Effect of pH on Cytomorphological Parameters of Erythrocytes of the Rana macrocnemis Tadpoles
- Authors: Gamidova D.M.1, Rabadanova A.I.1
-
Affiliations:
- Dagestan State University
- Issue: No 5 (2023)
- Pages: 520-530
- Section: ZOOLOGY
- URL: https://medbiosci.ru/1026-3470/article/view/135557
- DOI: https://doi.org/10.31857/S1026347022600443
- EDN: https://elibrary.ru/WCQFEG
- ID: 135557
Cite item
Full Text
Abstract
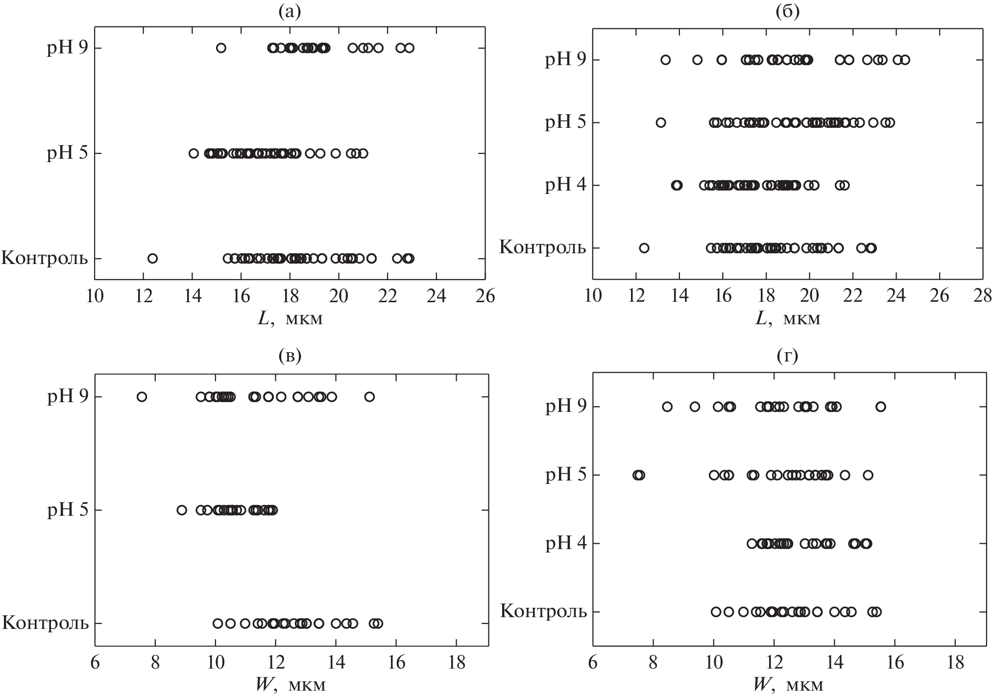
The article presents the results of studies of the effect of acidic (4.0, 5.0) and alkaline (9.0) pH values on cytomorphological parameters of erythrocytes of Rana macrocnemis tadpoles. The negative effect of pH 4.0 on the cytomorphological features of erythrocytes is shown, expressed in a decrease in their geometric parameters (area, volume), which leads to a deterioration of their function. Changes in the linear and geometric parameters of tadpole blood cells when exposed to pH 5.0 and 9.0 in both series of the experiment allow us to judge their focus on improving the efficiency of oxygen transport, that is, they are compensatory in nature.
Keywords
About the authors
D. M. Gamidova
Dagestan State University
Author for correspondence.
Email: Djamka_90@mail.ru
Russia, 367000, Makhachkala, 43a Magomed Gadzhiyev str.
A. I. Rabadanova
Dagestan State University
Email: Djamka_90@mail.ru
Russia, 367000, Makhachkala, 43a Magomed Gadzhiyev str.
References
- Аскендеров А.Д. Земноводные Дагестана: распространение, экология, охрана: дис. … канд. биол. наук. Ин-т экологии Волжского бассейна РАН, 2017. 223 с.
- Донкова Н.В., Рубай А.А. Цитологические и морфометрические особенности клеток крови тритона до и после тотальной резекции конечностей // Вестник КрасГАУ. 2017. № 6. С. 57–64.
- Сурова Г.С. Изменение абиотических условий при содержании головастиков с разной плотностью (на примере личинок травяной лягушки-Rana temporaria и серой жабы-Bufo bufo) // Совр. герпетология. 2010. Т. 10. № 1/2. С. 26–39.
- Замалетдинов Р.И., Назаров Н.Г., Свинин А.О., Дробот Г.П., Сальникова Е.Ю. Биохимические особенности периферической крови особей прудовой лягушки Pelophylax lessonae (Camerano, 1882) из популяций, населяющих водоемы города Казани // Известия высших учебных заведений. Поволжский регион. 2019. № 1(25). С. 41–49. https://doi.org/10.21685/2307-9150-2019-1-5
- Шварц С.С. Метод морфофизиологических индикаторов в экологии наземных позвоночных. Свердловск, 1968. 386 с.
- Arikan H. Anadolu’daki Rana ridibunda (Anura, Ranidae) populasyonlarinin kan hücrelerinin sayisi bakimindan incelenmesi // Turkish J. zoology, Ankara. 1989. V. 13. P. 54–59.
- Arikan H. Rana ridibunda (Anura, Ranidae) populasyonlari üzerinde morfolojik ve serolojik aratirmalar // Turkish J. zoology, Ankara. 1990. V. 14. P. 40–83.
- Arikan H., Çevik E.E., Kaya U., Mermer A. Anadolu’daki dag kurbagalarinda eritrosit ölçümleri // Anadolu university Journal of science and Technology, Eskiehir. 2001. V. 2. P. 387–391.
- Atatür M.K., Arikan H., Çevik E.E. Erythrocyte sizes of some anurans from Turkey // Turkish J. zoology, Ankara. 1999. V. 23. P. 111–114.
- Arserim S.K., Mermer A. Hematology of the Uludağ Frog, Rana macrocnemis Boulenger, 1885 in Uludağ National Park (Bursa, Turkey). E.U. Turk. // J. Fish. Aquat. 2008. Sc. 25. 39–46.
- Baraquet M. Intraspecific variation in erythrocyte sizes among populations of Hypsiboas cordobae (Anura: Hylidae) // Acta Herpetologica. 2013. № 8(2) P. 93–97. https://doi.org/10.13128/Acta_Herpetol-12954
- Baraquet M., Salas N.E., Martino A.L. Variation in the erythrocyte size among larvae, juveniles and adults of Hypsiboas cordobae(Anura, Hylidae) // Basic and Applied Herpetology. 2014. V. 28. P. 137–143. https://doi.org/10.11160/bah.12010
- Beebee T.J.C. Amphibian breeding and climate. Nature. 1995. V. 374. P. 219–220.
- Bondarieva A., Bibik Y.S., Samilo S.M., Shabanov D.A. Erythrocytes cytogenetic characteristics of green frogs from Siversky Donets centre of Pelophylax esculentus complex diversity // KarazinKharkiv Natl. Univ. Ser. Biol. 2012. V. 15. P. 116–123.
- Böhmer J., Rahmann H.Influence of surface water acidification on Amphibia // Fortsch. Zool. 1990. V. 38. P. 287–309.
- Claver J.A., Agustin I.E., Comparative Morphology, Development, and Function of Blood Cells in Nonmammalian Vertebrates // J. Ex. Pet Medicine. 2009. V. 18. P. 87–97. https://doi.org/10.1053/j.jepm.2009.04.006
- Cooke A.S. Tadpoles as indicators of harmful levels of pollution in the field // Environ. Pollut. 1981. V. 25. P. 23–133.
- Cummins C.P. Effects of aluminium and low pH on growth and development in Rana temporaria tadpoles // Qscologiab (Berlin). 1986. V. 69. P. 248–252.
- D’Amen M., Vignoli L., Bologna M.A. The effects of temperature and pH on the embryonic development of two species of Triturus (Caudata: Salamandridae) // Amphibia-Reptilia. 2007. V. 28. P. 295–300. https://doi.org/10.1163/156853807780202521
- Das M., Mahapatra P.K. Blood cell profiles of the tadpoles of the Dubois’s tree frog, Polypedates teraiensis Dubois, 1986 (Anura: Rhacophoridae) // Scientific World J. 2012. 701746. https://doi.org/10.1100/2012/701746
- Davis A.K. The use of leukocyte profiles to measure stress in vertebrates: a review for ecologist // Functional Ecology. 2008a. V. 22. P. 760–772. https://doi.org/10.1111/j.1365-2435.2008.01467.x
- Davis A.K. Ontogenetic changes in erythrocyte morphology in larval mole salamanders, Ambystoma talpoideum, measured with image analysis // Comp Clin Pathol. 2008б. V. 17. P. 23–28. https://doi.org/10.1007/s00580-007-0702-2
- Dönmez F., Tosunoğlu M., Gül Ç. Hematological values in hermaphrodite, Bufo bufo (Linnaeus, 1758) // NorthWestern J. Zoology. 2009. V. 5. P. 97–103.
- Freda J., Dunson W.A. Field and laboratory studies of ion balance and growth rates of Ranid tadpoles chronically exposed to low pH // Copeia 1985. P. 415˗423.
- Gao Z., Wang W., Abbas K., Zhou X., Yang Y., Diana J.S., Wang H., Wang H., Li Y., Sun Y. Haematological characterization of loach Misgurnus anguillicaudatus: Comparison among diploid, triploid and tetraploid specimens // Comp. Bio. Phys. A. 2007. V. 147. P. 1001–1008. https://doi.org/10.1016/j.cbpa.2007.03.006
- Gardner T. Declining amphibian population: a global phenomenon in conservation biology // Animal Biodiversity and Conservation. 2001. V. 24.2. P. 25–44.
- Gosner K.L. A simplified table for staging anuran embryos and larvae with notes on identification // Herpetologica. 1960. V. 16. P. 183–190.
- Gregory T.R. The bigger the value, the larger the cell: genome size and red blood cell size in vertebrates // Blood Cells, Molecules, and Diseases. 2001. V. 27. P. 830˗843. https://doi.org/10.1006/bcmd.2001.0457
- Grenat P.R., Bionda C.L., Salas N.E., Martino A.L. Variation in erythrocyte size between juveniles and adults of Odontophrynus americanus // Amphibia-Reptilia. 2009a. V. 30. P. 141–145.
- Grenat P.R., Salas N.E., Martino A.L. Erythrocyte size as diagnostic character for the identification of live cryptic Odontophrynus americanus and O. cordobae (Anura: Cycloramphidae) // Zootaxa. 2009b. V. 2049. P. 67–68. https://doi.org/10.11646/zootaxa.2049.1.3
- Griffiths R.A., de Wijer P. Differential effect of pH and temperature on embryonic development in the British newts (Triturus) // J. Zool., Lond. 1994. V. 234. P. 613–622.
- Kozlowski J., Czarnoleski M., François-Krassowska A., Maciak S., Pis T. Cell size is positively correlated between different tissues in passerine birds and amphibians, but not necessarily in mammals // Biol Lett. 2010. V. 6. P. 792–796. https://doi.org/10.1098/rsbl.2010.0288
- Mazanaeva L.F. The distribution of Amphibians in Daghestan // Advances in Amphibian Research in the Former Soviet Union. Sophia. 2000. V. 5. P. 141–156.
- Mueller R.L., Gregory T.R., Gregory S.M., Hsieh A., Boore J.L. Genome size, cell size, and the evolution of enucleated erythrocytes in attenuate salamanders // Zoology (Jena). 2008. V. 111(3). P. 218–230. https://doi.org/10.1016/j.zool.2007.07.010
- Muths E., Campbell D.H., Corn P.S. Hatching success in salamanders and chorus frog at two sites in Colorado USA: effects of acidic deposition and climate // Amphibia-Reptilia. 2003. V. 24. P. 27–36. https://doi.org/10.1163/156853803763806911
- Passantino L., Massaro M.A., Jirillo F., Modugno D. Di., Ribaud M.R., Modugno G.Di., Passantino G.F., Jirillo E. Antigenically activated avian erythrocytes release cytokine-like factors: a conserved phylogenetic function discovered in fish // Immunopharmacol Immunotoxicol. 2007. V. 29. P. 141–152. https://doi.org/10.1080/08923970701284664
- Pierce B.A., Wooten D.K. Acid tolerance of Ambystoma texanum from central Texas // J. Herp. 1992. V. 26. P. 230–232.
- Pough F.H., Wilson R.E. Acid precipitation and reproductive success of Ambystoma salamanders / Proc. Internat. Symp. Acid Rain and Forest Ecosystem 1. 1976. P. 531–544.
- Pounds J.A. Climate and amphibian declines // Nature. 2001. V. 410. P. 639–640. https://doi.org/10.1038/35070683
- Saber P.A., Dunson W.A. Toxicity of bog water to embryonic and larval anuran amphibians. J. Exp. Zool 1978. V. 204. P. 33–42.
- Zhelev Z.M., Angelov M.V., Mollov I.A. A Study of some metric parameters of the erythrocytes in Rana ridibunda (Amphibia: Anura) derived from an area of highly developed chemical industry // Acta Zool. Bulgar. 2006. V. 58. P. 235–244.
- Velcheva I., Arnaudov A., Gecheva G., Mollov I. A study on some physiological parameters of three hydrobiotic species under the influence of copper // Proceedings of 2nd International Symposium of Ecologists of Montenegro, Kotor. 2006. P. 155–161.
Supplementary files






