Fluid Flow to a Well through a Radial Hydraulic Fracture in a Porous Medium at Constant Flow Rate
- Authors: Anosova E.P.1, Nagaeva Z.M.1,2, Shagapov V.S.2
-
Affiliations:
- Ufa State Petroleum Technological University
- Mavlyutov Institute of Mechanics of the Ufa Federal Research Center of the Russian Academy of Sciences
- Issue: No 2 (2023)
- Pages: 90-101
- Section: Articles
- URL: https://medbiosci.ru/1024-7084/article/view/135074
- DOI: https://doi.org/10.31857/S0568528122600692
- EDN: https://elibrary.ru/NTEWPR
- ID: 135074
Cite item
Full Text
Abstract
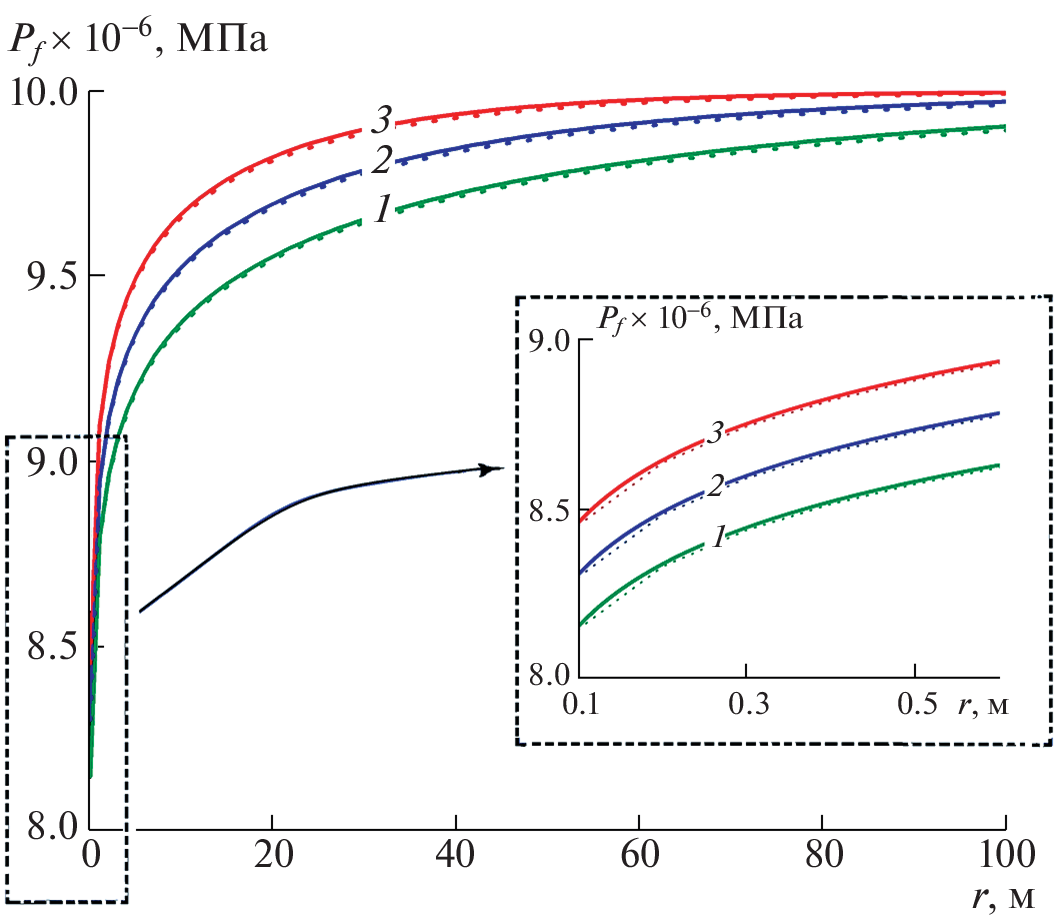
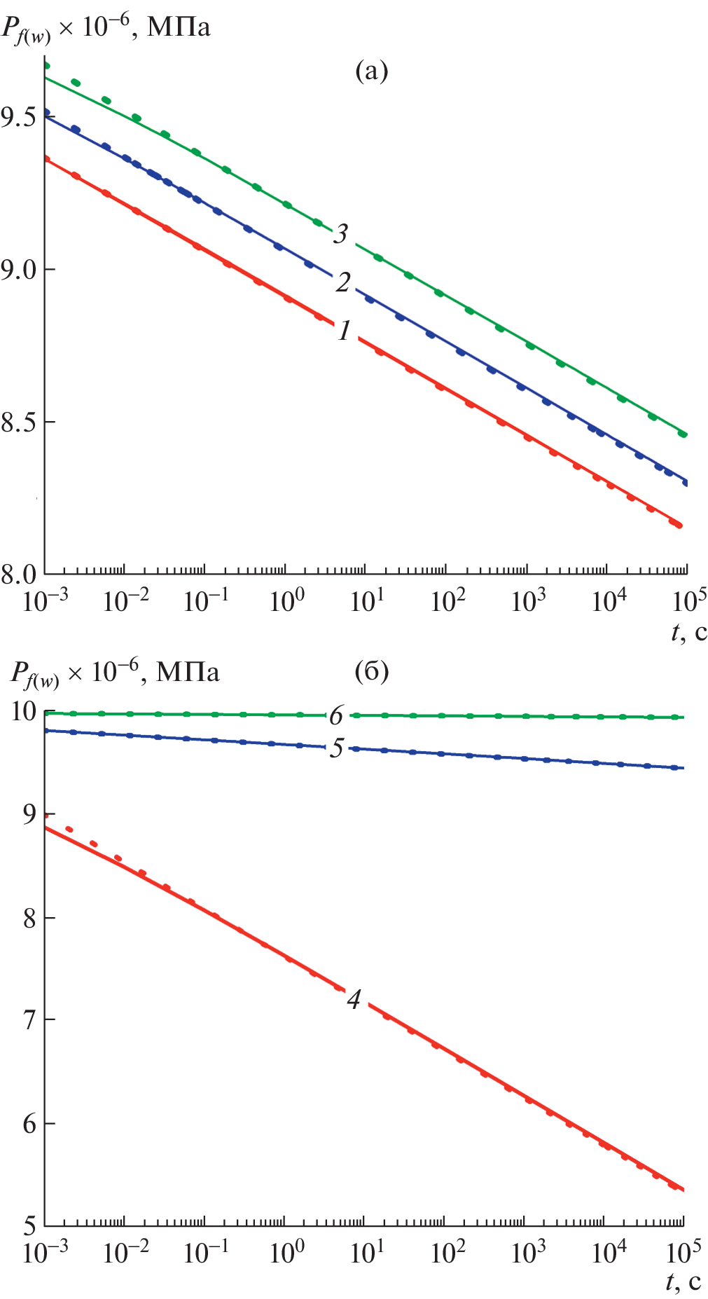
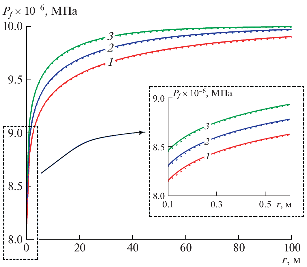
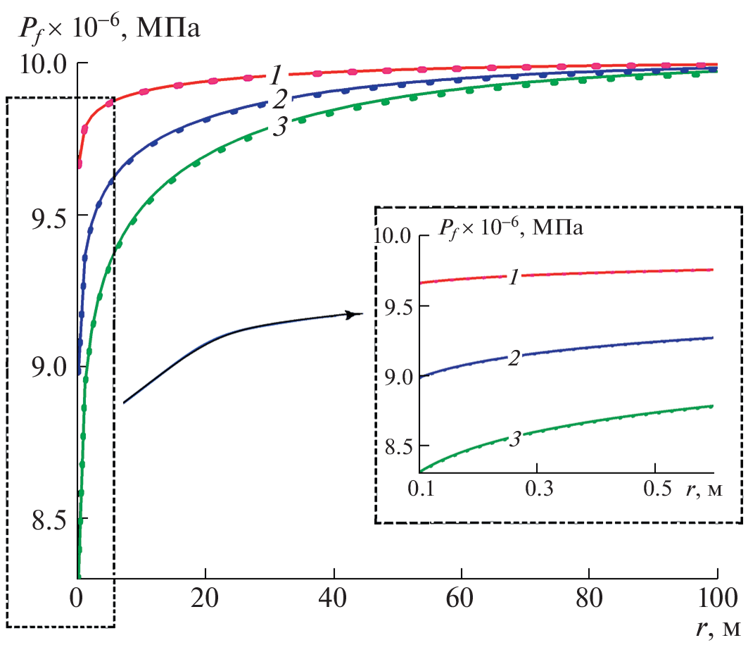
The problem of fluid withdrawal from a reservoir into a well or injection of fluid from a well into a reservoir in the presence of a hydraulic fracture perpendicular to the wellbore is considered in the constant flow rate regime. Analytical solutions that describe the evolution of pressure in the fracture at a constant reservoir-to-well fluid flow rate are obtained. Approximate solutions are constructed using the method of successive change of stationary states (SCSS). A comparison of the numerical results of the exact and approximate solutions shows that these solutions are almost identical. The influence of the reservoir features of the stratum and fracture on the evolution of pressure in the fracture and well is analyzed.
About the authors
E. P. Anosova
Ufa State Petroleum Technological University
Email: ae0809@mail.ru
Ufa, Russia
Z. M. Nagaeva
Ufa State Petroleum Technological University; Mavlyutov Institute of Mechanics of the Ufa Federal Research Center of the Russian Academy of Sciences
Email: Nagaeva_Zilya@mail.ru
Ufa, Russia; Ufa, Russia
V. Sh. Shagapov
Mavlyutov Institute of Mechanics of the Ufa Federal Research Center of the Russian Academy of Sciences
Author for correspondence.
Email: Shagapov@rambler.ru
Ufa, Russia
References
- Prats M. Effect of vertical fractures on reservoir behavior – incompressible fluid case // Soc. Petrol. Eng. Journal. 1961. V. 1. № 2. P. 105–118.
- Prats M., Hazebroek P., Strickler W.R. Effect of vertical fractures on reservoir behavior – compressible fluid case // Soc. Petrol. Eng. Journal. 1962. V. 2. № 2. P. 87–94.
- Каневская Р.Д., Дияшев И.Р., Некипелов Ю.В. Применение гидравлического разрыва пласта для интенсификации добычи и повышения нефтеотдачи // Нефтяное хозяйство. 2002. № 5. С. 96–101.
- Астафьев В.И., Федорченко Г.Д. Моделирование фильтрации жидкости при наличии трещины гидравлического разрыва пласта // Вестн. Сам. гос. техн. ун-та. Сер. Физ.-мат. науки. 2007. № 2 (15). С. 128–132.
- Экономидес М., Олини Р., Валько П. Унифицированный дизайн гидроразрыва пласта: от теории к практике. Москва-Ижевск: Институт компьютерных технологий, 2007. 237 с.
- Cinco-Ley H., Samaniego V.F., Dominguez A.N. Transient pressure behavior for a well with a finite-conductivity vertical fracture // Soc. Pet. Eng. J. 1978. V. 18. № 4. P. 253–264.
- Шагапов В.Ш., Нагаева З.М. К теории фильтрационных волн давления в трещине, находящейся в пористой проницаемой среде // ПМТФ. 2017. Т. 58. № 5 (345). С. 121–130.
- Нагаева З.М., Шагапов В.Ш. Об упругом режиме фильтрации в трещине, расположенной в нефтяном или газовом пласте // ПММ. 2017. Т. 81. № 3. С. 319–329.
- Хабибуллин И.Л., Хисамов А.А. Нестационарная фильтрация в пласте с трещиной гидроразрыва // Изв. РАН. МЖГ. 2019. № 5. С. 6–14.
- Тихонов А.Н., Самарский А.Н. Уравнения математической физики. М.: Наука, 1972. 736 с.
- Диткин В.А., Прудников А.П. Операционное исчисление. 2-е изд., доп. М.: Высшая школа, 1975. 408 с.
- Зайцев В.Ф., Полянин А.Д. Справочник по обыкновенным дифференциальным уравнениям. М.: Физматлит, 2001. 576 с.
- Баренблатт Г.И., Ентов В.М., Рыжик В.М. Теория нестационарной фильтрации жидкости и газа. М.: Недра, 1972. 288 с.
Supplementary files









