Electrical Stimulation of the Spinal Cord as a Method of Regulation Walking Kinematics in Post-Stroke Patients
- Authors: Bogacheva I.N.1, Shcherbakova N.A.1, Moshonkina T.R.1, Grishin A.A.1, Skvortsov D.V.2,3, Kaurkin S.N.2,3, Gerasimenko Y.P.1
-
Affiliations:
- Pavlov Institute of Physiology of the RAS
- Federal Research Clinical Center of the FMBA of Russia
- Federal Center of Brain Research and Neurotechnologies of the FMBA of Russia
- Issue: Vol 109, No 4 (2023)
- Pages: 424-437
- Section: EXPERIMENTAL ARTICLES
- URL: https://medbiosci.ru/0869-8139/article/view/137920
- DOI: https://doi.org/10.31857/S0869813923040040
- EDN: https://elibrary.ru/VIYDMZ
- ID: 137920
Cite item
Full Text
Abstract
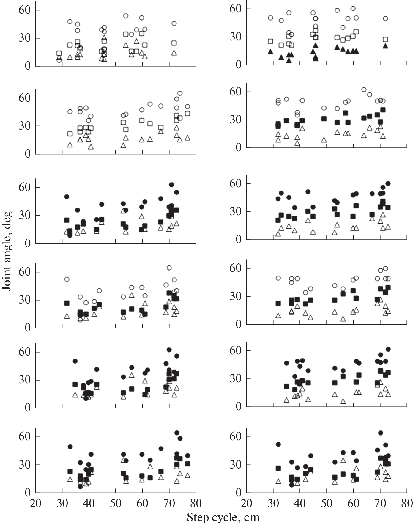
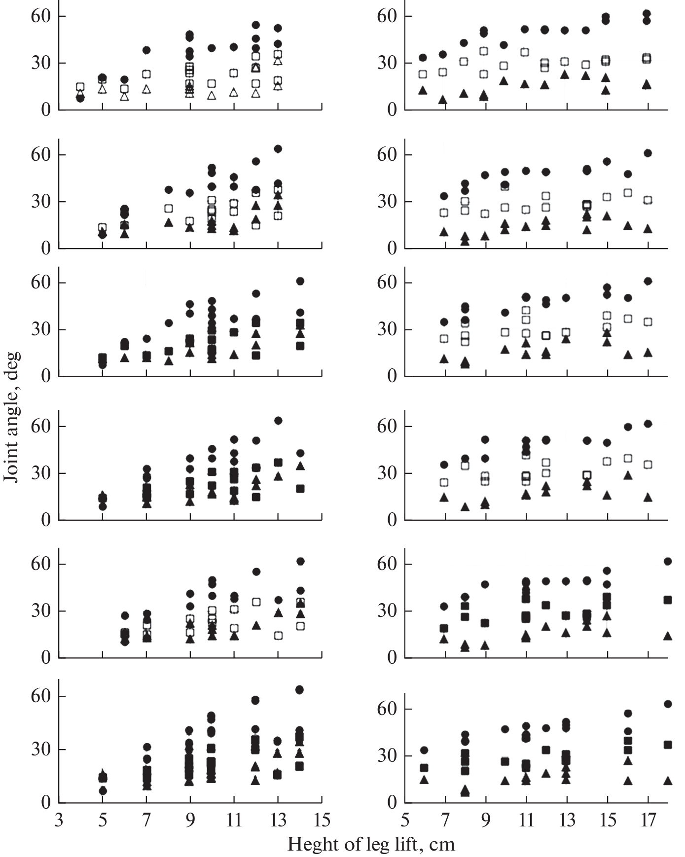
Multisegmental transcutaneous electrical stimulation of the spinal cord (sсTS), affecting spinal neural networks and motor pools of leg muscles, was used to correct treadmill walking in stroke patients. The study involved 15 patients in the recovery period after acute cerebrovascular accidents. A noninvasive spinal neuroprosthesis with a multichannel stimulator and a system for detecting phases of the walking cycle (“Cosima”, Russia) was used to activate motor pools of leg flexor muscles in the transfer phase, activation of motor pools of extensor muscles in the stance phase in combination with continuous activation of spinal locomotor networks. Using of sсTS during walking on a treadmill increased the amplitude of movements in the ankle joint and the length of the step cycle on the paresis side, as well as decreased the asymmetry of both legs in the phases of the step. The height of the paretic leg lift increased in 80% of patients. With a combination of continuous and phase-dependent stimulation, the increase in the range of motion in the joints was maximal compared to phase-dependent or only constant stimulation. The obtained data demonstrate that the proposed algorithm of the sсTS modulates the parameters of walking movements in patients with the consequences of cerebral circulation accidents and can be considered as a promising method of motor rehabilitation.
Keywords
About the authors
I. N. Bogacheva
Pavlov Institute of Physiology of the RAS
Author for correspondence.
Email: bogacheva@infran.ru
Russia, St. Petersburg
N. A. Shcherbakova
Pavlov Institute of Physiology of the RAS
Email: bogacheva@infran.ru
Russia, St. Petersburg
T. R. Moshonkina
Pavlov Institute of Physiology of the RAS
Email: bogacheva@infran.ru
Russia, St. Petersburg
A. A. Grishin
Pavlov Institute of Physiology of the RAS
Email: bogacheva@infran.ru
Russia, St. Petersburg
D. V. Skvortsov
Federal Research Clinical Center of the FMBA of Russia; Federal Center of Brain Research and Neurotechnologies of the FMBA of Russia
Email: bogacheva@infran.ru
Russia, Moscow; Russia, Moscow
S. N. Kaurkin
Federal Research Clinical Center of the FMBA of Russia; Federal Center of Brain Research and Neurotechnologies of the FMBA of Russia
Email: bogacheva@infran.ru
Russia, Moscow; Russia, Moscow
Yu. P. Gerasimenko
Pavlov Institute of Physiology of the RAS
Email: bogacheva@infran.ru
Russia, St. Petersburg
References
- Feigin V, Norrving B, Mensah G (2017) Global burden of stroke. Circ Res 120: 439–448. https://doi.org/10.1161/CIRCRESAHA.116.308413
- Хатькова СЕ, Костенко ЕВ, Акулов МА, Дягилева ВП, Николаев ЕА, Орлова АС (2019) Современные аспекты патофизиологии нарушений ходьбы у пациентов после инсульта и особенности их реабилитации. Журн неврол психиатр им СС Корсакова 119: 43–50. [Khatkova SE, Kostenko EV, Akulov MA, Diaghileva VP, Nikolaev EA, Orlova AS (2019) Modern aspects of the pathophysiology of walking disorders in patients after stroke and features of their rehabilitation. J Neurol Psychiatry named after SS Korsakov 119: 43–50. (In Russ)]. https://doi.org/10.17116/jnevro20191191214
- Angeli CA, Boakye M, Morton RA,Vogt J, Benton K, Chen Y, Ferreira CK, Harkema SJ (2018) Recovery of over-ground walking after chronic motor complete spinal cord injury. N Engl J Med 379: 1244–1250. https://doi.org/10.1056/NEJMoa1803588
- Darrow D, Balser D, Netoff Th, Krassioukov A, Phillips A, Parr A, Samadani U (2019) Epidural Spinal Cord Stimulation Facilitates Immediate Restoration of Dormant Motor and Autonomic Supraspinal Pathways after Chronic Neurologically Complete Spinal Cord Injury. J Neurotrauma 36: 2325–2336. https://doi.org/10/1089/neu.2018.6006
- Gerasimenko Y, Gorodnichev R, Moshonkina T, Sayenko D, Gad P, Edgerton VR (2015) Transcutaneous electrical spinal-cord stimulation in humans. An Phys Rehabil Med 58: 225–231. https://doi.org/10.1016/j.rehab.2015.05.003
- Hofstoetter U, Freundl B, Binder H, Minassian K (2018) Common neural structures activated by epidural and transcutaneous lumbar spinal cord stimulation: elicitation of posterior root-muscle reflexes. PLoS One13: 1–22. https://doi.org/10.1371/journal.pone.0192013
- Danner S, Hofstoetter U, Ladenbauer J, Rattay F, Minassian K (2011) Can the human lumbar posterior columns be stimulated by transcutaneous spinal cord stimulation? A modeling study. J Artific Organs 35: 257–282. https://doi.org/10.1111/j.1525-1594.2011.01213.x
- Minassian K, Perret I, Hofstoetter U (2021) Epidural and Transcutaneous Spinal Cord Stimulation Strategies for Motor Recovery After Spinal Cord Injur. In: Neuroprosthetics and Brain-Computer Interfaces in Spinal Cord Injury 167–190.
- Rath M, Vette AH, Ramasubramaniam S, Li K, Burdick J, Edgerton VR, Gerasimenko YP, Sayenko DG (2018) Trunk Stability Enabled by Noninvasive Spinal Electrical Stimulation after Spinal Cord Injury. J Neurotrauma 21: 2540–2553. https://doi.org/10.1089/neu.2017.5584
- Gad P, Gerasimenko Y, Zdunowski S, Turner A, Sayenko D, Lu DC, Edgerton VR (2017) Weight bearing over-ground stepping in an exoskeleton with non-invasive spinal cord neuromodulation after motor complete paraplegia. Front Neurosci 11: 1–8. https://doi.org/10.3389/fnins.2017.00333
- Seáñez I, Capogrosso M (2021) Motor improvements enabled by spinal cord stimulation combined with physical training after spinal cord injury: review of experimental evidence in animals and humans. Bioelectron Med 7: 16 https://doi.org/10.1186/s42234-021-00077-5
- Балыкин МВ, Якупов РН, Машин ВВ, Котова ЕЮ, Балыкин ЮМ, Герасименко ЮП (2017) Влияние неинвазивной электрической стимуляции спинного мозга на локомоторные функции пациентов с двигательными нарушениями центрального генеза. Вопр курортол физиотер и лечебн физкульт 4: 4–9. [Balykin MV, Yakupov RN, Mashin VV, Kotova EY, Balykin YuM, Gerasimenko UP (2017) The effect of non-invasive electrical spinal cord stimulation on locomotor functions of patients with movement disorders of central origin. Qurortol physiotherap and therap physical education 4: 4–9. (In Russ)].https://doi.org/10.17116/kurort20179444-9
- Gorodnichev RM, Pukhov AM, Moiseev SA, Ivanov SM, Markevich VV, Bogacheva IN, Grishin AA, Moshonkina TR, Gerasimenko YP (2021) Regulation of Stepping Phases During Noninvasive Electrical Spinal Cord Stimulation. Human Physiol 47: 60–69. https://doi.org/10.31857/S0131164621010057
- Keller A, Singh G, Sommerfeld JH, King M, Parikh P, Ugiliweneza B, D’Amico J, Gerasimenko Y, Behrman AL (2021) Noninvasive spinal stimulation safely enables upright posture in children with spinal cord injury. Nat Commun 12: 5850. https://doi.org/10.1038/s41467-021-26026-z
- Siu R, Brown EH, Mesbah S, Gonnelli F, Pisolkar T, Edgerton VR, Ovechkin AV, Gerasimenko YP (2022) Novel Noninvasive Spinal Neuromodulation Strategy Facilitates Recovery of Stepping after Motor Complete Paraplegia. J Clin Med 11: 3670. https://doi.org/10.3390/jcm11133670
- Grishin AA, Bobrova EV, Reshetnikova VV, Moshonkina TR (2021) A System for Detecting Stepping Cycle Phases and Spinal Cord Stimulation as a Tool for Controlling Human Locomotion. Biomed Eng 54: 312–316.
- Скворцов ДВ (2007) Диагностика двигательной патологии инструментальными методами: анализ походки, стабилометрия. Науч-мед фирма МБН/M 617. [Skvortsov DV (2007) Diagnosis of motor pathology by instrumental methods mi: gait analysis, stabilometry. Scient med firm MBN/M 617. (In Russ)].
- Simonsen EB (2014) Contributions to the understanding of gait control. Dan Med J 61: B4823.
- Duncan PW, Zorowitz R, Bates B, Choi JY, Glasberg JJ, Graham GD, Katz RC, Lamberty K, Reker D (2005) Management of Adult Stroke Rehabilitation Care: a clinical practice guideline. Stroke 36: 100–143. https://doi.org/10.1161/01.str.0000180861.54180.ff
- Гурьянова ЕА, Ковальчук ВВ, Тихоплав ОА, Литвак ФГ (2020) Функциональная электростимуляция при восстановлении ходьбы после инсульта. Физ реабилитац мед, мед реабилит 2: 244–262. [Guryanova EA, Kovalchuk VV, Tikhoplav OA, Litvak FG (2020) Functional electrical stimulation during recovery of walking after stroke. Phys rehabilit med, med rehabilitat 2: 244–262. (In Russ)]. https://doi.org/10.36425/rehab34831
- Баскакова НВ, Витензон АС (1975) Влияние темпа и длины шага на основные параметры ходьбы человека. Биомеханика 13: 242–247. [Baskakova NV, Vitenzon AS (1975) The influence of pace and step length on the basic parameters of human walking. Biomechanics 13: 242–247. (In Russ)].
- Скворцов ДВ, Королева СВ (2019) Динамика параметров ходьбы в процессе реабилитации после эндопротезирования коленного сустава. Научно-практ ревматол 57: 704–707. [Skvortsov DV, Koroleva SV (2019) Changes in gait parameters during rehabilitation after total knee arthroplasty. Scient Pract Rheumatol 57: 704–707. (In Russ)]. https://doi.org/10.14412/1995-4484-2019-704-707
- Gervasoni E, Parelli R, Uszynski M, Crippa A, Marzegan A, Montesano A, Cattaneo D (2017) Effects offunctional electrical stimulation on reducing falls and improving gait parameters in multiple sclerosis and stroke. PMR 4: 339−347.e1.https://doi.org/10.1016/j.pmrj.2016.10.019
- Витензон АС, Петрушанская КА (2010) Физиологические обоснования метода искусственной коррекции движений посредством программируемой электростимуляции мышц при ходьбе. Рос журн биомехан 14: 7–27. [Vitenzon AS, Petrushanskaya KA (2010) Physiological substantiations of the method of artificial correction of movements by means of programmable electrical stimulation of muscles during walking. Rus J Biomechan 14: 7–27. (In Russ)].
Supplementary files







