Effect of Small Angles of Attack on Turbulence Generation in Supersonic Boundary Layers on Swept Wings
- Authors: Kosinov A.D.1, Kocharin V.L.1, Liverko A.V.2, Semionov A.N.1, Semionov N.V.1, Smorodsky B.V.1, Tolkachev S.N.2, Yatskikh A.A.1
-
Affiliations:
- Khristianovich Institute of Theoretical and Applied Mechanics of the Siberian Branch of the Russian Academy of Sciences
- Central Aerohydrodynamic Institute (TsAGI),
- Issue: No 3 (2023)
- Pages: 59-68
- Section: Articles
- URL: https://medbiosci.ru/1024-7084/article/view/135076
- DOI: https://doi.org/10.31857/S1024708422600919
- EDN: https://elibrary.ru/TMSYIS
- ID: 135076
Cite item
Full Text
Abstract
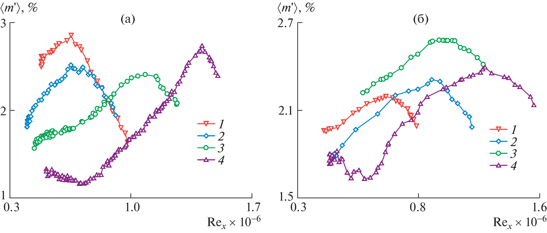
We present the new (for Mach numbers М = 3 and 3.5) and generalizing (for Mach numbers from 2 to 4) results of experimental investigations on the effect of small angles of attack on laminar-turbulent transition in the supersonic boundary layer on a swept wing with the leading-edge slip angle of 72°. The angle-of-attack variation has a strong effect on the transition Reynolds number. The transition Reynolds number decreases with increase in the Mach number. The measurements were carried out by means of a constant-temperature hot-wire anemometer using the proven procedure of determining the transition location. The eN method is used for the first time for numerically estimating the transition Reynolds numbers in the supersonic boundary layer on a swept wing with the leading-edge slip angle of 72°. The growth of the amplitudes of the steady and unsteady modes of the boundary layer crossflow are calculated in accordance with the linear stability theory, within the framework of the Lees–Lin system of equations. The numerical results indicate that, in accordance with the experimental results, laminar-turbulent transition in the boundary layer on the model swept wing is governed by the growth of stationary modes of the crossflow instability.
About the authors
A. D. Kosinov
Khristianovich Institute of Theoretical and Applied Mechanics of the Siberian Branch of the Russian Academy of Sciences
Email: semion@itam.nsc.ru
Novosibirsk, Russia
V. L. Kocharin
Khristianovich Institute of Theoretical and Applied Mechanics of the Siberian Branch of the Russian Academy of Sciences
Email: semion@itam.nsc.ru
Novosibirsk, Russia
A. V. Liverko
Central Aerohydrodynamic Institute (TsAGI),
Email: info@tsagi.ru
Zhukovsky, Russia
A. N. Semionov
Khristianovich Institute of Theoretical and Applied Mechanics of the Siberian Branch of the Russian Academy of Sciences
Email: semion@itam.nsc.ru
Novosibirsk, Russia
N. V. Semionov
Khristianovich Institute of Theoretical and Applied Mechanics of the Siberian Branch of the Russian Academy of Sciences
Email: semion@itam.nsc.ru
Novosibirsk, Russia
B. V. Smorodsky
Khristianovich Institute of Theoretical and Applied Mechanics of the Siberian Branch of the Russian Academy of Sciences
Email: semion@itam.nsc.ru
Novosibirsk, Russia
S. N. Tolkachev
Central Aerohydrodynamic Institute (TsAGI),
Email: info@tsagi.ru
Zhukovsky, Russia
A. A. Yatskikh
Khristianovich Institute of Theoretical and Applied Mechanics of the Siberian Branch of the Russian Academy of Sciences
Author for correspondence.
Email: semion@itam.nsc.ru
Novosibirsk, Russia
References
- Устинов М.В. Ламинарно-турбулентный переход в пограничном слое (обзор) часть 1. Основные виды ламинарно-турбулентного перехода на стреловидном крыле // Уч. зап. ЦАГИ. 2013. Т. 44. № 1. С. 1–42.
- Reed H.L., Saric W.S. Stability of three-dimensional boundary layers// Ann. Rev. FluidMech. 1989. V. 21. P. 235–284.
- Бойко А.В., Грек Г.Р., Довгаль А.В., Козлов В.В. Возникновение турбулентности в пристенных течениях. Новосибирск: Наука. Сиб. отделение, 1999. 328 с.
- Deyhle H., Bippes H. Disturbance growth in an unstable three-dimensional boundary layer and its dependence on environmental conditions // J. Fluid Mech. 1996. V. 316. P. 73–113.
- Ермолаев Ю.Г., Косинов А.Д., Кочарин В.Л., Семенов А.Н., Семенов Н.В., Шипуль С.А., Яцких А.А. Экспериментальное исследование влияния внешних возмущений на положение ламинарно-турбулентного перехода на стреловидных крыльях при М = 2 // Теплофизика и аэромеханика. 2021. Т. 28. № 3. С. 343–350.
- Cattafesta L.N. III, Iyer V., Masad J.A., King R.A., Dagenhart J.R. Three-dimensional boundary-layer transition on a swept wing at Mach 3.5 // AIAA J. 1995. V. 33. № 11. P. 2032–2037.
- Бражко В.Н., Ваганов А.В., Дудин Г.Н., Ковалева Н.А., Липатов И.И., Скуратов А.С. Экспериментальное исследование особенностей аэродинамического нагревания треугольного крыла при больших числах Маха // Труды МФТИ. 2009. Т. 1. № 3. С. 57–66.
- Ваганов А.В., Ермолаев Ю.Г., Косинов А.Д., Семенов Н.В., Шалаев В.И. Экспериментальное исследование структуры течения и перехода в пограничном слое треугольного крыла с затупленными передними кромками при числах Маха 2, 2,5 и 4 // Труды МФТИ. 2013. Т. 5. № 3. С. 164–173.
- Yoshida S., Nakano K., Shiozava N. An Experimental and Numerical Study on the Compressible laminar flow control // Special publication of national aerospace laboratory SP-31. 1996. P. 81–90.
- Sugiura H., Yoshida K., Tokugawa N., Takagi S., Nishizawa A. Transition Measurements on the Natural Laminar Flow Wing at Mach 2 // J. Aircraft. 2002. V. 39. № 6. P. 996–1002.
- Semionov N.V., Yermolaev Yu.G., Kocharin V.L., Kosinov A.D., Semenov A.N., Smorodsky B.V., Yatskikh A.A. An effect of small angle of attack on disturbances evolution in swept wing boundary layer at Mach number M = 2 // AIP Conf. Proc. 2018. V. 2027. № 1. P. 030156. https://doi.org/10.1063/1.5065250
- Kosinov A.D., Semionov N.V., Yermolaev Y.G., Smorodsky B.V., Kolosov G.L., Yatskikh A.A., Semenov A.N. The influence of moderate angle-of-attack variation on disturbances evolution and transition to turbulence in supersonic boundary layer on swept wing // Journal of Aerospace Engineering: Part G. Proc. of the Inst. of Mech. Engineers. 2020. V. 234. № 1. P. 96–101. https://doi.org/10.1177/0954410019852804
- Ермолаев Ю.Г., Косинов А.Д., Кочарин В.Л., Семенов А.Н., Семенов Н.В., Шипуль С.А., Яцких А.А. Влияние малых углов атаки на ламинарно-турбулентный переход сверхзвукового пограничного слоя на стреловидном крыле С χ = 72° // Известия РАН. Механика жидкости и газа. 2022. № 1. С. 32–38. https://doi.org/10.31857/S0568528122010030
- Kosinov A.D., Semionov N.V. The laminar-turbulent transition experiments in supersonic boundary layers // AIP Conf. Proc. 2019. V. 2125. P. 030105. https://doi.org/10.1063/1.5117487
- Kosinov A.D., Semionov N.V., Yermolaev Yu.G. Disturbances in test section of T-325 supersonic wind tunnel. Novosibirsk, 1999. (Preprint Institute of Theoretical and Applied Mechanics; № 6–99). P. 24.
- Жигулев В.Н., Тумин А.М. Возникновение турбулентности. Новосибирск: Наука, 1987. 282 с.
- Semenov A.N., Kocharin V.L., Semionov N.V. Numerical simulation of stationary flow around a wing with a subsonic leading edge at M = 2 and 2.5 // J. Physics: Conf. Ser. 2019. V. 1404. № 1. P. 012121. https://doi.org/10.1088/1742-6596/1404/1/012121
- Asai M., Saitoh N., Itoh N. Instability of compressible three-dimensional boundary layer to stationary disturbances // Trans. JapanSoc.Aeronaut. SpaceSci. 2001. V. 43. № 142. P. 190–195.
- Гапонов С.А., Смородский Б.В. Линейная устойчивость трехмерных пограничных слоев// Прикладная механика и техническая физика. 2008. Т. 49. № 2. С. 3–14.
- Semionov N.V., Kosinov A.D., Yermolaev Yu.G. Experimental study of turbulence beginning of supersonic boundary layer on swept wing at Mach numbers 2–4. // Journal of Physics: Conf. Ser. 2011. V. 318. № 032018. P. 1–9. https://doi.org/10.1088/1742-6596/318/3/032018
- Швалев Ю.Г. Исследования перехода ламинарного пограничного слоя в турбулентный на моделях в аэродинамической трубе Т-116 ЦАГИ // Труды ЦАГИ. 2011. № 2693.
- Семенов Н.В., Ермолаев Ю.Г., Косинов А.Д., Левченко В.Я. Экспериментальное исследование развития возмущений в сверхзвуковом пограничном слое на модели скользящего крыла // Теплофизика и аэромеханика. 2003. Т. 10. № 3. С. 357–368.
- Ермолаев Ю.Г., Косинов А.Д., Семенов Н.В. Экспериментальное исследование нелинейных процессов в пограничном слое на скользящем крыле при числе Маха = 2 // Прикладная механика и техническая физика. 2014. Т. 55. № 5. С. 45–54.
Supplementary files







