Effect of forced swimming on the performance of the "water escape test"
- 作者: Tur M.A.1, Belozertseva I.V.1
-
隶属关系:
- First St. Petersburg Pavlov State Medical University
- 期: 卷 110, 编号 9 (2024)
- 页面: 1349-1361
- 栏目: EXPERIMENTAL ARTICLES
- URL: https://medbiosci.ru/0869-8139/article/view/272671
- DOI: https://doi.org/10.31857/S0869813924080058
- EDN: https://elibrary.ru/BCJVSZ
- ID: 272671
如何引用文章
全文:
详细
Housing conditions and prior life experiences can influence, to varying degrees, animal behavior, brain regions that regulate important neural and physiological functions such as memory, stress responses, and emotional behavior. Stressors of low to moderate intensity, occurring in enriched environments and training, promote the development and maintenance of cognitive functions, whereas exposures of excessive severity and/or duration lead to maladaptation and distress, with negative effects on animal nervous system functioning in general and cognitive functions in particular. Based on these facts, external physical effects of “excessive intensity” can be used for the formation and study of various cognitive disorders. Accordingly, it was hypothesized that a similar but unavoidable exposure to the aversive conditions of the aquatic environment of the “forced swim” would affect the cognitive ability of animals in the “water escape” test. For the first time the effect of forced swimming stress (15 min) on the ability to solve the task of the “water escape” test and the development of the diving skill was evaluated. It was shown that the experience of forced swimming on the eve of the test has a “dramatic” effect on the ability to solve the task of diving, and the negative effects persist even after 2 weeks.
The use of the forced swim procedure before performing the “water escape” test looks like a promising way to model stress-induced cognitive dysfunctions. The persistence of the effect of forced swimming on the “water escape” test task completion (at least 14 days) opens the prospect for evaluating the effects of subchronic administration of pharmacological agents with antidepressant and procognitive properties.
全文:
ВВЕДЕНИЕ
Когнитивные способности и их адаптивные реакции в ответ на тот или иной стимул являют собой результат тесного взаимодействия внешних и внутренних факторов. По Крушинскому под когнитивными способностями принято понимать способность животных улавливать закономерности явлений внешнего мира, связывающих предметы и события окружающей среды, и на основании этого выстраивать свое дальнейшее поведение [1]. На такие важные составляющие умственной деятельности у животных, как обучение и запоминание, а также на эмоциональное и психическое состояние и благополучие влияет множество экзогенных и эндогенных факторов. Так, обогащение окружающей среды (предоставление «игрушек» – объектов для исследования, возможности социального взаимодействия и добровольной физической активности) и наличие тренировок (выполнение новых задач и обучение) благотворно влияют на общее состояние животных и их когнитивные способности [2–4], вызывая каскад нейрохимических событий, приводящих к пластическим изменениям в головном мозге на анатомическом, биохимическом, электрофизиологическом и молекулярном уровнях [5]. На анатомическом и молекулярном уровнях при этом можно наблюдать такие характерные структурные и функциональные изменения, как общее увеличение массы мозга [6–8], увеличение глубины коры больших полушарий (особенно затылочной части) и количества глиальных клеток [9], увеличение размеров тел и ядер нейрональных клеток [10], размера синаптических контактных областей [11], увеличение числа дендритных шипиков на единицу длины базальных дендритов [12], увеличение на 25% и более протяженности и ветвления дендритов [12, 13] и увеличение количества синапсов на нейрон [14]. Эти эффекты предполагают существенное увеличение обрабатывающей способности соответствующих областей коры больших полушарий [15]. Соответственно обедненная окружающая среда и низкий уровень внешних стимулов действуют противоположно на анатомию и биохимию мозга, поведенческие установки и когнитивные возможности индивидуумов [3, 6, 7, 9, 15–17]. Стресс же, в зависимости от его силы, продолжительности и контекста, способен оказывать различное влияние на когнитивные функции и формирование памяти. Краткосрочные эпизоды умеренной интенсивности способны вызывать острое симпатическое возбуждение, усиливающее утилизацию глюкозы в мозге и стимулирующее формирование памяти [18], в то время как слишком сильные по степени воздействия либо чрезмерно продолжительные (хронически повторяющиеся) стимулы (стрессоры) могут привести к дезадаптации организма и дистрессу за счет высокого уровня циркулирующих в крови глюкокортикоидов, которые оказывают воздействие на структуру и функции префронтальной коры, миндалевидного тела [17] и гиппокампа [18] – то есть зоны, формирующие и модифицирующие процесс обучения и запоминания. «Стрессовый» уровень кортизола (у людей) или кортикостерона (у крыс) снижает возбудимость гиппокампа, ингибирует поглощение им глюкозы, вызывает ретракцию дендритов в области CA3 (эффект, связанный с ухудшением эффективности процедуры пространственного обучения), что приводит к снижению эффективности работы данной структуры, изменяет плотность шипиков на апикальных дендритах в области CA1 гиппокампа в зависимости от пола. Слишком сильное и продолжительное воздействие глюкокортикоидов на гиппокамп может иметь нейротоксические эффекты, в том числе необратимые [17, 18]. Также хронический стресс вызывает ретракцию и уменьшение объема префронтальной коры, нарушение синаптической пластичности в соединении гиппокамп – префронтальная кора [19], изменяет лобно-стриарные цепи, которые связаны со стратегиями принятия решений [20]. Эти изменения сопровождаются дефицитом рабочей памяти, поведенческой гибкости и смещением установки внимания [19]. Однако стоит отметить и стимулирующее влияние острого стресса на некоторые аспекты памяти, а именно усиление контекстуального обусловливания страха: улучшение способности животного запоминать контекст, связанный со стрессовым стимулом, и стимулировать его научение в дальнейшем (также за счет вовлечения в процесс гиппокампа, миндалевидного тела и префронтальной коры) [17].
У людей наличие в анамнезе воздействия очень длительных, часто повторяющихся и/или слишком сильных стрессоров является провоцирующим фактором развития различных ментальных нарушений, таких как биполярное аффективное расстройство [24], посттравматическое стрессовое расстройство и депрессия [25], когнитивные дефициты пожилых [18]. У лабораторных животных воздействие как хронических, так и острых стрессоров также имеет тенденцию ухудшать воспроизведение пространственных воспоминаний [21, 22].
Известным примером негативного воздействия стрессогенного фактора окружающей среды на организм, приводящим к развитию депрессивноподобного состояния у лабораторных животных, является так называемая модель «поведенческого отчаяния» – Behavioural despair test или forced swimming/swim test в модификации по Porsolt [27]. Это широко распространенный водный тест, разработанный еще в 1977 г., в основе которого лежит реакция грызуна на угрозу утопления. При стандартной схеме проведения он включает в себя 2 сессии: с экспозицией 15 мин в первый день и одну 5-минутную во второй день. Как правило, на вторую сессию активность животных сильно снижается: они делают меньше попыток выбраться из цилиндра или исследовать его, проводят большую часть времени в пассивном дрейфовании. Классической интерпретацией такого поведения является развитие депрессивноподобного состояния, что имеет свое фармакологическое подтверждение: крысы, получавшие антидепрессанты накануне теста, плавают активнее, чем контрольные животные, совершают больше попыток выбраться и активнее исследуют окружающую обстановку [28]. Другой распространенной интерпретацией снижения активности на вторую сессию является формирование стратегии положительной поведенческой адаптации, позволяющей меньше утомляться и сохранить больше энергии и тепла: животное привыкает к воспроизводимым идентичным условиям теста и просто дожидается его окончания [29]. На сегодняшний день вопрос, является ли пассивная стратегия поведения крыс в тесте «Форсированное плавание» проявлением депрессивноподобного состояния, остается дискуссионным.
Другой, не столь известный, но также стрессогенный водный тест – тест «избавление подныриванием» (water escape test). Изначально его описал Henderson еще в 1970 г. [30] как один из методов оценки реакций страха и эмоционального статуса животных. В отличие от появившегося спустя 7 лет теста Порсолта, тест Хендерсона не получил широкого распространения, однако по прошествии времени этот метод в модификации Бондаренко [31] был признан отечественной экспериментальной фармакологией и внесен в «Руководство по проведению доклинических исследований лекарственных средств» как тест «Экстраполяционное избавление» для выявления соединений с нейролептической активностью [32] и изучения влияния фармакологического (антигипертензивного) средства на психоэмоциональное состояние и когнитивную функцию [33]. В нашей работе мы будем использовать в качестве названия теста «избавление подныриванием», поскольку придерживаемся мнения, что название не должно содержать элементы интерпретации результатов, а лишь кратко описывать объективно совершаемое действие.
Цель исследования – оценить значимость предшествующего негативного опыта неизбегаемого плавания на решение задачи теста «избавление подныриванием». Для достижения цели были поставлены следующие задачи: 1) сравнить поведение интактных крыс в тесте «избавление подныриванием» с поведением крыс, имеющих опыт форсированного плавания; 2) определить максимальную длительность интервала между тестами, при которой сохраняется значимое влияние форсированного плавания на выполнение задачи теста «избавление подныриванием».
МЕТОДЫ ИССЛЕДОВАНИЯ
Эксперименты выполнены на половозрелых (3–4 месяца) самцах крыс стока Wistar массой 345 ± 5 г (n = 50) из локальной колонии отдела психофармакологии Института фармакологии им. А. В. Вальдмана, берущей свое начало от животных питомника «Рапполово» (Санкт-Петербург, Россия). Крыс содержали группами по 3–5 особей в прозрачных полисульфоновых клетках TIV (Tecniplast, Италия) со свободным доступом к полнорационному комбикорму (OOO «Лабораторкорм», Россия) и фильтрованной («Аквафор», Россия) водопроводной воде. В помещении для содержания животных поддерживали световой цикл (12 ч свет/12 ч темнота, включение света в 9:00 ч), температуру (20–24 °C) и относительную влажность воздуха (50 ± 20%). В качестве подстилочного материала использовали гранулы фракции 4–6 мм, изготовленные из стержневой части початков кукурузы (ООО «ЗКК « Золотой початок», Россия). Основания клеток, подстилочный материал и бутылочки с водой меняли 2 раза в неделю.
Для оценки влияния опыта форсированного плавания на выполнение теста «избавление подныриванием» использовали 6 независимых групп крыс (табл. 1).
Таблица 1. Экспериментальные группы
Название группы | Обозначение | Интервал между процедурой и тестом (дни) | Количество животных (n) |
Контрольная группа | GС | – | 12 |
Группа 1 | G1 | 1 | 7 |
Группа 3 | G3 | 3 | 8 |
Группа 5 | G5 | 5 | 8 |
Группа 7 | G7 | 7 | 7 |
Группа 14 | G14 | 14 | 8 |
Процедуру «Форсированное плавание» выполняли в течение 15 мин для получения крысами опыта неизбегаемого плавания. Использовали четыре цилиндра, изготовленных из органического стекла (d = 20 см; h = 45 см), заполненных водой (24.0 ± 0.5 °C) до глубины 30 см (рис. 1а) и отделенных друг от друга непрозрачными перегородками. После процедуры крыс аккуратно вынимали из цилиндра, вытирали индивидуальным полотенцем во избежание пагубного влияния гипотермии на состояние животных [40] и помещали в клетку с чистым подстилом и бумажными салфетками. После каждого животного для устранения ольфакторных «сигналов тревоги» [34] мыли цилиндры и заполняли их свежей водой.
Рис. 1. Схемы экспериментальных установок для выполнения процедуры «форсированное плавание» (a) и теста «избавление подныриванием» (b).
Тест «Избавление подныриванием» при повторных выполнениях позволяет проанализировать индивидуальные различия стиля решения задачи, скорость научения и оценить сохранность навыка у крыс. В работе использовали собственную модификацию экспериментальной установки, которая в отличие от коммерческого варианта (ООО «НПК Открытая наука»), существовавшего на момент выполнения исследования, была дополнена вертикальной лестницей, позволяющей крысе самостоятельно выбраться из «большого» бассейна на прозрачную крышку (табл. 2, рис. 1b), исключая таким образом не учитываемый в эксперименте стресс от захвата животного в воде рукой экспериментатора.
Таблица 2. Параметры установки для выполнения теста «Избавление подныриванием», созданной в отделе психофармакологии Института фармакологии им. А. В. Вальдмана
Емкость резервуара для воды | H = 38.5 см; ∅ = 35 см |
Заполнение водой | H = 20 см; Т = 24.0 ± 0.5 °C |
Размер центрального цилиндра и глубина его погружения | Н = 22.5 см; ∅ = 10 см; 2.5 см |
Приспособление для выхода | Металлическая лестница – 11.5 см х 38.5 см |
Место выхода | Отверстие в прозрачной крышке основного резервуара – ∅ = 7 см |
Крысу помещали в центральную трубку установки ногами вниз, и ее поведение записывали на видеокамеру в течение 3 мин или до появления животного на крышке установки. Поведение оценивали в 3 последовательных (с интервалом в 15 мин) экспериментальных сессиях, подсчитывая после каждой сессии количество оставленных животным фекальных болюсов. Замену воды производили после каждой крысы во избежание воздействия ольфакторных сигналов тревоги, оставленных сородичами [34]. Далее по видеозаписям проводили регистрацию поведения с помощью программы Ethograph (версия 2.07, РИТЕК, Санкт-Петербург, Россия) и в качестве основного показателя вычисляли латентные периоды (ЛП) подныривания под стенку центрального цилиндра.
Графическое представление данных и их статистический анализ выполнены с использованием пакета программ SigmaPlot (версия 12.5, Systat Software Inc., США). Для сравнения ЛП наступления оцениваемой реакции (подныривания) использовали анализ выживаемости Каплана – Майера, позволяющий принимать во внимание цензурированные данные [35], то есть учитывать показатели животных, поведенческая реакция которых не происходила до окончания теста. Данные по количеству фекальных болюсов, оставленных животными в экспериментальной установке, проверяли на нормальность распределения (тест Шапиро – Уилка) и равенство дисперсий. Далее их ранжировали и выполняли однофакторный дисперсионный анализ (ANOVA). Различия считали значимыми при p < 0.05.
РЕЗУЛЬТАТЫ ИССЛЕДОВАНИЯ
Решение задачи теста «Избавление подныриванием»
Анализ выживаемости Каплана – Майера показал, что при первой посадке в установку (решение задачи избавления от аверсивных условий) распределение ЛП подныривания у интактных животных (GC) значимо отличалось от такового во всех группах (Log-Rank test – 47.93; df = 5; p < 0.001). Все контрольные животные успешно решили задачу теста в течение первой минуты, тогда как 90% крыс, получивших накануне процедуру форсированного плавания (G1), так и не смогли ее решить до окончания теста. Скорость решения в остальных экспериментальных группах была несколько выше, чем в G1, однако сохранялись значимые отличия от аналогичного показателя контрольной группы (рис. 2а). Выполненный на рангах однофакторный дисперсионный анализ (ANOVA) выявил значимое влияние фактора «группа животных» на количество оставленных в экспериментальной установке фекальных болюсов (F(5,44) = 2.53; p = 0.042), однако межгрупповые различия не достигали уровня значимости (рис. 2b). Количество болюсов обычно считают показателем эмоционального состояния животных (тревожности), однако в случае, когда время пребывания животных в установке различается, такое утверждение не представляется абсолютно корректным.
Рис. 2. Скорость решения задачи теста «избавление подныриванием» через разные временные интервалы после стрессирования форсированным плаванием (а) и количество оставленных животными фекальных болюсов (b).
(a) распределение длительности латентных периодов подныривания представлено в виде кривых Каплана – Майера. Максимальная длительность теста – 3 мин. * p < 0.05 значимые отличия от контрольной группы по тесту Holm – Sidak.
(b) данные представлены в виде диаграмм размаха: нижняя и верхняя границы «ящиков» соответствуют 25-му и 75-му процентилю, пересекающие их линии отражают медиану (сплошная линия) и среднее значение (пунктирная линия), а «усы» – 10-й и 90-й процентили. Результаты измерений, выделяющиеся из общей выборки (выбросы), изображены в виде точек за пределами «усов» диаграммы.
Экспериментальные группы: GC – контроль (интактные) и имеющие предшествующий тесту «избавление подныриванием» опыт форсированного плавания за 1 сутки – G1; 3 суток – G3; 5 суток – G5; 7 суток – G7; 14 суток – G14. n = 7–12.
Формирование навыка подныривания
Формирование навыка подныривания оценивали по результатам 2-й и 3-й экспериментальных сессий. У интактных крыс (GC) изменение длительности ЛП подныривания от сессии к сессии не достигло уровня значимости (Log-Rank test – 5.19; df = 2; p = 0.075; рис. 3а). Однако в данной группе более половины животных (7 из 12) изначально имели ЛП менее 15 с, при этом во вторую посадку 2 крысы из данной группы так и не поднырнули под стенку центрального цилиндра.
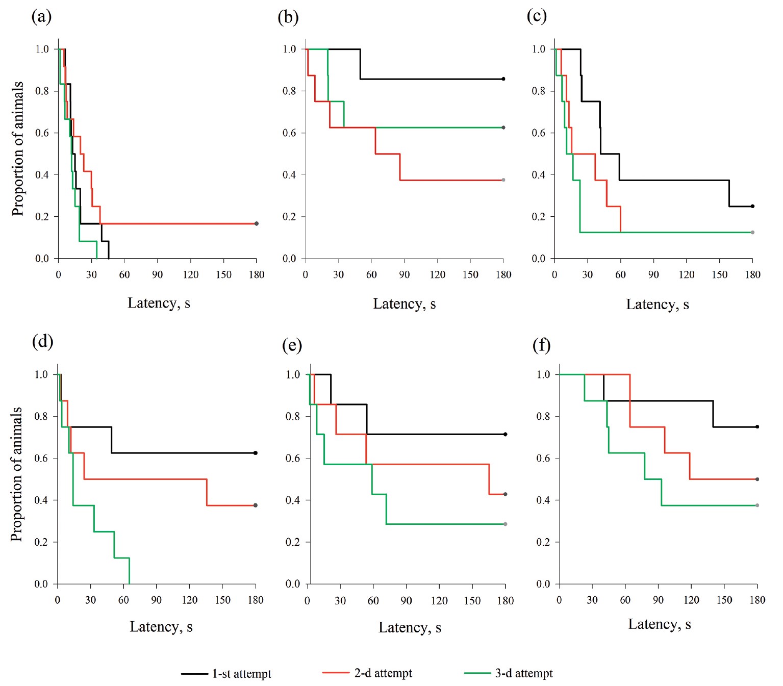
Рис. 3. Формирование навыка подныривания у интактных крыс (a) и имеющих опыт форсированного плавания: за 1 (b), 3 (c), 5 (d), 7 (e) и 14 (f) суток до выполнения теста. Распределение длительности латентных периодов подныривания представлено в виде кривых Каплана – Майера. Максимальная длительность теста – 3 мин. n = 7–12.
Крысы, имеющие опыт 15-минутного форсированного плавания за 1–14 суток до теста «избавление подныриванием», имели значимо более длительный базовый (1 посадка) ЛП подныривания, чем контрольные животные, относительно которого сокращение показателя могло быть более выраженным. Однако значимость фактора «посадка» была выявлена лишь в G5 (рис. 3d; Log-Rank test – 6.08; df = 2; p < 0.05), при этом статистически значимых различий между посадками обнаружено не было. В остальных группах (рис. 3b – c, f) анализ выживаемости Каплана – Майера не показал различий ЛП подныривания при оценке формирования навыка (Log-Rank test для G1 – 3.487; df = 2; p = 0.18; для G3 – 4.24; df = 2; p = 0.12; для G7 – 2.61; df = 2; p = 0.27; для G14 – 2.83; df = 2; p = 0.24).
При сравнении ЛП подныривания при 3-й посадке животных в установку было выявлено влияние фактора «группа» (Log-Rank test – 21.20; df = 5; p < 0.001), однако от показателей контроля значимо отличалась только G14.
ОБСУЖДЕНИЕ РЕЗУЛЬТАТОВ
Согласно данным литературы, получаемый от стандартной процедуры «форсированного плавания» стресс не меняет поведение животных кардинальным образом: он недостаточно жесткий, чтобы повлиять на предпочтение крысами раствора сахарина («экспериментальный» критерий ангедонии – одного из основных клинических симптомов депрессии), не изменяет поведение гнездостроения и не влияет на подвижность в тесте «Открытое поле» [39]. Научная ассоциация лабораторных животных (Research UA), Физиологическое общество, Британская ассоциация психофармакологии (Psychopharmacology BAf) и ассоциация специалистов по лабораторным животным (LASA) классифицирует степень тяжести данного теста как «умеренную» [40]. Основным наблюдаемым негативным эффектом у животных является гипотермия, степень выраженности которой зависит от температуры воды [40]. Между тем известно, что через 20 мин после форсированного плавания (в зависимости от условий – температуры воды, глубины заполнения, уровня освещенности, фазы светового цикла [41, 42]) в сыворотке крови крыс значительно (до 437% от базального показателя [42]) повышается уровень кортикостерона – основного гормона стресса, который в высоких концентрациях может негативно влиять на формирование долговременной памяти [18].
Результаты выполненного исследования свидетельствуют о том, что стрессирующее воздействие форсированного плавания (15 мин) негативно сказывается на решении задачи теста «избавление подныриванием» и в меньшей степени на формировании у крыс навыка подныривания. Наличие аверсивного опыта принудительного плавания не только уменьшает склонность животных к проактивному стилю преодоления трудностей [36], отражающегося увеличением иммобильности во второй и последующих посадках в аналогичных условиях [37], но и снижает когнитивную гибкость животных, зависящую от функционирования префронтальной коры мозга. У крыс уменьшается способность выстраивать эффективную стратегию поведения в конкретной ситуации (экстраполировать). При этом значимое влияние опыта форсированного плавания на способность крыс решать задачу теста «избавления подныриванием» сохраняется как минимум в течение 2 недель.
При оценке обучения у крыс опытных групп G1 – G14 не было обнаружено значимых изменений ЛП подныривания от посадки к посадке за исключением группы G5. Формирование навыка, оцениваемого по сокращению ЛП подныривания, у животных контрольной группы также не было выявлено, что скорее всего связано с весьма коротким ЛП уже при первой посадке. Зафиксировать обучение животных, изначально решающих задачу теста практически на пределе физических возможностей, весьма проблематично. Отсутствие изменений скорости решения задачи в экспериментальных группах (кроме группы G5) с очень длительным базовым ЛП подныривания, на наш взгляд, свидетельствует о замедлении обучения животных, ранее прошедших процедуру форсированного плавания. Стоит также отметить, что все интактные крысы выполняли задачу теста при первой посадке, однако далее обучение навыку у 6 животных в группе GC пошло через «ухудшение», при этом 2 крысы так и не поднырнули в течение отведенных 3 мин. Такой стиль обучения описан для лабораторных грызунов [38]. Можно предположить, что животное, попадая в уже знакомую обстановку, испытает меньше страха, и у него появляется исследовательская активность, которая при третьей посадке уже угасает. Паттерн формирования навыка подныривания через «ухудшение» (с увеличением длительности ЛП подныривания во 2-ю посадку) упоминается также у Бондаренко, которая считает, что увеличение ЛП во вторую посадку происходит из-за формирования неспецифической сенситизации к аверсивным факторам среды: увеличение уровня возбуждения при повторной посадке (по закону Йеркса – Додсона) негативно отражается на способности животного к решению поставленной задачи теста [38]. У животных из групп G1 – G14 не было обнаружено обучения через «ухудшение», что, возможно, связано с наличием у них опыта неизбегаемого пребывания в аналогичных аверсивных условиях водной среды.
Негативное влияние на решение поставленной задачи, скорее всего, дополнительно усиливается схожими контекстуальными условиями (водной средой, температурой воды и ограниченностью пространства), в результате чего повышается уровень эмоциональных переживаний, который отрицательно воздействует на решение задачи. Индексом эмоциональности традиционно считается количество оставленных животными при выполнении тестов фекальных болюсов. Выявленная значимость эффекта на данный показатель длительности интервала между форсированным плаванием и тестом «избавление подныриванием» может свидетельствовать о более высоком уровне тревожности у стрессированных самцов крыс, однако нельзя исключать факт влияния более длительного пребывания в водном резервуаре животных, не способных решить задачу теста.
Мы полагаем, что снижение способности к решению задачи теста «избавление подныриванием» при сочетании его с процедурой «форсированного плавания» может являться маркером когнитивных нарушений и послужить основой для разработки новых моделей стресс-индуцированных когнитивных дисфункций. Стойкость эффекта воздействия (не менее 14 дней) открывает перспективу для субхронического введения фармакологических средств с антидепрессивными и прокогнитивными свойствами. Стоит отметить, что в случае оценки эффектов соединений, влияющих на формирование памяти, могут быть получены ложнопозитивные результаты точно так же, как и при использовании 2-дневной парадигмы теста «форсированное плавание». С учетом технических характеристик обоих методов (относительная быстрота и простота исполнения) данное сочетание может стать экспресс-методом для продуктивного скрининга лекарственных средств.
ВКЛАДЫ АВТОРОВ
Т. М. А. – выполнение экспериментов, сбор и обработка данных, обсуждение результатов и написание статьи; Б. И. В. – идея исследования, конструирование экспериментальной установки, планирование эксперимента, обработка данных, обсуждение результатов и редактирование статьи.
ФИНАНСИРОВАНИЕ РАБОТЫ
Данная работа финансировалась за счет средств федерального бюджета на проведение Госзадания (2018–2020 гг.) по теме: «Разработка и фармакологическая валидация экспериментальных моделей нейроповеденческих расстройств» (рег. № АААА-ЖА18–118070690064–0). Никаких дополнительных грантов на проведение или руководство данным конкретным исследованием получено не было.
СОБЛЮДЕНИЕ ЭТИЧЕСКИХ СТАНДАРТОВ
Эксперименты с животными проводились в соответствии с международными рекомендациями по проведению биомедицинских исследований с лабораторными животными и были одобрены Комиссией по содержанию и использованию лабораторных животных Первого Санкт-Петербургского государственного медицинского университета им. акад. И. П. Павлова, протокол № 100_ИФ1_1218/21_300.
КОНФЛИКТ ИНТЕРЕСОВ
Авторы данной работы заявляют, что у них нет конфликта интересов.
作者简介
M. Tur
First St. Petersburg Pavlov State Medical University
编辑信件的主要联系方式.
Email: striga996@gmail.ru
俄罗斯联邦, St. Petersburg
I. Belozertseva
First St. Petersburg Pavlov State Medical University
Email: striga996@gmail.ru
俄罗斯联邦, St. Petersburg
参考
- Перепелкина ОВ, Лильп ИГ, Маркина НВ, Голибродо ВА, Полетаева ИИ (2021) Первый опыт селекции лабораторных мышей на высокую способность к экстраполяции. В кн: Формирование поведения животных в норме и патологии: К 100-летию со дня рождения ЛВ Крушинского (1911–1984). М. Языки славянских культур. 263–296. [Perepelkina OV, Lil’p IG, Markina NV, Golibrodo VA, Poletaeva II (2021) The first experience of selection of laboratory mice for a high ability to extrapolate. In: Formation of Animal Behavior in Health and Disease: to the 100th Anniversary of the Birth of LV Krushinsky (1911–1984). Moscow. Yazyki Slavyanskikh Kul’tur. 263–296. (In Russ)]. https://doi.org/10.1134/s1607672921040116
- Gelfo F (2019) Does Experience Enhance Cognitive Flexibility? An Overview of the Evidence Provided by the Environmental Enrichment Studies. Front Behav Neurosci 13:150. https://doi.org/10.3389/fnbeh.2019.00150
- Rosenzweig MR, Bennett EL (1996) Psychobiology of plasticity: effects of training and experience on brain and behavior. Behav Brain Res 78(1):57–65. https://doi.org/10.1016/0166-4328(95)00216-2
- Krech D, Rosenzweig MR, Bennett EL (1962) Relations between brain chemistry and problem-solving among rats raised in enriched and impoverished environments'. J Compar Physiol Psychol 55(5):801–807. https://doi.org/10.1037/h0044220
- Hirase H, Shinohara Y (2014) Transformation of cortical and hippocampal neural circuits by environmental enrichment. Neuroscience 280:282–298. https://doi.org/10.1016/j.neuroscience.2014.09.031
- Rosenzweig MR (1966) Environmental complexity, cerebral change and behavior. Am Psychol 21(4):321–332. https://doi.org/10.1037/h0023555
- Bennett EL, Rosenzweig MR, Diamond MC (1969) Rat brain: effects of environmental enrichment on wet dry weights. Science 163(3869):825–826. https://doi.org/10.1126/science.163.3869.825
- Ferchmin PA, Eterovic VA, Caputto R (1970) Studies on brain weight and RNA content after short periods of exposure to environmental complexity. Brain Res 20(1):49–57. https://doi.org/10.1016/0006-8993(70)90153-8
- Diamond MC, Krech D, Rosenzweig MR (1964) The effects of an enriched environment on the histology of the rat cerebral cortex. J Compar Neurol 123(1):111–119. https://doi.org/10.1002/cne.901230110
- Diamond MC (1967) Extensive cortical depth measurements and neuron size increases in the cortex of environmentally enriched rats. J Compar Neurol 131(3):357–364. https://doi.org/10.1002/cne.901310305
- West RW, Greenough WT (1972) Effects of environmental complexity on cortical synapses of rats: Preliminary results. Behav Biol 7(2):279–284. https://doi.org/10.1016/S0091-6773(72)80207-4
- Globus A, Rosenzweig MR, Bennett EL, Diamond MC (1973) Effects of differential experience on dendritic spine counts in rat cerebral cortex. J Compar Physiol Psychol 82(2):175–181. https://doi.org/10.1037/h0033910
- Greenough WT, Volkmar FR (1973) Pattern of dendritic branching in occipital cortex of rats reared in complex environments. Exp Neurol 40(2):451–504. https://doi.org/10.1016/0014-4886(73)90090-3
- Turner AM, Greenough WT (1985) Differential rearing effects on rat visual cortex synapses. I. Synaptic and neuronal density and synapses per neuron. Brain Res 329(1–2):195–203. https://doi.org/10.1016/0006-8993(85)90525-6
- Rosenzweig MR, Love W, Bennett EL (1968) Effects of a few hours a day of enriched experience on brain chemistry and brain weights. Physiol Behav 3(6):819–825. https://doi.org/10.1016/0031-9384(68)90161-3
- Denenberg VH, Morton JR, Haltmeyer GC (1964) Effect of social grouping upon emotional behaviour. Animal Behav 12(2–3):205–208. https://doi.org/10.1016/0003-3472(64)90001-6
- Bangasser DA, Shors TJ (2010) Critical brain circuits at the intersection between stress and learning. Neurosci Biobehav Rev 34(8):1223–1233 https://doi.org/10.1016/j.neubiorev.2010.02.002
- McEwen BS, Sapolsky RM (1995) Stress and cognitive function. Current Opin Neurobiol 5(2):205–216 https://doi.org/10.1016/0959-4388(95)80028-X
- Cerqueira JJ, Mailliet F, Almeida OFX, Jay TM, Sousa N (2007) The prefrontal cortex as a key target of the maladaptive response to stress. J Neurosci 27(11):2781–2787. https://doi.org/10.1523/JNEUROSCI.4372-06.2007
- Dias-Ferreira E, Sousa JC, Melo I, Morgado P, Mesquita AR, Cerqueira JJ, Costa RM, Sousa N (2009) Chronic stress causes frontostriatal reorganization and affects decision-making. Science 325(5940):621–625. https://www.science.org/doi/10.1126/science.1171203
- Conrad CD, Galea LA, Kuroda Y, McEwen BC (1996) Chronic stress impairs rat spatial memory on the Y maze, and this effect is blocked by tianeptine pretreatment. Behav Neurosci 110(6):1321–1334. https://doi.org/10.1037/0735-7044.110.6.1321
- Diamond DM, Park CR, Heman KL, Rose GM (1999) Exposing rats to a predator impairs spatial working memory in the radial arm water maze. Hippocampus 9:542–552. https://doi.org/10.1002/(SICI)1098-1063(1999)9:5<542:: AID-HIPO8>3.0.CO;2-N
- Ferchmin PA, Eterovic VA (1970) Caputto R. Studies on brain weight and RNA content after short periods of exposure to environmental complexity. Brain Res 20(1):49–57. https://doi.org/10.1016/0006-8993(70)90153-8
- Czéh B, Lucassen PJ (2007) What causes the hippocampal volume decrease in depression? Are neurogenesis, glial changes and apoptosis implicated? Eur Arch Psychiatr Clin Neurosci 257:250–260. https://doi.org/10.1007/s00406-007-0728-0
- De Kloet ER, Joëls M, Holsboer F (2005) Stress and the brain: From adaptation to disease. Nature Reviews. Neuroscience 6:463–475. https://doi.org/10.1038/nrn1683
- Pariante CM, Lightman SL (2008) The HPA axis in major depression: classical theories and new developments. Trends Neurosci 31(9):464–468. https://doi.org/10.1016/j.tins.2008.06.006
- Porsolt RD, Pichon M, Jalfre M (1977) Depression: a new animal model sensitive to antidepressant treatments. Nature 266:730–732. https://doi.org/10.1038/266730a0
- Detke MJ, Rickels M, Lucki I (1995) Active behaviors in the rat forced swimming test differentially produced by serotonergic and noradrenergic antidepressants. Psychopharmacology (Berl) 121(1):66–72. https://doi.org/10.1007/BF02245592
- Borsini F, Meli A (1988) Is the forced swimming test a suitable model for revealing antidepressant activity? Psychopharmacology (Berl) 94(2):147–160. https://doi.org/10.1007/BF00176837
- Henderson N (1970) Behavioral reactions of wistar rats to conditioned fear stimuli, novelty, and noxious stimulation. J Psychol: Interdisciplin and Applied 75:19–34. https://doi.org/10.1080/00223980.1970.9916801
- Бондаренко НА (1980) Зависимость реализации поведения избавления из острой стрессогенной ситуации от типологической принадлежности животных. Депонир ВИНИТИ 2038. [Bondarenko NA (1980) Relationship between escape behavior from acute stress and animal typological traits. Deponir VINITI 2038. (In Russ)].
- Островская РУ, Раевский КС, Воронина ТА, Гарибова ТЛ, Ковалев ГИ, Кудрин ВС, Наркевич ВБ, Клодт ПМ (2012) Методические рекомендации по изучению нейролептической активности лекарственных средств. В кн: Руководство по проведению доклинических исследований лекарственных средств. Ред АН Миронов. М. Гриф и К. 251–264. [Ostrovskaya RU, Raevskii KS, Voronina TA, Garibova TL, Kovalev GI, Kudrin VS, Narkevich VB, Clodt PM (2012) Methodological recommendations for studying the neuroleptic activity of drugs. In: Guidelines for conducting preclinical studies of drugs. Ed AN Mironov. M. Grif and K. 251–264. (In Russ)].
- Петров ВИ, Медведев ОС, Тюренков ИН, Мурашев АН (2012) Методические рекомендации по изучению гипотензивной активности лекарственных средств. В кн: Руководство по проведению доклинических исследований лекарственных средств. Ред АН Миронов. М. Гриф и К. 363–375. [Petrov VI, Medvedev OS, Turenkov IN, Murashev AN (2012) Guidelines for studying the antihypertensive activity of drugs. In: Guidelines for conducting preclinical studies of drugs. Ed AN Mironov. M. Grif and K. 363–375. (In Russ)].
- Abel EL, Bilitzke PJ (1990) A possible alarm substance in the forced swimming test. Physiol Behav 48(2):233–239. https://doi.org/10.1016/0031-9384(90)90306-O
- Rowland DL, Thornton JA (2001) Testing and analytical procedures for laboratory studies involving nonresponders during a limited observation period: An illustration using male sexual behavior in rats. Pharmacol Biochem Behav 68(3):403–409. https://doi.org/10.1016/S0091-3057(00)00473-1
- Koolhaas JM, Korte SM, De Boer SF, Van Der Vegt BJ, Van Reenen CG, Hopster H, De Jong IC, Ruis MAW, Blokhuis HJ (1999) Coping styles in animals: current status in behavior and stress- physiology. Neurosci Biobehav Rev 23(7):925–935. https://doi.org/10.1016/S0149-7634(99)00026-3
- Armario A (2021) The forced swim test: Historical, conceptual and methodological considerations and its relationship with individual behavioral traits. Neurosci Biobehav Rev 128:74–86. https://doi.org/10.1016/j.neubiorev.2021.06.014
- Бондаренко НА (2014) Индивидуальные различия поведения крыс в тесте «Экстраполяционное избавление»: возможность выявления «тревожного» фенотипа. Тез Всеросс конф Инновации в фармакологии: от теории к практике. СПб. Альта Астра. 28–30. [Bondarenko NA (2014) Individual differences in rat behavior in the “Extrapolation Escape Task” test: possibility to reveal the “axious” phenotype. Abstract Conf Innovations in Pharmacology: From Theory to Practice. Saint-Petersburg. Alta Astra. 28–30. (In Russ).
- Becker L, Mallien AS, Pfeiffer N, Brandwein C, Talbot SR, Bleich A (2023) Evidence-based severity assessment of the forced swim test in the rat. PLoS One 18(10): e0292816. https://doi.org/10.1371/journal.pone.029281
- The forced swim test. Oct 16 2020: https://www.lasa.co.uk/the-forced-swim-test/.
- Verma P, Hellemans KG, Choi FY, Yu W, Weinberg J (2010) Circadian phase and sex effects on depressive/anxiety-like behaviors and HPA axis responses to acute stress. Physiol Behav 99(3):276–285. https://doi.org/10.1016/j.physbeh.2009.11.002
- Drossopoulou G, Antoniou K, Kitraki E, Papathanasiou G, Papalexi E, Dalla C, Papadopoulou-Daifoti Z (2004) Sex differences in behavioral, neurochemical and neuroendocrine effects induced by the forced swim test in rats. Neuroscience 126(4):849–857. https://doi.org/10.1016/j.neuroscience.2004.04.044
- Белозерцева ИВ, Драволина ОА, Тур МА (2014) Руководство по использованию лабораторных животных для научных и учебных целей в ПСПбГМУ им ИП Павлова. Ред ЭЭ Звартау. СПб. Изд-во СПбГМУ. [Belozertseva IV, Dravolina OA, Tur MA (2014) Guidelines for the use of laboratory animals for scientific and educational purposes at the IP Pavlov St. Petersburg State Med Univ. (Ed) EE Zvartau. SPB. Publ House of St Petersburg State Med Univer. (In Russ)].
补充文件




