Determination of Dissipative Characteristics for Solving Problems of Dynamic Loading of Elastic Structures Using a Modal Approach
- Authors: Bondarenko A.Y.1,2, Likhoded A.I.1,2, Sidorov V.V.1,2
-
Affiliations:
- Central Research Institute for Machine Building
- Moscow Institute of Physics and Technology (National Research University)
- Issue: No 4 (2023)
- Pages: 13-22
- Section: Articles
- URL: https://medbiosci.ru/1026-3519/article/view/137530
- DOI: https://doi.org/10.31857/S0572329922600426
- EDN: https://elibrary.ru/JLCTJN
- ID: 137530
Cite item
Full Text
Abstract
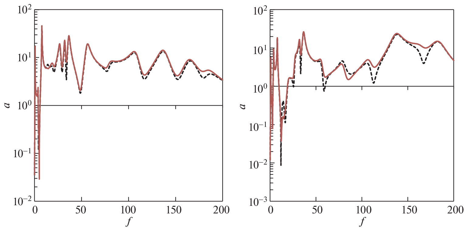
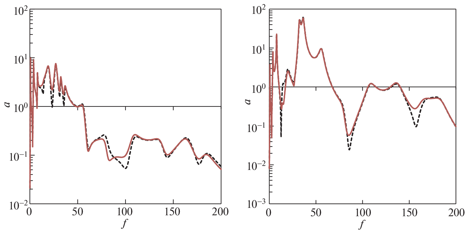
A method is proposed for solving non-stationary dynamic problems with complex elastic moduli or stiffness matrices, which makes it possible to take into account the local dissipative properties of structural elements. It is shown that in synthesized structures, even with significantly different dissipative properties, the dynamic behavior and loading parameters at resonant frequencies are determined by single integral logarithmic decrements obtained by mass-energy averaging of the dissipative properties of structures. Two concepts for estimating the integral quality factors and logarithmic vibration decrements of structures with different dissipative properties are proposed, one of which is based on the physical features of resonant phenomena in mechanical systems, and the second is based on the analysis of the behavior of damped fundamental solutions of the corresponding homogeneous equations. The coincidence of the integral logarithmic decrements obtained on the basis of different concepts makes it possible to solve non-stationary problems for structures with different dissipative properties by expanding the kinematic parameters in terms of natural vibration modes (modal method). The results of calculations of the dynamic behavior of structures with different dissipative properties are demonstrated on model problems.
About the authors
A. Yu. Bondarenko
Central Research Institute for Machine Building; Moscow Institute of Physics and Technology (National Research University)
Email: andrei.bondarenko@phystech.edu
Korolev, 141070 Russia; Dolgoprudny, 141701 Russia
A. I. Likhoded
Central Research Institute for Machine Building; Moscow Institute of Physics and Technology (National Research University)
Email: Likhoded@tsniimash.ru
Korolev, 141070 Russia; Dolgoprudny, 141701 Russia
V. V. Sidorov
Central Research Institute for Machine Building; Moscow Institute of Physics and Technology (National Research University)
Author for correspondence.
Email: Likhoded@tsniimash.ru
Korolev, 141070 Russia; Dolgoprudny, 141701 Russia
References
- Степанов В.В. Курс дифференциальных уравнений. Изд. 11, испр. М.: URSS, 2016. 512 с.
- Зенкевич О. Метод конечных элементов в технике. М.: Мир, 1975. 541 с.
- Сорокин Е.С. К вопросу неупругого сопротивления строительных материалов при колебаниях. Научное сообщение ЦНИИПС № 15. M.: Гос. изд-во лит. по стр-ву и архитектуре, 1954. 73 с.
- Лиходед А.И. Динамика конструкций и определение нагрузок. Учебное пособие. Королев: Изд. АО ЦНИИмаш, 2020. 239 с.
- Лиходед А.И., Малинин А.А. Колебания подкрепленных оболочек вращения с сосредоточенными массами и осцилляторами // Изв. АН СССР. МТТ. 1971. № 1. С. 42–47.
- Бондаренко А.Ю., Лиходед А.И., Сидоров В.В. Построение механических аналогов подконструкций с учетом действующих на них активных сил // Мат. модел. 2020. Т. 32. № 8. С. 106–118. https://doi.org/10.20948/mm-2020-08-07
- Craig Jr. R.R., Bampton M.C.C. Coupling of substructures for dynamic analysis // AIAA J. 1968. V. 6. № 7. P. 1313–1319.
- Nastran MD Dynamic Analysis User’s Guide. Version 2010 (Revision 0, June 25, 2010) / Ed. by D. M. McLean. (Santa Ana, CA: MSC Software Corp., 2010. 556 p.
- Lanczos C. An iteration method for the solution of the eigenvalue problem of linear differential and integral operators // J. Res. Nat. Bureau Stand. V. 45. 1950. C. 255–282.
Supplementary files






