Desmin degradation in the skeletal muscle of patients with chronic critical illness
- Authors: Zaripova К.А.1, Tyganov S.А.1, Turtikova О.V.1, Skiteva Е.N.1,2, Zabrodskaya Y.М.2,3,4, Kondratiev S.А.5, Kondratieva Е.А.2,4, Kondratiev А.N.2, Shenkman B.S.1
-
Affiliations:
- Institute of Biomedical Problems, Russian Academy of Sciences
- Russian National Institute of Chemistry
- North-Western State Medical University named after I.I. Mechnikov
- S.M. Kirov Military Medical Academy
- AIMIS Healthcare Group, Сlinic Athonitissa
- Issue: Vol 110, No 2 (2024)
- Pages: 283-296
- Section: EXPERIMENTAL ARTICLES
- URL: https://medbiosci.ru/0869-8139/article/view/260970
- DOI: https://doi.org/10.31857/S0869813924020102
- EDN: https://elibrary.ru/DIXRQB
- ID: 260970
Cite item
Full Text
Abstract
Critical illness myopathy (CIM) is a primary myopathy that develops in critically ill patients. Histologic features of CIM include a general decrease in muscle fiber cross-sectional area and a predominant loss of the motor protein myosin. These features are observed in the absence of inflammatory infiltrates but with detectable cytokine activation. The purpose of this study was to examine the state of the extracellular matrix of the human soleus muscle under conditions of CIM caused by chronic impairment of consciousness. Incisional muscle biopsies were taken from the soleus muscle of 6 patients who were in a chronic critical condition and were treated in the Department of Anesthesiology and Reanimation at the A.L. Polenov Russian Research Institute - branch of the Almazov National Medical Research Center. The study included patients with a chronic impairment of consciousness lasting at least 2 months. Muscle biopsies taken from healthy men were used as controls. The biopsies were obtained using needle biopsy under local anesthesia. Using histological staining of tissue sections, it was determined that patients with CIM exhibited a significant increase in collagen area, surpassing the control value by 82%. An increased mRNA content of collagens I, III, and VIa was also observed, along with an increase in the protein content of collagen I and III. At the same time, we did not observe any changes in the content of fibronectin and extracellular tissue growth factor mRNA. However, we did observe an increase in the mRNA of the integrin A7 subunit. The results obtained indicate significant skeletal muscle fibrosis under CIM conditions. Further studies on the signaling pathways that regulate this process are needed.
Full Text
ВВЕДЕНИЕ
Хронические нарушения сознания (ХНС) – это состояния, развивающиеся после комы в сроки, как правило, более 28 дней после повреждения головного мозга, сопровождающиеся восстановлением бодрствования без проявлений осознанной деятельности. Выделяют основные формы ХНС – вегетативное состояние/синдром ареактивного бодрствования (ВС/САБ) и состояние минимального сознания (СМС) [1]. Миопатия критических состояний (critical illness myopathy, CIM) возникает у части пациентов, длительно находящихся в критическом состоянии [2], проявляется выраженной слабостью скелетных мышц [3], потерей миозиновых волокон [4, 5], разрушением цитоскелета мышечных клеток [6], присутствием некроза [7, 8], пониженной возбудимостью мышечной мембраны [9, 10], нарушением мышечного метаболизма [9, 11], повышенным распадом белка и снижением синтеза белка [12, 13], дисфункцией митохондрий [14, 15]. Стоит отметить, что атрофия, вызванная критическим заболеванием, значительно отличается от атрофии, вызванной иммобилизацией и механической разгрузкой [16]. Основная особенность потери мышечной массы при CIM заключается в преимущественной потере миозина и белков, связанных с актином [17–19]. Причины этой особенности остаются неясными, и многие стандартные модели мышечной атрофии, такие как иммерсия или иммобилизация, не могут воспроизвести этот результат. Однако существует модель, в которой используется искусственная вентиляция легких грызунов в сочетании с глубокой анестезией, с использованием которой можно воспроизводить эффекты CIM [20]. Соответственно, разработка стратегий предотвращения или ограничения потери мышечных белков во время (или после) CIM является фундаментальной целью будущих методов лечения [19].
В данной работе проведено исследование изменений внеклеточного матрикса (extracellular matrix, ECM) камбаловидной мышцы у пациентов с ХНС с проявлениями миопатии критических состояний. Внеклеточный матрикс (ECM) скелетных мышц играет решающую роль в физиологической активности мышц. Он состоит из трех основных типов белков: коллагенов, протеогликанов и фибронектина, а также рецепторов и регуляторов, таких как интегрины и матриксные металлопротеиназы [21]. Коллагены образуют сеть ECM, т.е. центральные волокнистые компоненты внеклеточного матрикса [22]. ECM организован в три слоя: эндомизий, представляющий самый внутренний слой, который окружает отдельные мышечные волокна; перимизий, окружающий отдельные пучки мышечных волокон; эпимизий, охватывающий всю мышцу. Все три слоя при этом соединены между собой. Внутримышечная соединительная ткань содержит различные формы коллагенов, а наиболее распространены типы I и III [23, 24]. Эндомизий соединяется с сарколеммой миофибрилл через специализированную базальную мембрану, которая состоит в основном из коллагена IV типа и ламинина [25, 26]. Обнаружено, что концентрация этих двух компонентов различается в зависимости от типа мышечных волокон: медленно сокращающиеся волокна характеризуются значительно более высокими концентрациями коллагена IV, но более низкими концентрациями ламинина [22, 27]. Остальные типы коллагена (II, V, VI, VII, XV, XVIII) в скелетной мышце представлены значительно меньше [27, 28].
Механическая разгрузка приводит к потере мышечных сократительных белков и силы мышечных волокон. Ослабление мышцы сопровождается потерей мышечной массы и уменьшением размеров мышечных клеток. Снижение синтеза белка и усиление его деградации проявляются как в сократительном аппарате, так и во внеклеточном матриксе [22]. Все совокупные данные указывают на то, что изменение внеклеточного матрикса приводит к увеличению жесткости мышц, уменьшению их силы и повышению их восприимчивости к травмам. Таким образом, критически важно создать стратегии вмешательства, направленные на уменьшение этих изменений. Мы предположили, что в условиях хронического нарушения сознания будут наблюдаться значительные изменения структуры и состава ECM. Для проверки этой гипотезы были взяты биопсии камбаловидных мышц у пациентов, пребывающих в палате интенсивной терапии не менее 2 месяцев.
МЕТОДЫ ИССЛЕДОВАНИЯ
Взятие мышечных биопсий у пациентов
Инцизионные мышечные биопсии из камбаловидной мышцы были взяты у 6 пациентов в хроническом критическом состоянии (на рисунках и в результатах обозначены CI), проходивших лечение в отделении анестезиологии и реанимации Российского научно-исследовательского нейрохирургического института им. профессора А.Л. Поленова – филиала Национального медицинского исследовательского центра им. В.А. Алмазова. В исследование были включены пациенты с продолжительностью ХНС не менее 2 месяцев. Критерии исключения: инфекция в области забора биопсийного материала, непереносимость местных анестетиков, индекс массы тела (ИМТ) ниже 15, наличие выраженного системного воспалительного ответа и сепсиса, а также нестабильности витальных функций.
В условиях «малой хирургической операции» осуществлялся забор исследуемой ткани под местной анестезией 1%-ным раствором ропивакаина. Забор биоптатов скелетных мышц проводили в диагностических целях с согласия законных представителей пациентов.
В качестве контроля (на рисунках и в результатах обозначены Con) использовали мышечные биоптаты, взятые у здоровых мужчин с помощью игольчатой биопсии под местной анестезией. В горизонтальном положении в помещении, предназначенном для хирургических манипуляций, проводили местную анестезию путем внутрикожной инъекции 2%-ного раствора лидокаина над поверхностью задней группы мышц голени. Затем выполняли кожный разрез с помощью однократного хирургического лезвия и производили стерильный забор ткани с помощью биопсийной аспирационной иглы Бергстрема. После извлечения иглы рану обрабатывали гемостатической губкой и закрывали бактерицидным лейкопластырем. После взятия биопсии у пациентов с хроническим критическим состоянием и у здоровых добровольцев мышечная ткань в течение одной минуты замораживалась в жидком азоте для последующих анализов.
Анализ экспрессии генов
Для анализа экспрессии мРНК генов из мышечной ткани с помощью набора RNeasy micro kit («Qiagen», США) была выделена тотальная фракция РНК и использована в качестве матрицы для проведения обратной транскрипции с последующей ПЦР-реакцией. Для проведения обратной транскрипции были использованы компоненты фирмы «Синтол» (Россия): 30 мкМ случайных гексануклеотидов, 17.4 мкМ олиго-d(T)15, 1.3 мМ дНТФ, 0.02 ед./мкл ингибитора РНКазы, 6 ед./мкл M-MLV-ревертазы, 5х-буфер для M-MLV-ревертазы. Обратную транскрипцию проводили в амплификаторе (CFX96 Touch Real-Time PCR Detection System, «Bio-Rad Laboratories», США). Для проведения ПЦР в реальном времени использовали полученную в результате обратной транскрипции кДНК, праймеры с концентрацией 10 мкМ мастер-микс (0.3 мМ дНТФ, 3 мМ MgCl2, 2.5 мкл 10-кратного ПЦР-буфера Б (pH 8.8), 0.06 ед./мкл Taq ДНК-полимеразы, «Синтол»). Нормирование данных ПЦР проводили на экспрессию housekeeping генов RPL13a и GAPDH. Все праймеры, использовавшиеся в эксперименте, представлены в табл. 1.
Таблица 1. Список использованных в работе праймеров
Ген | Последовательность праймеров (5’ – 3’) |
ColIa | F GATTCCCTGGACCTAAAGGTGC R AGCCTCTCCATCTTTGCCAGCA |
ColIIIa | F TGGTCTGCAAGGAATGCCTGGA R TCTTTCCCTGGGACACCATCAG |
ColIV | F TTCCTGTACTGCAACCCTGGTGAT R ATATCCGATCCACAAACTCCGCCA |
ColVIa | F AGCCTACGGAGAGTGCTACA R GTCCTGGGAATCCAATGGGG |
CTGF | F CTCCTGCAGGCTAGAGAAGC R GATGCACTTTTTGCCCTTCTT |
INTGα7 | F CCTGTCCAATGAGAATGCCTCC R TCTACCTCCAGTTCCGTGGTCT |
INTGβ1 | F GGATTCTCCAGAAGGTGGTTTCG R TGCCACCAAGTTTCCCATCTCC |
Fibronectin | F ACAACACCGAGGTGACTGAGAC R GGACACAACGATGCTTCCTGAG |
GAPDH | F CCAGTATGATTCTACCCACGGC R CGGAGATGATGACCCTTTTGGC |
Rpl13a | F AGCTCATGAGGCTACGGAAA R CTTGCTCCCAGCTTCCTATG |
Анализ содержания белков в тотальной фракции камбаловидной мышцы
Для выделения тотальной белковой фракции был использован набор реагентов RIPA Lysis Buffer System («Santa Cruz», США). При этом дополнительно использовались ингибиторы протеаз Complete Protease Inhibitor Cocktail («Santa Cruz», США), 10 мкг/мл апротинина («SIGMA», США), 10 мкг/мл лейпептина («SIGMA», США), 10 мкг/мл пепстатина («SIGMA», США), «complete Mini Protease Inhibitor Cocktail» (Roche, Швейцария) 20 мкл, фосфоингибиторный коктейль («Santa Cruz», США) 40 мкл.
Для проведения электрофореза в полиакриламидном геле (ПААГ) образцы разводились в двукратном буфере для образцов (5.4 мМ Tris-HCl (pH 6.8), 4%-ный Ds-Na, 20%-ный глицерин, 10%-ный β-меркаптоэтанол, 0.02%-ный бромфеноловый синий). Электрофорез был проведен в 10%-ном разделяющем ПААГ. Образцы группы CI загружались на один гель с контрольными образцами. Электрофорез проводили при силе тока 17 мА на гель в мини-системе («Bio-Rad Laboratories») при комнатной температуре. Электроперенос белков проводили на нитроцеллюлозную мембрану при 100 В при температуре 4°C в течение 120 мин в системе mini Trans-Blot («Bio-Rad Laboratories»). После электропереноса НЦ-мембраны инкубировали в растворе 5%-ного сухого молока («Bio-Rad Laboratories») в PBST (PBS + 0.1% Tween 20) в течение 1 ч при комнатной температуре. Для выявления белковых полос использовали первичные поликлональные антитела. В качестве вторичных антител использовали антитела goat anti-rabbit, конъюгированные с пероксидазой хрена («Santa Cruz», США) в разведении 1:50000. Инкубация блотов с первичными антителами проводилась в течение ночи при 4°С, со вторичными антителами 1 ч при комнатной температуре. Анализ белковых полос проводили с использованием C-DiGit Blot Scanner («LI-COR Biotechnology», США). Все измерения плотности изображений проводились в линейном диапазоне проявляющего реагента и сканера. Медиану оптического поглощения (ОП) полос вывешенной группы делили на медиану ОП полос соответствующей контрольной группы, отличия выражали в процентах. Медиану ОП полос контрольной группы принимали за 100%. Статистическая обработка данных вестерн-блота производилась с помощью программы Image Studio Digits Ver4.0.
Определение коллагена
Гистохимический анализ коллагена проводили в соответствии с Segnani и соавт. [29]. Поперечные замороженные срезы (толщиной 10 мкм) образцов камбаловидной мышцы готовили с помощью криостата Leica CM 1900 (Leica, Брауншвейг, Германия) при –20°C. После этого срезы фиксировали в 4%-ном PFA в течение 20 мин и промывали дистиллированной водой. Затем срезы инкубировали в 0.04%-ном растворе светло-зеленого (Light green SF yellowish (CI 42095), SERVA FEINBIOCHEMICA GmbH & Co. KG, Гейдельберг, Германия) в течение 15 мин при комнатной температуре, промывали дистиллированной водой в течение 10 мин и инкубировали в 0.1% -ном растворе светло-зеленого с 0.04% Sirius Red (Direct Red 80, «Sigma Aldrich», США) в насыщенной пикриновой кислоте в течение 30 мин. После этого срезы промывали 0.5%-ной соляной кислотой и фотографировали. Срезы анализировали с помощью флуоресцентного микроскопа Leica Q500MC со встроенной цифровой камерой (TCM 300F, Leica, Германия) и объективным увеличением 400x. Компьютерный анализ изображений проводился с использованием специального плагина для ImageJ 1.52a. Общую площадь, занимаемую коллагеном на срезах, рассчитывали и выражали в относительных единицах.
Статистическая обработка данных
Данные представлены как средние ± SEM. Средние значения всех групп показаны в % от Контроля. Чтобы проверить, были ли различия между группами статистически значимы, учитывая небольшой размер выборки и сравнения между двумя группами, был использован непараметрический U-критерий Манна – Уитни. Значение p менее 0.05 расценивали как статистически значимое.
РЕЗУЛЬТАТЫ ИССЛЕДОВАНИЯ И ОБСУЖДЕНИЕ
Коллаген является наиболее распространенным белком внеклеточного матрикса (ECM) и выполняет несколько важных функций в скелетных мышцах, включая: обеспечение прочности на растяжение и эластичности; передачу мышечных усилий костям; регуляцию прикрепления и дифференцировки клеток [30, 31]. Эффекты иммобилизации на ЕСМ скелетных мышц не совсем однозначны. В ранних исследованиях было показано, что у крыс снижается как активность гидроксилазы, так и содержание гидроксипролина (аминокислота, составляющая коллаген) [22, 32, 33]. Позже было обнаружено, что изменения содержания коллагена в ответ на кратковременную иммобилизацию или разгрузку довольно небольшие [34, 35]. Недавние исследования показали, что содержание коллагена I и биомеханические свойства (модуль упругости, максимальное напряжение) фасции голени, окружающей трехглавую мышцу голени крысы, значительно увеличиваются уже после 21-го дня разгрузки задних конечностей [36]. В исследованиях, проведенных в нашей лаборатории, было показано, что коллаген снижает свою экспрессию после 7 и 21 суток ограничения подвижности [37], а также после 14-суточного антиортостатического вывешивания грызунов [38]. У людей иммуногистохимическое окрашивание не выявило изменений в плотности сети коллагена I после 60 дней постельного режима [39], также не было выявлено изменений в содержании тотального коллагена [40]. В данной работе содержание коллагена, измеренное на срезах камбаловидной мышцы, у пациентов с CIM на 82% превышало значения контроля (рис. 1). Помимо изменения, потери или нарушения некоторых специфических компонентов ЕСМ в физиологических и патологических состояниях, жесткость ЕСМ сама по себе, по-видимому, является важным фактором, регулирующим рост и функцию мышечных клеток [41]. Покоящиеся скелетные мышцы и мышечные трубки в культуре демонстрируют одинаковую упругую жесткость, тогда как старые и дистрофические мышцы в несколько раз жестче [42]. Причиной таких изменений является повышенное накопление внеклеточного матрикса, особенно отложение коллагена фибробластами в результате повторяющихся событий мышечной дегенерации-регенерации [41].
Рис. 1. Окрашивание волокон m.soleus на коллаген. Con – здоровые люди, CI – критические состояния. * – достоверное отличие от Con (p < 0.05). Данные представлены в виде медианы и межквартильного интервала (0.25–0.75) ± минимальное и максимальное значения.
Ранее было изучено содержание мРНК коллагена I в камбаловидной мышце в экспериментах по вывешиванию задних конечностей и обнаружено выраженное снижение экспрессии на третий день, которое сменилось восстановлением до контрольного уровня к седьмым суткам вывешивания [43]. В свою очередь, экспрессия мРНК коллагена III в камбаловидной мышце снизилась после семи дней вывешивания [38]. Экспрессия мРНК коллагенов различного типа также снижалась в скелетной мышце после 5 суток сухой иммерсии [44]. В этой работе мы наблюдали достоверное увеличение содержания коллагенов I и III в камбаловидной мышце пациентов с CIM на 534% и 832% соответственно (рис. 2a, b).
Рис. 2. Содержание коллагена I (a) и коллагена III (b). Con – здоровые люди, CI – критические состояния. * – достоверное отличие от Con (p < 0.05). Данные представлены в виде медианы и межквартильного интервала (0.25–0.75) ± минимальное и максимальное значения.
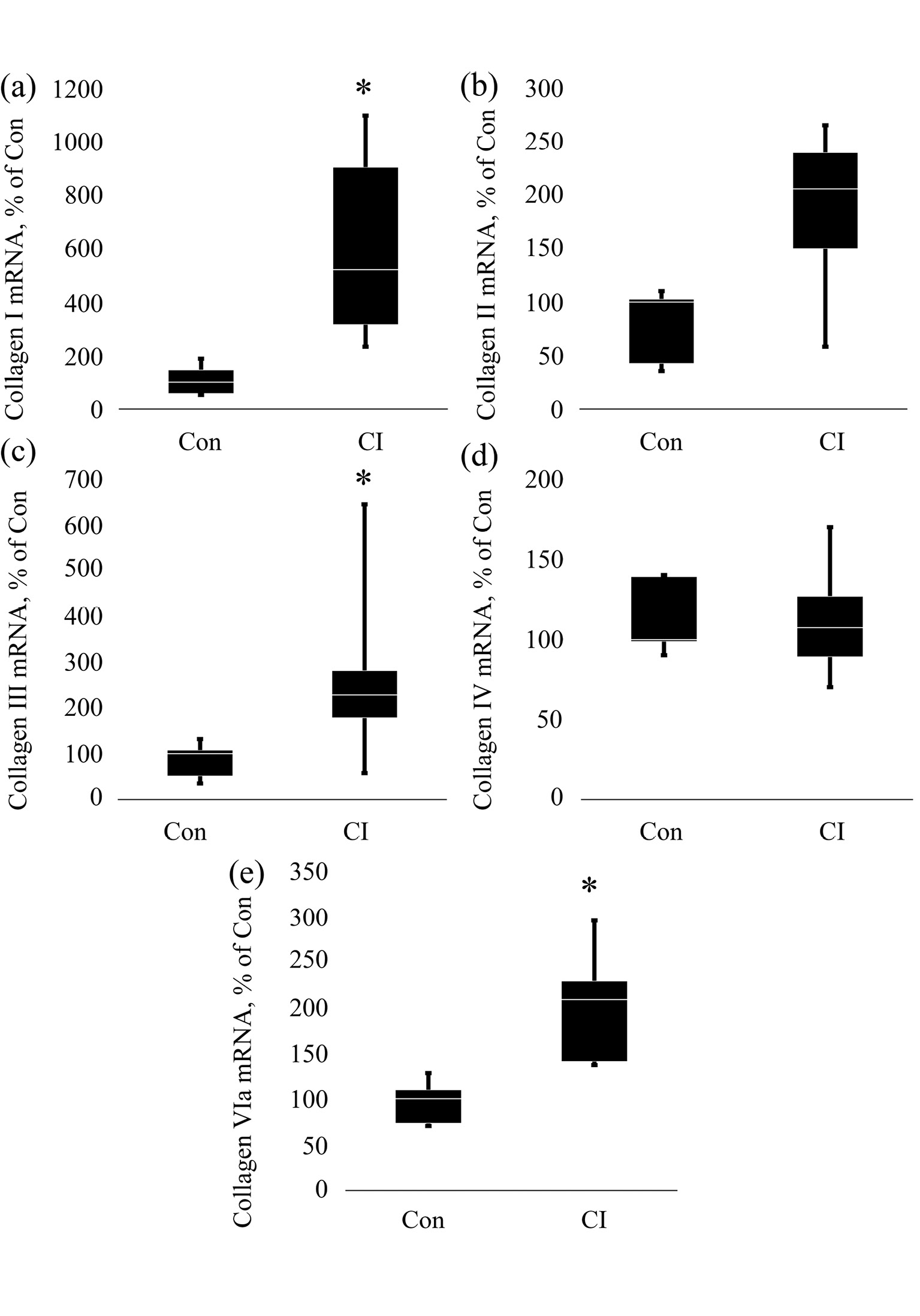
Также нами было проведено изучение экспрессии мРНК коллагенов разного типа. Мы наблюдали достоверное увеличение содержания мРНК коллагена I, III и VIa (рис. 3a, b, e). При этом экспрессия коллагена II и IV не изменялась (рис. 3b, d).
Рис. 3. Содержание мРНК коллагена I (a), коллагена II (b), коллагена III (c), коллагена IV (d), коллагена VIa (e). Con – здоровые люди, CI – критические состояния. * – достоверное отличие от Con (p < 0.05). Данные представлены в виде медианы и межквартильного интервала (0.25–0.75) ± минимальное и максимальное значения.
Фактор роста соединительной ткани (CTGF) представляет собой белок, участвующий в различных критических биологических процессах, особенно во время эмбрионального развития, где он экспрессируется в высокой степени. Во взрослом возрасте экспрессия CTGF минимальна в большинстве тканей, однако его уровни повышаются при повреждении тканей и различных патологических состояниях [45–47]. Мы предположили, что фиброз скелетных мышц в условиях CIM связан именно с этим фактором роста. Однако мы не обнаружили увеличения экспрессии CTGF (рис. 4a). Кроме того, не было обнаружено изменения экспрессии мРНК другого важного белка ECM – фибронектина (рис. 5b).
Рис. 4. Содержание мРНК фактора роста соединительной ткани – CTGF (a), фибронектина (b), субъединицы интегрина A7 (c), субъединицы интегрина B1 (d). Con – здоровые люди, CI – критические состояния. * – достоверное отличие от Con (p < 0.05). Данные представлены в виде медианы и межквартильного интервала (0.25–0.75) ± минимальное и максимальное значения.
Внеклеточные домены интегринов встроены во внеклеточный матрикс, тогда как внутриклеточный домен связывает талин и винкулин, косвенно соединяя интегрины с α-актинином в саркомере [48]. В скелетных мышцах изоформы интегрина различаются в зависимости от развития, при этом изоформа α7Bβ1D является первичной изоформой у взрослых костамеров; уровни и изоформы изменяются при физических нагрузках и при миопатиях [48–50]. Исследования также показали, что интегрины могут напрямую регулировать пролиферацию и дифференцировку сателлитных клеток, перестройку ECM, а также поддержание физиологической активности и гомеостаза сателлитных клеток [51–53]. Изучение содержания мРНК субъединиц интегринов показало достоверное снижение экспрессии на 40% только для субъединицы A7 (рис. 4c, d).
Иммобилизация обычно приводит к снижению активности ферментов биосинтеза коллагена в скелетных мышцах [34, 54], это позволяет предположить, что биосинтез коллагеновой сети снижается в результате снижения мышечной активности [55, 56]. Скорость общего синтеза коллагена зависит главным образом от общего белкового баланса ткани, но, по-видимому, на нее положительно влияет растяжение мышц [34, 54–56]. В случае же длительного хронического нарушения сознания мы наблюдали значительное увеличение содержания компонентов ECM при существенном уменьшении размера мышечных волокон [57]. Это сопровождается значительным увеличением синтеза мРНК коллагенов I, III и VIa. Также можно предположить, что эффект фиброза связан со снижением оборота коллагенов вместе со снижением активности убиквитин-лигаз [57], что приводит к чрезмерному накоплению соединительной ткани и сопутствующему увеличению неферментативного сшивания коллагеновых волокон [58–61]. Исследования на животных показывают, что возникающий фиброзный фенотип сопровождается значительным увеличением мышечной жесткости [42, 62], что связано с изменением механотрансдукции, а также хемотаксическими и воспалительными реакциями [61, 63].
Таким образом, исследование внеклеточного матрикса у пациентов с ХНС выявило значительное увеличение экспрессии коллагенов I, III и VIa, наряду с пониженной экспрессией одной из субъединиц интегринов, что может быть связано со снижением распада коллагена в условиях хронического нарушения сознания и, как следствие, приводящее к развитию фиброза мышечной ткани.
БЛАГОДАРНОСТЬ
Авторы выражают глубокую благодарность Е. М. Ледневу и Т. Ф. Вепхвадзе за проведение игольчатой биопсии, Куканову К. К., Войнову Н. Е. за выполнение забора биопсионного материала у исследуемой группы больных.
ВКЛАДЫ АВТОРОВ
Идея работы и планирование эксперимента Б. С. Ш., А. Н. К., Ю. М. З., С. А. К. Сбор материала биопсии С. А. К., Е. Н. С. Сбор данных С. А. Т., Е. Н. С., К. А. З., О. Н. Т. Обработка данных С. А. Т., К. А. З., О. Н. Т. Написание и редактирование манускрипта С. А. Т., Б. С. Ш., Е. А. К., С. А. К., Ю. М. З.
ФИНАНСИРОВАНИЕ РАБОТЫ
Данная работа финансировалась за счет средств Российского научного фонда (проект 22-25-00615). Никаких дополнительных грантов на проведение или руководство данным конкретным исследованием получено не было.
СОБЛЮДЕНИЕ ЭТИЧЕСКИХ СТАНДАРТОВ
Все исследования проводились в соответствии с принципами биомедицинской этики, изложенными в Хельсинкской декларации 1964 г. и последующих поправках к ней. Они также были одобрены локальным Этическим комитетом Национального медицинского исследовательского центра им. В.А. Алмазова, протокол № 1411-20 от 16 ноября 2020 г. Забор биоптатов скелетных мышц проводили в диагностических целях с согласия законных представителей пациентов.
КОНФЛИКТ ИНТЕРЕСОВ
Авторы данной работы заявляют, что у них нет конфликта интересов.
About the authors
К. А. Zaripova
Institute of Biomedical Problems, Russian Academy of Sciences
Author for correspondence.
Email: s.a.tyganov@gmail.com
Russian Federation, Moscow
S. А. Tyganov
Institute of Biomedical Problems, Russian Academy of Sciences
Email: s.a.tyganov@gmail.com
Russian Federation, Moscow
О. V. Turtikova
Institute of Biomedical Problems, Russian Academy of Sciences
Email: s.a.tyganov@gmail.com
Russian Federation, Moscow
Е. N. Skiteva
Institute of Biomedical Problems, Russian Academy of Sciences; Russian National Institute of Chemistry
Email: s.a.tyganov@gmail.com
Department of Anesthesiology and Intensive Care
Russian Federation, Moscow; Saint PetersburgY. М. Zabrodskaya
Russian National Institute of Chemistry; North-Western State Medical University named after I.I. Mechnikov; S.M. Kirov Military Medical Academy
Email: s.a.tyganov@gmail.com
Department of Anesthesiology and Intensive Care
Russian Federation, Saint Petersburg; Saint Petersburg; Saint PetersburgS. А. Kondratiev
AIMIS Healthcare Group, Сlinic Athonitissa
Email: s.a.tyganov@gmail.com
Cyprus, Limassol
Е. А. Kondratieva
Russian National Institute of Chemistry; S.M. Kirov Military Medical Academy
Email: s.a.tyganov@gmail.com
Department of Anesthesiology and Intensive Care
Russian Federation, Saint Petersburg; Saint PetersburgА. N. Kondratiev
Russian National Institute of Chemistry
Email: s.a.tyganov@gmail.com
Department of Anesthesiology and Intensive Care
Russian Federation, Saint PetersburgB. S. Shenkman
Institute of Biomedical Problems, Russian Academy of Sciences
Email: s.a.tyganov@gmail.com
Russian Federation, Moscow
References
- Пирадов МА, Супонева НА, Вознюк ИА, Кондратьев АН, Щеголев АВ, Белкин АА, Зай- цев ОС, Пряников ИВ, Петрова МВ, Иванова НЕ, Гнедовская ЕВ, Рябинкина ЮВ, Серге- ев ДВ, Язева ЕГ, Легостаева ЛА, Фуфаева ЕВ, Петриков СС (2020) Хронические нарушения сознания: терминология и диагностические критерии. Результаты первого заседания Российской рабочей группы по проблемам хронических нарушений сознания. Анналы неврол 14(1): 5–16. [Piradov MA, Suponeva NA, Voznyuk IA, Kondratyev AN, Shchegolev AV, Belkin AA, Zaitsev OS, Pryanikov IV, Petrova MV, Ivanova NE, Gnedovskaya EV, Ryabinkina YuV, Sergeev DV, Iazeva EG, Legostaeva LA, Fufaeva EV, Petrikov SS (2020) Chronic disorders of consciousness: terminology and diagnostic criteria. The results of the first meeting of the Russian Working Group for Chronic Disorders of Consciousness. Annu Clin Exp Neurol 14(1): 5–16. (In Russ). https://doi.org/10.25692/ACEN.2020.1.1
- Larsson L, Friedrich O (2016) Critical Illness Myopathy (CIM) and Ventilator-Induced Diaphragm Muscle Dysfunction (VIDD): Acquired Myopathies Affecting Contractile Proteins. Compr Physiol 7(1): 105–112. https://doi.org/10.1002/cphy.c150054
- Friedrich O, Diermeier S, Larsson L (2018) Weak by the machines: muscle motor protein dysfunction – a side effect of intensive care unit treatment. Acta Physiol (Oxf) 222(1). https://doi.org/10.1111/apha.12885
- Larsson L, Li X, Edstrom L, Eriksson LI, Zackrisson H, Argentini C, Schiaffino S (2000) Acute quadriplegia and loss of muscle myosin in patients treated with nondepolarizing neuromuscular blocking agents and corticosteroids: mechanisms at the cellular and molecular levels. Crit Care Med 28(1): 34–45. https://doi.org/10.1097/00003246-200001000-00006
- Derde S, Hermans G, Derese I, Guiza F, Hedstrom Y, Wouters PJ, Bruyninckx F, D’Hoore A, Larsson L, Van den Berghe G, Vanhorebeek I (2012) Muscle atrophy and preferential loss of myosin in prolonged critically ill patients. Crit Care Med 40(1): 79–89. https://doi.org/10.1097/CCM.0b013e31822d7c18
- Shepherd S, Batra A, Lerner DP (2017) Review of Critical Illness Myopathy and Neuropathy. Neurohospitalist 7(1): 41–48. https://doi.org/10.1177/1941874416663279
- Kress JP, Hall JB (2014) ICU-acquired weakness and recovery from critical illness. N Engl J Med 370(17): 1626–1635. https://doi.org/10.1056/NEJMra1209390
- Ramsay DA, Zochodne DW, Robertson DM, Nag S, Ludwin SK (1993) A syndrome of acute severe muscle necrosis in intensive care unit patients. J Neuropathol Exp Neurol 52(4): 387–398. https://doi.org/10.1097/00005072-199307000-00006
- Kalamgi RC, Larsson L (2016) Mechanical Signaling in the Pathophysiology of Critical Illness Myopathy. Front Physiol 7(23). https://doi.org/10.3389/fphys.2016.00023
- Rich MM, Pinter MJ, Kraner SD, Barchi RL (1998) Loss of electrical excitability in an animal model of acute quadriplegic myopathy. Ann Neurol 43(2): 171–179. https://doi.org/10.1002/ana.410430207
- Lyu Q, Wen Y, Zhang X, Addinsall AB, Cacciani N, Larsson L (2021) Multi-omics reveals age-related differences in the diaphragm response to mechanical ventilation: a pilot study. Skelet Muscle 11(1): 11. https://doi.org/10.1186/s13395-021-00267-4
- Hermans G, De Jonghe B, Bruyninckx F, Van den Berghe G (2008) Clinical review: Critical illness polyneuropathy and myopathy. Crit Care 12(6): 238. https://doi.org/10.1186/cc7100
- Kanova M, Kohout P (2022) Molecular Mechanisms Underlying Intensive Care Unit-Acquired Weakness and Sarcopenia. Int J Mol Sci 23(15): 8396. https://doi.org/10.3390/ijms23158396
- Jiroutkova K, Krajcova A, Ziak J, Fric M, Waldauf P, Dzupa V, Gojda J, Nemcova-Furstova V, Kovar J, Elkalaf M, Trnka J, Duska F (2015) Mitochondrial function in skeletal muscle of patients with protracted critical illness and ICU-acquired weakness. Crit Care 19: 448. https://doi.org/10.1186/s13054-015-1160-x
- McClave SA, Wischmeyer PE, Miller KR, van Zanten ARH (2019) Mitochondrial Dysfunction in Critical Illness: Implications for Nutritional Therapy. Curr Nutr Rep 8(4): 363–373. https://doi.org/10.1007/s13668-019-00296-y
- Zink W, Kollmar R, Schwab S (2009) Critical illness polyneuropathy and myopathy in the intensive care unit. Nat Rev Neurol 5(7): 372–379. https://doi.org/10.1038/nrneurol.2009.75
- Friedrich O, Reid MB, Van den Berghe G, Vanhorebeek I, Hermans G, Rich MM, Larsson L (2015) The Sick and the Weak: Neuropathies/Myopathies in the Critically Ill. Physiol Rev 95(3): 1025–1109. https://doi.org/10.1152/physrev.00028.2014
- Puthucheary ZA, Rawal J, McPhail M, Connolly B, Ratnayake G, Chan P, Hopkinson NS, Phadke R, Dew T, Sidhu PS, Velloso C, Seymour J, Agley CC, Selby A, Limb M, Edwards LM, Smith K, Rowlerson A, Rennie MJ, Moxham J, Harridge SD, Hart N, Montgomery HE (2013) Acute skeletal muscle wasting in critical illness. JAMA 310(15): 1591–1600. https://doi.org/10.1001/jama.2013.278481
- Batt J, Herridge MS, Dos Santos CC (2019) From skeletal muscle weakness to functional outcomes following critical illness: a translational biology perspective. Thorax 74(11): 1091–1098. https://doi.org/10.1136/thoraxjnl-2016-208312
- Ochala J, Gustafson AM, Diez ML, Renaud G, Li M, Aare S, Qaisar R, Banduseela VC, Hedstrom Y, Tang X, Dworkin B, Ford GC, Nair KS, Perera S, Gautel M, Larsson L (2011) Preferential skeletal muscle myosin loss in response to mechanical silencing in a novel rat intensive care unit model: underlying mechanisms. J Physiol 589(Pt 8): 2007–2026. https://doi.org/10.1113/jphysiol.2010.202044
- Zhang W, Liu Y, Zhang H (2021) Extracellular matrix: an important regulator of cell functions and skeletal muscle development. Cell and Biosci 11(1): 65. https://doi.org/10.1186/s13578-021-00579-4
- Csapo R, Gumpenberger M, Wessner B (2020) Skeletal Muscle Extracellular Matrix – What Do We Know About Its Composition, Regulation, and Physiological Roles? A Narrative Review. Front Physiol 11: (253). https://doi.org/10.3389/fphys.2020.00253
- Gillies AR, Lieber RL (2011) Structure and function of the skeletal muscle extracellular matrix. Muscle Nerve 44(3): 318–331. https://doi.org/10.1002/mus.22094
- Duance VC, Restall DJ, Beard H, Bourne FJ, Bailey AJ (1977) The location of three collagen types in skeletal muscle. FEBS Lett 79(2): 248–252. https://doi.org/10.1016/0014-5793(77)80797-7
- Martin GR, Timpl R (1987) Laminin and other basement membrane components. Annu Rev Cell Biol 3: 57–85. https://doi.org/10.1146/annurev.cb.03.110187.000421
- Sanes JR (1982) Laminin, fibronectin, and collagen in synaptic and extrasynaptic portions of muscle fiber basement membrane. J Cell Biol 93(2): 442–451. https://doi.org/10.1083/jcb.93.2.442
- Kovanen V (2002) Intramuscular extracellular matrix: complex environment of muscle cells. Exerc Sport Sci Rev 30(1): 20–25. https://doi.org/10.1097/00003677-200201000-00005
- Hurme T, Kalimo H, Sandberg M, Lehto M, Vuorio E (1991) Localization of type I and III collagen and fibronectin production in injured gastrocnemius muscle. Lab Invest 64(1): 76–84.
- Segnani C, Ippolito C, Antonioli L, Pellegrini C, Blandizzi C, Dolfi A, Bernardini N (2015) Histochemical Detection of Collagen Fibers by Sirius Red/Fast Green Is More Sensitive than van Gieson or Sirius Red Alone in Normal and Inflamed Rat Colon. PLoS One 10(12): e0144630. https://doi.org/10.1371/journal.pone.0144630
- Laurent GJ (1987) Dynamic state of collagen: pathways of collagen degradation in vivo and their possible role in regulation of collagen mass. Am J Physiol 252(1 Pt 1): C1–C9. https://doi.org/10.1152/ajpcell.1987.252.1.C1
- Minor RR (1980) Collagen metabolism: a comparison of diseases of collagen and diseases affecting collagen. Am J Pathol 98(1): 225–280.
- Karpakka J, Vaananen K, Orava S, Takala TE (1990) The effects of preimmobilization training and immobilization on collagen synthesis in rat skeletal muscle. Int J Sports Med 11(6): 484–488. https://doi.org/10.1055/s-2007-1024842
- Karpakka J, Virtanen P, Vaananen K, Orava S, Takala TE (1991) Collagen synthesis in rat skeletal muscle during immobilization and remobilization. J Appl Physiol (1985) 70(4): 1775–1780. https://doi.org/10.1152/jappl.1991.70.4.1775
- Savolainen J, Vaananen K, Puranen J, Takala TE, Komulainen J, Vihko V (1988) Collagen synthesis and proteolytic activities in rat skeletal muscles: effect of cast-immobilization in the lengthened and shortened positions. Arch Phys Med Rehabil 69(11): 964–969.
- Haus JM, Carrithers JA, Carroll CC, Tesch PA, Trappe TA (2007) Contractile and connective tissue protein content of human skeletal muscle: effects of 35 and 90 days of simulated microgravity and exercise countermeasures. Am J Physiol Regul Integr Comp Physiol 293(4): R1722–R1727. https://doi.org/10.1152/ajpregu.00292.2007
- Huang Y, Fan Y, Salanova M, Yang X, Sun L, Blottner D (2018) Effects of Plantar Vibration on Bone and Deep Fascia in a Rat Hindlimb Unloading Model of Disuse. Front Physiol 9: 616. https://doi.org/10.3389/fphys.2018.00616
- Tyganov SA, Belova SP, Turtikova OV, Vikhlyantsev IM, Nemirovskaya TL, Shenkman BS (2023) Changes in the Mechanical Properties of Fast and Slow Skeletal Muscle after 7 and 21 Days of Restricted Activity in Rats. Int J Mol Sci 24(4): 4141. https://doi.org/10.3390/ijms24044141
- Tyganov SA, Mochalova EP, Melnikov IY, Vikhlyantsev IM, Ulanova AD, Sharlo KA, Mirzoev TM, Shenkman BS (2021) NOS-dependent effects of plantar mechanical stimulation on mechanical characteristics and cytoskeletal proteins in rat soleus muscle during hindlimb suspension. FASEB J 35(10): e21905. https://doi.org/10.1096/fj.202100783R
- Schoenrock B, Zander V, Dern S, Limper U, Mulder E, Veraksits A, Viir R, Kramer A, Stokes MJ, Salanova M, Peipsi A, Blottner D (2018) Bed Rest, Exercise Countermeasure and Reconditioning Effects on the Human Resting Muscle Tone System. Front Physiol 9: 810. https://doi.org/10.3389/fphys.2018.00810
- Lemoine JK, Haus JM, Trappe SW, Trappe TA (2009) Muscle proteins during 60-day bedrest in women: impact of exercise or nutrition. Muscle Nerve 39(4): 463–471. https://doi.org/10.1002/mus.21189
- Grzelkowska-Kowalczyk K (2016) The Importance of Extracellular Matrix in Skeletal Muscle Development and Function; Composition and Function of the Extracellular Matrix in the Human Body. IntechOpen. https://doi.org/10.5772/62230
- Yin H, Price F, Rudnicki MA (2013) Satellite cells and the muscle stem cell niche. Physiol Rev 93(1): 23–67. https://doi.org/10.1152/physrev.00043.2011
- Hirose T, Nakazato K, Song H, Ishii N (2008) TGF-beta1 and TNF-alpha are involved in the transcription of type I collagen alpha2 gene in soleus muscle atrophied by mechanical unloading. J Appl Physiol (1985) 104(1): 170–177. https://doi.org/10.1152/japplphysiol.00463.2006
- Guilhot C, Fovet T, Delobel P, Dargegen M, Jasmin BJ, Brioche T, Chopard A, Py G (2022) Severe Muscle Deconditioning Triggers Early Extracellular Matrix Remodeling and Resident Stem Cell Differentiation into Adipocytes in Healthy Men. Int J Mol Sci 23(10): 5489. https://doi.org/10.3390/ijms23105489
- Ramazani Y, Knops N, Elmonem MA, Nguyen TQ, Arcolino FO, van den Heuvel L, Levtchenko E, Kuypers D, Goldschmeding R (2018) Connective tissue growth factor (CTGF) from basics to clinics. Matrix Biol 68-69: 44–66. https://doi.org/10.1016/j.matbio.2018.03.007
- Leask A, Parapuram SK, Shi-Wen X, Abraham DJ (2009) Connective tissue growth factor (CTGF, CCN2) gene regulation: a potent clinical bio-marker of fibroproliferative disease? J Cell Commun Signal 3(2): 89–94. https://doi.org/10.1007/s12079-009-0037-7
- Rebolledo DL, Lipson KE, Brandan E (2021) Driving fibrosis in neuromuscular diseases: Role and regulation of Connective tissue growth factor (CCN2/CTGF). Matrix Biol Plus 6: 11: 100059. https://doi.org/10.1016/j.mbplus.2021.100059
- Henderson CA, Gomez CG, Novak SM, Mi-Mi L, Gregorio CC (2017) Overview of the Muscle Cytoskeleton. Compr Physiol 7(3): 891–944. https://doi.org/10.1002/cphy.c160033
- Sun M, Opavsky MA, Stewart DJ, Rabinovitch M, Dawood F, Wen WH, Liu PP (2003) Temporal response and localization of integrins beta1 and beta3 in the heart after myocardial infarction: regulation by cytokines. Circulation 107(7): 1046–1052. https://doi.org/10.1161/01.cir.0000051363.86009.3c
- Docheva D, Popov C, Alberton P, Aszodi A (2014) Integrin signaling in skeletal development and function. Birth Defects Res C Embryo Today 102(1): 13–36. https://doi.org/10.1002/bdrc.21059
- Zhang H, Liu Y, Li C, Zhang W (2022) ITGbeta6 Facilitates Skeletal Muscle Development by Maintaining the Properties and Cytoskeleton Stability of Satellite Cells. Life (Basel) 12(7): 926. https://doi.org/10.3390/life12070926
- McClure MJ, Ramey AN, Rashid M, Boyan BD, Schwartz Z (2019) Integrin-alpha7 signaling regulates connexin 43, M-cadherin, and myoblast fusion. Am J Physiol Cell Physiol 316(6): C876–C887. https://doi.org/10.1152/ajpcell.00282.2018
- Bayer ML, Svensson RB, Schjerling P, Williams AS, Wasserman DH, Kjaer M (2020) Influence of the integrin alpha-1 subunit and its relationship with high-fat diet upon extracellular matrix synthesis in skeletal muscle and tendon. Cell and Tissue Res 381(1): 177–187. https://doi.org/10.1007/s00441-020-03184-y
- Savolainen J, Myllyla V, Myllyla R, Vihko V, Vaananen K, Takala TE (1988) Effects of denervation and immobilization on collagen synthesis in rat skeletal muscle and tendon. Am J Physiol 254(6 Pt 2): R897–R902. https://doi.org/10.1152/ajpregu.1988.254.6.R897
- Edom-Vovard F, Schuler B, Bonnin MA, Teillet MA, Duprez D (2002) Fgf4 positively regulates scleraxis and tenascin expression in chick limb tendons. Dev Biol 247(2): 351–366. https://doi.org/10.1006/dbio.2002.0707
- Kjaer M (2004) Role of extracellular matrix in adaptation of tendon and skeletal muscle to mechanical loading. Physiol Rev 84(2): 649–698. https://doi.org/10.1152/physrev.00031.2003
- Tyganov SA, Zaripova KA, Turtikova OV, Skiteva EN, Belova SP, Zabrodskaya YM, Kond- ratiev SA, Kondratieva EA, Kondratiev AN, Shenkman BS (2023) Desmin degradation in the skeletal muscle of patients with chronic critical illness. J Evol Biochem Physiol.
- Kragstrup TW, Kjaer M, Mackey AL (2011) Structural, biochemical, cellular, and functional changes in skeletal muscle extracellular matrix with aging. Scand J Med Sci in Sports 21(6): 749–757. https://doi.org/10.1111/j.1600-0838.2011.01377.x
- Csapo R, Malis V, Sinha U, Du J, Sinha S (2014) Age-associated differences in triceps surae muscle composition and strength – an MRI-based cross-sectional comparison of contractile, adipose and connective tissue. BMC Musculoskelet Disord 15: 209. https://doi.org/10.1186/1471-2474-15-209
- Haus JM, Carrithers JA, Trappe SW, Trappe TA (2007) Collagen, cross-linking, and advanced glycation end products in aging human skeletal muscle. J Appl Physiol (1985) 103(6): 2068–2076. https://doi.org/10.1152/japplphysiol.00670.2007
- Gumpenberger M, Wessner B, Graf A, Narici MV, Fink C, Braun S, Hoser C, Blazevich AJ, Csapo R (2020) Remodeling the Skeletal Muscle Extracellular Matrix in Older Age-Effects of Acute Exercise Stimuli on Gene Expression. Int J Mol Sci 21(19): 7089. https://doi.org/10.3390/ijms21197089
- Wood LK, Kayupov E, Gumucio JP, Mendias CL, Claflin DR, Brooks SV (2014) Intrinsic stiffness of extracellular matrix increases with age in skeletal muscles of mice. J Appl Physiol (1985) 117(4): 363–369. https://doi.org/10.1152/japplphysiol.00256.2014
- Silver FH, DeVore D, Siperko LM (2003) Invited Review: Role of mechanophysiology in aging of ECM: effects of changes in mechanochemical transduction. J Appl Physiol (1985) 95(5): 2134–2141. https://doi.org/10.1152/japplphysiol.00429.2003
Supplementary files






