The diffusion stability of an externally driven cavitation bubble in micro-confinement
- Authors: Leonov К.V.1, Akhatov I.S.1
-
Affiliations:
- Bashkir State Medical University
- Issue: No 1 (2024)
- Pages: 63-76
- Section: Articles
- URL: https://medbiosci.ru/1024-7084/article/view/262490
- DOI: https://doi.org/10.31857/S1024708424010032
- EDN: https://elibrary.ru/sebzvr
- ID: 262490
Cite item
Full Text
Abstract
The diffusion stability of a single cavitation bubble in a spherical liquid cell surrounded by an infinite elastic solid is considered. The time-periodic pressure in the solid far away from the liquid cell is used as an external driving, which initiates bubble oscillations along with the gas diffusion process in the bubble-in-cell system. The work is based on the engineering approximation according to which the bubble growth/reduction is considered on average, assuming that during the period of the external driving the mass of gas in the bubble does not noticeably change. This theory predicts the existence of stably oscillating bubbles in confined liquid undergoing an external driving force. Three possible diffusion regimes are revealed: 1) total bubble dissolution, 2) partial bubble dissolution, and 3) partial bubble growth, where the last two regimes provide the diffusion stability in the bubble-in-cell system. The parametric study of the influence of the gas concentration dissolved in the liquid on the resulting stable bubble size is conducted. The obtained results are compared with the results for the case of the stable bubble oscillations in the pressure sound field in a bulk (infinite) liquid. The theoretical findings of the present study can be used for improvement of the modern applications of ultrasound technology.
Keywords
Full Text
Пузырьки изучали с разных точек зрения, поскольку их поведение имеет решающее значение для самых разных технологий пищевой промышленности, очистки воды, добычи нефти и т.д. [1]. Пузырьки, подверженные воздействию акустических волн, связаны с технологиями дегазации жидкости путем инициации кавитации газосодержащих полостей [2] и используются во многих процессах ультразвуковой очистки, например в очистке кремниевых пластин и компьютерных компонент [3, 4].
Акустически возбуждаемые пузырьки могут нарушать локальное поле течения, что приводит к усилению химических реакций [5] и перемешиванию в микрофлюидных системах [6]. Использование высокоэнергетического ультразвука может вызвать кавитационный эффект в сверхтяжелой нефти, что приведет к расщеплению крупных молекул на молекулы легких углеводородов, снижая вязкость раствора и улучшая транспортные свойства [7].
Микропузырьки в настоящее время используют в клинической практике в качестве эффективных ультразвуковых контрастных агентов, которые состоят из плохо растворимого газового ядра со стабилизирующей оболочкой [8]. Размер позволяет им свободно проникать в кровеносную систему, а их газовое ядро обеспечивает усиление контрастности ультразвукового изображения из-за разницы акустического импеданса между газом и окружающей кровью с мягкими тканями. Кроме того, ультразвуковое поле может вызвать объемные колебания микропузырьков, что приводит к увеличению рассеяния и повышению контрастности изображения. Этот эффект может быть усилен за счет возбуждения пузырьков на их резонансной частоте, что обычно происходит в клинически одобренном диапазоне частот для диагностического ультразвука.
Микропузырьки также широко изучали на предмет их способности совершенствовать доставку лекарств в ткани для лечения заболеваний [8–11]. В сочетании с ультразвуком они способны локально увеличивать проницаемость клеточной мембраны для улучшения приема лекарственного препарата — процесс известный как сонопорация. Лекарственные препараты также могут быть непосредственно включены в сами пузырьки, а их высвобождение инициировано с помощью ультразвука высокой интенсивности, который вызывает расширение и последующий коллапс пузырьков, разрушающий стабилизирующую оболочку. Усовершенствованная локальная доставка позволила усилить терапевтический эффект при более низких дозах лекарств и, следовательно, снизить интоксикацию за пределами участка воспаления.
В большинстве упомянутых примеров кавитационная активность, вызванная акустическим воздействием, имеет место в сильно ограниченных пространствах. В экспериментах было показано, что диффузия газа через микропузырьки в ультразвуковом поле и в ограниченном пространстве нано- и микроканалов может (частично) блокировать их и препятствовать их корректному использованию [12]. При этом пузырьки обычно образуются либо из растворенного в жидкости газа, либо из паров жидкости, возникающих при кипении или химических процессах вдоль канала.
С одной стороны, следует отметить, что в отсутствие внешнего звукового поля пузырьки любого размера неустойчивы, так как давление внутри пузырька больше, чем в жидкости, из-за поверхностного натяжения, и пузырек имеет тенденцию к медленному растворению. С другой стороны, колебания пузырька, вызванные периодическим акустическим полем, инициируют потоки газа в пузырек и из него. Это явление называется ректифицированной диффузией и обычно приводит к росту пузыря [13].
Одним из наиболее показательных примеров влияния ректифицированной диффузии в ограниченной жидкости на промышленные приложения является технология струйной печати (см. работу [14] и ссылки в ней). В промышленных условиях пьезоакустическая струйная печать по требованию является широко распространенным технологическим применением микрофлюидики, которое используется в полиграфической промышленности. В этом методе пьезоакустическая печатающая головка может по требованию подавать отдельные капли из сопла, вытесняя чернила за счет деформации пьезоэлектрического элемента и возникающего в результате поля давления. При определенных условиях пузырек воздуха может оказаться в сопле, в частности при больших частотах струйной печати, превышающих 20 кГц.
Было показано, что пузырьки зарождаются на несмачиваемых частицах грязи, взвешенных в чернилах. Другие механизмы возникновения пузырей включают отрыв пузырька от входящей газовой струи, формирующейся на колеблющемся воздушно-чернильном мениске за счет фокусировки потока, и возникновение кавитации в фазе разрежения волны давления [15].
Большинство чернил не являются чистыми жидкостями и имеют сложный состав, содержащий несколько жидкостей с различными свойствами, пигменты, коллоидные частицы, латекс, сшивающие агенты, поверхностно-активные вещества и полимеры, что также увеличивает вероятность образования пузырьков на взвешенных частицах в чернилах. После этого пузырек растет за счет ректифицированной диффузии, так как чернила содержат некоторое количество растворенного газа, что приводит к модификации процесса формирования капель и нарушению технологии печати.
Как только пузырек оказался в чернилах, практически он может быть удален вместе с каплей чернил за несколько циклов работы пьезоэлемента или ликвидирован путем диффузионного растворения, т. е. выключением пьезовозбуждения на несколько минут [16]. Эти методы потребляют как чернила, так и рабочее время и поэтому крайне нежелательны. Таким образом, образование пузырьков и последующая ректифицированная диффузия в ограниченной жидкости являются важными технологическими проблемами современной промышленной цифровой печати.
Задача о массопереносе газа, растворенного в бесконечной жидкости, вокруг пузырька, совершающего объемные колебания, широко исследована [17–22]. Теоретические изыскания ректифицированной диффузии в ограниченной жидкости до сих пор привлекали мало внимания.
В настоящее время существует несколько моделей трехслойной геометрии ограниченных пузырьков [23–28], которые предполагают фиксированное количество газа в пузырьке. В работе [28] исследуется динамика пузырька в сферической ячейке жидкости, заключенной в бесконечное упругое твердое тело, когда в качестве управляющего динамического параметра используется давление в твердом теле вдали от пузырька. Авторы провели анализ колебаний пузырька и рассмотрели динамический отклик малых и больших пузырьков в состояниях ниже и выше порога кавитации соответственно.
Динамика кавитационного пузырька в ограниченной жидкости представляет особый интерес с точки зрения ректифицированной диффузии, которая зависит от объемных колебаний пузырька. В работе [29] исследователи расширили модель, развитую в работе [28], и рассмотрели влияние растворенного газа на динамику кавитационного пузырька в ограниченной жидкости.
Анализ показал существование режимов динамики пузырька, которые могут обеспечить формирование результирующего устойчивого пузырька. Говоря о таковом, авторы имеют в виду, что размер пузырька остается постоянным в течение объемных осцилляций в среднем. В этом случае масса растворенного газа обеспечивает взаимную компенсацию потоков массы в пузырек и из него.
В работе [29] пузырек меняет свой размер начиная с зародыша пузыря, который растет/растворяется за счет ректифицированной диффузии. В нашей работе построена равновесная диаграмма диффузионной устойчивости пузырька и проанализировано влияние концентрации растворенного газа в ограниченной жидкости на динамику пузырька, сопровождающую формирование результирующего устойчивого пузырька. Показано, что возможны три режима диффузии: 1) полное растворение пузырька, 2) частичное растворение и 3) частичный рост пузырька, где два последних режима могут сопровождаться тремя динамическими режимами пузырька: 1) при наличии кавитационного отклика пузырька, 2) при отсутствии такового и 3) сочетание двух предыдущих динамических режимов.
1. Математическая модель
1.1. Динамическая модель для пузырька в жидкой ячейке. Случай фиксированной массы газа в пузырьке
Для начала введем и далее разовьем модель, представленную в работе [29], исходя из концепции нерастворимого пузыря, где сферическая ячейка жидкости с пузырьком внутри заключена в бесконечную упругую твердую среду и подвергается растяжению или отрицательному давлению, как это показано на рис. 1.
Рис. 1. Конфигурация квазистатических состояний системы: (а) исходное состояние, (б) равномерное расширение жидкой ячейки при растяжении p∞, (в) новое состояние равновесия.
Система уравнений динамики ограниченного пузырька постоянной массы с учетом давления вдали от пузырька в качестве параметра вынуждающей силы была предложена в работе [28]:
(1.1)
где и — начальный и текущий радиусы пузырька соответственно, и — начальный и текущий радиусы жидкой ячейки соответственно, , и — плотность жидкости в начальном и текущем состояниях, p0 — начальное атмосферное давление, — давление внешней вынуждающей силы, s — коэффициент поверхностного натяжения жидкости на границе раздела с газом/паром, m — динамическая вязкость жидкости, K и G — модули всестороннего сжатия и сдвига упругого тела соответственно. Верхними точками обозначены производные по времени.
Предполагается, что пузырек содержит фиксированное количество неконденсируемого и нерастворимого газа и насыщенный пар постоянного давления pV (T ), соответствующего фиксированной температуре системы. Диапазон давлений, рассматриваемый в этом исследовании, намного ниже, чем модуль всестороннего сжатия жидкости EV, и поэтому последний предполагается постоянным. Таким образом, уравнения состояния жидкости и газа имеют вид
Движение жидкости считается сферически-симметричным, и поле скорости жидкости в этом случае имеет только радиальную составляющую [28]:
(1.2)
где r обозначает радиальное расстояние от центра пузырька.
Квазистатическое поведение системы пузырь–в–ячейке можно рассмотреть, задав все производные по времени в системе уравнений (1.1) равными нулю, что приводит к следующей системе:
(1.3)
где первое выражение представляет собой уравнение изменения размера ячейки жидкости, а второе — уравнение баланса давления для ограниченного пузырька.
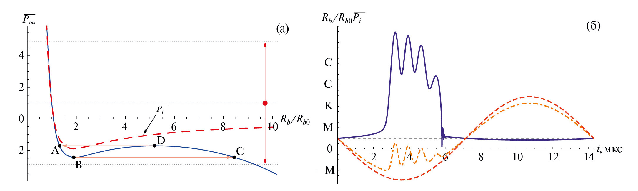
Решение системы (1.3) представлено на рис. 2а в виде зависимости напряжения в твердом теле от радиуса пузырька.
Рис. 2. (a) Зависимость безразмерного напряжения в твердом теле от радиуса пузырька для Rb0 = 272 нм (или на рис. 3, большой закрашенный круг). Линия из точек соответствует начальному состоянию. Пунктирная линия – давление жидкости Двойная стрелка показывает амплитуду давления внешнего воздействия (б) Изменение радиуса пузырька (сплошная линия), давления жидкости (штрихпунктирная линия) и внешнего воздействия (пунктирная линия) при
Численные расчеты проводились для и для воды как жидкости и азота как газа при T = 293 K. Значения модуля сдвига G и модуля всестороннего сжатия K твердого тела выбраны в соответствии с экспериментами по кавитации в жестком полимерном гидрогеле [30].
Точки A и B на рис. 2а соответствуют стабильному (ниже порога кавитации) и критическому (порог кавитации) состояниям пузырька соответственно. Критический пузырек будет расти до конечного размера, отмеченного точкой C, тогда как в модели бесконечной жидкости пузырек испытывает бесконечный рост (см. работу [31]).
Состояния B–D являются неустойчивыми. После точки С при увеличении натяжения пузырек будет непрерывно расти, в противном случае он будет непрерывно сжиматься до радиуса в метастабильной точке D и коллапсировать до радиуса в точке A с последующим непрерывным сжатием пузырька. В данной модели пузырек содержит фиксированную массу газа, которая сопротивляется полному сжатию пузырька.
Нелинейная динамика пузырька определяется решением системы уравнений (1.1) и показана на рис. 2б сплошной линией вместе с давлением в жидкой ячейке (штрихпунктирная линия) и периодическим внешним воздействием в твердом теле (штриховая линия), которое задается в виде
где — частота внешней вынуждающей силы, — амплитуда осцилляций давления внешней вынуждающей силы, которая обеспечивает возникновение и исчезновение кавитации [31] и отмечена двойной стрелкой на рис. 2а. Для расчетов динамики пузырька динамическую вязкость воды брали по формуле
1.2. Учет диффузии газа
Чтобы включить диффузию газа в эту модель, авторы в работе [29] предположили, что в жидкой ячейке присутствует некоторое количество растворенного газа, который участвует в переносе массы через динамическую границу, связанную с колеблющимся пузырьком, так что общее количество газа в системе пузырь–в–ячейке считается постоянным, и потоки массы во внешнюю среду отсутствуют. Постановка задачи включает следующие определяющие уравнения:
(1.4)
(1.5)
(1.6)
(1.7)
(1.8)
Здесь уравнение (1.4) описывает конвективную диффузию, где — массовая концентрация газа, растворенного в жидкой ячейке; — радиальное поле скоростей в жидкой ячейке (см. (1.2)) и D — коэффициент диффузии газа в жидкости. Уравнения (1.5) и (1.6) — граничные условия на поверхностях пузырька и жидкой ячейки соответственно, где H — постоянная Генри. Уравнение (1.7) — начальное условие, где с∞ — однородная концентрация газа в жидкости, при которой предполагается образование пузырька. Уравнение (1.8) — скорость массопереноса через поверхность пузырька, где mg — масса газа в пузырьке.
Эта задача о переносе массы была решена приближенно для большого числа Пекле используя нормированные лагранжевы координаты, чтобы избежать трудностей из-за подвижных граничных условий
где Rb* = 2s/p0 — типичный размер пузырька в жидкости при атмосферном давлении p0 [32]; x = r/Rb*, x(t) = Rb(t)/Rb*; t = t W*, где W* — собственная частота радиальных колебаний пузырька с характерным радиусом Rb* [28]:
Следуя работе [29], мы используем инженерное приближение, в котором колебания пузырька предполагаются быстрыми, а рост/уменьшение среднего размера пузырька считается медленным, так что можно разделить задачу массопереноса на две части.
В первой части отсутствует влияние массопереноса в системе на быстрые колебания пузырька, тогда как во второй рост/уменьшение пузырька рассматривается в среднем, предполагая незначительное изменение массы газа в пузырьке за период внешней вынуждающей силы.
Последнее характеризуется медленной диффузией, усиленной конвекцией, и рассматривается во втором масштабе времени l = tD/Rb2*, который отражает медленное диффузионное поведение. В работе [29] показано, что массоперенос в системе пузырь–в–ячейке состоит из двух последовательных физически согласованных режимов: 1) растущего обедненного слоя и 2) диффузии газа внутри жидкой ячейки. Оба режима характеризуются схожей зависимостью усредненной по времени скорости изменения массы газа в пузырьке, которая имеет вид
(1.9)
где mg* = mg /mli*q — масса газа в пузырьке, деленная на массу жидкости, вытесненной объемом характерного пузыря: Функция C *(l) — усредненная концентрация газа на поверхности пузырька:
где csp = H *p0* — концентрация насыщения в жидкости, отделенной от газа при давлении p0* плоской границей, csb — концентрация насыщения в жидкости, отделенной от газа сферическим пузырьком безразмерного радиуса x = 1; We — число Вебера. Функция Trd — безразмерное характерное время скорости роста пузырька (Trd > 0), которое зависит от режима массопереноса.
В этом подходе используются две разные процедуры усреднения для решения диффузионной задачи. Первая – обычное усреднение по безразмерному периоду Text акустического поля:
которое включено в функцию Trd. Вторая — процедура “нелинейного усреднения” в определенном нелинейном масштабе времени:
По сравнению с исследованием [29] в нашей работе не рассматривается эволюция размера пузырька в процессе массопереноса, а предполагается, что зародыш пузырька уже достиг результирующий устойчивый размер В результате скорость массопереноса (1.9) равна нулю, что позволяет рассмотреть равновесную диаграмму диффузионной устойчивости пузырька — см. рис. 3. Набор физических параметров и форма внешнего воздействия выбраны такими же, как введено ранее.
Рис. 3. Зависимость концентрации газа в жидкой ячейке от результирующего устойчивого размера пузырька для различных размеров жидкой ячейки в диапазоне ( ).
2. Анализ устойчивости
В качестве примера рассмотрен случай размера жидкой ячейки Rl 0 = 40 мкм (показано полыми кружками на рис. 3). Полное растворение пузырька любого размера ожидается при концентрации газа c∞ в диапазоне 0÷1.24% от csp (область I на рис. 3), где потоки массы из осциллирующего пузырька в среднем превышают потоки массы в пузырек.
Концентрация газа 1.25% от csp является пороговой, обеспечивающей формирование устойчивого ненулевого размера пузырька (или на рис. 3). Это означает, что при фиксированной концентрации газа в жидкости пузырек любого ненулевого размера изменяется так, что результирующий устойчивый размер пузырька будет равен Для концентрации газа c∞ превышающей 1.25% от csp, существует устойчивое состояние пузырька, которое зависит от определенного значения концентрации газа в жидкости (область II на рис. 3).
Как пример рассмотрен случай, когда концентрация газа c∞ равна 1.48% от csp (линия из точек, рис. 3). Этой концентрации газа соответствуют два значения радиуса пузырька: (или —ℜ— °b0 ≈ 0.16 на рис. 3, большой жирный круг) и (или —ℜ—•b0 ≈ 0.19 на рис. 3, большой закрашенный круг).
Радиус является неустойчивым, и пузыри с радиусом растворяются за счет диффузионного потока из пузырька в жидкость. Частичный рост наблюдается для пузырьков с радиусом которые будут расти до тех пор, пока не достигнут устойчивого радиуса Если размер пузырька больше пузырек сжимается до радиуса т. е. реализуется частичное растворение пузырька. Таким образом, размер пузырька является необходимым условием диффузионной устойчивости пузырька в ограниченной жидкости.
Полученные результаты качественно аналогичны результатам, представленным в работе [20], где авторы рассмотрели задачу массопереноса для осциллирующего пузырька при внешнем воздействии в модели бесконечной сжимаемой жидкости: при малой концентрации газа пузырек полностью растворяется в жидкости, а при большой концентрации газа, превышающей пороговую, пузырек имеет аттрактороподобное состояние, которое обеспечивает ненулевой результирующий устойчивый размер пузырька.
Следует отметить, что пузыри с радиусом растут, тогда как в работе [29] авторы показали, что пузырьки (зародыши) с начальным радиусом меньше растворяются независимо от величины концентрации газа в жидкости. На рис. 3 также представлен случай различных размеров ячеек жидкости в диапазоне Анализ показывает, что пороговый радиус пузырька не зависит от размера жидкой ячейки и равен тогда как пороговая концентрация газа увеличивается с уменьшением размера жидкой ячейки, что согласуется с результатами работы [29]. Ожидается, что последующее уменьшение размера жидкой ячейки потребует значительного увеличения концентрации газа для образования пузырька порогового размера.
Рисунок 3 может быть представлен также в пространстве параметров — см. рис. 4. Для фиксированной концентрации газа 1.25% от csp можно рассмотреть равновесную диаграмму поведения пузырька для различных размеров ячейки жидкости. Небольшие значения приводят к полному растворению пузырьков любого размера, тогда как при критическом значении возникает устойчивый радиус пузырька (). Диаграмма на рис. 4 содержит области роста (светлое закрашивание) и растворения (темное закрашивание), где устойчивые и неустойчивые состояния пузырька обозначены сходящимися и расходящимися стрелками соответственно. При этом результирующий устойчивый размер пузырька монотонно растет с увеличением размера жидкой ячейки, что также сопровождается расширением области роста.
Рис. 4. Пространство параметров для фиксированной концентрации газа 1.25% от csp (пунктирная линия на рис. 3).
Аналогичный подход был использован в работе [20] при рассмотрении необходимого условия для устойчивых колебаний пузырька с помощью — параметрического пространства. Следует отметить, что увеличение размера жидкой ячейки имеет такой же эффект, как и увеличение амплитуды давления внешней вынуждающей силы в бесконечной жидкости, что приводит к увеличению устойчивого размера пузырька.
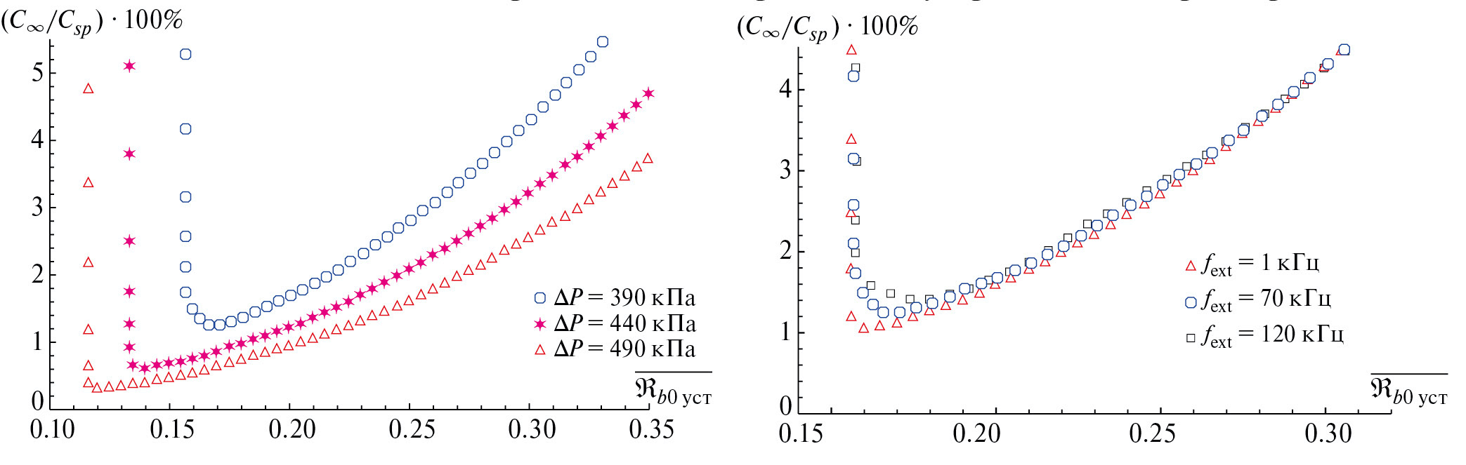
Случай различных амплитуд давления в диапазоне для и представлен на рис. 5а.
Рис. 5. Зависимость концентрации газа в жидкой ячейке от результирующего устойчивого размера пузырька для различных параметров внешнего воздействия: (а) –амплитуда давления в диапазоне (б) — частота в диапазоне
Анализ показывает, что по сравнению с изменением размера жидкой ячейки (см. рис. 3), уменьшение амплитуды давления приводит не только к увеличению пороговой концентрации газа, но и к образованию большего порогового радиуса пузырька. Это качественно согласуется с результатами работы [20], где авторы показали, что пороговая концентрация газа (как и соответствующий пороговый размер пузырька) увеличивается с уменьшением амплитуды давления внешней вынуждающей силы. На рис. 5б показан случай разных частот внешней вынуждающей силы в диапазоне для и При концентрации газа, превышающей 3% от csp, зависимость от частоты возбуждения отсутствует, и образующийся устойчивый пузырек формируется с одинаковым размером. Незначительное отличие возникает при небольшой концентрации газа, так что пороговая концентрация газа (как и пороговый радиус пузырька) имеет тенденцию к уменьшению с уменьшением частоты возбуждения.
3. Режимы динамики устойчивого пузыря
В предыдущем разделе было показано, что диффузионная устойчивость пузырька обеспечивается двумя режимами диффузии (частичный рост и частичное растворение). В текущем разделе рассматривается влияние концентрации газа в жидкой ячейке на переходную динамику пузырька, которая сопровождает формирование устойчивого пузырька.
Параметрическое пространство для концентраций газа и размера жидкой ячейки в диапазоне показано на рис. 6. Здесь диаграмма равновесия качественно соответствует усеченной зависимости на рис. 4, так как при данных концентрациях газа пороговый радиус пузырька формируется при меньшем размере жидкой ячейки, что выходит за рамки диапазона (см. рис. 3).
Рис. 6. Карта режимов динамики пузырька и равновесная диаграмма его поведения при различных концентрациях газа в ячейках жидкости размером Сплошной линией показаны пороговые состояния пузырька, обеспечивающие наличие/отсутствие кавитации в системе при фиксированной массе газа в пузырьке.
Неустойчивые состояния для обеих концентраций газа почти одинаковы и обозначены полыми кружками. Сплошная линия рассчитана с использованием подхода, разработанного в работе [28], где предполагается фиксированная масса газа в пузырьке (см. уравнение (27) в этой ссылке). Эта линия соответствует пороговым состояниям пузырька, которые делят параметрическое пространство на две области.
В первой, обозначенной как наличие кавитации, динамика пузырька характеризуется как возникновением, так и исчезновением кавитации, как это показано на рис. 2б, тогда как во второй области (отсутствие кавитации) кавитация полностью подавляется жидким микровключением, и колебания пузырька проходят нелинейным (невзрывным) образом, что аналогично поведению пузырька, представленному в работе [31].
Анализ показывает, что пузырек с размером будет подвергаться полному растворению при обеих концентрациях газа. В этом случае начальная динамика пузырька характеризуется явлениями кавитации, включающими возникновение и исчезновение кавитации.
В работе [29] авторы показали, что уменьшение массы газа в пузырьке приводит к повышению порога кавитации, и амплитуда давления внешнего воздействия становится недостаточной для возникновения кавитации, так что пузырек колеблется вокруг своего начального состояния нелинейным (невзрывным) образом. После этого поверхностное натяжение усиливает растворение пузырька в силу закона Генри, что приводит к полному растворению пузырька.
Режим частичного роста также реализуется для обеих концентраций газа при и ограничен устойчивым размером пузырька для соответствующего размера жидкой ячейки и концентрации газа в жидкости. С одной стороны, когда концентрация газа увеличение массы газа в пузырьке не приводит к заметному изменению его динамики, что обеспечивает возникновение кавитации в системе. С другой стороны, пузырек подвергается частичному растворению, когда его размер превышает устойчивый размер пузырька для соответствующего размера жидкой ячейки, как это показано на рис. 3.
Область, заключенная между устойчивыми размерами пузырька и сплошной линией (0.24 < —ℜ—b0 < 0.30), также характеризуется динамикой пузырька с возникновением кавитации. Следует отметить, что крупные пузырьки —ℜ—b0 > 0.30 осциллируют без возникновения кавитации. В результате в режиме частичного растворения переходная динамика пузырька реализуется таким образом, что начиная с относительно малых нелинейных колебаний уменьшение массы газа в пузырьке усиливает отклик пузырька на внешнее воздействие, и кавитация возникает в точке пересечения сплошной линии на рис. 6.
Другой случай переходной динамики пузырька представлен на рис. 6 для концентрации газа Здесь диффузионная устойчивость обеспечивается динамикой пузырька в отсутствие кавитации. В этом случае частичное растворение сопровождается нелинейной динамикой пузырька без резкого кавитационного роста. Однако в режиме частичного роста пузырек изначально подвергается кавитационному зарождению, которое непрерывно затухает и исчезает при пересечении сплошной линии.
Таким образом, концентрация газа в ограниченной жидкости оказывает существенное влияние на динамику пузырька, сопровождающую диффузионные режимы в системе пузырь–в–ячейке. При фиксированной концентрации газа диффузионные режимы, обеспечивающие диффузионную устойчивость (частичный рост и частичное растворение), могут формироваться при условии трех режимов динамики пузырька: 1) при наличии зарождения кавитации, 2) в условиях отсутствия кавитации и 3) прямом или обратном сочетании двух предыдущих динамических режимов. В результате концентрация газа играет роль управляющего параметра, который позволяет выбрать определенный режим динамики при формировании устойчивого пузырька.
4. Возможные приложения
Принимая во внимание теоретические выводы, полученные в настоящем исследовании, можно предположить, что диффузионные и динамические режимы пузырька в ограниченной жидкости имеют потенциал для дальнейшего изучения и использования в промышленных приложениях ультразвука. Возможные применения кратко обсуждаем далее.
Доставка лекарств
Переходная динамика пузырька напоминает его поведение в состоянии резонанса, когда наблюдается многократное увеличение радиуса пузырька при достижении определенного размера за счет ректифицированной диффузии при фиксированной частоте возбуждения. В этом случае расширение пузырька в ограниченной жидкости лимитируется конечным размером, что позволяет управлять динамикой пузырька по сравнению с взрывным его ростом при реальном резонансе.
Такое поведение может быть рассмотрено при изучении доставки лекарств, разработке стратегии смягчения последствий коллапса пузырьков в кровеносной сети с последующим разрушением стабилизирующей оболочки и высвобождением лекарственного препарата.
Переходная динамика пузырька также может быть полезна для инициирования химических и физических процессов, а также увеличения скорости химических реакций за счет эффектов массопереноса.
Дегазация эпоксидной смолы при производстве композитных материалов
Газообразные компоненты, растворенные в смоле при комнатных условиях, являются основным источником пузырьков, когда давление смолы оказывается ниже атмосферного. Этот механизм образования пузырьков представляет интерес при производстве композитных материалов с помощью технологии вакуумной инфузии смолы, где этапы инфузии и постзаполнения происходят при давлении значительно ниже атмосферного [33].
Наличие пузырьков в этом процессе может существенно ухудшить механические свойства композитных материалов. Для предотвращения образования пузырьков используют стандартную процедуру дегазации, при которой образцы смолы помещают в вакуумную камеру, и давление в ней снижается до заданного уровня. Тем не менее пузырьки воздуха все еще могут быть захвачены во время стадии пропитки из-за разницы в скоростях распространения смолы между волокнами армирующего материала.
Некоторые производители предпочитают нагревать смолу во время инфузии, так как это может помочь смоле течь за счет снижения вязкости, что также сокращает время отверждения [34]. В то же время вязкость смолы может постепенно увеличиваться за счет отверждения, особенно в местах застоя потока, что может иметь место в крупногабаритных композитных конструкциях со сложной геометрией [35]. В результате на этапе (пост-)заполнения, когда смола частично отверждена, пузырьки могут быть эффективно захвачены во временных образованиях жидких включений смолы внутри композитного образца. В этом случае акустическое излучение может локально воздействовать на смолу для растворения пузырьков при определенных условиях, обеспечивающих режим полного растворения.
Растворение пузырьков в канале с чернилами
Другой пример — пьезоакустическая струйная печать по требованию, где типичные динамические и геометрические параметры включают частоту возбуждения в диапазоне 10–100 кГц, давление в сопле, превышающее 150 кПа, чтобы обеспечить струйную печать с требуемыми скоростями, размер сопла диаметром и длиной около 20–30 мкм, диаметр капли около 20 мкм и др. [14].
Учитывая близость масштабов управляющих параметров в технологии струйной печати и в нашем исследовании, можно предположить, что диффузионные режимы потенциально могут быть реализованы при некоторых вспомогательных условиях, которыми являются несколько измененные управляющие параметры основной вынуждающей силы.
Подобная гипотеза была предложена в работе [14], где автор подчеркнул, что для оптимизации процесса струйной печати необходимо найти способы либо избежать захвата воздуха в канал с чернилами, либо избавиться от пузырька быстрее, чем его пассивное растворение, например путем подачи восстановительного импульса на пьезоэлектрический привод в ранней фазе после захвата пузырька.
Заключение
Рассмотрена диффузионная устойчивость осциллирующего сферического пузырька в сжимаемой сферической жидкой ячейке, окруженной бесконечно упругой твердой средой. Предполагается, что в жидкости имеется некоторое количество растворенного газа, который участвует в массопереносе за счет зависящего от времени периодического давления в твердом теле вдали от жидкой ячейки, обеспечивая возбуждение в системе.
Используется инженерное приближение, согласно которому рост/уменьшение пузырька рассматривается в среднем, так что за период внешнего воздействия масса газа в пузырьке заметно не меняется. Определяющее уравнение получено в предположении, что средний поток массы в пузырек равен нулю и размер пузырька в среднем остается постоянным при объемных колебаниях. Это позволяет рассмотреть равновесную диаграмму диффузионной устойчивости пузырька в ограниченной жидкости под действием внешней вынуждающей силы.
Выявлены три возможных режима диффузии: 1) полное растворение пузырька, 2) частичное его растворение и 3) частичный рост пузырька, где последние два режима соответствуют диффузионной устойчивости в системе пузырь–в–ячейке.
Анализ показывает, что режимы частичного растворения и частичного роста могут формироваться при условии трех динамических режимов пузырька: 1) при зарождении кавитации, где реализуются как ее возникновение, так и исчезновение; 2) при отсутствии кавитации, когда она полностью подавляется жидким микровключением и колебания пузырька проходят нелинейным (невзрывным) образом, и 3) при сочетании двух предыдущих динамических режимов, что соответствует переходной динамике пузырька с активацией/деактивацией зарождения кавитации. При этом концентрация растворенного газа в жидкости играет роль управляющего параметра, который позволяет регулировать режимом динамики при формировании устойчивого размера пузырька.
Рассмотрено влияние концентрации газа в жидкой ячейке на результирующий устойчивый размер пузырька при различных размерах жидкой ячейки, амплитудах давления и частотах внешнего воздействия. Полученные результаты сопоставлены с результатами случая устойчивых колебаний пузырька в звуковом поле давления в бесконечной жидкости.
Работа обеспечивает теоретическую основу для развития ультразвуковых технологий, связанных с приложениями массопереноса для пузырьков в ограниченных системах, а также проверки более сложных численных моделей и кодов.
ФИНАНСИРОВАНИЕ
Работа профинансирована из средств бюджета института (учреждения, организации). Никаких дополнительных грантов на проведение или руководство данным конкретным исследованием получено не было.
КОНФЛИКТ ИНТЕРЕСОВ
Авторы данной работы заявляют, что у них нет конфликта интересов.
About the authors
К. V. Leonov
Bashkir State Medical University
Author for correspondence.
Email: k.leonoff@inbox.ru
Russian Federation, Ufa
I. Sh. Akhatov
Bashkir State Medical University
Email: k.leonoff@inbox.ru
Russian Federation, Ufa
References
- Clift R., Grace J., Weber M. Bubbles, Drops and Particles. N. Y.: Academic Press, 1978. 380 p.
- Gondrexon N., Renaudin V., Boldo P., Gonthier Y., Bernis A., Pettier C. Degassing effect and gas-liquid transfer in a high frequency sonochemical reactor // J. Chem. Eng. 1997. V. 66(1). P. 21–26. https://doi.org/10.1016/S1385-8947(96)03124-5
- Kim W., Kim T.-H., Choi J., Kim H.-Y. Mechanism of particle removal by megasonic waves // Appl. Phys. Lett. 2009. V. 94 (8). P. 081908. https://doi.org/10.1063/1.3089820
- Lauterborn W., Kurz T. Physics of bubble oscillations // Rep. Prog. Phys. 2010. V. 73. P. 106501. https://doi.org/10.1088/0034-4885/73/10/106501
- Crum L.A., Mason T.J., Reisse J.L., Suslick K.S. Sonochemistry and Sonoluminescence. Springer Dordrecht. 1999. 404 p. https://doi.org/10.1007/978-94-015-9215-4
- Wang S.S., Jiao Z.J., Huang X.Y., Yang C., Nguyen N.T. Acoustically induced bubbles in a microfluidic channel for mixing enhancement // Microfluid Nanofluidics. 2009. V. 6. P. 847–852. https://doi.org/10.1007/s10404-008-0357-6
- Avvaru B., Venkateswaran N., Uppara P., Iyengar S.B., Katti S.S. Current knowledge and potential applications of cavitation technologies for the petroleum industry // Ultrason. Sonochem. 2018. V. 42. P. 493–507. https://doi.org/10.1016/j.ultsonch.2017.12.010
- Batchelor D.V.B., Armistead F.J., Ingram N., Peyman S.A., McLaughlan J.R., Coletta P.L., Evans S.D. The Influence of Nanobubble Size and Stability on Ultrasound Enhanced Drug Delivery // Langmuir. 2022. V. 38. P. 13943–13954. https://doi.org/10.1021/acs.langmuir.2c02303
- Marmottant P., Hilgenfeldt S. Controlled vesicle deformation and lysis by single oscillating bubbles // Nature. 2003. V. 423. P. 153–156. https://doi.org/10.1038/nature01613
- Coussios C.C., Roy R.A. Applications of Acoustics and Cavitation to Noninvasive Therapy and Drug Delivery // Annu. Rev. Fluid Mech. 2008. V. 40. P. 395–420. https://doi.org/10.1146/annurev.fluid.40.111406.102116
- Stride E., Coussios C. Nucleation, mapping and control of cavitation for drug delivery // Nat. Rev. Phys. 2019. V. 1. P. 495–509. https://doi.org/10.1038/s42254-019-0074-y
- Moreno Soto Á., Lohse D., Van der Meer D. Diffusive growth of successive bubbles in confinement // J. Fluid Mech. 2020. V. 882. P. A6. https://doi.org/10.1017/jfm.2019.806
- Hsieh D., Plesset M.S. Theory of Rectified Diffusion of Mass into Gas Bubbles // J. Acoust. Soc. Am. 1961. V. 33. P. 206–215. https://doi.org/10.1121/1.1908621
- Lohse D. Fundamental Fluid Dynamics Challenges in Inkjet Printing // Annu. Rev. Fluid Mech. 2022. V. 54. P. 349–382. https://doi.org/10.1146/annurev-fluid-022321-114001
- Reinten H., Jethani Y., Fraters A., Jeurissen R., Lohse D., Versluis M., Segers T. Resonance behavior of a compliant piezo-driven inkjet channel with an entrained microbubble // J. Acoust. Soc. Am. 2022. V. 151. P. 2545–2557. https://doi.org/10.1121/10.0009784
- Fraters A., van den Berg M., de Loore Y., Reinten H., Wijshoff H., Lohse D., Versluis M., Segers T. Inkjet Nozzle Failure by Heterogeneous Nucleation: Bubble Entrainment, Cavitation, and Diffusive Growth // Phys. Rev. Appl. 2019. V. 12. P. 064019. https://doi.org/10.1103/PhysRevApplied.12.064019
- Eller A., Flynn H.G. Rectified Diffusion during Nonlinear Pulsations of Cavitation Bubbles // J. Acoust. Soc. Am. 1965. V. 37. P. 493–503. https://doi.org/10.1121/1.1909357
- Fyrillas M.M., Szeri A.J. Dissolution or growth of soluble spherical oscillating bubbles // J. Fluid Mech. 1994. V. 277. P. 381–407. https://doi.org/10.1017/S0022112094002806
- Brenner M.P., Lohse D., Oxtoby D., Dupont T.F. Mechanisms for Stable Single Bubble Sonoluminescence // Phys. Rev. Lett. 1996. V. 76. P. 1158–1161. https://doi.org/10.1103/PhysRevLett.76.1158
- Akhatov I., Gumerov N., Ohl C.D., Parlitz U., Lauterborn W. The role of surface tension in stable single-bubble sonoluminescence // Phys. Rev. Lett. 1997. V. 78. P. 227–230. https://doi.org/10.1103/PhysRevLett.78.227
- Hilgenfeldt S., Brenner M.P., Grossmann S., Lohse D. Analysis of Rayleigh-Plesset dynamics for sonoluminescing bubbles // J. Fluid Mech. 1998. V. 365. P. 171–204. https://doi.org/10.1017/S0022112098001207
- Brenner M.P., Hilgenfeldt S., Lohse D. Single-bubble sonoluminescence // Rev. Mod. Phys. 2002. V. 74. P. 425–484. https://doi.org/10.1103/RevModPhys.74.425
- Church C.C. The effects of an elastic solid surface layer on the radial pulsations of gas bubbles // J. Acoust. Soc. Am. 1995. V. 97. P. 1510–1521. https://doi.org/10.1121/1.412091
- Obreschkow D., Kobel P., Dorsaz N., de Bosset A., Nicollier C., Farhat M. Cavitation bubble dynamics inside liquid drops in microgravity // Phys. Rev. Lett. 2006. V. 97. P. 094502. https://doi.org/10.1103/PhysRevLett.97.094502
- Fourest T., Laurens J.M., Deletombe E., Dupas J., Arrigoni M. Confined Rayleigh-Plesset equation for Hydrodynamic Ram analysis in thin-walled containers under ballistic impacts // Thin-Walled Struct. 2015. V. 86. P. 67–72. https://doi.org/10.1016/j.tws.2014.10.003
- Vincent O., Marmottant P. On the statics and dynamics of fully confined bubbles // J. Fluid Mech. 2017. V. 827. P. 194–224. https://doi.org/10.1017/jfm.2017.487
- Wang Q.X. Oscillation of a bubble in a liquid confined in an elastic solid // Phys. Fluids. 2017. V. 29. P. 072101. https://doi.org/10.1063/1.4990837
- Leonov K., Akhatov I. Dynamics of an externally driven cavitation bubble in an elastic microconfinement // Phys. Rev. E. 2021. V. 104. P. 015105. https://doi.org/10.1103/PhysRevE.104.015105
- Leonov K., Akhatov I. The influence of dissolved gas on dynamics of a cavitation bubble in an elastic micro-confinement // J. Heat Mass Transf. Res. 2022. V. 196. P. 123295. https://doi.org/10.1016/j.ijheatmasstransfer.2022.123295
- Doinikov A.A., Marmottant P. Natural oscillations of a gas bubble in a liquid-filled cavity located in a viscoelastic medium // J. Sound Vibr. 2018. V. 420. P. 61–72. https://doi.org/10.1016/j.jsv.2018.01.034
- Leonov K., Akhatov I. Towards a theory of dynamics of a single cavitation bubble in a rigid micro-confinement // Int. J. Multiph. Flow. 2020. V. 130. P. 103369. https://doi.org/10.1016/j.ijmultiphaseflow.2020.103369
- Brennen C.E. Cavitation and Bubble Dynamics. N.Y.: Cambridge University Press, 2013. 268 p. https://doi.org/10.1017/CBO9781107338760
- Van Oosterom S., Schreier A., Battley M., Bickerton S., Allen T. Influence of Dissolved Gasses in Epoxy Resin on Resin Infusion Part Quality // Compos. Part A Appl. Sci. Manuf. 2020. V. 132. P. 105818. https://doi.org/10.1016/j.compositesa.2020.105818
- Afendi Md, Banks W.M., Kirkwood D. Bubble free resin for infusion process // Compos. Part A Appl. Sci. Manuf. 2005. V. 36(6). P. 739–746. https://doi.org/10.1016/j.compositesa.2004.10.030
- Shevtsov S., Zhilyaev I., Chang S-H., Wu J-K., Huang J-P., Snezhina N. Experimental and Numerical Study of Vacuum Resin Infusion for Thin-Walled Composite Parts // Appl. Sci. 2020. V. 10(4). P. 1485. https://doi.org/10.3390/app10041485
Supplementary files








