Spleen Morphogenesis during the Neonatal Period in Rats Exposed to Endocrine Disruptor DDT
- Authors: Yaglova N.V.1, Gagulaeva B.B.1, Obernikhin S.S.1, Timokhina E.P.1, Yaglov V.V.1
-
Affiliations:
- Avtsyn Research Institute of Human Morphology of the Petrovsky National Research Centre of Surgery
- Issue: No 3 (2024)
- Pages: 307-317
- Section: DEVELOPMENTAL BIOLOGY
- URL: https://medbiosci.ru/1026-3470/article/view/266047
- DOI: https://doi.org/10.31857/S1026347024030026
- EDN: https://elibrary.ru/VBBFDT
- ID: 266047
Cite item
Full Text
Abstract
Spleen morphogenesis during the neonatal period in rats exposed in prenatal and postnatal development to low doses of dichlorodiphenyltrichloroethane (DDT), a persistent universal pollutant with endocrine disrupting properties, was studied. More intensive formation of periarterial lymphoid sheaths and marginal zone and simultaneously decreased rate of B-cell differentiation in the spleen were revealed. A higher content of differentiating T-cells and a lower number of cytotoxic T-lymphocytes by the end of the first week of life indicates a decrease in the differentiation of the latter. A lower content of neutrophils in the marginal zone also indicates a delay in the rate of functional development of lymphoid tissue, as opposed to morphological, in rats developing under exposure to low doses of DDT.
Keywords
Full Text
Иммунная система организма развивается морфологически и функционально и в пренатальном, и в постнатальном периодах онтогенеза (Simon et al., 2015; Moraes-Pinto et al., 2021). Формирование миелоидных и лимфоидных клеточных линий начинается одним из первых в эмбриональном периоде, что делает их более уязвимыми для различных воздействий (Holladay, Smialowicz, 2000; Mc Grath et al., 2015). Известно, что на развитие иммунной системы зародыша оказывают влияние факторы окружающей среды, действующие на материнский организм, что вызывает изменения в темпах морфогенетических процессов, приобретении клетками иммунологической компетенции и параметрах реактивности иммунной системы (Яглова и др., 2012; Georgountzou, Papadopoulos, 2017; Apostol et al., 2020; Elter et al., 2020; Henneke et al., 2021). В настоящее время выраженность антропогенной нагрузки на окружающую среду значительна и во многом обусловлена персистированием фоновых доз системных поллютантов, большая часть которых не представляет угрозы как токсичные вещества, но является эндокринными дисрапторами (Guarnotta et al., 2018; Street et al., 2018). По данным мониторинга, накопление этих соединений в экосистемах негативно влияет на физиологию как позвоночных, так и беспозвоночных животных (Huang et al., 2019; Spaan et al., 2019; Cuvillier-Hot, Lenoir, 2020; Martiniuk et al., 2020; Кудрявцева и др., 2023). У некоторых из эндокринных дисрапторов помимо способности нарушать различные стадии синтеза гормонов и их взаимодействия с клетками-мишенями обнаружены и свойства изменять течение морфогенетических процессов, то есть способность влиять на деление, дифференцировку, миграцию и апоптоз клеток (La Merrill et al., 2020). Дисморфогенетические эффекты были обнаружены у полихлорированных дифенилов, оксибензонов, бисфенола А, дихлордифенилтрихлорэтана (ДДТ), тетрахлорбензодиоксинов и др. (Dickerson et al., 2011; Forte et al., 2016; La Plante et al., 2018; Yaglova et al., 2023; Yu et al., 2020.
Развитие органов и систем в условиях постоянной антропогенной нагрузки в виде эндокринных дисрапторов изучено в меньшей степени, чем их дисгормональные эффекты. Среди стойких системных поллютантов наибольшей распространенностью в экосистемах характеризуется ДДТ (Mansouri et al., 2017). Это связано не только с массивным использованием его в прошлом веке, но и активным применением в настоящее время для борьбы с переносчиками трансмиссивных заболеваний (World…, 2019). ДДТ, являясь низкомолекулярным липофильным соединением, способен не только депонироваться в организме, но и проникать через плацентарный барьер, обусловливая дисрапторный эффект на материнский организм и плод (Gerber et al., 2016; Xu et al., 2017). В наших предыдущих исследованиях мы установили дисморфогенетический эффект пренатального и постнатального действия низких доз ДДТ на развитие коркового и мозгового вещества надпочечников (Tsomartova et al., 2018; Yaglova et al., 2023). Результаты исследования показали, что ДДТ влияет на морфогенетические процессы не только во внутриутробном периоде, но и после рождения особи, что проявляется изменением экспрессии транскрипционных факторов, регулирующих пролиферацию и дифференцировку клеток (Yaglova et al., 2021 a, b). В научной литературе также имеются сведения о нарушениях анатомического развития мужской половой системы вследствие пренатального воздействия ДДТ (Bhatia et al., 2005). Эти данные указывают на возможное изменение морфогенетических процессов во многих органах. Эндокринная система, как известно, существенно влияет на морфогенез и функционирование органов иммунной системы (Carvalho et al., 2015; Самотруева и др., 2017). Следовательно, эндокринные дисрапторы могут изменять развитие центральных и периферических органов иммунной защиты, влияя как опосредованно через эндокринную, так и непосредственно, оказывая прямое дисморфогенетическое действие. Большие дозы ДДТ известны своими иммунотоксичными эффектами (Tebourbi et al., 1998; Dutta et al., 2008; Udoji et al., 2010). Воздействие низких доз также способно индуцировать апоптоз лимфоидных клеток (Yaglova et al., 2013). Влияние ДДТ на морфогенетические процессы в органах иммунной системы и его способность изменять программу их развития остаются открытыми вопросами.
Цель работы — изучение морфогенеза селезенки в неонатальном периоде у крыс, подвергавшихся воздействию низких доз ДДТ в пренатальном и постнатальном развитии.
МАТЕРИАЛЫ И МЕТОДЫ
Эксперимент выполнен на самцах крыс Вистар (n = 58). За животными, содержавшимися в виварии, осуществлялся уход по нормам и правилам обращения с лабораторными животными в соответствии с Международными рекомендациями по проведению медико-биологических исследований с использованием животных (1985 г.), правилами лабораторной практики в Российской Федерации (Приказ МЗ РФ от 19.06.2003 № 267) и законом «Об ответственном обращении с животными и о внесении изменений в отдельные законодательные акты Российской Федерации» (гл. V, статья 11 Федерального закона от 27.12.2018 № 498-ФЗ).
Крысы опытной группы (n = 28) были получены от самок (филиал «Столбовая» Научного центра биомедицинских технологий), которые с первого дня ссаживания с самцами в течение всей беременности и периода лактации вместо воды получали раствор о, п-ДДТ (концентрация 20 мкг/л). Потребляемые дозы ДДТ учитывались ежедневно. Потребление ДДТ самками в течение беременности и лактации составило 2.72±0.18 мкг/кг, что соответствует уровню потребления данного вещества населением с продуктами питания с учетом различий в метаболизме ДДТ человека и крысы (Yamazaki et al., 2010; Технический регламент Таможенного союза ТР ТС 021/2011, 2015). Самки крыс контрольной группы потребляли водопроводную воду. Отсутствие ДДТ и его метаболитов, а также родственных хлорорганических соединений в лабораторном корме и водопроводной воде было установлено методом газожидкостной хроматографии. Животных опытной и контрольной групп выводили из эксперимента передозировкой хлороформного наркоза в два этапа: в первые 6 часов после рождения и в возрасте 7 суток.
Определяли массу тела и массу селезенки с помощью аналитических весов («Сартогосм», Россия), а также рассчитывали относительную массу органа. Селезенку фиксировали в жидкости Буэна и после стандартной проводки изготавливали срезы, которые затем окрашивали гематоксилином и эозином. Для компьютерной морфометрии использовали программу ImageScope (Leica Microsystems, Германия).
Получали суспензию клеток селезенки. Клетки селезенки выделяли путем гомогенизации селезенки в среде RPMI 1640 («ПанЭко», Россия) с продавливанием через сетки с отверстиями 40 мкм для отделения от стромы. Клеточную взвесь дважды отмывали в той же среде центрифугированием 1000 х g, 5 мин. Доводили взвесь до концентрации 10 млн клеток в 1 мл. Проводили цитофлуориметрическое исследование клеток селезенки с использованием антител к антигенам CD45R, CD3, СD4, CD8, конъюгированных с флуорохромами (eBioscience, США) для определения содержания В-лимфоцитов и субпопуляций Т-клеток. Исследовали не менее 100000 клеток в каждом образце. Процедуру подготовки для цитофлуориметрического исследования проводили по стандартным протоколам. Для исследования использовали проточный цитометр FC500 (Beckman Coulter, Германия).
Полученные данные подвергали статистическому анализу с помощью программы Statistica 7.0 (Statsoft Inc., США). Для описания количественных признаков проводили анализ соответствия вида распределения признака закону нормального распределения с использованием критериев Колмогорова–Смирнова, Лиллиефорса, Шапиро–Уилка. Для описания центральных тенденций и рассеяния количественных признаков, имеющих приближенно нормальное распределение, использовали среднее значение и стандартную ошибку среднего значения (М ± m). Сравнение независимых групп по количественному признаку проводили с помощью t-критерия Стьюдента с учетом значений критерия Левена о равенстве дисперсий, по качественному признаку — с помощью χ2. Статистически значимыми различия считались при р < 0.01.
РЕЗУЛЬТАТЫ ИССЛЕДОВАНИЯ
Анатомические параметры развития селезенки крыс. У новорожденных животных контрольной группы селезенка представляла собой крупное продольное образование темно-красного цвета и была покрыта тонкой соединительнотканной оболочкой. Селезенка новорожденных крыс, развивавшихся при воздействии низких доз эндокринного дисраптора ДДТ, не имела анатомических отличий, ее масса, как абсолютная, так и относительная, соответствовала значениям контрольной группы (рис. 1). К концу первой недели жизни у крыс контрольной группы абсолютная масса селезенки увеличилась в 4 раза, относительная — в 2.5 раза. У крыс, развивавшихся при воздействии ДДТ, отмечалось аналогичное увеличение анатомических параметров.
Рис. 1. Изменения абсолютной (а) и относительной (б) масс селезенки в первую неделю жизни у крыс контрольной группы (1) и развивавшихся под воздействием низких доз ДДТ (2) (M ± m). ^ — статистически значимые отличия от соответствующих значений в 1-е сутки постнатального развития, * — от значений контрольной группы (р < 0.01)
Морфогенез белой пульпы селезенки. Селезенка новорожденных крыс контрольной группы состояла из сформированной ретикулярными клетками сетчатой структуры, включающей большое количество кровеносных сосудов. В центре органа встречалась, как правило, одна артериола, вокруг которой начинала формироваться лимфоидная муфта (рис. 2а, в).
Рис. 2. Характеристика белой пульпы у новорожденных крыс контрольной группы и развивавшихся под воздействием низких доз ДДТ: а — структура селезенки новорожденной крысы контрольной группы; б — структура селезенки крысы, подвергавшейся пре- и постнатальному воздействию низких доз ДДТ. Стрелками указаны формирующиеся ПАЛМ. Окраска гематоксилином и эозином. Ув. 100; в — количество лимфоидных муфт в срезе селезенки (M ± m); г — толщина лимфоидных муфт (M ± m). * — от значений контрольной группы (р < 0.01)
У крыс, развивавшихся при воздействии эндокринного дисраптора ДДТ, в центральной части селезенки встречались 2—3 артериолы, вокруг которых формировались лимфоидные муфты (рис. 2б, в). Толщина лимфоидных муфт была меньше, чем у крыс контрольной группы (рис. 2г).
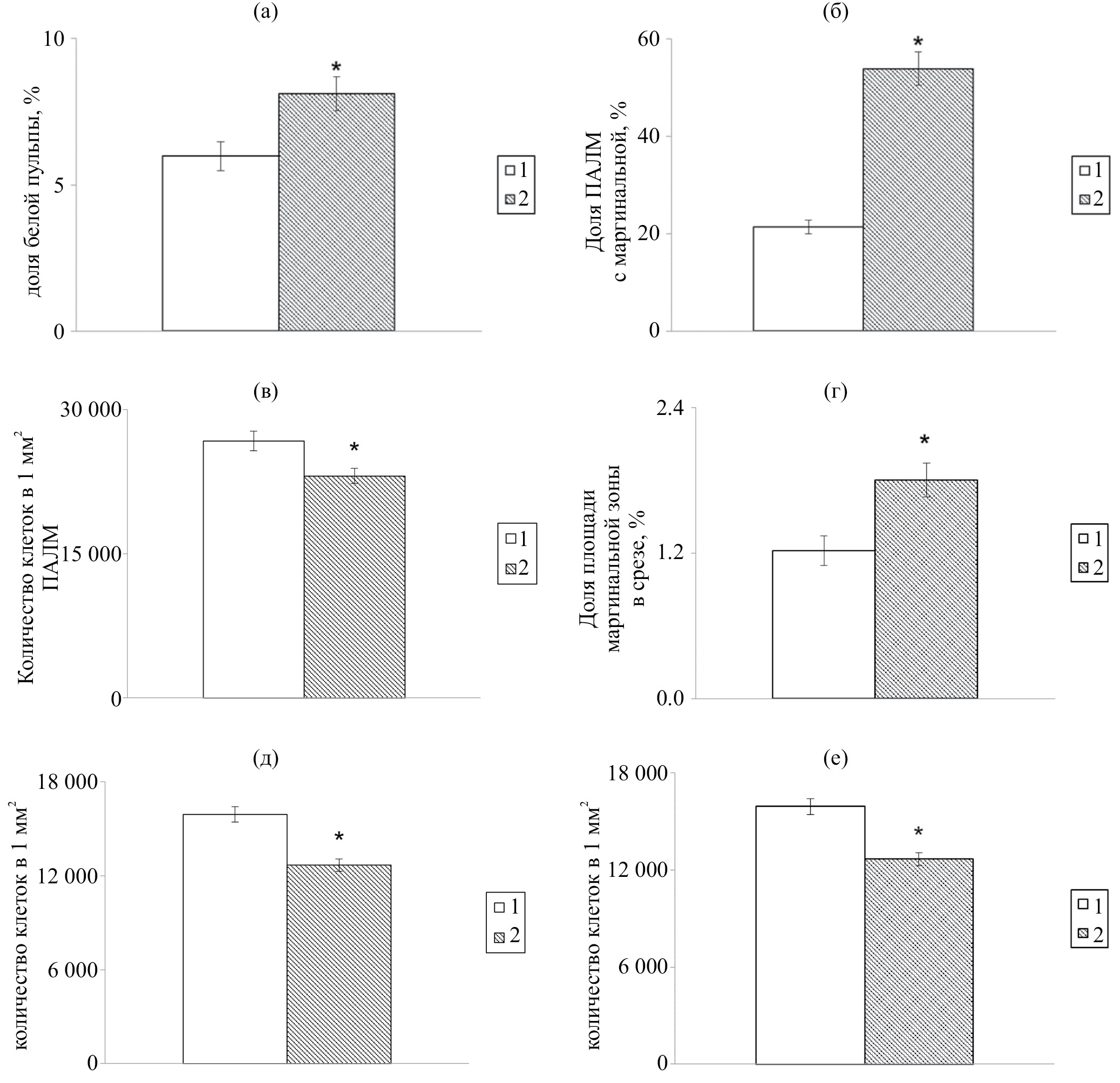
Через неделю у крыс контрольной группы в селезенке отчетливо выделялась белая пульпа, представленная плотно лежащими скоплениями лимфоцитов вокруг артериол (рис. 3а, в). У каждой четвертой лимфоидной муфты выявлялась формирующаяся маргинальная зона (рис. 3б). Маргинальная зона содержала мононуклеарные клетки и небольшое количество нейтрофилов (рис. 3е).
Рис. 3. Характеристика белой пульпы у 7-дневных крыс контрольной группы и развивавшихся под воздействием низких доз ДДТ (M ± m): а — доля белой пульпы в селезенке; б — доля ПАЛМ с маргинальной зоной; в — количество клеток в 1 мм2 ПАЛМ; г — доля площади маргинальной зоны в срезе селезенки; д — количество клеток в 1 мм2 маргинальной зоны; е — количество нейтрофилов в 1 мм2 маргинальной зоны. * — от значений контрольной группы (р < 0.01)
У крыс, развивавшихся при воздействии эндокринного дисраптора ДДТ, в аналогичном возрасте также отмечалось развитие периактериальных лимфоидных муфт (ПАЛМ) и формирование маргинальной зоны, но имелся ряд отличий. Белая пульпа была развита в большей степени (рис. 3а). Это было связано как с большими по размеру лимфоидными муфтами, так и с большей маргинальной зоной (рис. 3г). Маргинальная зона присутствовала у половины лимфоидных муфт (рис. 3б). Однако плотность клеток как в лимфоидных муфтах, так и в маргинальной зоне была меньшей, чем в контроле (рис. 3в, д). Отличительной особенностью маргинальной зоны крыс, подвергавшихся низкодозовому воздействию эндокринного дисраптора, было отсутствие нейтрофилов в маргинальной зоне (рис. 3е).
Динамика морфофункциональных характеристик красной пульпы селезенки. У новорожденных крыс контрольной группы красная пульпа содержала большое количество мононуклеарных гемопоэтических клеток (рис. 4а). Полиморфноядерные клетки встречались реже (рис. 4б). В наружной части органа наблюдалось скопление эритроцитов. Также в селезенке новорожденных крыс контрольной группы встречалось небольшое количество мегакариоцитов (рис. 4в). Соединительнотканные трабекулы в селезенке были не сформированы (рис. 2а).
Рис. 4. Морфофункциональные характеристики красной пульпы селезенки в первую неделю жизни у крыс контрольной группы и развивавшихся под воздействием низких доз ДДТ (M ± m): а — общее количество клеток в 1 мм2 красной пульпы; б — количество нейтрофилов в 1 мм2 красной пульпы; в — количество мегакариоцитов в 1 мм2 красной пульпы. * — от значений контрольной группы (р < 0.01)
В селезенке новорожденных крыс, развивавшихся при воздействии эндокринного дисраптора ДДТ, также наблюдалось большое число гемопоэтических клеток. Общая численность клеток не отличалась от значений контрольной группы (рис. 4а), но гранулоциты встречались крайне редко (рис. 4б). Количество мегакариоцитов в селезенке не имело существенных отличий от контрольных значений (рис. 4в). Трабекулы в структуре селезенки не выявлялись (рис. 2б).
Через неделю у крыс контрольной группы в красной пульпе селезенки появились тонкие соединительнотканные трабекулы. Содержание клеток в красной пульпе увеличилось по сравнению с предыдущим сроком в среднем на 20 %, однако процентное содержание нейтрофилов значительно уменьшилось (рис. 4а, б). Численность мегакариоцитов, напротив, возросла (рис. 4в).
У крыс, развивавшихся при воздействии эндокринного дисраптора ДДТ, в конце первой недели жизни в красной пульпе также наблюдалось формирование трабекул и увеличение содержания клеток. При этом уменьшения содержания нейтрофилов не происходило, вследствие чего их процент превысил значения контрольной группы. Численность мегакариоцитов в единице площади красной пульпы увеличилась с возрастом и не отличалась от значений контрольной группы (рис. 4).
Возрастная динамика субпопуляционного состава лимфоцитов селезенки. Цитофлуориметрическое исследование показало, что у новорожденных крыс контрольной группы третью часть клеток суспензии клеток селезенки составляют CD45R+-клетки, то есть дифференцированные В-лимфоциты, а содержание Т-клеток примерно в десять раз меньше (рис. 5а, б). Дифференцированные CD3+CD8+ цитотоксические лимфоциты составляли 40 % Т-клеток. На долю CD3+CD4+ Т-хелперов приходилось чуть более четвертой части. Оставшиеся Т-клетки являлись дифференцирующимися CD3+CD4+CD8+-лимфоцитами (рис. 6). У новорожденных крыс, развивавшихся при воздействии эндокринного дисраптора, содержание В-лимфоцитов было в два раза меньше (рис. 5а). Содержание Т-клеток было меньше на треть (рис. 5б). Но соотношение Т-цитотоксических, Т-хелперных и дифференцирующихся субпопуляций Т-клеток не отличалось от значений контрольной группы (рис. 6).
Рис. 5. Возрастная динамика содержания (а) В- и (б) Т-лимфоцитов селезенки крыс контрольной группы и развивавшихся под воздействием низких доз ДДТ (M ± m). * — от значений контрольной группы (р < 0.01)
Рис. 6. Возрастная динамика субпопуляционного состава Т-лимфоцитов селезенки крыс контрольной группы и развивавшихся под воздействием низких доз ДДТ (M ± m). * — от значений контрольной группы (р < 0.01)
В возрасте 7 суток у крыс контрольной группы выявлено двукратное снижение доли В-клеток в суспензии клеток селезенки (рис. 5а). Содержание Т-клеток увеличилось более чем в три раза (рис. 5б). Произошли существенные изменения в популяции Т-клеток. Доля Т-цитотоксических лимфоцитов уменьшилась, а Т-хелперов увеличилась. Значительно снизилось содержание дифференцирующихся двойных позитивных Т-клеток (рис. 6).
У крыс, развивавшихся при воздействии эндокринного дисраптора, в конце первой недели жизни содержание В-клеток в суспензии клеток селезенки незначительно снизилось и было меньше, чем в контрольной группе (рис. 5а). Численность Т-клеток значительно повысилась, но не достигла значений возрастного контроля (рис. 5б). Доля Т-хелперов в популяции Т-клеток увеличилась и не отличалась от значений контрольной группы, а доля Т-цитотоксических лимфоцитов была меньше, чем в контроле. Процент дифференцирующихся двойных позитивных клеток вдвое превышал значения контрольной группы (рис. 6).
ОБСУЖДЕНИЕ РЕЗУЛЬТАТОВ
Известно, что из-за короткого срока внутриутробного развития у грызунов формирование паренхимы селезенки происходит в течение двух недель после рождения особи (Holladay, Smialowicz, 2000). В этот период селезенка также является активным очагом экстрамедуллярного кроветворения (Losco, 1992; Massberg et al., 2007). Проведенное исследование показало, что процессы, происходящие в селезенке в течение первой недели жизни интактных и развивавшихся в условиях низко дозового воздействия ДДТ крыс, имеют отличия как в процессах формирования лимфоидных образований, так и гемопоэза.
Первым этапом формирования лимфоидных образований в селезенке является образование примитивной ПАЛМ, состоящей в основном из Т-лимфоцитов. У крыс, развивавшихся в условиях воздействия низких доз ДДТ, этот процесс происходил более интенсивно, о чем свидетельствовало большее количество лимфоидных муфт. Их меньшая толщина объясняется тем, что формирующие ПАЛМ Т-клетки являются иммигрантами из тимуса, то есть их количество было ограничено, но распределение их среди большего количества артериол свидетельствует о более активном выделении хемокинов стромальными клетками селезенки (Cheng et al., 2019). Цитофлуориметрический анализ показал адекватное контролю содержание Т-клеток в селезенке, что также указывает на более выраженную продукцию хемоаттрактантов, чем более активную иммиграцию Т-лимфоцитов из тимуса. К концу первой недели жизни у ПАЛМ селезенки крыс обеих групп начинала формироваться маргинальная зона, что соответствует литературным данным о начале образования маргинальной зоны в 5—10-е сутки постнатального развития (Takeya, Takahashi, 1992; Kraal, Mebius, 2006). У крыс, подвергавшихся воздействию эндокринного дисраптора, маргинальная зона развивалась также более интенсивно. Это означает, что у крыс, подвергавшихся воздействию ДДТ, более активно формируются зоны контакта иммунокомпетентных клеток с антигеном (Haley, 2017). В маргинальной зоне содержатся макрофаги, маргинальные металлофильные макрофаги и В-клетки маргинальной зоны, а также транзитные клетки крови, включая лимфоциты и нейтрофилы. Появление нейтрофильных гранулоцитов в селезенке начинается еще во внутриутробном периоде и продолжается после рождения особи, что связано с колонизацией кишечника микрофлорой и поступлением липополисахаридов в системный кровоток (Puga et al., 2011). В маргинальной зоне нейтрофилы участвуют в стимуляции синтеза нейтрализующих бактериальные антигены иммуноглобулинов В-клетками (Puga et al., 2011). У крыс контрольной группы в маргинальной зоне присутствовали нейтрофилы, что свидетельствует о начале формирования иммунного процесса, связанного с поступлением бактериальных антигенов собственной микрофлоры в кровоток. У крыс, развивавшихся при воздействии низких доз ДДТ, меньшая плотность клеток в маргинальной зоне могла быть связана с ее большей площадью, но отсутствие в ней нейтрофилов указывает на замедление формирования реакции иммунокомпетентных органов на антигены. Возможной причиной пониженного содержания нейтрофилов может быть и меньшая интенсивность гранулоцитопоэза в селезенке. Но результаты исследования позволяют исключить эту гипотезу, поскольку общее число гемопоэтических клеток и мегакариоцитов в единице площади красной пульпы не имело отличий, а содержание гранулоцитов в ней в три раза превышало значения контрольной группы. Также можно предположить, что отсутствие нейтрофилов в маргинальной зоне обусловлено незрелостью лимфоцитов. Цитофлуориметрическое исследование лимфоцитов показало меньшее содержание дифференцированных В- и Т-клеток в селезенке крыс, подвергавшихся воздействию ДДТ, к концу первой недели постнатального развития, что позволяет считать его наиболее вероятной причиной отсутствия нейтрофилов в маргинальной зоне.
Оценивая кроветворную функцию селезенки, необходимо отметить, что у крыс, подвергавшихся воздействию эндокринного дисраптора, содержание гемопоэтических клеток в красной пульпе не отличалось от значений контрольной группы в обоих возрастах. Однако исследование субпопуляционного состава лимфоцитов показало значительно меньшее содержание В-клеток как у новорожденных, так и у 7-дневных крыс. Также важным отличием было отсутствие характерного снижения численности дифференцированных В-клеток к 7-м суткам, ярко выраженного в контрольной группе и связанного с постепенной элиминацией материнских лимфоцитов после рождения (Henneke et al., 2021). Поскольку В-клетки созревают именно в селезенке, то эти данные позволяют считать скорость дифференцировки В-клеток пониженной. Исследование Т-клеточной популяции лимфоцитов показало увеличение их содержания в селезенке к концу первой недели жизни. У новорожденных были выявлены и двойные позитивные Т-клетки, и Т-хелперы, и Т-цитотоксические лимфоциты, причем последние явно превалировали среди CD3-положительных клеток. Двойные позитивные Т-лимфоциты являются уменьшающейся в процессе развития субпопуляцией за счет увеличения доли дифференцированных Т-клеток, но постоянно обнаруживаются в селезенке и, соответственно, периферической крови половозрелых крыс (Trama et al., 2012). В нашем исследовании их высокая относительная численность среди Т-клеток была обусловлена низким содержанием последних в селезенке. Результаты исследования показали, что увеличение численности Т-клеток к концу 1-й недели жизни было обусловлено в основном усилением миграции Т-хелперов в селезенку, что свидетельствует об активации дифференцировки именно этой субпопуляции Т-лимфоцитов в тимусе в первую неделю постнатального развития. Известно, что первая волна тимопоэза начинается на 15—20 сутки внутриутробного развития, что обусловливает появление единичных, в том числе дифференцирующихся, Т-клеток в периферических лимфоидных органах, затем, на вторые сутки постнатального периода, начинается процесс выселения, который в течение последующих нескольких суток обеспечивает периферическую экспансию Т-клеток (Klein, Horejsi, 1997). У крыс, развивавшихся при воздействии эндокринного дисраптора ДДТ, этот процесс был менее выражен, что указывает на меньшую миграцию тимоцитов в селезенку. Морфометрическое исследование Т-зависимой зоны ПАЛМ показало, что ее большие размеры обусловлены пониженной плотностью расположения лимфоцитов. Анализ субпопуляций Т-клеток показал отсутствие различий в содержании Т-хелперов и Т-цитотоксических лимфоцитов, а также двойных позитивных Т-лимфоцитов у новорожденных. Но к 7-м суткам были выявлены явные изменения, связанные с замедлением дифференцировки Т-цитотоксических лимфоцитов из двойных позитивных тимоцитов в тимусе и ускоренной иммиграцией последних в селезенку.
ЗАКЛЮЧЕНИЕ
Воздействие низких доз эндокринного дисраптора ДДТ на развивающийся организм изменяет морфогенез селезенки в неонатальном периоде, обусловливая более интенсивное формирование периартериальных лимфоидных муфт и одновременно снижая дифференцировку В-лимфоцитов в ней. В конце первой недели постнатального развития наряду с нормальным содержанием Т-хелперов в селезенке наблюдается уменьшение численности Т-цитотоксических лимфоцитов, что свидетельствует о снижении их дифференцировки. Меньшее содержание нейтрофилов в маргинальной зоне также указывает на замедленные темпы функционального развития лимфоидных образований, в отличие от морфологического, у крыс, развивавшихся при воздействии низких доз ДДТ.
ФИНАНСИРОВАНИЕ РАБОТЫ
Работа выполнена по гранту РНФ № 23-25-00012.
СОБЛЮДЕНИЕ ЭТИЧЕСКИХ СТАНДАРТОВ
Протокол локальной этической комиссии № 28(4) от 27 октября 2021 г.
КОНФЛИКТ ИНТЕРЕСОВ
Авторы данной работы заявляют, что у них нет конфликта интересов.
About the authors
N. V. Yaglova
Avtsyn Research Institute of Human Morphology of the Petrovsky National Research Centre of Surgery
Author for correspondence.
Email: yaglova@mail.ru
Russian Federation, Moscow
B. B. Gagulaeva
Avtsyn Research Institute of Human Morphology of the Petrovsky National Research Centre of Surgery
Email: yaglova@mail.ru
Russian Federation, Moscow
S. S. Obernikhin
Avtsyn Research Institute of Human Morphology of the Petrovsky National Research Centre of Surgery
Email: yaglova@mail.ru
Russian Federation, Moscow
E. P. Timokhina
Avtsyn Research Institute of Human Morphology of the Petrovsky National Research Centre of Surgery
Email: yaglova@mail.ru
Russian Federation, Moscow
V. V. Yaglov
Avtsyn Research Institute of Human Morphology of the Petrovsky National Research Centre of Surgery
Email: yaglova@mail.ru
Russian Federation, Moscow
References
- Кудрявцева А. Д., Шелепчиков А. А., Мир-Кадырова Е.Я., Бродский Е. С. Изменение профиля полихлорированных дибензо-п-диоксинов и дибензофуранов в процессе биоаккумуляции в яйцах кур на свободном выгуле // Изв. РАН. Сер. биол. 2023. № 1. С. 93—102.
- Самотруева М. А., Ясенявская А. Л., Цибизова А. А., Башкина О. А., Галимзянов Х. М., Тюренков И. Н. Нейроиммуноэндокринология: современные представления о молекулярных механизмах // Иммунология. 2017. Т. 38. № 1. С. 49—59.
- Технический регламент Таможенного союза ТР ТС 021/2011 «О безопасности пищевой продукции». СПб.: ГИОРД, 2015. 176 с.
- Яглова Н. В., Обернихин С. С., Богданова И. М. Снижение противоопухолевого иммунитета у потомства как следствие активации иммунной системы материнского организма в ранние сроки беременности // Российский иммунологический журнал. 2012. Т. 6. № 4. С. 357—362.
- Apostol A. C., Jensen K. D.C., Beaudin A. E. Training the fetal immune system through maternal inflammation — a layered hygiene hypothesis // Front. Immunol. 2020. V. 11. Art. 123.
- Bhatia R., Shiau R., Petreas M., Weintraub J. M., Farhang L., Eskenazi B. Organochlorine pesticides and male genital anomalies in the child health and development studies // Environ. Health Perspect. 2005. V. 113. № 2. Р. 220—224.
- Carvalho L.A., Gerdes J.M., Strell C., Wallace G. R., Martins J.O. Interplay between the endocrine system and immune cells // Biomed. Res. Int. 2015. V. 2015. Art. 986742.
- Cheng H. W., Onder L., Novkovic M., Soneson C., Lütge M., Pikor N., Scandella E., Robinson M. D., Miyazaki J. I., Tersteegen A., Sorg U., Pfeffer K., Rülicke T., Hehlgans T., Ludewig B. Origin and differentiation trajectories of fibroblastic reticular cells in the splenic white pulp // Nat. Commun. 2019. V.10. № 1. Art. 1739.
- Cuvillier-Hot V., Lenoir A. Invertebrates facing environmental contamination by endocrine disruptors: Novel evidences and recent insights // Mol. Cell. Endocrinol. 2020. V. 504. Art. 110712.
- Dickerson S.M., Cunningham S.L., Patisaul H.B., Woller M.J., Gore A.C. Endocrine disruption of brain sexual differentiation by developmental PCB exposure // 2011. Endocrinology. V. 152. P. 581—594.
- Dutta R., Mondal A. M., Arora V., Nag T. C., Das N. Immunomodulatory effect of DDT (bis[4-chlorophenyl]-l, l, l- trichloroethane) on complement system and macrophages // Toxicology. 2008. V. 84. № 12. Р.957—966.
- Elter E., Wagner M., Buchenauer L., Bauer M., Polte T. Phthalate exposure during the prenatal and lactational period increases the susceptibility to rheumatoid arthritis in mice // Front. Immunol. 2020. V. 11. Art. 550.
- Forte M., Mita L., Cobellis L., Merafina V., Specchio R., Rossi S., Mita D.G., Mosca L., Castaldi M.A., De Falco M., Laforgia V., Crispi S. Triclosan and bisphenol А affect decidualization of human endometrial stromal cells // Mol. Cell. Endocrinol. 2016. V. 422. P. 74—83.
- Georgountzou A., Papadopoulos N. G. Postnatal innate immune development: from birth to adulthood // Front. Immunol. 2017. V. 8. Art. 957.
- Gerber R., Smit N. J., Van Vuren J. H., Nakayama S. M., Yohannes Y. B., Ikenaka Y., Ishizuka M., Wepener V. Bioaccumulation and human health risk assessment of DDT and other organochlorine pesticides in an apex aquatic predator from a premier conservation area // Sci. Total Environ. 2016. V. 550. P. 522—533.
- Guarnotta V., Amodei R., Frasca F., Aversa, A., Giordano C. Impact of chemical endocrine disruptors and hormone modulators on the endocrine system // Int. J. Mol. Sci. 2022. V. 23. 5710
- Haley P. The lymphoid system: a review of species differences. J. Toxicol. Pathol. 2017. V. 30. P. 111—123.
- Henneke P., Kierdorf K., Hall L. J., Sperandio M., Hornef M. Perinatal development of innate immune topology // Elife. 2021. V. 10. e67793.
- Holladay S.D., Smialowicz R.J. Development of the murine and human immune system: differential effects of immunotoxicants depend on time of exposure // Environ. Health Perspect. 2000. V. 108. Suppl 3. P. 463—473.
- Huang Y., Li W., Qin L., Xie X., Gao B., Sun J., Li A. Distribution of endocrine disrupting chemicals in colloidal and soluble phases in municipal secondary effluents and their removal by different advanced treatment processes // Chemosphere. 2019. V. 219, P. 730—739.
- Klein J., Horejsi V. Immunology, 2nd edn. Oxford: Blackwell Science, 1997. 772р.
- Kraal G., Mebius R. New insights into the cell biology of the marginal zone of the spleen // Int. Rev. Cytol. 2006. V. 250. P. 175—215.
- La Merrill M.A., Vandenberg L.N., Smith M.T., Goodson W., Browne P., Patisaul H.B., Guyton K.Z., Kortenkamp A., Cogliano V.J., Woodruff T.J., Rieswijk L., Sone H., Korach K.S., Gore A.C., Zeise L., Zoeller R.T. Consensus on the key characteristics of endocrine-disrupting chemicals as a basis for hazard identification // Nat. Rev. Endocrinol. 2020. V. 18. P. 45—57.
- LaPlante C.D., Bansal R., Dunphy K. A., Jerry D. J., Vandenberg L.N. Oxybenzone alters mammary gland morphology in mice exposed during pregnancy and lactation // J. Endocr. Soc. 2018. № 2. Р. 903—921.
- Losco P. Normal development, growth, and aging of the spleen // Pathobiology of the aging rat. V. 1 / Eds Mohr U., Dungworth D. L., Capen C. C. Washington: ILSI Press, 1992. P. 75—94.
- Mansouri A., Cregut M., Abbes C., Durand M.-J., Landoulsi A., Thouand G. The environmental issues of DDT pollution and bioremediation: a multidisciplinary review // Appl. Biochem. Biotechnol. 2017. V. 181. P. 309—339.
- Martyniuk C. J., Mehinto A. C., Denslow N. D. Organochlorine pesticides: Agrochemicals with potent endocrine-disrupting properties in fish // Mol. Cell. Endocrinol. 2020. V. 507. Art. 110764.
- Massberg S., Schaerli P., Knezevic-Maramica I., Kollnberger M., Tubo N., Moseman E. A., Huff I. V., Junt T., Wagers A. J., Mazo I. B., von Andrian U. H. Immunosurveillance by hematopoietic progenitor cells trafficking through blood, lymph, and peripheral tissues // Cell. 2007. V. 131. P. 994—1008.
- McGrath K.E., Frame J.M., Fegan K.H., Bowen J.R., Conway S.J., Catherman S.C., Kingsley P.D., Koniski A.D, Palis J. Distinct sources of hematopoietic progenitors emerge before HSCs and provide functional blood cells in the mammalian embryo // Cell Reports. 2015. V. 11. P. 1892—1904.
- Moraes-Pinto M.I., Suano-Souza F., Aranda C.S. Immune system: development and acquisition of immunological competence // J. Pediatr. (Rio J). 2021. V. 97. Suppl. 1 P. S59–S66.
- Puga I., Cols M., Barra C.M., He B., Cassis L., Gentile M., Comerma L., Chorny A., Shan M., Xu W., Magri G., Knowles D.M., Tam W., Chiu A., Bussel J.B., Serrano S., Lorente J.A., Bellosillo B., Lloreta J., Juanpere N., Alameda F., Baró T., de Heredia C.D., Torán N., Català A., Torrebadell M., Fortuny C., Cusí V., Carreras C., Diaz G.A., Blander J.M., Farber C.M., Silvestri G., Cunningham-Rundles C., Calvillo M., Dufour C., Notarangelo L.D., Lougaris V., Plebani A., Casanova J.L., Ganal S.C., Diefenbach A., Aróstegui J.I., Juan M., Yague J., Mahlaoui N., Donadieu J., Chen K., Cerutti A. B cell–helper neutrophils stimulate the diversification and production of immunoglobulin in the marginal zone of the spleen // Nat. Immunol. 2011. V. 13 P. 170—180.
- Simon A.K., Hollander G.A., McMichael A. Evolution of the immune system in humans from infancy to old age // Proc. Biol. Sci. 2015. V. 282. Art. 20143085.
- Spaan K., Haigis A.C., Weiss J., Legradi J. Effects of 25 thyroid hormone disruptors on zebrafish embryos: A literature review of potential biomarkers // Sci. Total Environ. 2019. V. 656. P. 1238—1249.
- Street M. E., Angelini S., Bernasconi S., Burgio E., Cassio A., Catellani C., Cirillo F., Deodati A., Fabbrizi E., Fanos V., Gargano G., Grossi E., Lughetti L., Lazzeroni P., Mantovani A., Migliore L., Palanza P., Panzica G., Papini A. M., Parmigiani S., Predieri B., Sartori C., Tridenti G., Amarri S. Current knowledge on endocrine disrupting chemicals (EDCs) from animal biology to humans, from pregnancy to adulthood: highlights from a national Italian meeting // Int. J. Mol. Sci. 2018. V. 19. Art. 1647.
- Takeya M., Takahashi K. Ontogenic development of macrophage subpopulations and Ia–positive dendritic cells in fetal and neonatal rat spleen // J. Leukoc. Biol. 1992. V. 52. P. 516—523.
- Tebourbi O., Rhouma K.B., Sakly M. DDT induces apoptosis in rat thymocytes // Bull. Environ. Contam. Toxicol. 1998. V. 61. Р. 216—223.
- Trama A.M., Holzknecht Z.E., Thomas A.D., Su K.Y., Lee S.M., Foltz E.E., Perkins S.E., Lin S.S., Parker W. Lymphocyte phenotypes in wild-caught rats suggest potential mechanisms underlying increased immune sensitivity in post-industrial environments // Cell. Mol. Immunol. 2012. V. 9. № 2. Р. 163—174.
- Tsomartova D.A., Yaglova N.V., Yaglov V.V. Changes in Canonical β-Catenin/Wnt Signaling Activation in the Adrenal Cortex of Rats Exposed to Endocrine Disruptor Dichlorodiphenyltrichloroethane (DDT) during Prenatal and Postnatal Ontogeny // Bull. Exp. Biol. Med. 2018. V. 164. № 4. Р. 493—496.
- Udoji F., Martin T., Etherton R., Whalen M.M. Immunosuppressive effects of triclosan, nonylphenol, and DDT on human natural killer cells in vitro // J. Immunotoxicol. 2010. V. 7. № 3. Р. 205—212.
- World Health Organization. Pesticide residues in food — 2018. Toxicological evaluations. World Health Organization and Food and Agriculture Organization of the United Nations. WHO: Geneva, Switzerland, 2019. 780 p.
- Xu C., Yin S., Tang M., Liu K., Yang F., Liu W. Environmental exposure to DDT and its metabolites in cord serum: Distribution, enantiomeric patterns, and effects on infant birth outcomes // Sci. Total Environ. 2017. V. 580. P. 491—498.
- Yaglova N.V., Nazimova S.V., Obernikhin S.S., Tsomartova D.A., Yaglov V.V., Timokhina E.P., Tsomartova E.S., Chereshneva E.V., Ivanova M.Y., Lomanovskaya T.A. Developmental exposure to DDT disrupts transcriptional regulation of postnatal growth and cell renewal of adrenal medulla // Int. J. Mol. Sci. 2023. V. 24. № 3. Art. 2774.
- Yaglova N.V., Obernikhin S.S., Tsomartova D.A., Nazimova S.V., Yaglov V.V., Tsomartova E.S., Chereshneva E.V., Ivanova M.Y., Lomanovskaya T.A. Impaired morphogenesis and function of rat adrenal zona glomerulosa by developmental low-dose exposure to DDT is associated with altered Oct4 expression // Int. J. Mol. Sci. 2021a. V. 22. № 12. Art. 6324.
- Yaglova N.V., Obernikhin S.S., Yaglov V.V., Nazimova S.V., Timokhina E.P., Tsomartova D.A. Low-dose exposure to endocrine disruptor dichlorodiphenyltrichloroethane (DDT) affects transcriptional regulation of adrenal zona reticularis in male rats // Bull. Exp. Biol. Med. 2021b. V. 170. № 5. P. 682—685.
- Yaglova N.V., Timokhina E.P., Yaglov V.V. Effects of low-dose dichlorodiphenyltrichloroethane on the morphology nd function of rat thymus // Bull. Exp. Biol. Med. 2013. V. 155. № 5. Р. 701—704.
- Yamazaki H., Takano R., Shimizu M., Muruayama N., Kitajima M., Shono F. Human blood concentrations of dichlorodiphenyltrichloroethane (DDT) extrapolated from metabolism in rats and humans and physiologically based pharmacokinetic modeling // J. Health Sci. 2010. V. 56. № 5. P. 566—575.
- Yu K., Zhang X., Tan X., Ji M., Chen Y., Wan Z., Yu Z. Multigenerational and transgenerational effects of 2,3,7,8-tetrachlorodibenzo-p-dioxin exposure on ovarian reserve and follicular development through AMH/AMHR2 pathway in adult female rats // Food Chem. Toxicol. 2020. V. 140. Art. 111309.
Supplementary files








