Ветвление форм равновесия кольцевой микропластинки в электростатическом поле двух электродов
- Авторы: Морозов Н.Ф.1,2, Лукин А.В.3, Попов И.А.3
-
Учреждения:
- Санкт-Петербургский государственный университет
- Институт проблем машиностроения РАН
- Санкт-Петербургский политехнический университет Петра Великого
- Выпуск: № 1 (2024)
- Страницы: 110-132
- Раздел: Статьи
- URL: https://medbiosci.ru/1026-3519/article/view/262641
- DOI: https://doi.org/10.31857/S1026351924010063
- EDN: https://elibrary.ru/WALEPV
- ID: 262641
Цитировать
Полный текст
Аннотация
В работе исследуется нелинейная задача статики кольцевой микропластинки в электростатическом поле двух электродов. В допущениях геометрически нелинейной модели Кармана получены уравнения равновесия системы в частных производных. Аналитически строго найдены точки ответвления нетривиальных осесимметричных и кососимметричных форм равновесия. Отмечается, что при определенных соотношениях между внутренним и внешним радиусами пластинки наинизшей формой потери устойчивости является кососимметричная форма с наименьшей окружной изменямостью. С применением проекционного метода Галеркина и численных методов теории бифуркаций найдены диаграммы ветвления как осесимметричных, так и кососимметричных положений равновесия пластинки в пространстве ключевых параметров системы. Показывается, что при определенных соотношениях между толщиной пластинки и межэлектродным зазором в системе наблюдается мультистабильность – существование двух и более симметричных относительно плоскости пластинки нетривиальных устойчивых форм равновесия. Выполняется качественный (параметрический) анализ найденных областей мультистабильности. Указывается на возможность контролируемого электростатическим полем перескока пластинки с одного устойчивого положения равновесия на другое. Обнаруженный эффект может быть использован для разработки высокоточных микроэлектромеханических сенсоров предельных значений различных физических величин, выходным сигналом которых является измеренное емкостным датчиком скачкообразное изменение амплитуды статического прогиба чувствительного элемента предложенной конфигурации.
Ключевые слова
Полный текст
- Введение. В последнее десятилетие в мировой индустрии нано/микро-системной техники (НМСТ) интенсивное развитие получило направление разработки датчиков и актуаторов, работа подвижных (чувствительных или исполнительных) элементов которых основана на использовании существенно нелинейных характеристик проектируемых электромеханических архитектур, что позволяет на порядки повысить показатели точности, стабильности и эффективности функционирования создаваемых устройств [1–6].
Одна из основных линий исследований здесь состоит в моделировании и проектировании подвижных упругих элементов НМСТ с электростатическим принципом их актуации, обладающих свойством мультистабильности (существования двух и более положений устойчивого равновесия при постоянном значении параметра пондеромоторного воздействия) с возможностью управляемого переключения между этими состояниями. Наибольшее распространение на настоящий момент получают архитектуры с подвижным элементом в виде нано/микро-масштабной балки с проектируемой начальной погибью [7–12]. В подобных системах аналитически прогнозируются и экспериментально подтверждаются уникальные особенности статических и динамических режимов работы. Кроме уже отмеченного эффекта мультистабильности, исследуются феномены контролируемого нарушения симметрии формы статического прогиба подвижного элемента, а также т. н. эффект модальной локализации колебаний, лежащий в основе целого класса высокоточных резонансных датчиков [13].
Наряду с балочными конструкциями, значительный интерес специалистов привлекает направление разработки нано/микро-электромеханических систем с подвижным упругим элементом в виде тонкой пластинки [14–20]. Здесь также целый ряд работ посвящен нелинейным задачам статики и упругой устойчивости нано/микро-пластинок с начальной погибью в электростатических полях различных конфигураций [21–27]. Отметим, что в подавляющем большинстве приведенных работ рассматривается прямоугольная либо круглая пластинка с жестким закреплением по контуру; для круглых пластинок практически повсеместно выполняется анализ осесимметричных форм равновесия.
Задача упругой устойчивости и нелинейной статики тонких пластинок имеет большую историю. Так, в работе [28] доказано существование несимметричного решения в задаче о больших прогибах круглой пластинки, загруженной симметричной нагрузкой. В [29, 30] исследуются формы потери устойчивости однородно сжатой упругой пластины на мягком упругом основании. Задача устойчивости пластины наноразмерной толщины, ослабленной круговым отверстием, рассматривается в работах [31, 32]. Несимметричные формы потери устойчивости неоднородных круглых пластин исследуются в [33], для пластины из ортотропного материала – в [34].
Насколько известно авторам настоящей работы, задача о ветвлении форм равновесия подвижных элементов НМСТ в виде кольцевых микропластин, находящихся в электростатическом силовом поле, ранее не рассматривалась в периодической литературе и составляет научную новизну. В работе исследуется нелинейная статика и упругая устойчивость кольцевой микропластинки в электростатическом поле двух неподвижных электродов. Рассматриваются как осесимметричные, так и кососимметричные формы равновесия системы. Исследуются возможности создания мультистабильного подвижного элемента и вопросы реализации управляемого перевода системы в несимметричное положение равновесия.
- Математическая модель. Рассматривается нелинейная задача статики круглой пластинки с коаксиальным отверстием (кольцевой пластинки), эквидистантно расположенной между двумя неподвижными плоскими кольцевыми электродами. Пластинка жестко закреплена по внутренней кромке и свободна от нагрузки по внешней. Графическая схема задачи показана на рис. 1.
Рис. 1. Графическая схема рассматриваемой задачи (осевое сечение). ‹1› – нижний кольцевой электрод, ‹2› – верхний кольцевой электрод.
Для материала пластинки принимается модель однородного изотропного линейно- упругого тела с объемной плотностью ρ, модулем Юнга и коэффициентом Пуассона v. Толщину, внутренний и внешний радиусы пластинки обозначим и соответственно. В качестве механической модели будем рассматривать геометрически нелинейную модель Кармана бессдвиговой тонкой пластинки Кирхгофа–Лява [35].
Электростатическое поле в межэлектродных зазорах с начальным расстоянием между обкладками (одной из обкладок формируемых таким образом конденсаторов является сама пластинка) создает распределенную по поверхности пластинки поперечную нагрузку, нелинейно зависящую от поперечного прогиба [35].
Уравнения равновесия системы в принятых предположениях имеют вид
(2.1)
где – функция напряжений в срединной поверхности; – сообщаемое конденсаторам электростатическое напряжение; – абсолютная диэлектрическая проницаемость вакуума и относительная диэлектрическая проницаемость среды в межэлектродном зазоре соответственно; – цилиндрическая жесткость пластинки.
Дифференциальный оператор записывается в полярных координатах как
. (2.2)
Оператор действует по формуле
.
Задача (2.1) решается в области . Граничные условия на внутренней, жестко закрепленной, кромке имеют вид
На внешней кромке , свободной от нагрузки, выполняются следующие граничные условия
Исследуемая система уравнений в частных производных является существенно нелинейной и не допускает точного решения. В последующих разделах выполняется аналитически строгое нахождение точек ответвления нетривиальных форм равновесия на основе линеаризованных уравнений статики пластинки, построение методом Галеркина параметризованной приближенной модели системы и качественное исследование ее диаграмм положений равновесия как для осесимметричных, так и для кососимметричных распределений поперечных перемещений.
- Нахождение точек ответвления нетривиальных форм равновесия. В силу эквидистантного расположения пластинки между двумя неподвижными электродами, для любых значений электростатического поля в системе существует тривиальное (нулевое) положение равновесия. Поиск точек ответвления нетривиальных форм статического прогиба может быть проведен на основе уравнений (2.1), линеаризованных в окрестности . Следуя динамическому методу анализа задач упругой устойчивости, запишем уравнения малых изгибных колебаний пластинки.
. (3.1)
Данное уравнение соответствует модели свободных колебаний пластинки на отрицательно-упругом основании. Представим решение полученной спектральной задачи в виде
, (3.2)
где – искомые формы и частоты свободных колебаний. Переходя к безразмерной радиальной координате и опуская далее знак в обозначениях для и оператора , придем к следующей краевой задаче на собственные значения:
, (3.3)
где введены безразмерный частотный параметр и безразмерный параметр электростатического нагружения .
Собственные формы ненагруженной кольцевой пластинки (при ) представляются в виде
, (3.4)
где – индекс изменяемости формы колебаний в окружном направлении; функция радиального прогиба имеет вид
. (3.5)
Здесь и – обычные и модифицированные функции Бесселя I-го и II-го родов соответственно.
Значения коэффициентов и параметра определяются из условий удовлетворения решением (3.5) следующим граничным условиям:
(3.6)
где введено обозначение .
Вид первых двух форм изгибных колебаний пластинки из семейств и для значения параметра показан на рис. 2 (коэффициент Пуассона (v) принят равным 0.22). Параметр на рис. обозначает индекс радиальной изменяемости соответствующей формы колебаний.
Рис. 2. Формы изгибных колебаний пластинки.
Примечательной особенностью принятой комбинации граничных условий является пересечение частотных ветвей (осесимметричные формы с наименьшей радиальной изменяемостью) и (исследуемые кососимметричные формы) при достижении геометрическим параметром определенного значения: при , т. е. для кольцевых пластинок с достаточно малым внутренним радиусом, наинизшей собственной частотой обладает кососимметричная форма колебаний. Этот эффект отражен на рис. 3.
Рис. 3. Ветви безразмерного частотного параметра k.
Как видно из (3.3), частоты колебаний пластинки при наличии электростатического поля могут быть выражены через параметры и по формуле
. (3.7)
откуда следует, что критические значения силы электрического поля, вызывающие потерю упругой устойчивости пластинки по форме с окружной изменяемостью n и радиальной изменяемостью (точки ответвления нетривиальных форм равновесия), определяются выражением
. (3.8)
С учетом отмеченных выше особенностей зависимости частот кольцевой пластинки от геометрического параметра , мы приходим к заключению о возможности выведения пластинки в несимметричное (кососимметричное c n=1) положение равновесия путем приложения к ней осесимметричной электростатической нагрузки: при соответствующая форма потеря устойчивости реализуется при наинизшем из всех критических значений силы электрического поля.
- Построение приближенного решения нелинейной задачи статики методом Галеркина. Непосредственный анализ нетривиальных форм равновесия пластинки при вариации геометрических параметров системы и параметров нагружения требует нахождения решений исходной нелинейной краевой задачи статики (2.1), (2.4)–(2.5).
С этой целью запишем исследуемую задачу в безразмерном виде: введем обозначения . Опуская знак у безразмерных величин, придем к следующей записи нелинейных уравнений статики пластинки:
(4.1)
где введен параметр геометрической нелинейности системы
Граничные условия для искомых функций при и сохраняют вид (2.4) и (2.5) соответственно.
Приближенное решение данной задачи будем искать методом Галеркина. Фиксируя определенное значение индекса окружной изменямости искомых форм статического прогиба, представим решение в виде ряда по собственным формам ненагруженной пластинки :
(4.2)
где – число учтенных форм колебаний в аппроксимирующем ряду, – подлежащие определению модальные коэффициенты.
Отдельную задачу составляет установление вида аппроксимирующего ряда для функции напряжений Ф. Рассмотрим структуру второго уравнения системы (4.1) при подстановке в него ряда (4.2):
, (4.3)
которое с учетом тригонометрических тождеств может быть представлено в виде
. (4.4)
Здесь – определенные комбинации функций и их производных; их конкретный вид зависит от числа учтенных собственных форм в модальном разложении прогиба и в явном виде не приводится.
Таким образом, приближенное решение для функции напряжений приобретает вид
, (4.5)
где функции являются решениями следующих краевых задач:
(4.6)
и
(4.7)
Численное решение представленных граничных задач может быть получено методом конечных разностей (см., к примеру, функции bvp4c, bvp5c программной системы Matlab [36]).
Подстановка аппроксимирующих рядов (4.2), (4.5) в первое уравнение системы (4.1) и удовлетворение проекционным условиям метода Галеркина позволяет свести нелинейную задачу статики пластинки к параметризованной системе нелинейных алгебраических уравнений относительно коэффициентов разложения .
Для корректного моделирования типичного для микросистем с электростатическим возбуждением эффекта т. н. “залипания” подвижной обкладки конденсатора (в рассматриваемом случае – кольцевой пластинки), умножим уравнение на знаменатель слагаемого, связанного с электростатической силой:
. (4.8)
Введем обозначение для невязки вычисляемого приближенного решения:
, (4.9)
где – вектор искомых коэффициентов .
Тогда условия минимизации невязки (проекционные условия) примут вид
(4.10)
Полученная таким образом система нелинейных алгебраических уравнений позволяет качественно (в пространстве параметров λ, ε) исследовать ветвление форм равновесия кольцевой пластинки с заданным индексом окружной изменяемости n. Отметим при этом, что конкретный вид системы (4.10) определяется также и безразмерным геометрическим параметром ; зависимость решений от этого параметра является неаналитической.
- Параметрический анализ диаграмм положений равновесия.
5.1. Осесимметричные формы равновесия. Представление и анализ результатов начнем с осесимметричного случая . В первую очередь исследуем вопрос сходимости получаемых решений по числу учтенных в разложении собственных форм с различной радиальной изменяемостью.
На рис. 4 приведена диаграмма ветвления осесимметричных форм равновесия пластинки для при различных значениях N. По оси ординат везде далее откладывается максимальное по всей поверхности пластинки значение ее прогиба; сплошными линиями обозначаются устойчивые состояния равновесия, пунктирными – неустойчивые.
Рис. 4. Диаграмма ветвления при β=0.2, d/h=3. Исследование сходимости аппроксимирующего ряда.
На рис. 4 наблюдается ответвление нетривиальных форм равновесия при значении λ, соответствующем потери устойчивости плоской формы равновесия пластинки (см. выражение (3.8)). Учтенный фактор жесткой геометрической нелинейности, характеризуемый параметром , приводит в данном случае к возникновению двух симметричных относительно плоскости пластинки устойчивых форм равновесия; с дальнейшим ростом наблюдается бифуркация типа предельной точки, выражающая эффект “схлопывания” обкладок электростатического преобразователя.
Как видно из рисунка, приближенное решение методом Галеркина дает весьма высокую скорость сходимости при вычислении устойчивых форм равновесия. В то же время, известно, что для точного нахождения неустойчивых ветвей диаграммы требуется значительное большее число членов в аппроксимирующем ряду [15]. В настоящем исследовании основной интерес для нас представляет эволюция устойчивых форм равновесия, поэтому дальнейший анализ будем проводить с учетом членов аппроксимирующего ряда.
На рис. 5 приведены диаграммы ветвления осесимметричных положений равновесия для различных значений геометрического параметра .
Рис. 5. Диаграммы ветвления осесимметричных форм равновесия.
Рисунок иллюстрирует основные качественные особенности нелинейной статики рассматриваемой системы: (1) при малых значениях межэлектродного зазора d по отношению к толщине пластинки h нетривиальные устойчивые формы равновесия отсутствуют, точка ветвления является субкритической; (2) с достижением величины некоторого значения, вообще говоря, зависящего от , тип бифуркации меняется на суперкритический, что отражает возникновение двух симметричных устойчивых равновесий (бистабильность); (3) ширина зоны бистабильности по параметру электростатической силы растет с увеличением отношения ; (4) эффективная жесткость пластинки на изгиб увеличивается с ростом , что также выражается в увеличении ширины области бистабильности.
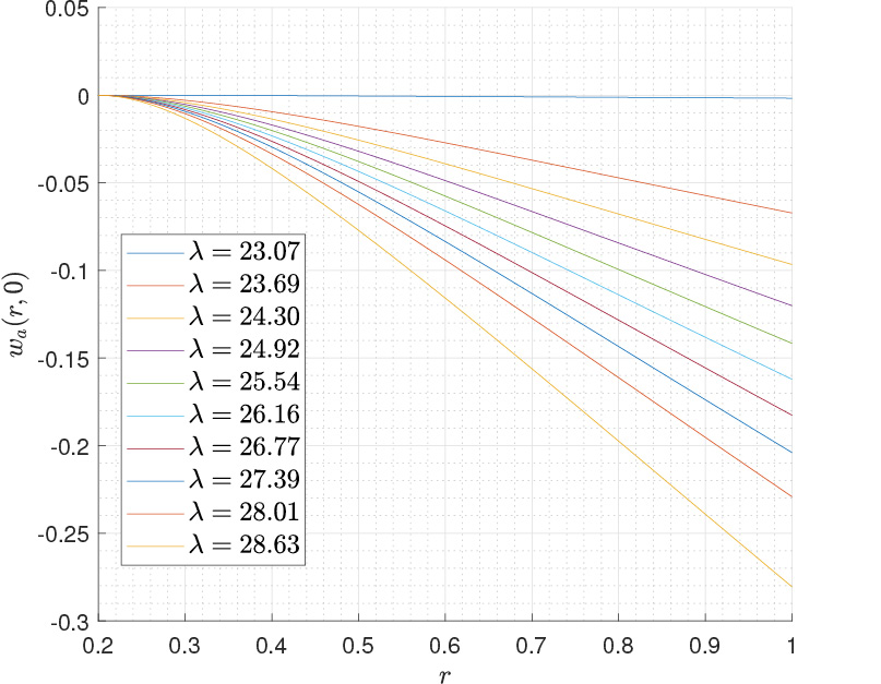
На рис. 6 показан пример эволюции радиальной изменяемости формы равновесия на участке существования устойчивых нетривиальных решений для .
Рис. 6. Эволюция радиальной изменяемости осесимметричной формы равновесия.
Как видно из рисунка, форма прогиба кольцевой пластинки в электростатическом поле весьма близка к форме свободных осесимметричных колебаний с наименьшей радиальной изменяемостью; вклад других членов аппроксимирующего ряда относительно невелик. При значении , близком к предельной точке (точке “залипания”), амплитуда прогиба составляет около 0.6 от величины межэлектродного зазора.
Значительный практический интерес с точки зрения разработки микроэлектромеханических сенсоров и актуаторов с исполнительным элементом в виде кольцевой пластинки составляет нахождение областей бистабильности системы в пространстве безразмерных параметров λ, ε, β. В терминах используемой математической постановки речь идет о нахождении кривой расположения бифуркаций типа “предельная точка” в указанном пространстве параметров. Рассматривая далее ряд фиксированных значений β, эта кривая λ(ε; β) определит верхнюю границу зоны бистабильности по параметру ; нижняя граница определяется расположением точек ветвления (выражение (3.8)).
Результаты нахождения соответствующих параметрических зон бистабильности, полученные с помощью численных методов теории бифуркаций и продолжения решений нелинейных уравнений, приведены на рис. 7.
Рис. 7. Области бистабильности для осесимметричных форм равновесия.
Как видно из рисунка, качественный характер областей бистабильности сохраняется неизменным для рассмотренного диапазона значений параметров.
Примечательно, что нижняя граница области по параметру слабо зависит от и имеет значение около . Результаты также количественно отражают отмеченное выше свойство расширения зоны бистабильности при увеличении параметра .
5.2. Кососимметричные формы равновесия. Перейдем к анализу результатов, полученных для задачи ветвления кососимметричных форм с наименьшей окружной изменяемостью (n = 1). Соответствующие диаграммы положений равновесия для ряда значений параметра приведены на рис. 8.
Рис. 8. Диаграммы ветвления кососимметричных форм равновесия.
Для рассмотренных диапазонов изменения параметров качественная структура кососимметричных положений равновесия кольцевой пластинки идентична осесимметричному случаю. Вместе с тем, следует отметить ряд особенностей найденных решений. Во-первых, результаты подтверждают ранее отмеченное свойство кольцевой пластинки терять устойчивость в электростатическом поле по кососимметричной, а не осесимметричной форме в случае, если параметр принимает значения, меньшие 0.312 (из рисунка видно, что точка ветвления по параметру для n=1 имеет меньшую величину, чем для n = 0. При определенных значениях параметра геометрической нелинейности эта форма равновесия является устойчивой и гладко зависящей от параметра . Иными словами, мы наблюдаем эффект управляемого нарушения симметрии формы прогиба в изначально осесимметричной системе. Во-вторых, отмечается в два раза меньшая амплитуда прогиба пластинки на ее кромке в предельной точке по , соответствующей условию “залипания” пластинки на одном из двух неподвижных электродов (~0.3 от величины межэлектродного зазора против ~0.6 для осесимметричного случая).
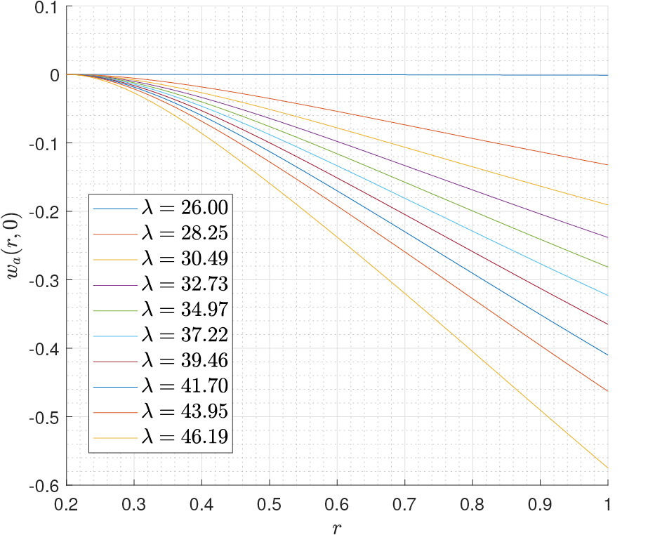
На рис. 9 показан характер эволюции радиальной изменяемости формы равновесия на участке существования устойчивых нетривиальных решений для .
Рис. 9. Эволюция радиальной изменяемости кососимметричной формы равновесия.
Из рисунка следует, что, как и в осесимметричном случае, основной вклад в описание статического прогиба при n=1 вносит наименьшая по радиальной изменямости собственная форма. Вместе с тем, как отмечалось ранее, для количественно корректного описания неустойчивых участков ветвей диаграммы, не являющихся основным предметом настоящего исследования, требуется учет значительного числа N базисных функций; их вклад в представление решения, при этом, будет возрастать с приближением амплитуды прогиба к величине межэлектродного зазора.
По аналогии с осесимметричным случаем, проведем качественное исследование областей существования нетривиальных устойчивых кососимметричных форм равновесия пластинки в пространстве параметров λ, ε, β. Соответствующие области, найденные путем продолжения предельной точки “залипания” в плоскости (λ, ε) для ряда значений , показаны на рис. 10.
Рис. 10. Области существования устойчивых кососимметричных форм равновесия.
Как видно из рисунка, общий характер исследуемых областей для значений совпадает с ранее изученным осесимметричным случаем. В то же время, наблюдается существенное количественное отличие, связанное с сильной зависимостью от нижней границы значений d / h, обеспечивающих устойчивость нетривиальных форм равновесия. Кроме того, при наблюдается качественное изменение структуры кривой λ(ε): в определенном диапазоне значений нарушается однозначность данной зависимости. В терминах теории динамических систем здесь при продолжении бифуркации типа “предельная точка” обнаруживаются две точки бифуркации коразмерности 2 типа “ласточкин хвост”. С механической точки зрения в указанном диапазоне значений для системы характерна мультистабильность – существование более чем одного устойчивого равновесия (без учета симметрии равновесий относительно начальной плоскости пластинки).
Трехмерная бифуркационная кривая точек “залипания” в пространстве , соответствующая рис. 10,d, построена на рис. 11.
Рис. 11. Бифуркационная кривая точек «залипания» при β=0.4
Пример диаграммы положений равновесия для мульстибильной по кососимметричным формам системы показан на рис. 12.
Рис. 12. Диаграмма положений равновесия в области мультистабильности β=0.4, d / h = 6.3.
Рисунок подтверждает факт существования двух различных участков устойчивых равновесий кольцевой пластинки на ветви нетривиальных решений (с учетом симметрии системы относительно плоскости пластинки, число подобных участков на двух симметричных ветвях равно четырем).
Примечательным свойством системы при выбранных значениях параметров является возможность управляемого «перескока» с одного устойчивого положения на другое; данный эффект может быть использован для разработки высокоточных микроэлектромеханических сенсоров предельных значений различных физических величин, выходным сигналом которых является измеренное емкостным датчиком скачкообразное изменение амплитуды статического прогиба чувствительного элемента – кольцевой микропластинки, расположенной между двумя неподвижными электродами.
- Заключение. В работе выполнено построение и параметрическое исследование нелинейной модели статики кольцевой микропластинки при действии пондеромоторных сил электростатического поля двух неподвижных электродов. В допущениях геометрически нелинейной модели Кармана бессдвиговой тонкой пластинки Кирхгофа–Лява и нелинейной модели электростатических сил плоско-параллельных конденсаторов с переменным зазором получены уравнения равновесия системы в частных производных. Аналитически строго найдены точки ответвления нетривиальных осесимметричных и кососимметричных форм равновесия. Отмечено, что при определенных соотношениях между внутренним и внешним радиусами пластинки наинизшей формой потери устойчивости является кососимметричная форма с наименьшей окружной изменямостью. Иными словами, обнаружена возможность управляемого выведения кольцевой пластинки в несимметричное равновесие путем приложения однородного электростатического поля. Разработана и реализована процедура построения нелинейной конечномерной модели системы методом Галеркина. С применением численных методов теории бифуркаций найдены диаграммы ветвления как осесимметричных, так и кососимметричных положений равновесия пластинки в пространстве минимального набора безразмерных параметров, полностью характеризующих исследуемую систему. Показано, что при определенных соотношениях между толщиной пластинки и межэлектродным зазором в системе наблюдается бистабильность – существование двух симметричных относительно плоскости пластинки нетривиальных устойчивых форм равновесия. Выполнен качественный (параметрический) анализ указанных областей бистабильности для статических равновесий с различной окружной изменяемостью. Кроме того, обнаружено, что при известных значениях параметров система обладает свойством мультистабильности кососимметричных форм равновесия – существованием более чем одного устойчивого состояния (без учета симметрии равновесий относительно начальной плоскости пластинки). Установленная таким образом возможность управляемого “перескока” с одного нетривиального устойчивого положения равновесия на другое может быть использована для разработки высокоточных микроэлектромеханических сенсоров предельных значений различных физических величин, выходным сигналом которых является измеренное емкостным датчиком скачкообразное изменение амплитуды статического прогиба чувствительного элемента предложенной конфигурации.
- Поддержка. Исследование выполнено за счет гранта Российского научного фонда № 21-71-10009, https://rscf.ru/project/21-71-10009/.
Об авторах
Н. Ф. Морозов
Санкт-Петербургский государственный университет; Институт проблем машиностроения РАН
Автор, ответственный за переписку.
Email: n.morozov@spbu.ru
Россия, Санкт-Петербург; Санкт-Петербург
А. В. Лукин
Санкт-Петербургский политехнический университет Петра Великого
Email: lukin_av@srbstu.ru
Россия, Санкт-Петербург
И. А. Попов
Санкт-Петербургский политехнический университет Петра Великого
Email: popov_ia@spbstu.ru
Россия, Санкт-Петербург
Список литературы
- Charlot B., Sun W., Yamashita K. et al. Bistable nanowire for micromechanical memory //J. Micromechanics and Microengineering. 2008. V. 18. P. 045005. https://doi.org/10.1088/0960-1317/18/4/045005
- Intaraprasonk V., Fan S. Nonvolatile bistable all-optical switch from mechanical buckling // Appl. Phys. Lett. 2011. V. 98. P. 6. https://doi.org/10.1063/1.3600335
- Harne R.L., Wang K.W. A bifurcation-based coupled linear-bistable system for microscale mass sensing // J. Sound and Vibration. 2014. V. 333. P. 2241–2252. https://doi.org/10.1016/j.jsv.2013.12.017
- Uno A., Hirai Y., Tsuchiya T., Tabata O. Mathematical Modeling and Analysis of MEMS Deformable Mirror Actuated by Electrostatic Piston Array // Electrical Engineering in Japan. 2018. V. 204. P. 50–60. https://doi.org/10.1002/eej.23104
- Davidovikj D., Bouwmeester D., van der Zant H.S. J., Steeneken P.G. Graphene gas pumps // 2D Materials. 2018. V. 5. № 3. P. 031009. https://doi.org/10.1088/2053-1583/aac0a8
- Hajjaj A., Jaber N., Ilyas S. et al. Linear and nonlinear dynamics of micro and nano-resonators: Review of recent advances // Int. J. Non-Linear Mech. 2019. V. 119. P. 103328. https://doi.org/10.1016/j.ijnonlinmec.2019.103328
- Medina L., Gilat R., Krylov S. Symmetry breaking in an initially curved micro beam loaded by a distributed electrostatic force // Inter. J. Solids Struct. 2012. V. 49. P. 1864–1876. https://doi.org/10.1016/j.ijsolstr.2012.03.040
- Medina L., Gilat R., Krylov S. Symmetry breaking in an initially curved pre-stressed micro beam loaded by a distributed electrostatic force // Inter. J. Solids Struct. 2014. V. 51. P. 2047. https://doi.org/10.1016/j.ijsolstr.2014.02.010
- Shojaeian M., Tadi Beni Y., Ataei H. Size-dependent snap-through and pull-in instabilities of initially curved pre-stressed electrostatic nano-bridges // J. Phys. D: Appl. Phys. 2016. V. 49. P. 295–303. https://doi.org/10.1088/0022-3727/49/29/295303
- Medina L., Seshia A. Bistability and simultaneous mode actuation in electrostatically actuated initially curved coupled micro beams // Int. J. Non-Linear Mech. 2020. V. 126. P. 103549. https://doi.org/10.1016/j.ijnonlinmec.2020.103549
- Medina L., Gilat R., Ilic B., Krylov S. Single Electrode Bidirectional Switching of Latchable Prestressed Bistable Micromechanical Beams // IEEE Sensors Journal. 2021. V. 21. P. 21349 –21358. https://doi.org/10.1109/JSEN.2021.3103265
- Морозов Н.Ф., Индейцев Д.А., Можгова Н.В. et al. О формах равновесия начально-изогнутой балки Эйлера-Бернулли при электрических и тепловых воздействиях// Доклады Российской академии наук. Физика, технические науки. 2023. Вып. 508. С. 35–41. https://doi.org/10.31857/S268674002301008X
- Индейцев Д.А., Можгова Н.В., Лукин А.В., Попов И.А. Модель микромеханического модально-локализованного акселерометра с чувствительным элементом в виде балки с начальной прогибью // Известия Российской академии наук. Механика твердого тела. 2023. Вып.3. С. 135–151. https://doi.org/10.31857/S0572329922600645
- Saghir S., Bellaredj M.L., Ramini A., Younis M.I. Initially curved microplates under electrostatic actuation: Theory and experiment // Journal of Micromechanics and Microengineering. 2016. V. 26. P. 095004. https://doi.org/10.1088/0960-1317/26/9/095004
- Lukin A.V., Popov I.A., Skubov D. Yu. Nonlinear dynamics and stability of microsystems engineering elements // Scientific and Technical Journal of Information Technologies, Mechanics and Optics. 2017. V. 17. P. 1107–1115. https://doi.org/10.17586/2226-1494-2017-17-6-1107-1115
- Ghayesh M.H., Farokhi H. Nonlinear behaviour of electrically actuated microplate-based MEMS resonators // Mech. Syst. Signal Processing. 2018. V. 109. P. 220–234 https://doi.org/10.1016/j.ymssp.2017.11.043
- Saghir S., Younis M.I. An investigation of the mechanical behavior of initially curved microplates under electrostatic actuation // Acta Mech. 2018. V. 229. P. 2909–2922 https://doi.org/10.1007/s00707-018-2141-3
- Das M., Bhushan A. Investigation of an electrostatically actuated imperfect circular microplate under transverse pressure for pressure sensor applications // Engineering Research Express. 2021. V. 3. https://doi.org/10.1088/2631-8695/ac3771
- Jallouli A., Kacem N., Bourbon G. et al. Experimental characterization of nonlinear static and dynamic behaviors of circular capacitive microplates with initial deflection // Nonlinear Dynamics. 2021. V. 103. P. 2329–2343. https://doi.org/10.1007/s11071-021-06242-4
- Das M., Bhushan A. Investigation of the Effects of Residual Stress on Static and Dynamic Behaviour of an Imperfect MEMS Circular Microplate // Ir.J. Sci. Techn. – Trans. Mech. Eng. 2023. V. 47. P. 2143–2158. https://doi.org/10.1007/s40997-023-00627-z
- Medina L., Gilat R., Krylov S. Bistable behavior of electrostatically actuated initially curved micro plate // Sensors and Actuators, A: Physical. 2016. V. 248. P. 193–198. https://doi.org/10.1016/j.sna.2016.07.027
- Medina L., Gilat R., Krylov S. On the Usage of Berger’s Model for Electrostatically Actuated Circular Curved Micro Plates. 2017. V. 4. P. V004T09A006. https://doi.org/10.1115/DETC2017-67523
- Medina L., Gilat R., Krylov S. Bistability criterion for electrostatically actuated initially curved micro plates // Int. J. Eng. Sci. 2018. V. 130. P. 75–92. https://doi.org/10.1016/j.ijengsci.2018.05.006
- Asher A., Benjamin E., Medina L. et al. Bistable Micro Caps Fabricated by Sheet Metal Forming // J. Micromech. Microeng. 2020. V. 30. P. 065002. https://doi.org/10.1088/1361-6439/ab7f52
- Medina L., Gilat R., Krylov S. Necessary and sufficient criteria for bistability in electrostatically actuated initially curved pre-stressed micro-plates // Int. J. Mech. Sci. 2022. V. 223. P.107255. https://doi.org/10.1016/j.ijmecsci.2022.107255
- Asher A., Gilat R., Krylov S. Natural Frequencies and Modes of Electrostatically Actuated Curved Bell-Shaped Microplates // Applied Sciences. 2022. V. 12. P. 2704. https://doi.org/10.3390/app12052704
- Medina L. Effect of Membrane Load on the Stability of an Electrostatically Actuated Initially Curved Circular Micro Plate // J. Appl. Mech. 2023. V. 90. P. 031002. https://doi.org/10.1115/1.4056059
- Морозов Н.Ф.К вопросу о существовании несимметричного решения в задаче о больших прогибах круглой пластинки, загруженной симметричной нагрузкой // Изв. ВУЗ. Математика. 1958. С. 126–129.
- Морозов Н.Ф., Е. Товстик П.О формах потери устойчивости сжатой пластины на упругом основании // Доклады Академии наук. 2012. Вып. 446. С. 37–41.
- Морозов Н.Ф., Е. Товстик П. О формах потери устойчивости сжатой пластины на упругом основании // Изв. РАН. Механика твердого тела. 2012. № 6. С. 30–36.
- Бауэр С.М., Каштанова С.В., Морозов Н.Ф., Семенов Б.Н. Об устойчивости пластины наноразмерной толщины, ослабленной круговым отверстием // Доклады Академии наук. 2014. Вып. 458. С. 158–160. https://doi.org/10.7868/s0869565214260090
- Bauer Svetlana M., Kashtanova Stanislava V., Morozov Nikita F., Semenov Boris N. Stability loss of an infinite plate with a circular inclusion under uniaxial tension // Vestnik of Saint Petersburg University. Mathematics. Mechanics. Astronomy. 2017. Вып. 4. С. 266–272. https://doi.org/10.21638/11701/spbu01.2017.210
- Бауэр С.М., Воронкова Е.Б. О несимметричной форме потери устойчивости неоднородных круглых пластин // Вестник Санкт-Петербургского ун-та. Математика. Механика. Астрономия. 2021. Вып. 8. С. 204–211. https://doi.org/10.21638/spbu01.2021.201
- Bauer S.M., Indeitsev D.A., Semenov B.N., Voronkova E.B. Asymmetric buckling of orthortropic plates under normal pressure // Advances in Solid and Fracture Mechanics. 2022. P. 13–22. https://doi.org/10.1007/978-3-031-18393-5_2
- Nayfeh A.H., Pai P.F. Linear and Nonlinear Structural Mechanics. Wiley-VCH. 2004. https://doi.org/10.1002/9783527617562
- MATLAB. version R2021b. Natick, Massachusetts: The MathWorks Inc. 2021.
Дополнительные файлы














