Изменение профиля полихлорированных дибензо-п-диоксинов и дибензофуранов в процессе биоаккумуляции в яйцах кур на свободном выгуле
- Авторы: Кудрявцева А.Д.1, Шелепчиков А.А.1, Мир-Кадырова Е.Я.1, Бродский Е.С.1
-
Учреждения:
- Институт проблем экологии и эволюции им. А.Н. Северцова РАН
- Выпуск: № 1 (2023)
- Страницы: 93-102
- Раздел: ЭКОЛОГИЯ
- URL: https://medbiosci.ru/1026-3470/article/view/135508
- DOI: https://doi.org/10.31857/S1026347023010080
- EDN: https://elibrary.ru/IMFQJZ
- ID: 135508
Цитировать
Полный текст
Аннотация
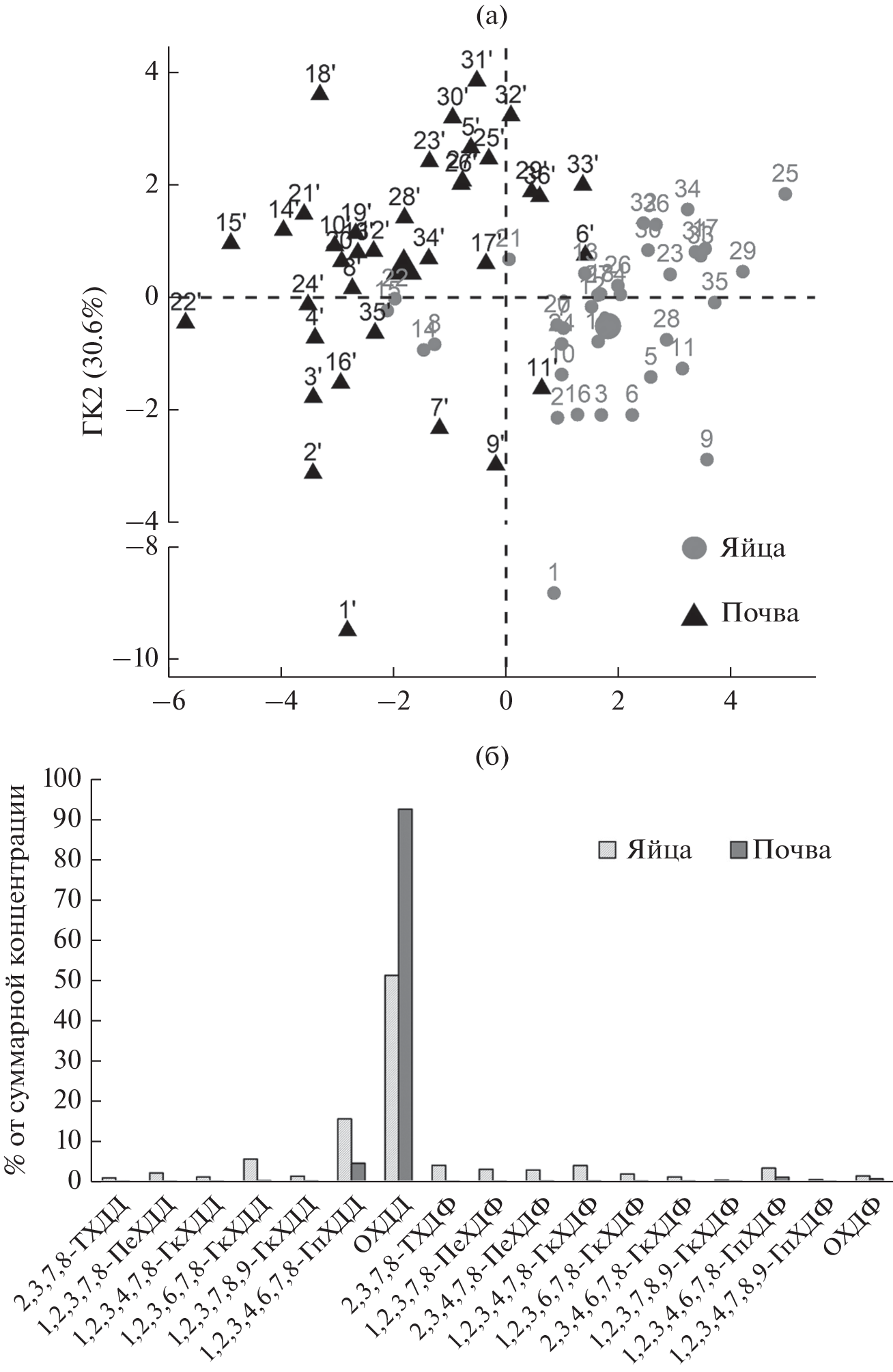
Проведено сравнение профилей ПХДД/Ф в яйцах кур на свободном выгуле и соответствующих почвах в частных хозяйствах Вьетнама. Основным направлением изменения профиля конгенеров ПХДД/Ф в процессе бионакопления в яйцах является относительное увеличение вкладов низкохлорированных конгенеров и снижение вклада ОХДД. Различия в профиле гексахлорированных конгенеров в яйцах и почве могут свидетельствовать о дополнительных источниках поступления ПХДД/Ф в яйца помимо почвы.
Об авторах
А. Д. Кудрявцева
Институт проблем экологии и эволюции им. А.Н. Северцова РАН
Автор, ответственный за переписку.
Email: a.kudryavtseva@sevin.ru
Россия, 119071, Москва, Ленинский пр-т, 33
А. А. Шелепчиков
Институт проблем экологии и эволюции им. А.Н. Северцова РАН
Email: a.kudryavtseva@sevin.ru
Россия, 119071, Москва, Ленинский пр-т, 33
Е. Я. Мир-Кадырова
Институт проблем экологии и эволюции им. А.Н. Северцова РАН
Email: a.kudryavtseva@sevin.ru
Россия, 119071, Москва, Ленинский пр-т, 33
Е. С. Бродский
Институт проблем экологии и эволюции им. А.Н. Северцова РАН
Email: a.kudryavtseva@sevin.ru
Россия, 119071, Москва, Ленинский пр-т, 33
Список литературы
- Бродский Е.С., Шелепчиков А.А., Фешин Д.Б., Румак В.С., Умнова Н.B., Кузнецов А.Н., Чинь Кхак Шау, Нгием Суан Чыонг, Павлов Д.С. Современный уровень диоксинового загрязнения Вьетнама в районе массированного распыления Оранжевого Агента // Докл. Акад. Наук. 2009. Т. 429. № 3. С. 425–429.
- Кудрявцева А.Д., Шелепчиков А.А., Бродский Е.С., Фешин Д.Б., Румак В.С. Cодержание диоксинов в яйцах птиц из различных районов Вьетнама // Вест. Москов. ун-та. Серия 16. Биология. 2015. С. 239–244.
- Окружающая среда и здоровье человека в загрязненных диоксинами регионах Вьетнама / Под ред. Румак В.С, Павлов Д.С., Софронов Г.А. М.: Товарищество научных изданий КМК. 2011. 271 с.
- Фешин Д.Б., Шелепчиков А.А., Бродский Е.C., Калинкевич Г.А., Мир-Кадырова Е.Я., Румак В.С., Павлов Д.С. Современный уровень ПХДД и ПХДФ в плаценте и грудном молоке жителей Вьетнама // Докл. Акад. Наук. 2008. Т. 423. № 4. С. 570–573.
- Aitchison J. The statistical analysis of compositional data. London–N.Y.: Chapman and Hall, 1986. 416 p.
- Andersson M., Nordin E., Jensen P. Domestication effects on foraging strategies in fowl // Appl. Behav. Sci. 2001. V. 72. № 1. P. 51–62.
- Assefa A., Tysklind M., Bignert A., Josefsson S., Wiberg K. Sources of polychlorinated dibenzo-p-dioxins and dibenzofurans to Baltic Sea herring // Chemosphere. 2019. V. 218. P. 493–500.
- Baker J.I., Hites R.A. Is combustion the major source of polychlorinated dibenzo-p-dioxins and dibenzofurans to the environment? A mass balance investigation // Envir. Sci.Tech. 2000. V. 34. № 14. P. 2879–2886.
- Bonn B.A. Polychlorinated dibenzo-p-dioxin and dibenzofuran concentration profiles in sediment and fish tissue of the Willamette basin, Oregon // Envir. Sci.Techn. 1998. V. 32. № 6. P. 729–735.
- Chang S.S., Lee W.J., Holsen T.M., Li H.W., Wang L.C., Chang-Chien G.P. Emissions of polychlorinated-p-dibenzo dioxin, dibenzofurans (PCDD/Fs) and polybrominated diphenyl ethers (PBDEs) from rice straw biomass burning // Atmosph. Envir. 2014. V. 94. P. 573–581.
- De Solla S.R. Exposure, bioaccumulation, metabolism and monitoring of persistent organic pollutants in terrestrial wildlife // Dioxin and Related Compounds. The Handbook of Envir. Chem. V. 49. Springer, Cham, 2015. P. 203–252.
- De Vries M., Kwakkel R.P., Kijlstra A. Dioxins in organic eggs: a review // NJAS – Wageningen J. Life Sciences. 2006. V. 54. № 2. P. 207–221.
- DiGangi J., Petrlík J. The egg report. 2005. P. 1–49. https://doi.org/sites/default/files/documents/ipen_egg_report-en.pdf
- Fiedler H. Dioxins and furans (PCDD/PCDF) The handbook of environmental chemistry V. 3, Part 0 Persistent Organic Pollutants / Ed. Fiedler H. Berlin; Heidelberg: Springer-Verlag, 2003. P. 123–201.
- Greenacre M. Compositional data analysis in practice. Boca Raton: CRC Press, 2018. 122 p.
- Hagenmaier H., Brunner H. Isomer-specific analysis of pentachlorophenol and sodium pentachlorophenate for 2,3,7,8-substituted PCDD and PCDF at sub-ppb levels // Chemosphere. 1987. V. 16. № 8/9. P. 1759–1764.
- Hagenmaier H., Lindig C., She J. Correlation of environmental occurrence of polychlorinated dibenzo-p-dioxins and dibenzofurans with possible sources // Chemosphere. 1994. V. 29. № 9–11. P. 2163–2174.
- Henriksson S., Bjurlid F., Rotander A., Engwall M., Lindström G., Westberg H., Hagberg J. Uptake and bioaccumulation of PCDD/Fs in earthworms after in situ and in vitro exposure to soil from a contaminated sawmill site // Sci. Total Envir. 2017. V. 580. P. 564–571.
- Johnson G.W., Hansen L.G., Coreen Hamilton M., Fowler B., Hermanson M.H. PCB, PCDD and PCDF congener profiles in two types of Aroclor 1254 // Envir. Toxicol. Pharmac. 2008. V. 25. № 2. P. 156–163.
- Kijlstra A., Traag W.A., Hoogenboom L.A.P. Effect of flock size on dioxin levels in eggs from chickens kept outside // Poultry Science. 2007. V. 86. № 9. P. 2042–2048.
- Kudryavtseva A.D, Shelepchikov A.A., Brodsky E.S. Free-range chicken eggs as a bioindicator of dioxin contamination in Vietnam, .including long-term Agent Orange impact // Emerg. Contam. 2020. V. 6. P. 114–123.
- Lemieux P.M, Lutes C.C., Abbott J.A., Aldous K.M. Emissions of polychlorinated dibenzo-p-dioxins and polychlorinated dibenzofurans from the open burning of household waste in barrels // Environ. Sci. Technology. 2000. V. 34. № 3. P. 377–384.
- Liu Y., Chen L., Zhao J., Wei Y., Pan Z., Meng X.Z., Huang Q., Li W. Polycyclic aromatic hydrocarbons in the surface soil of Shanghai, China: concentrations, distribution and sources // Org. Geochemistry. 2010. V. 41. № 4. P. 355–362.
- Lovett A.A., Foxal C.D., Creaser C.S., Chewe D. PCB and PCDD/DF concentrations in egg and poultry meat samples from known urban and rural locations in Wales and England // Chemosphere. 1998. V. 37. № 9–12. P. 1671–1685.
- Megson D., Dack S. Assessing changes to the congener profile of PCDD and PCDF during bioaccumulation in chicken and duck eggs // Proceedings of the 2011 INEF Conference on Environmental Forensics / Ed. Morrison R.D., O’Sullivan G. Cambridge, UK: RSC Publishing, 2011. P. 244–261.
- McKone T.E. Uncertainty and variability in human exposures to soil contaminants through home-grown food: a Monte Carlo assessment // Risk Analysis. 1994. V. 14. № 4. P. 449–463.
- Petreas M.X., Goldman L.R., Hayward D.G., Chang R.R., Flattery J.J., Wiesmüller T., Stephens R.D., Fry D.M., Rappe C., Bergek S., Hjelt M. Biotransfer and bioaccumulation of PCDD/PCDFs from soil: controlled exposure studies of chickens // Chemosphere. 1991. V. 23, № 11–12. P. 1731–1741.
- Pirard C., De Pauw E. Toxicokinetic study of dioxins and furans in laying chickens // Environment International. 2006. V. 32. № 4. P. 466–469.
- Piskorska-Pliszczynska J., Mikolajczyk S., Warenik-Bany M., Maszewski S., Strucinski P. Soil as a source of dioxin contamination in eggs from free-range hens on a Polish farm // Sci. Total Envir. 2014. V. 466–467. P. 447–454.
- Piskorska-Pliszczynska J., Strucinski P., Mikolajczyk S., Maszewski S., Rachubik J., Pajurek M. Pentachlorophenol from an old henhouse as a dioxin source in eggs and related human exposure // Envir. Pollution. 2016. V. 208. P. 404–412.
- R Core Team. R: A language and environment for statistical computing / R foundation for statistical computing. Vienna, Austria, 2018.
- Ross P.S., Jeffries S.J., Yunker M.B., Addison R.F., Ikonomou M.G., Calambokidis J.C. Harbor seals (Phoca Vitulina) in British Columbia, Canada, and Washington state, USA, reveal a combination of local and global polychlorinated biphenyl, dioxin, and furan signals // Envir. Toxicol. Chemistry. 2004. V. 23. № 1. P. 157–165.
- Schütz K.E., Jensen P. Effects of resource allocation on behavioural strategies: a comparison of red junglefowl (Gallus gallus) and two domesticated breeds of poultry // Ethology. 2001. V. 107. № 8. P. 753–765.
- Shields W.J., Saba T., Boehm P.D., Pietari J. Congeners. A forensic analysis // Introduction to environmental forensics / Eds Murphy B.L., Morrison R.D. Academic Press, 2015. P. 347–393.
- Sycheva L.P., Umnova N.V., Kovalenko M.A., Zhurkov V.S., Shelepchikov A.A., Roumak V.S. Dioxins and cytogenetic status of villagers after 40 years of agent Orange application in Vietnam // Chemosphere. 2016. V. 144. P. 1415–1420.
- Yuan Q., Sallach J.B., Rhodes G., Bach A., Crawford R., Li H., Johnston C.T., Teppen B.J., Kaminski N.E., Boyd S.A. Natural organic matter does not diminish the mammalian bioavailability of 2,3,7,8-tetrachlorodibenzo-p-dioxin // Chemosphere. 2021. V. 261. 8 p.
Дополнительные файлы








