Pulsating Turbulent Flows through a Square Pipe
- Authors: Nikitin N.V.1, Popelenskaya N.V.1
-
Affiliations:
- Moscow State University, Institute of Mechanics
- Issue: No 2 (2023)
- Pages: 55-71
- Section: Articles
- URL: https://medbiosci.ru/1024-7084/article/view/135065
- DOI: https://doi.org/10.31857/S0568528122600886
- EDN: https://elibrary.ru/NTOIHM
- ID: 135065
Cite item
Full Text
Abstract
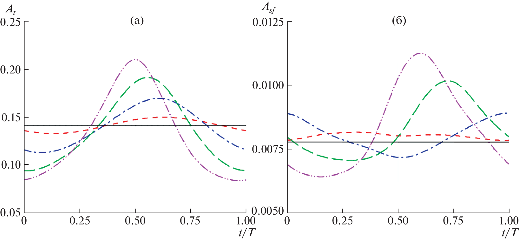
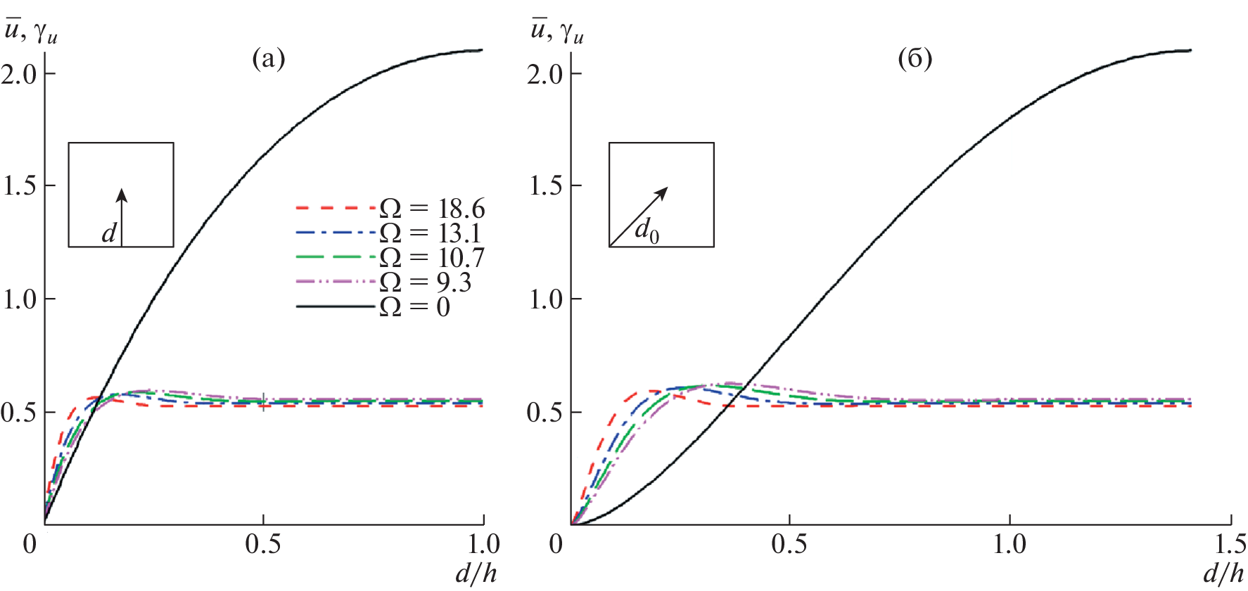
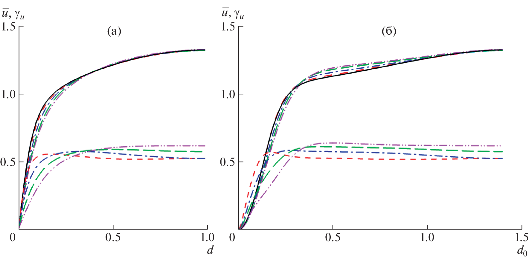
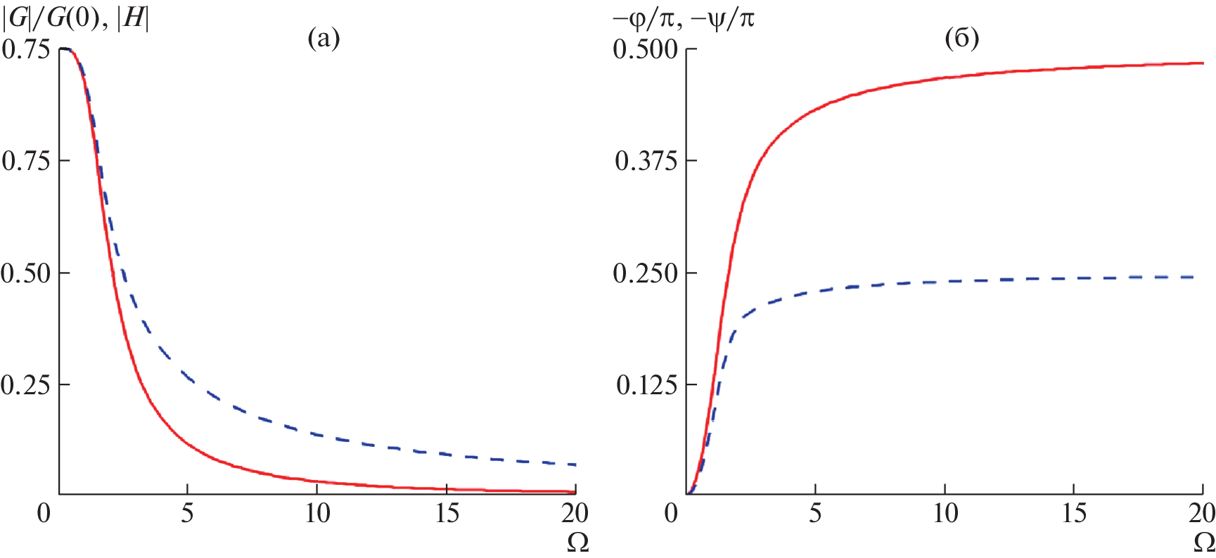
Pulsating turbulent flows in a square pipe are studied numerically. The flow dominance regime in which the fluid flow rate remains positive in all phases of the oscillatory cycle is considered. The flows are studied at several oscillation frequencies. The results are compared with oscillating laminar flows and a steady turbulent flow in a square pipe, as well as with pulsating turbulent flows in a round pipe. The integral and fluctuating characteristics of turbulence and their dependence on the oscillation frequency are determined. In particular, it is found that at the considered Reynolds number Re = 2200 the friction coefficient in pulsating flows turns out to be lower than that in the stationary flows. The drag reduction increases with growth of the oscillation period and reaches 14.7%. A distinctive feature of turbulent flows in pipes of rectangular cross-section is the occurrence of secondary flows of Prandtl’s 2nd kind. The details of secondary flows under the pulsating flow conditions are studied at length.
About the authors
N. V. Nikitin
Moscow State University, Institute of Mechanics
Email: nvnikitin@mail.ru
Moscow, Russia
N. V. Popelenskaya
Moscow State University, Institute of Mechanics
Author for correspondence.
Email: aero.natap@mail.ru
Moscow, Russia
References
- Brereton G.J., Mankbadi R.R. Review of recent advances in the study of unsteady turbulent internal flows // Appl. Mech. Rev. 1995. V. 48. № 4. P. 189–212.
- Carpinlioglu M.O., Gundogdu M.Y. A critical review on pulsatile pipe flow studies directing towards future research topics // Flow Meas. Instrum. 2001. V. 12. P. 163–174.
- Manna M., Vacca A., Verzicco R. Pulsating pipe flow with large-amplitude oscillations in the very high frequency regime. Part 1. Time-averaged analysis // J. Fluid Mech. 2012. V. 700. P. 246–282.
- Papadopoulos P.K., Vouros A.P. Pulsating turbulent pipe flow in the current dominated regime at high and very-high frequencies // Int. J. Heat Fluid Flow. 2016. V. 58. P. 54–67.
- Stokes G.G. On the effect of the internal friction of fluids on the motion of pendulums // Cambridge Philos. Soc. 1850. V. 9. P. 1–86.
- Ramaprian B.R., Tu S.W. Fully developed periodic turbulent pipe flow. Part 2. The detailed structure of the flow // J. Fluid Mech. 1983. V. 137. P. 59–81.
- Tardu S.F., Binder G. Wall shear stress modulation in unsteady turbulent channel flow with high imposed frequencies // Phys. Fluids. 1993. V. 5. P. 2028–2034.
- Никитин Н.В., Попеленская Н.В., Stroh A. Вторичные течения Прандтля 2-го рода. Проблемы описания, предсказания, моделирования // Изв. РАН. МЖГ. 2021. № 4. С. 73–99.
- Gavrilakis S. Numerical simulation of low-Reynolds-number turbulent flow through a straight square duct // J. Fluid Mech. 1992. V. 244. P. 101–129.
- Никитин Н.В., Пиманов В.О., Попеленская Н.В. К вопросу об образовании вторичных течений Прандтля 2-го рода // ДАН. 2019. Т. 484. № 4. С. 420–425.
- Uhlmann M., Pinelli A., Kawahara G., Sekimoto A. Marginally turbulent flow in a square duct // J. Fluid Mech. 2007. V. 588. P. 153–162.
- Nikitin N. Finite-difference method for incompressible Navier–Stokes equations in arbitrary orthogonal curvilinear coordinates // J. Comput. Phys. 2006. V. 217. P. 759–781.
- Yakhot A., Arad M., Ben-Dor G. Numerical investigation of a laminar pulsating flow in a rectangular duct // Int. J. Numer. Meth. Fluids. 1999. V. 29. P. 935–950.
- Валуева Е.П., Пурдин М.С. Пульсирующее ламинарное течение в прямоугольном канале // Теплофизика и аэромеханика. 2015. Т. 22. № 6. С. 761–773.
- White F.M. Viscous fluid flow, 3rd edition. International edition: McGraw-Hill publication, 2006. 629 p.
- Uchida S. Pulsating viscous flow superposed on the steady laminar motion // Z. angew. Math. Phys. 1956. V. 7. P. 403–422.
- Richardson E.G., Tyler E. The transfer velocity gradient near the mouths of pipes in which an alternating or continuous flow of air is established // Proc. Phys. Soc. Lond. 1929. V. 42. P. 1–15.
- Lodahl C.R., Sumer B.M., Fredosoe J. Turbulent combined oscillatory flow and current in a pipe // J. Fluid Mech. 1998. V. 373. P. 313–348.
- Manna M., Vacca A. Spectral dynamic of pulsating turbulent pipe flow // Comput. Fluids. 2007. V. 37. P. 825–835.
- Gerrard J.H. An experimental investigation of pulsating turbulent water flow in a tube // J. Fluid Mech. 1971. V. 46. P. 43–64.
- Nikitin N. Turbulent secondary flows in channels with no-slip and shear-free boundaries // J. Fluid Mech. 2021. V. 917. P. A24.
Supplementary files














