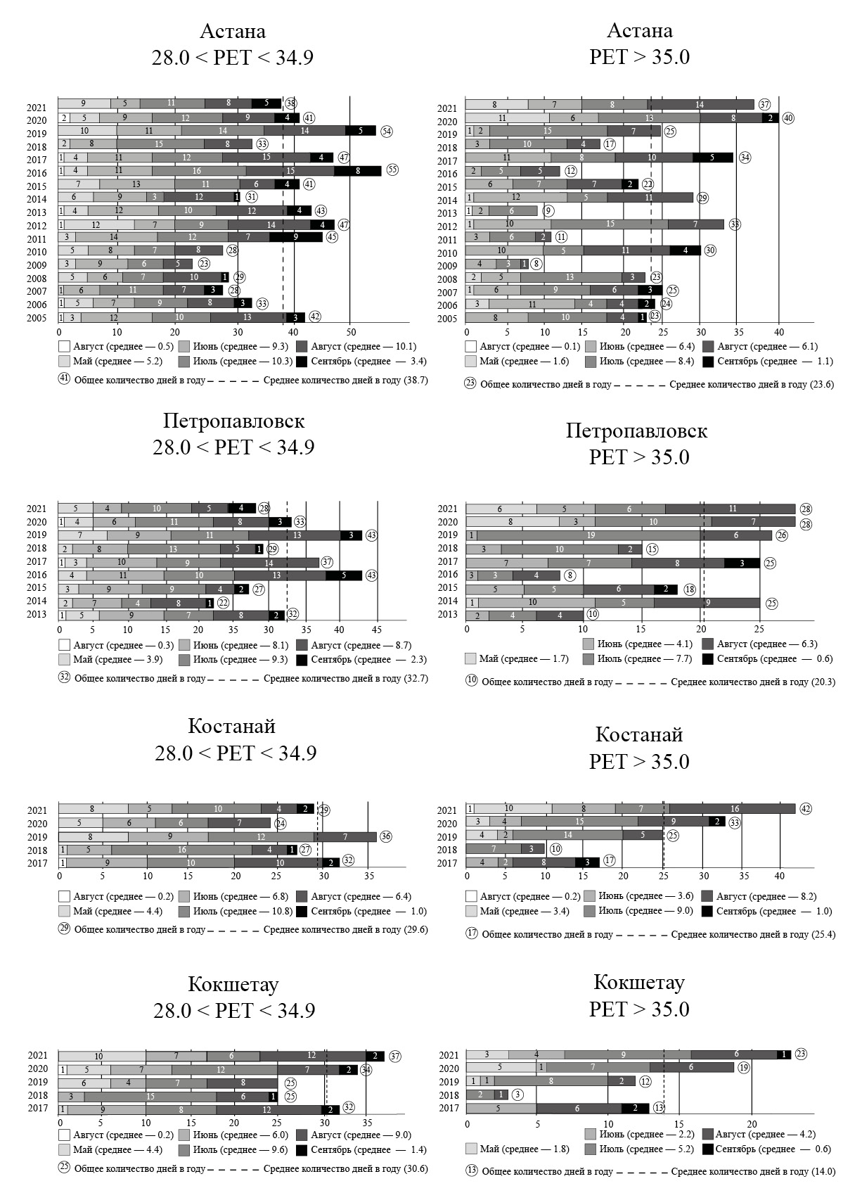
Даже северный регион Казахстана не может быть отнесен к термически комфортному в летний сезон, так как средняя повторяемость условий умеренного теплового стресса в среднем превышает 30 дней за год во всех городах, с максимумом в Астане (38.7 дней), а сильного теплового стресса 20 дней в году (за исключением Кокшетау, где она составляет 14 дней) с максимумом 25.4 дня в Костанае (рис. 5). Максимальная повторяемость сильного теплового стресса составила 19 дней в июле 2019 года и была отмечена в Петропавловске. Однако в отдельные годы в июле и августе не фиксируется ни одного дня с тепловым стрессом в городах Северного Казахстана.
Рис. 5. Количество дней с значениями PET в двух градациях: 28.0...34.9°С (левый столбец) и >35.0˚С (правый столбец) для городов Северного Казахстана (Астаны, Петропавловска, Костаная и Кокшетау) в теплый период (апрель-сентябрь). Различными оттенками серого показаны данные для месяцев с апреля по сентябрь. Описание легенды см. рис. 1.
Fig. 5. The number of days with PET values in two grades: 28.0...34.9°С (left column) and > 35.0˚C (right column) for the cities of Northern Kazakhstan (Astana, Petropavlovsk, Kostanay and Kokshetau) during the warm period (April-September). Data for the months from April to September are shown with various shading. The legend is the same as in Fig. 1.
В Центральном регионе условия умеренного и сильного теплового стресса близки к Северному Казахстану (рис. 6). Однако абсолютный максимум несколько ниже и составляет 15 дней за год. В Караганде так же, как и в северных городах, максимальное число дней с тепловым стрессом отмечается в июле.
Рис. 6. То же, что на рис. 5, но для городов Центрального (Караганда), Восточного (Усть-Каменогорск) и Южного (Кызылорда) Казахстана.
Fig. 6. The same as in Fig. 5, but for the cities of Central (Karaganda), Eastern (Ust-Kamenogorsk) and Southern (Taraz, Kyzylorda) Kazakhstan.
В Восточном Казахстане тепловой стресс наблюдается значительно чаще, чем на севере и в центре (рис. 6). Средняя повторяемость умеренного теплового воздействия составляет 46.4 дня, что является максимумом среди всех исследуемых городов, а сильного теплового воздействия — 59 дней. Сильное термическое воздействие наблюдается во все месяцы теплого периода с преобладанием летних месяцев. В июле количество дней с сильным термическим воздействием варьируется от 7 до 25 дней. В июне, июле и августе количество дней с сильным термическим воздействием значительно больше, чем с умеренным термическим воздействием, и даже в сентябре часто достигает 10 дней за месяц.
Западный Казахстан представляет собой район с очень высокой вероятностью сильного термического воздействия (рис. 7). Причем максимальное количество дней с сильным тепловым стрессом приходится на август и составляет от 26 до 28 дней. Таким образом, в отдельные годы практически в течение целого месяца термические условия в городах Западного Казахстана относятся к сильному термическому воздействию и представляются опасными для здоровья населения.
Рис. 7. То же, что на рис. 5, но для городов Западного Казахстана (Актау, Актобе, Атырау).
Fig. 7. The same as in Figure 5, but for the cities of Western Kazakhstan (Aktau, Aktobe, Atyrau).
В городах Южного региона во все летние месяцы преобладают дни с сильным термическим воздействием (PET > 35°C) с максимумом в июле (рис. 8). Во всех городах, за исключением Тараза, в июне, июле и августе число дней с сильным тепловым стрессом превышает 20, достигая в отдельные годы 30 и 31 дня, то есть охватывает все дни месяца. В Таразе июнь и август отличаются немного более комфортными условиями. В остальные месяцы теплого полугодия в Южном Казахстане доминируют дни с умеренным тепловым воздействием. То есть на протяжении всего теплого полугодия практически не отмечается комфортных условий с точки зрения теплового воздействия.
Рис. 8. То же, что на рис. 5, но для городов Южного Казахстана (Алматы, Тараз, Шымкент).
Fig. 8. The same as in Figure 5, but for the cities of Southern Kazakhstan (Almaty, Taraz, Shymkent).
Пространственное распределение умеренного теплового воздействия характеризуется максимумом летом в Северном, Центральном, Западном и Восточном Казахстане и весной — в Южном (рис. 9а). Последнее обусловлено тем, что летом на юге преобладает сильное тепловое воздействие. Исключение составляет Атырау, где умеренное тепловое воздействие преобладает весной. Причина более жарких условий в Атырау — влияние пустынного ландшафта, в котором вследствие отсутствия затрат на испарение все тепло радиационного баланса расходуется на прогрев воздуха. С другой стороны, увеличение влажности воздуха в прибрежном районе также приводит к увеличениям значений PET.
Рис. 9. Распределение среднего количества дней в месяц с 28°C < PET < 34.9 °C (а), PET > 35°C (б) в теплое полугодие на территории Казахстана. Осреднение произведено по периоду наблюдений, доступному для каждого города.
Fig. 9. Distribution of the month averaged number of days with 28°C < PET < 34.9°C (а), PET > 35°C (б) in warm period in Kazakhstan. Averaged over the period with available observations for each city.
Сильное тепловое воздействие (PET > 35˚С) наблюдается во всем Казахстане, и максимум везде приходится на летние месяцы, что закономерно. Наиболее термически дискомфортным месяцем для всех регионов страны является июль (рис. 9б). За период 2005–2021 гг. в городах Костанай, Петропавловск, Кокшетау, Астана, Караганда, Атырау, Актау в апреле не было зафиксировано сильного термического воздействия. В то же время отмечены единичные случае сильного воздействия в следующих городах: Актобе, Кызылорда, Шымкент, Усть-Каменогорск, Тараз. Сильное термическое воздействие в сентябре характерно для южного региона.
ОБСУЖДЕНИЕ
На погодные условия в Казахстане в холодное полугодие в первую очередь влияют западная адвекция относительно теплых воздушных масс с Атлантики, периодические вторжения холодных арктических масс с севера и распространение на территорию страны гребня Сибирского антициклона с северо-востока. Последнее приводит к экстремально низким температурам в результате радиационного охлаждения при ясном небе. Горы на юге, юго-востоке и востоке страны препятствуют проникновению холодных воздушных масс в южные регионы Казахстана [5]. Отепляющее влияние на западе страны оказывает Каспийское море. Такая совокупность циркуляционных процессов обусловливает специфику пространственного распределения условий холодового стресса на территории Казахстана. Четко прослеживается усиление термического дискомфорта в направлении с юга на север и с запада на восток. В первом случае доминирующую роль играют условия радиационного и теплового баланса, в первую очередь – увеличение радиационного баланса с севера на юг в условиях относительно однородного распределения облачности (незначительное количество в холодное полугодие вследствие доминирования антициклональной погоды) на территории Казахстана. Поэтому максимальная повторяемость рисков обморожения наблюдается на севере страны, минимальная — на юге. Усиление термического дискомфорта с запада на восток является следствием, с одной стороны, отепляющего влияния Каспийского моря и более частой адвекции теплых атлантических воздушных масс в теплых секторах южных циклонов в западных регионах, с другой стороны – проникновения с востока на запад отрога Сибирского антициклона, что увеличивает повторяемость экстремально низких температур на востоке страны. В связи с этим Западный Казахстан характеризуется относительно низкой повторяемостью рисков среднего и высокого обморожения, с максимумом в Актобе, имеющем самое северное расположение. Менее суровый климат в Костанае, по сравнению с другими городами северного региона, может быть результатом его более западного расположения, а следовательно, более слабого влияния отрога Сибирского антициклона, который простирается с северо-востока на юго-запад страны. Результаты, полученные в настоящем исследовании, полученные по данным станционных наблюдений согласуются с результатами работы [25], в которой по данным реанализа также прослеживается увеличение повторяемости условий холодового стресса с юга на север и с запада на восток Казахстана. Однако региональные особенности для отдельных городов по результатам реанализа выявлены не были.
Представляет интерес сравнить межгодовую изменчивость условий холодового стресса с выявленными трендами метеорологических характеристик, входящих в формулу ветро-холодового индекса (таблица 3). В большинстве городов за исследуемый период (2005–2021 гг.) наблюдался положительный тренд температуры воздуха, в городах севера и центра Казахстана зафиксирован отрицательный тренд. Однако тренда в количестве случаев холодового стресса в большинстве городов не наблюдается, а выделяются отдельные более холодные или более теплые года. Это указывает на то, что специфические синоптические условия, складывающиеся в конкретный год рассматриваемого периода, оказывают доминирующее влияние на термический комфорт по сравнению с долгопериодными трендами, в том числе и трендом глобального потепления. Рост зимних температур может частично компенсироваться увеличением скорости ветра, которое отмечено во всех регионах Казахстана в зимний период. Увеличение влажности воздуха также приводит к усилению холодового стресса, однако в используемый в данной работе индекс WCI влагосодержание не входит.
Таблица 3. Тренды метеорологических характеристик по регионам Казахстана, холодный период. Рассчитано по [22]
Table 3. Trends of meteocharacteristics in Kazakhstan, cold period. Based on [22] data
Регион | Город | Тренд за период 1979–2021/2005–2021 гг. | ||
Температура воздуха, ˚С | Температура достижения точки росы, ˚С | Скорость ветра, м/с | ||
Северный | Астана | 0.25/0.19 | 0.1/0.3 | –0.2/0.4 |
Петропавловск | 0.26/–0.21 | 0.2/0.1 | 0.01/0.56 | |
Костанай | 0.29/0 | 0.1/0.1 | –0.28/0.7 | |
Кокшетау | 0.26/–0.21 | 0.39/0.2 | –0.2/0.26 | |
Центральный | Караганда | 0.17/–0.21 | 0.56/0.04 | 0.1/0.65 |
Восточный | Усть-Каменогорск | 0.14/0.26 | 0.48/0.99 | 0.12/0.35 |
Южный | Алматы | 0.3/–0.09 | 0.8/0.02 | 0.001/0.1 |
Тараз | 0.17/0.09 | 1.6/–0.2 | –0.07/0.04 | |
Кызылорда | 0.30/0.16 | 0.34/0.21 | –0.05/0.2 | |
Шымкент | 0.25/0.16 | 1.25/–0.2 | 0.12/0.1 | |
Западный | Актобе | 0.39/–0.06 | 0.66/0.52 | –0.42/0.36 |
Актау | 0.52/0.72 | 0.8/0.001 | 0.04/0.01 | |
Атырау | 0.52/0.57 | 1.28/0.4 | 0.15/0.1 | |
Исключение составляет Юго-Западный Казахстан (города Актау и Атырау), где зафиксированы максимальные положительные тренды температуры в холодный период и где отмечается явное уменьшение количества случаев холодового стресса в последнее десятилетие.
Даже в пределах одного региона максимальное количество превышений порогов холодового стресса приходится на разные годы и разные месяцы зимнего сезона, что также свидетельствует о доминирующей роли конкретных синоптических условий, вызывающих экстремально низкие температуры воздуха. Однако можно выделить самые холодные годы для большей части территории Казахстана: 2010, 2012, 2014 и 2018.
В теплое время года на распределение повторяемости условий теплового стресса как во времени (распределение по месяцам), так и в пространстве (распределение по территории республики) доминирующее влияние оказывает радиационный фактор. Роль циркуляционных процессов существенно снижается по сравнению с холодным полугодием. Отмечается возрастание количества дней с сильным тепловым воздействием в направлении с севера на юг, при этом изменений в направлении с запада на восток не прослеживается. Это связано с ослаблением западного переноса в летний период, который обеспечивает адвекцию воздушных масс с Атлантики, а также с отсутствием в теплое полугодие Сибирского антициклона. Аналогичные закономерности были получены и в [25] по данным реанализа, но без детализации по отдельным месяцам теплого полугодия и городам. В целом, в теплое полугодие на территории Казахстана преобладает малоградиентное барическое поле, которое обеспечивает формирование местных воздушных масс с высокой температурой в приземном слое в результате интенсивного радиационного нагрева. Соответственно, максимальные температуры отмечаются при максимальных значениях радиационного баланса, которые приходятся на июль и имеют большие значения в южных регионах. Сохранение условий сильного теплового воздействия в августе, а в южных регионах и в сентябре обусловлено значительным прогревом подстилающей поверхности и инертностью ее остывания. Относительно мелководное Каспийское море в теплое полугодие также сильно прогревается и не оказывает значительного охлаждающего воздействия на западные регионы Казахстана. Несколько меньшие температуры воздуха по сравнению с районами, удаленными от моря, компенсируются более высокими значениями влажности, которые увеличивают PET. Резкие изменения условий погоды в теплое полугодие могут быть связаны с циклонами на полярном фронте. Однако это явление достаточно редкое и имеет стохастическую природу, как и вся циклоническая деятельность. Возможно влияние как атлантических циклонов, приходящих с запада, так и мургабских и верхнеамударьинских, приходящих с юга. Наблюдается перемещение циклонов и с севера на юг [5]. Северные районы более подвержены влиянию циклонов, что способствует уменьшению количества дней с умеренным и сильным тепловым воздействием в теплое полугодие.
Рассматривая межгодовую изменчивость теплового воздействия по территории Казахстана можно заключить, что наиболее выражено усиление термического воздействия в городах северного региона и в Усть-Каменогорске (Восточный Казахстан). В Западном Казахстане также отмечается некоторое увеличение термического дискомфорта к концу исследуемого периода, но только для сильного теплового воздействия. В Южном и Центральном Казахстане явной тенденции не прослеживается, а выделяются отдельные более жаркие и более прохладные годы. Увеличение повторяемости дней с умеренным и сильным тепловым воздействием можно объяснить положительными трендами аномалий температуры приземного воздуха в регионах (табл. 4) и положительными трендами влагосодержания. Частично это компенсируется увеличением средней скорости ветра.
Таблица 4. Тренды метеорологических характеристик по регионам Казахстана, теплый период. Рассчитано по [22]
Table 4. Trends of meteocharacteristics in Kazakhstan, warm period. Based on [22] data
Регион | Город | Тренды за период 1979–2021/2005–2021 гг. | ||
Температура воздуха, ˚С | Температура достижения точки росы, ˚С | Скорость ветра м/с | ||
Северный | Астана | 0.28/0.35 | 0.11/0.15 | 0.01/0.15 |
Петропавловск | 0.30/0.23 | 0.7/–0.34 | –0.02/0.13 | |
Костанай | 0.34/0.11 | 0.25/–0.29 | 0.04/0.12 | |
Кокшетау | 0.30/0.23 | 0.3/–0.32 | –0.001/0.18 | |
Центральный | Караганда | 0.23/0.04 | 0.54/0.14 | –0.002/0.26 |
Восточный | Усть–Каменогорск | 0.30/0.26 | –0.17/0.43 | 0.06/0.05 |
Южный | Алматы | 0.4/0.09 | 0.9/–0.68 | 1.1/1.1 |
Тараз | 0.23/0.19 | 0.6/0.23 | 0.02/0.01 | |
Кызылорда | 0.39/0.40 | –0.48/0.36 | 0.1/0 | |
Шымкент | 0.40/0.40 | –0.48/–1.6 | 0.32/0.32 | |
Западный | Актобе | 0.36/0.15 | –0.72/–1.2 | –0.14/0.18 |
Актау | 0.64/0.62 | 0.82/–0.1 | –0.2/0.15 | |
Атырау | 0.64/0.42 | –0.09/–1.15 | –0.01/0.4 | |
В рамках исследования было установлено, что географические и климатические особенности регионов создают неоднородные условия термического комфорта по территории Казахстана. Представляло интерес сравнить повторяемость термического дискомфорта в холодное и теплое полугодие, а также оценить суммарное количество дней с рисками холодового и теплового стресса в городах Казахстана (табл. 5 и 6). В холодное полугодие самым дискомфортным регионом является Северный Казахстан. А максимальное среднегодовое количество дней с холодовым стрессом отмечается в столице — Астане (27 дней). На втором месте идет Петропавловск. В теплое полугодие наиболее подвержен тепловому стрессу южный регион с максимальной повторяемостью сильного и умеренного теплового воздействия в Алматы и Шымкенте (151 и 147 дней соответственно). Если суммировать количество дней с превышениями пороговых значений за теплый и холодный период, то к самым термически дискомфортным относятся города Южного Казахстана Алматы и Шымкент, а самыми термически комфортными являются Кокшетау и Костанай. Также необходимо отметить, что количество дней с превышениями порога холодового стресса значительно меньше, чем теплового. Таким образом, несмотря на то, что Казахстан традиционно считается страной с очень суровыми зимними условиями, мы видим, что определяющим в условиях термического комфорта в республике является летний период. Однако необходимо учитывать, что данное разделение выполнено симметрично относительно 0°C, что, возможно, не совсем корректно с точки зрения ощущений человеческого организма. Кроме того, сравнение выполнено для двух разных индексов термического комфорта. Однако сравнение по одному индексу (например, PET) тоже не может дать однозначных результатов, так как в данный индекс входит параметр одежды человека, и совершенно очевидно, что этот параметр различается по сезонам и по регионам. Например, у жителей Южного Казахстана, как правило, нет исключительно теплой одежды, поэтому при одинаково низких зимних температурах они будут, скорее всего, испытывать больший холодовой стресс, нежели жители северных регионов республики.
Таблица 5. Количество дней с превышениями пороговых значений для ветро-холодового индекса за период наблюдений, доступный в каждом городе; средние значения по доступному периоду наблюдений
Table 5. Number of days with wind-chill index exceeding the thresholds for the whole available period of observation in cities of Kazakhstan; the mean value averaged over the period of available data
Город / общее количество дней, используемых для расчета | Ветро-холодовой индекс | |||||||
–39.9°C < WCI < –28°C (средний риск переохлаждения) | WCI < –40°C (высокий, очень высокий и крайне высокий риск переохлаждения) | WCI < –28°C (превышение порога среднего риска переохлаждения) | ||||||
Общее количество попаданий в градацию | Среднее количество попаданий в градацию в год | Общее количество превышений порога | Среднее количество превышений порога в год | Общее количество превышений порога | Среднее количество превышений порога в год | |||
Астана/3115 | 400 | 23.5 | 57 | 3.5 | 457 | 27 | ||
Петропавловск/1833 | 302 | 18.9 | 56 | 3.3 | 358 | 22.2 | ||
Костанай/916 | 83 | 13.8 | 2 | 0.2 | 85 | 14 | ||
Кокшетау/916 | 93 | 18.6 | 8 | 1.6 | 101 | 20.2 | ||
Караганда/3115 | 304 | 17.9 | 33 | 1.9 | 337 | 19.8 | ||
Усть-Каменогорск/3115 | 278 | 16.4 | 42 | 2.5 | 320 | 18.9 | ||
Шымкент/3115 | 0 | 0 | 0 | 0 | 0 | 0 | ||
Тараз/3115 | 23 | 1.4 | 0 | 0 | 23 | 1.4 | ||
Алматы/3115 | 1 | 0.06 | 0 | 0 | 1 | 0.06 | ||
Кызылорда/3115 | 103 | 6.1 | 1 | 0.01 | 104 | 6.11 | ||
Актау/3115 | 8 | 0.5 | 0 | 0 | 8 | 0.5 | ||
Актобе/3115 | 198 | 11.6 | 6 | 0.4 | 204 | 12 | ||
Атырау/1649 | 19 | 1.1 | 0 | 0 | 19 | 1.1 | ||
Таблица 6. Количество дней с превышениями пороговых значений для PET за период наблюдений, доступный в каждом городе; средние значения по доступному периоду наблюдений
Table 6. Number of days with PET exceeding the thresholds for the whole available period of observation in cities of Kazakhstan; the mean value averaged over the period of available data
Город / общее количество дней, используемых для расчета | Физиологически-эквивалентная температура | |||||
28°C < PET < 34.9 °C (умеренное тепловое воздействие) | PET > 35°C (сильное и экстремальное тепловое воздействие) | Превышение порога умеренного теплового воздействия (PET > 28°C) | ||||
Общее количество попаданий в градацию | Среднее количество попаданий в градацию в год | Общее количество превышений порога | Среднее количество превышений порога в год | Общее количество превышений порога | Среднее количество превышений порога в год | |
Астана/3111 | 658 | 38.7 | 402 | 23.6 | 1060 | 62.3 |
Петропавловск/1647 | 294 | 32.6 | 183 | 20.3 | 477 | 52.9 |
Костанай/915 | 148 | 29.6 | 127 | 25.4 | 275 | 55 |
Кокшетау/915 | 153 | 30.6 | 70 | 14 | 223 | 44.6 |
Караганда/3111 | 586 | 34.5 | 306 | 18 | 892 | 52.5 |
Усть-Каменогорск/311 | 788 | 46.4 | 1004 | 59 | 1792 | 105.4 |
Шымкент/3111 | 701 | 41 | 1807 | 106.3 | 2508 | 147.3 |
Тараз/3111 | 790 | 46.5 | 1424 | 83.7 | 2214 | 130.2 |
Алматы/3111 | 715 | 42 | 1856 | 109 | 2571 | 151 |
Кызылорда/3111 | 651 | 38.3 | 1587 | 93.4 | 2238 | 131.7 |
Актау/3111 | 744 | 43.7 | 789 | 46.4 | 1533 | 90.1 |
Актобе/3111 | 659 | 38.7 | 956 | 56.2 | 1615 | 94.9 |
Атырау/1647 | 359 | 40 | 630 | 70 | 989 | 110 |
Безусловно важной задачей дальнейших исследований является оценка влияния наблюдаемых изменений климата на условия термического комфорта на территории Казахстана. Частично такие оценки были сделаны в данном исследовании. Однако они лимитированы относительно короткими рядами наблюдений. В ряде городов длина ряда метеоданных 17 лет, что составляет чуть больше половины традиционного периода климатического осреднения (30 лет), а значит, не может считаться репрезентативным для получения климатических оценок. Более того, в отдельных городах ряды еще короче и не превышают 5 лет. Накопление данных наблюдений позволит не только получать более статистически достоверные оценки изменений, но и проводить сравнения между климатическими периодами. На настоящий момент эта задача может решаться с использованием данных реанализов, которые для температуры воздуха имеют относительно небольшие отклонения от данных наблюдений. В частности, в работе [25] такие оценки были сделаны, и обнаружен статистически значимый тренд повторяемости условий сильного теплового стресса почти на всей территории Казахстана с максимумом в западных регионах.
ЗАКЛЮЧЕНИЕ
Проведен анализ пространственно-временного распределения условий термического комфорта в городах Казахстана. Основой для исследования стали данные метеорологических наблюдений на территории Казахстана, предоставленные компанией ООО “Расписание Погоды” за период с 2005 по 2021 г. для 13 городов Республики Казахстан: Астана, Петропавловск, Кокшетау, Костанай, Караганда, Усть-Каменогорск, Атырау, Актобе, Актау, Кызылорда, Шымкент, Тараз и Алматы. Исследование проводилось для теплого и холодного полугодий.
В качестве оптимального показателя термического комфорта для холодного периода был выбран ветро-холодовой индекс (WCI), учитывающий совокупное влияние температурного и ветрового факторов, и проанализированы две его градации: средний риск обморожения (–39.9°C < WCI <–28°C) и высокий риск обморожения (WCI < –40°C). Для теплого полугодия использована физиологически эквивалентная температура (PET), учитывающая температуру воздуха, скорость ветра, относительную влажность, радиационный баланс, облачность и физиологические особенности среднестатистического человека, также для двух градаций: умеренное тепловое воздействие (28°C < PET < 34.9°C) и сильное тепловое воздействие (35°C < PET).
Высокие риски обморожений зафиксированы в Северном, Восточном и Центральном Казахстане. Они обусловлены влиянием южного отрога Сибирского антициклона. Высокие риски обморожений не наблюдались за анализируемый период в Актау, Шымкенте и Алматы. Актау испытывает отепляющее влияние Каспийского моря, тогда как Алматы и Шымкент защищены горами от холодных вторжений.
Сезонное распределение условий холодового стресса меняется в зависимости от региона и рассматриваемой градации. Однако максимальное количество случаев холодового стресса всех градаций приходится на январь и февраль, минимум — на март, а в октябре холодовой стресс на территории республики не зафиксирован.
Сильное термическое воздействие зафиксировано во всех регионах Казахстана в течение всех 6 месяцев теплого полугодия с разной продолжительностью и регулярностью. Максимальная повторяемость превышения индекса РЕТ +35˚С установлена в таких городах как Алматы, Шымкент, Тараз, Кызылорда, Актау, Актобе, Атырау, Усть-Каменогорск. В теплое полугодие в северном и центральном регионе преобладает умеренное термическое воздействие.
Анализ пространственного распределения холодового стресса показал возрастание дискомфорта с юга на север и с запада на восток, что определяется доминирующими в зимний период синоптическими процессами: распространение отрога Сибирского антициклона на центральные и восточные районы Казахстана, адвекция теплого воздуха с запада и отепляющее воздействие Каспийского моря Анализ пространственного распределения теплового воздействия показал возрастание дискомфорта с севера на юг, что обусловлено в первую очередь радиационным балансом. Таким образом, пространственное распределение термического комфорта определяется преимущественно циркуляционными условиями в зимний период и радиационными условиями — в летний, что в целом характерно для континентальных типов климата.
Межгодовая изменчивость условий холодового стресса не имеет выраженного тренда и носит нерегулярный характер, обусловленный особенностями синоптических процессов в конкретный год. Таким образом, проявления эффекта глобального потепления, проявляющегося в снижении суровости зим, на территории Казахстана за исследуемый период не обнаружено, за исключением Западного Казахстана, где положительный тренд температуры соответствует уменьшению количества дней с холодовым стрессом к концу исследуемого периода. В теплый период, наоборот, в большинстве исследованных городов количество дней с сильным тепловым воздействием к концу периода возрастает в соответствии с положительным трендом температуры.
Показано, что самыми термически комфортными городами Казахстана стали города Северного Казахстана Кокшетау и Костанай. К самым термически дискомфортным относятся города Южного Казахстана Алматы и Шымкент. Таким образом, несмотря на то, что Казахстан традиционно считается страной с очень суровыми зимними условиями, в данном исследовании показано, что определяющим в условиях термического комфорта в республике является летний период.
ФИНАНСИРОВАНИЕ
Статья выполнена в рамках бюджетной темы ААА-А21-121051400081-7.
About the authors
Daria Y. Gushchina
Lomonosov Moscow State University
Author for correspondence.
Email: dasha155@mail.ru
Department of Meteorology and Climatology, Faculty of Geography, Professor, doctor of geographical sciences
Russian Federation, MoscowZhanel T. Muhtarova
Kazakhstan Branch of Lomonosov Moscow State University
Email: zhanelmkhtrva@gmail.com
Student, Department of Ecology and Nature Management
Kazakhstan, AstanaReferences
- Ageev F. T., Smirnova M. D., Rodnenkov O. V. Heat and cardiovascular system // M.: Praktika, 184 p.
- Баранский Н. Н. География СССР: Учебник для средней школы. М.: Учпедгиз, 1933.
- Bardin M. Yu., Rankova E. A., Platova T. V., Samokhina O. F., Antipina U. I. Review of the current state and climatic changes in the territory of the Russian Federation // Use and protection of natural resources in Russia. 2020. Vol. 3 (163), pp. 69–77.
- Beku B., Nasynbayeva A. S. Assessment of bioclimatic conditions in the south and south-east of Kazakhstan // Hydrometeorology and ecology. 2013. No. 1, pp. 65–72.
- Bugaev V. A., Giorgio V. A., Kozik E. M., Petrosyants M. A. et al., Synoptic processes of Central Asia. Tashkent: Ed. Academy of Sciences of the Ukrainian SSR, 1957. 535 p.
- Vilesov E. N. Characteristics of the climate of Astana and their changes over the past 90 years. // Hydrometeorology and ecology. 2017, No. 3, pp. 7–16.
- Vilfand R. M., Shumerova V. A., Tishchenko V. M., Khan V. M. The main features of large-scale atmospheric circulation in the context of the analysis of the consensus forecast of air temperature and precipitation for the summer of 2020 in the Northern hemisphere // Hydrometeorological studies and forecasts. 2021. No. 1 (379). pp. 20–35
- Govorkova V. A., Kattsov V. M. Climate changes in the countries of the “near abroad” of Russia in the 21st century // Proceedings of the Main Geophysical Observatory named after A. I. Voeikov, 2008. No. 558. pp. 64–84.
- Kozhakhmetova E. P., Kozhakhmetov P. J. On the change in the temperature regime of Astana and its environs // Hydrometeorology and Ecology. 2014. No. 1, pp. 7–13.
- Kosheleva O. Yu., Shinkarenko S. S., Gordienko O. A., Omarov R. S., Dubacheva A. A. Seasonal and long-term features of surface temperature in cities of the arid zone (on the example of cities in the south-east of the European part of Russia and Western Kazakhstan) // Izvestiya NV AUK. 2021. No. 3(63), рp.426–439. https://doi.org/10.32786/2071-9485-2021-03-44
- Kuznetsova I. N., Zvyagintsev A. M., Semutnikova E. G. Ecological consequences of weather anomalies in the summer of 2010 // Analysis of abnormal weather conditions in Russia in the summer of 2010: collection of reports of the joint meeting of the Presidium of the Scientific and Technical Council of Roshydromet and the Scientific Council of the Russian Academy of Sciences “Research on the theory of the Earth’s climate” / Ed..P. Shakina. — M.: Roshydromet, RAS, 2011. pp. 59–64.
- Myagkov M. S., Gubernsky Yu.D., Konova L. I., Litkevich V. K. City, architecture, man and climate // M.: Architecture, 2007, 344 p.
- Weather in Kazakhstan in 5200 points, LLC “Weather schedule”. URL: https://rp5.ru / (Date of reference: 10/21/2021–11/03/2021).
- Revich B. A., Shaposhnikov D. A. Features of the impact of cold and heat waves on mortality in cities with a sharply continental climate //Siberian Medical Review. 2017. № . 2 (104). P. 84–90
- Senkova A. D., Indoor microclimate and human health. — T.: TGNU, 2011. pp. 320–323.
- Tkachuk S. V. Review of indices of the degree of comfort of weather conditions and their relationship with mortality rates // Proceedings of the Hydrometeorological Center of Russia. 2012. Issue 347. P. 223–245.
- Shaposhnikov, D. A. On some approaches to calculating the risks of temperature waves for health / D. A. Shaposhnikov, B. A. Revich// Health risk analysis. 2018, No. 1, pp. 22–31. https://doi.org/10.21668/health.risk/2018.1.03
- Shkurinsky B. V. Studying the comfort of weather and climatic conditions of the territory of the Aktobe region // Hydrometeorology and ecology. 2015, No. 4, pp. 17–25.
- Berlessova A. A., Konstantinov P. I. Local climate zones in the city of Nur-Sultan (Kazakhstan) and their connections with urban heat island and thermal comfort // IOP Conference Series: Earth and Environmental Science. 2020. Vol. 611.
- Błażejczyk K., Jendritzky G., Bröde P., Fiala D., Havenith G., Epstein Y., Psikuta A., Kampmann B. An introduction to the Universal Thermal Climate Index (UTCI) // Geogr Pol 862013.2013. Vol. 1, P. 5–10.
- Cianconi P., Betrò S., Janiri L. The Impact of Climate Change on Mental Health: A Systematic Descriptive Review. // Frontiers in psychiatry. 2020, Vol. 11, р. 11–74. https://doi.org/10.3389/fpsyt.2020.00074
- Copernicus Climate Change Service. ECMWF: https://cds.climate.copernicus.eu/datasets/ecv-for-climate-change?tab=overview (Date of reference: 07/10/2022–01/02/2023)
- Haines A., Kovats R. S., Corvalan C. Climate change and human health: impacts, vulnerability, and public health // Public Health. 2006. Vol. 120 (7), p. 585–596. https://doi.org/10.1016/j.puhe.2006.01.002
- Huang B., Peter W. Thorne, Viva F. Banzon, Tim Boyer, Gennady Chepurin, Jay H. Lawrimore, Matthew J. Menne, Thomas M. Smith, Russell S. Vose, and Huai-Min Zhang (2017): NOAA Extended Reconstructed Sea Surface Temperature (ERSST), Version 5. [indicate subset used]. NOAA National Centers for Environmental Information. https://doi.org/10.7289/V5T72FNM
- Konstantinov P. I., Varentsov M. I. and Shartova N. V. (2022): North Eurasian thermal comfort indices dataset (NETCID): new gridded database for the biometeorological studies // Environ. Res. Lett. 17 085006. https://doi.org/10.1088/1748-9326/ac7fa9
- Matzarakis A, Wetterdienst D, Rutz F, Matzarakis A and Rutz F 2007 Rayman: a tool for tourism and applied climatology microclimate and quality of living environment: a precedent of overcrowded settlements in bandung view project online (available at: www.researchgate.net/publication/228503669)
- Menne, M. J., Williams, C. N., Gleason, B. E., Rennie, J. J., & Lawrimore, J. H. The Global Historical Climatology Network Monthly Temperature Dataset, Version 4, Journal of Climate, 31(24), 9835–9854. Retrieved Feb 16, 2022. https://journals.ametsoc.org/view/journals/clim/31/24/jcli-d-18-0094.1.xml
- National Center for Environmental Information. Climate at a glance. https://www.ncdc.noaa.gov/cag/ Date of reference: 07/10/2022–01/02/2023)
- Pilifosova, O.V., Eserkepova, I.B. & Dolgih, S.A. REGIONAL CLIMATE CHANGE SCENARIOS UNDER GLOBAL WARMING IN KAZAKHSTAN.// Climatic Change. 1997. Vol. 36, pp. 23–40. https://doi.org/10.1023/A:1005368404482
- Salnikov, V.; Turulina, G.; Polyakova, S.; Petrova, Y.; Skakova, A. Climate Change in Kazakhstan during the Past 70 Years // Quat. Int. 2015, Vol. 358, p. 77–82. https://doi.org/10.1016/j.quaint.2014.09.008
- Sörlin S. Cryo-History: Narratives of Ice and the Emerging Arctic Humanities. In The new Arctic, Stokholm: 2015, p. 327–339
- Stedman R. G. Norms of apparent temperature in Australia // Australian Meteorogical Magazine. 1994, Vol. 43, pp. 1–16.
- Toronto Public Health. Health Impact of Cold Weather. Technical Report. 2014. pp. 2–6.
- Wind Chill information: www.ec.gc.ca/meteo-weather
- Zheleznova I. V., Gushchina D. Yu., Meiramov Z., Olchev A. V. Temporal and spatial variability of dryness conditions in Kazakhstan during 1979–2021 based on reanalysis data // CLIMATE. 2022. Vol. 10, no. 10. p. 144.
Supplementary files











