Electroelasticity of disc piezofibrous actuator
- Autores: Pan’kov A.A.1
-
Afiliações:
- Perm National Research Polytechnic University
- Edição: Nº 5 (2024)
- Páginas: 97–121
- Seção: Articles
- URL: https://medbiosci.ru/1026-3519/article/view/277080
- DOI: https://doi.org/10.31857/S1026351924050075
- EDN: https://elibrary.ru/UAQNRF
- ID: 277080
Citar
Texto integral
Resumo
A microstructural model of a coiled composite piezofiber disc (FibrCD) actuator has been developed. The actuator is formed by winding a large number of turns of thin electrode-coated piezoelectric fiber, designed as shielded single-core cable with radially polarized piezoelectric interelectrode layers The winding is then impregnated and consolidated with a polymer binder. An exact analytical solution was obtained for the electrical and deformation fields of an axisymmetric coupled boundary problem of electroelasticity on the elementary composite cell "piezoelectric cable/binder shell." This exact solution for the electroelastic fields within the composite cell, subjected to an electric voltage applied to the cable electrodes, was subsequently used to derive exact analytical solutions for the tensors of effective piezoelectric stress coefficients and linear piezoelectric expansion (strain) of the fiber composite. These calculations treat the composite as a homogeneous material with cylindrical anisotropy, characteristic of the disc-shaped FibrCD actuator, based on the well-known polydisperse composite structure model. Calculations and numerical analysis of the FibrCD actuator’s characteristics were performed for various values of its macroscopic and structural parameters, including the thickness of the disc (ring), the difference between the outer and inner radii of the ring, and the relative dimensions of the conductive core radius and the thickness of the binder layer between adjacent cable turns. The effectiveness of the FibrCD actuator was confirmed in comparison with the characteristics of conventional actuators.
Texto integral
1. Введение. Пьезоэлектрические элементы широко применяются в качестве сенсоров, генераторов, силовых приводов, преобразователей механической энергии в электрическую и наоборот и имеют форму пластин, цилиндров, дисков, колец, трубок, сфер из поляризованной керамики, например, PZT, ЦТС или полимера PVDF [1–5]. Для расширения функциональных возможностей и увеличения диапазона смещений и/или блокирующих усилий используют актюаторы с композитными, в частности, слоистыми структурами типа «пакет» из чередующихся тонких слоев пьезокерамики и электродов, например, пьезоэлектрических дисков или колец с электродированными (металлизированными) поверхностями по границам их соединения. Количество слоев в пакетных пьезоэлектрических актюаторах может составлять от 5 до 200 штук и определяется требуемой амплитудой рабочих перемещений; толщина керамического слоя в пределах 20–100 мкм при толщине внутренних поверхностных электродов 3–4 мкм. В пакетных пьезоэлектрических актюаторах слои соединены механически последовательно, а электрически параллельно, при этом соседние слои пьезокерамики поляризованы в противоположных направлениях, поэтому результирующее относительное смещение торцов пакета сумма таких смещений всех слоев. Для снижения величины управляющего электрического напряжения Ucon между электродами уменьшают толщину пьезоэлектрических слоев до 0.3–0.6 мм с учетом допустимых значений напряженности электрического поля пьезокерамики 1–2 кВ/мм.
Принцип создания «объемных» композитных пьезоэлектрических актюаторов пакетного типа ( наличие взаимообратных поляризаций большого числа тонких пьезоэлементов, разделенных близко расположенными электродами и соединенных в «пакет» механически последовательно, а электрически параллельно) может быть применен к созданию перспективных «пленочных», в частности, микроволоконного MFC (Micro-Fiber Composite) [6], мембранного MDS [7], цилиндрического CDS [8, 9], эллипсоиданных, сферических и тороидальных [10] пьезоэлектрических актюаторов. MFC-актуаторы [6] представляют собой композитный пьезоэлектрический слой с близко уложенными в один ряд однонаправленными пьезокерамическими (PZT-5A) волокнами в полимерном (эпоксидном) связующем и находят широкое применение в различных областях науки и техники, в частности, в авиации для управления геометрией аэродинамических поверхностей лопасти вертолета. На верхней и нижней поверхности пьезоэлектрического слоя MFC-актуатора установлены друг под другом пленочные «встречно-гребенчатые» взаимодействующие электроды (IDE). На поверхности пьезоэлектрического слоя расстояние между соседними разнонаправленными прямолинейными узкими и тонкими полосками электродов 0.5 мм, при этом полная толщина такого пленочного MFC-актуатора 0.3 мм [11–14]. Дополнительное улучшение рабочих характеристик MFC-актюатора возможно с использованием вместо поликристаллических керамических волокон уникальных монокристаллических пьезоэлектрических волокон [12]. Этот же «пакетный» принцип расположения и взаимодействия большого числа чередующихся пьезоэлементов и электродов использован в мембранном MDS [7], цилиндрическом CDS [8, 9] и других криволинейных форм [15] пленочных пьезоэлектрических актюаторах с двойными плоскими или цилиндрическими спиралями взаимодействующих поверхностных или встроенных по толщине пьезоэлектрической пленки [16] электродов. Эффективность MDS-актюатора подтверждена результатами численного моделирования в [17], в том числе и при наличии у актюатора периферийного «кольца поджатия» [18]. Представляет интерес обобщение принципов функционирования MDS, CDS и др. актюаторов [7, 8, 16] с двойными спиралями взаимодействующих электродов на более мощные объемные «катушечные» дисковые пьезоэлектрические FibrCD (Fibrous piezo Composite Disk) актюаторы [19], образованные намоткой большого числа витков тонкого экранированного одножильного кабеля [20, 21] с радиально поляризованным пьезоэлектрическим слоем между электродами) с последующей пропиткой и отверждением полимерным связующим, при этом в локальных областях контакта соседних витков также реализуются взаимообратные направления поляризаций. Для изготовления FibrCD-актюаторов [19] могут быть использованы различные экранированные одножильные «сигнальные» кабели, например, с металлической токопроводящей жилой и полимерным PVDF пьезоэлектрическим слоем [20] или с полимерной токопроводящей жилой с композитным пьезоэлектрическим слоем [21–23].
Математическое моделирование функционирования пьезоэлектрических устройств: сенсоров и актюаторов различных типов основывается на постановке и решении аналитическими [24–31] или численными методами, например, методом конечных элементов [32–35] связанной краевой задачи электроупругости для заданной расчетной области с учетом ее конструктивных особенностей, наличия анизотропии, структурной и, как следствие, поляризационной неоднородности пьезоэлектрика при заданных условиях электромеханического нагружения устройства. Так в [31] получено точное аналитическое решение нестационарной связанной краевой задачи термоэлектроупругости для длинного полого пьезокерамического цилиндра, где в качестве нагрузки используется температурное поле. Точные аналитические решения возможно получить лишь для ограниченного круга задач электроупругости, как правило, канонических форм расчетных областей и такие решения эффективно используются для уточненного описания процессов функционирования, анализа и поиска оптимальных конструктивных параметров разрабатываемых устройств и верификации решений, полученных приближенными численными методами.
Цель – разработка микроструктурной математической модели катушечного композитного FibrCD –актюатора [19], постановка и точное аналитическое решение связанной краевой задачи электроупругости на элементарной цилиндрической составной ячейке с пьезоэлектрическим слоем и управляющими электродами, вычисление и анализ эффективных упругих модулей и коэффициентов пьезоэлектрических напряжений и линейного расширения его трансверсально-изотропной волоконистой структуры.
2. Пьезоволоконный дисковый актюатор. Разрабатываемый пьезоволоконный дисковый (FibrCD) актюатор (рис. 1) [19] представляют собой круговую катушку в виде мотка (скрепленного полимерным связующим) гибкого «одножильного экранированного» пьезоэлектрического кабеля (рис. 2), который имеет структуру цилиндрического конденсатора из двух соосных цилиндрических электродов, разделенных диэлектрическим пьезоэлектрическим слоем толщиной . Поляризация (рис. 2, а) пьезоэлектрического слоя по радиальной координате r ≡ 3 (ось симметрии электроупругих свойств пьезоэлектрика в его главных осях 1, ...,3, табл. 1) осуществляется в результате приложения поляризующего значения электрического напряжения Upol к выходам электродов (рис. 2, b) в цилиндрической системе координат , где ось z совмещена с центральной продольной осью пьезоэлектрического кабеля. Определяющие соотношения для пьезоэлектрического слоя составной ячейки (рис. 3, а) [1, 2]
(2.1)
или в виде
(2.2)
где – тензоры напряжений и деформаций, – векторы индукции и напряженности электрического поля, c, s – взаимообратные тензоры упругих жесткостей и податливостей, e, d – тензоры пьезоэлектрических модулей, тензоры диэлектрических проницаемостей с учетом выражений тензора упругих податливостей s ≡ c-1, компонент тензора диэлектрических проницаемостей при = 0, компонент тензора d деформационных пьезомодулей пьезоэлектрического слоя. Электроупругие свойства пьезоэлектрического слоя считаем трансверсально-изотропными с характеристиками керамики PZT-5 (табл. 1) [1, 2] и матрицей пьезоэлектрических модулей
(2.3)
в главных координатных осях 1, ...,3, где тензорные и матричные индексы связаны между собой соотношениями: 11 → 1, 22 → 2, 33 → 3, 23 и 32 → 4, 13 и 31 → 5, 12 и 21 → 6, в частности, используем обозначения: c11 = c1111, c12 = c1122, c13 = c1133, c33 = c3333, e31 = e311, e33 = e333, 1 = 11, 3 = 33. Пьезоэлектрический слой также может быть изготовлен из полимерного пьезоэлектрика PVDF (рис. 2, b) [20] или композитного материала (рис. 2, c) [21], в частности, полимера PVDF с высоким наполнением пьезокерамическими частицами. Поляризация композитного пьезоэлектрического слоя (рис. 2, c) также (как и для случая однородного пьезоэлектрического слоя) осуществляется в результате приложения поляризующего значения электрического напряжения Upol к выходам электродов пьезоэлектрического кабеля. Композитные FibrCD-актюаторы (рис. 1) с волоконной микроструктурой (рис. 1, 2) можно моделировать однородным на макроуровне диском (кольцом) с эффективными анизотропными электроупругими свойствами, характеризующимися тензорами упругих c*, пьезоэлектрических e* и диэлектрических * свойств. Тензоры c*, e*, * вычисляются методами механики композитов, в частности, на ячейке периодичности в рамках модели идеальной периодической, например, гексагональной укладки (в плоскости поперечного сечения) соседних витков [36, 37], квазипериодического случайного расположения витков [22, 23] или, с целью получения аналитических решений, в рамках полидисперсной модели (рис. 3) [38].
Рис. 1. Дисковый (a) и кольцевой (b) пьезоволоконные FibrCD-актюаторы.
Рис. 2. Поперечное сечение с радиальными направлениями поляризации p (a) пьезоэлектрического волокна (кабеля) с электродами 1,2 и однородным (b) или композитным (c) полимерным пьезоэлектрическим слоем 3.
Таблица 1. Электроупругие свойства пьезокерамики PZT-5
Упругие постоянные, ГПа | Относительные диэлектрические постоянные | Пьезоэлектрические постоянные, Кл/м2 | |||||||
c11 | c12 | c13 | c33 | c44 | 1/0 | 3/0 | e31 | e33 | e15 |
121 | 75.4 | 75.2 | 111 | 21.1 | 916 | 830 | -5.4 | 15.8 | 12.3 |
Рис. 3. Элементарная составная ячейка (a) полидисперсной модели (b) волокнистой структуры пьезокомпозита.
Получим точное аналитическое решение связанной краевой задачи электроупругости на составной ячейке (рис. 3, а) и c использованием которого, далее, найдем эффективные коэффициенты линейного пьезоэлектрического расширения ij* и пьезоэлектрических напряжений ij* композитной волокнистой структуры FibrCD-актюатора (рис. 1) в рамках полидисперсной модели [22, 23, 38] (рис. 3, b). Искомые пьезоэлектрические коэффициенты ij*, ij* входят в определяющие соотношения [39] на макроуровне композита в виде
(2.4)
где c*, s* – взаимообратные тензоры эффективных упругих жесткостей и податливостей, <>, <> – тензоры макронапряжений и макродеформаций соответственно, < ... > – оператор осреднения по представительному объему композита области элементарной составной ячейки (рис. 3, а) при соответствующих условиях ее нагружения.
3. Математическая постановка задачи электроупругости на составной ячейке. Используем цилиндрическую систему координат r,θ,z, где ось z совмещена с центральной продольной осью составной ячейки (рис. 3, а). Область ячейки состоит из концентрически расположенных и контактирующих между собой цилиндрических подобластей: электропроводной жилы (0 < r < a0), пьезоэлектрического слоя (a0 < r < a) и внешнего полимерного слоя (a < r < b) с бесконечно тонкой электродированной прослойкой экранирующим электродом между пьезоэлектрическим слоем и полимерным слоем при r = a. Рассматриваем лишь осесимметричное электромеханическое нагружение составной ячейки (рис. 3, а) через приложение электрического потенциала = Ucon к электропрводной жиле и механическое нагружение внешнего контура при r = b ячейки нормальным напряжением или радиальным смещением u. При этом на внешнем экранирующем электроде при r = a и внутри внешнего полимерного слоя (a < r < b) электрические потенциалы равны нулю. Электропроводную жилу и внешний полимерный слой считаем пьезопассивными, упругими и изотропными. Требуем выполнения условий идеального механического контакта, т.е. непрерывности поля перемещений и вектора напряжений на межфазных поверхнстях при r = a0,a составной ячейки. В результате, с учетом наличия осевой симметрии для геометрической формы, электроупругих свойств (в частности, цилиндрической анизотропии пьезоэлектрического слоя) и условий контакта слоев составной ячейки имеем осесимметричную краевую задачу электроупругости для области составной ячейки, в целом, относительно искомых деформационного и электрического полей как функций радиальной координаты r и с учетом ограниченности решения в центре при r = 0. Отличными от нуля являются лишь радиальная компонента ur вектора перемещения, напряжения rr, , zz, деформации rr, , потенциал , напряженность и индукция электрического поля.
Радиальные и окружные напряжения удовлетворяют уравнению равновесия
(3.1)
а радиальные и окружные деформации выражаются
(3.2)
через радиальные перемещения ur как функции от r. Радиальные компоненты индукции и напряженности электрического поля удовлетворяют уравнениям электростатики
(3.3)
Для пьезоэлектрического слоя определяющие соотношения (2.1) примут вид
(3.4)
с учетом радиальной поляризации и трансверсальной изотропии электроупругих свойств пьезоэлектрика (табл. 1) при равенстве нулю компонент
Для изотропных упругих областей электропроводной жилы и внешнего полимерного слоя определяющие соотношения
как частный случай (3.4), где и независимые упругие константы этих областей, нижние индексы «e» и «m» указывают на принадлежность к электропроводной жиле и внешнему полимерному слою (матрице) соответственно. Поля напряжений, деформаций и перемещений в электропроводной жиле: (e)rr, , (e)rr, , u(e)r и во внешнем полимерном слое: (m)rr, , (m)rr, , u(m)r являются функциями координаты r и удовлетворяют аналогичным (3.1), (3.2) уравнениям равновесия (3.1) и соотношениям малых упругих деформаций (3.2).
Электромеханическое нагружение составной ячейки осуществляется через задание значений электрического потенциала
(3.5)
напряжения
(3.6)
или перемещения
(3.7)
условия идеального контакта на межфазных поверхностях
(3.8)
(3.9)
4. Решение задачи электроупругости на составной ячейке.
4.1. Общее решение для пьезоэлектрического слоя. Для пьезоэлектрического слоя составной ячейки (3.1)–(3.4) имеем систему двух дифференциальных уравнений [28]
(4.1)
относительно искомых полей перемещения ur(r) и электрического потенциала (r) как функций радиальной координаты r, где коэффициенты
(4.2)
В системе (4.1) первое уравнение домножим на a4, а второе – на a2 и, далее, вычтем второе из первого, и в результате получим
(4.3)
или после дифференцирования левой и правой частей уравнения (4.3) по r в виде
(4.4)
Далее левую и правую части уравнения (4.3) поделим на r и сложим их с соответствующими частями уравнения (4.4), что дает
или в виде
с учетом выражения
которое следует из второго уравнения (4.1). Таким образом, приходим к результирующему виду дифференциального уравнения
(4.5)
относительно искомой функции радиальных перемещений ur, где коэффициенты
(4.6)
с учетом (4.2). Частные решения дифференциального уравнения (4.5) ищем в виде ur = rn, после подстановки которого в (4.5) получим характеристическое уравнение
или в виде
(4.7)
корни которого
(4.8)
с учетом (4.6). В рассматриваемом случае (для пьезоэлектрической области) имеем действительные значения корней n2,3 (4.7), (4.8), поэтому искомое решение –
(4.9)
Далее в результате подстановки найденного решения (4.9) в уравнение (4.3) получим
или в виде
решение которого –
(4.10)
где коэффициенты
(4.11)
с учетом (4.2), C1, ..., C4 константы интегрирования.
Таким образом, найденные функции ur, радиального перемещения ur (4.9) и электрического потенциала ö (4.10) являются общим решением осесимметричной связанной краевой задачи электроупругости (4.1) для пьезоэлектрического трансверсально-изотропного цилиндрического слоя с радиальной поляризацией. Соответствующие найденным полям ur, общие решения для деформаций (3.2)
(4.12)
и электрической напряженности
(4.13)
и, далее, с учетом (3.4) для напряжений
(4.14)
(4.15)
(4.16)
и электрической индукции
(4.17)
4.2. Общие решения для жилы и внешнего слоя. Общие решения для изотропных областей электропроводной жилы (0 < r < a0) и внешнего полимерного слоя связующего (a < r < b) запишем как частные случаи полученных ранее решений (4.9), (4.12), (4.14) (4.16) с учетом равенств: a1 = 1, a2 = a3 = 0 (4.2), A = 3, B = 0 (4.6), n2,3 = ±1 (4.8) для этих случаев. В частности, с учетом ограниченности решения в центре (r = 0) для электропроводной жилы имеем
(4.18)
и для внешнего полимерного слоя (матрицы)
(4.19)
(4.20)
4.3. Определение констант интегрирования. Константы интегрирования: C1, ..., C4 (4.9), (4.10), (4.12) (4.17), C(e)1 (4.18), C(m)1, C(m)2 (4.19), (4.20) определим из 3-х условий электромеханического нагружения (3.5) (3.7) по заданным значениям управляющего электрического напряжения Ucon на электродах, механического напряжения s или перемещения u на внешнем контуре и 4-х условий идеального контакта на межфазных поверхностях (3.8), (3.9).
Таким образом, из условия (e)rr = rr (3.8) при r = a0 с учетом вида решений (4.14), (4.18) следует равенство
(4.21)
из условия u(e)r = ur (3.8) с учетом (4.9), (4.18) при r = a0
(4.22)
из условия rr = (m)rr (3.9) с учетом (4.14), (4.20) при r = a
(4.23)
из условия ur = u(m)r (3.9) с учетом (4.9), (4.19) при r = a
(4.24)
из условия = Ucon (3.5) с учетом (4.10) при r = a0
(4.25)
из условия = 0 (3.5) с учетом (4.10) при r = a
(4.26)
из условия s(m)rr = s (3.6) с учетом (4.20) при r = b
(4.27)
или из условия u(m)r |r = b = u (3.7) с учетом (4.19)
(4.28)
Константы интегрирования: C1, ..., C4 (4.9), (4.10), (4.12) (4.17), C(e)1 (4.18), C(m)1, C(m)2 (4.19), (4.20) определим из системы семи линейных алгебраических уравнений (4.21) (4.27)
(4.29)
где отличные от нуля компоненты матрицы [a] и вектор-столбца {b}:null (4.30)
седьмая строка для случая
(4.31)
или для случая (3.7) –
(4.32)
Отметим, что для пьезоэлектрического слоя выполняется равенство
.
5. Эффективные пьезоэлектрические коэффициенты. Тензор эффективных пьезоэлектрических напряжений (2.4) композитного FibrCD-актюатора
(5.1)
определим через осредненные или «макроскопические» осесимметричные напряжения ⟨⟩ составной ячейки
(5.2)
для случая ⟨⟩ = 0, т.е. при неподвижном внешнем контуре (u. = 0) и неподвижных торцов составной ячейки (4.32); здесь индекс 3′ соответствует направлению продольной оси r3′ ≡ z пьезоэлектрического кабеля и совпадает с окружной координатной линией диска актюатора, r1′r2′ плоскость изотропии эффективных трансверсально-изотропных электроупругих свойств волокнистого композита, i ′j ′ символы Кронекера. В формуле (5.2) использованы обозначения
(5.3)
для случая u. = 0, Ucon ≠ 0 (3.5), (3.7), (4.32). Тензор пьезоэлектрических напряжений (5.1) допускает выражение своих компонент
(5.4)
через независимые эффективные продольный 3′* и поперечный 1′* коэффициенты. В (5.3) макроскопическое продольное напряжение 3′ это осредненное по поперечному сечению составной ячейки значение, которое рассчитывается через величины: , , осредненные по каждой из подобластей: жиле, пьезоэлектрическому слою и внешнему полимерному слою значения ранее полученых решений (e)zz (4.18), zz (4.16), s(m)zz (4.20) с учетом равенств в силу однородности напряженно-деформированного состояния электропроводной жилы. Осредненное по пьезоэлектрическому (a0 < r < a) слою величина продольных напряжений имеет вид
с учетом (4.16), где коэффициенты
(5.5)
относительные объемные доли
(5.6)
элементов структуры (слоев) составной ячейки (рис. 3). Эффективный коэффициент пьезоэлектрического расширения в плоскости изотропии r1′r2′ композита
(5.7)
для случая , (3.6), (4.31). Полученное осесимметричное решение (4.9) (4.32) для области составной ячейки (рис. 3, a) может быть использовано для нахождения лишь двух из пяти независимых эффективных упругих констант FibrCD-актюатора
(5.8)
при заданных значениях: ≡ ≠ 0, Ucon = 0 с учетом zz = 0 (3.5), (3.7), (4.32), где k* объемный модуль плоской деформации в плоскости r1′r2′ , использованы обозначения: компонент тензора эффективных упругих свойств в координатных осях , ось симметрии свойств, выполняется равенство Отметим, что пьезоэлектрические коэффициенты *, * входят в определяющие соотношения (2.4) подхода термоаналогии [39], согласно которому величина управляющего электрического напряжения Ucon, приложенного к выходам электродов актюатора, отождествляется с приращением температуры T, т.е. «нагревом» гомогенной области, например, дискового или кольцевого актюатора (рис.1) с эффективными “термоупругими” свойствами.
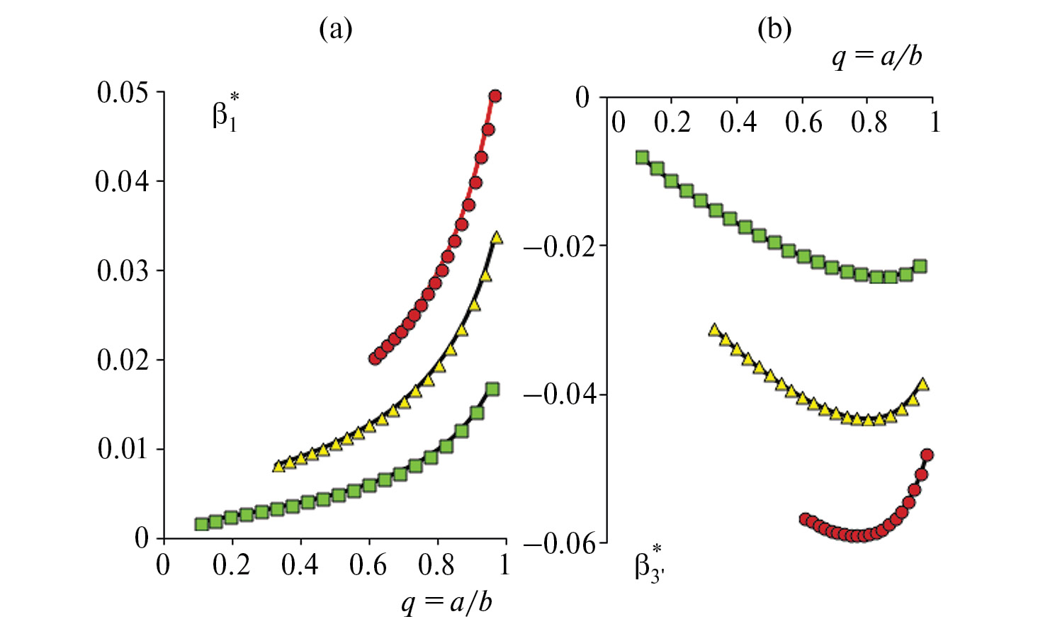
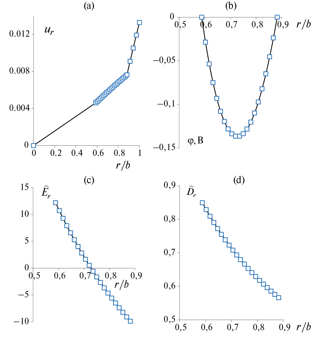
6. Результаты численного моделирования. Осуществим расчет и численный анализ упругих и электрических полей внутри составной ячейки при различных случаях ее электромеханического нагружения (, , Ucon) и прогнозирование эффективных упругих k *, c*1′3′ и пьезоэлектрических *, *1′, *3′ констант (5.1) (5.8) композитного FibrCD-актюатора (рис.1). Электроупругие постоянные керамики PZT-5 приведены в табл. 1 [1, 2], модули Юнга и коэффициенты Пуассона изотропных упругих свойств электропроводной жилы: E(e) = 80 ГПа, n(e) = 0.37 (серебро) и эпоксидного связующего: E(m) = 20 ГПа, v(m) = 0.35. На рис. 4–6 даны графики распределений электроупругих полей по радиальной координате r при значенииях радиусов: a0 = 0.1 мм, a = 0.15 мм, b = 0.17 мм и различных условиях нагружения: =10 МПа, Ucon = 0 В (рис. 4), Ucon ≠ 0 (рис. 5, 6) составной ячейки. На рис. 5 графики функций, полученные для различных граничных условий: = 0 или = 0 на внешнем контуре составной ячейки при Ucon = 1500 В, обозначены маркерами с заливкой (цветные) и без заливки (белые) соответственно. При этом для случаев на рис. 6 (Ucon = 1500 В, 500 В) установлено, что на графики электрического потенциала ö (рис. 6,a), напряженности (рис. 6, b) и индукции (рис. 6, c) практически не влияет различие задаваемых граничных механических условий: = 0 или = 0 на внешнем контуре составной ячейки. В табл. 2 численные значения эффективных упругих и пьезоэлектрических констант композита (рис. 3,b) также получены для случая a0 = 0.1 мм, a = 0.15 мм, b = 0.17 мм. На рис. 7, 8 даны графики зависимостей эффективных коэффициентов пьезоэлектрического расширения a* (рис. 7) и пьезоэлектрических напряжений *1′, *3′ (рис. 8) композита от структурного параметра q = a/b при различных значениях радиуса электропроводной жилы a0 с учетом области допустимых значений , где начальное значение q0 = a0/b.
Для случая традиционных схем размещения электродов на поверхностях однородных пьезоэлектрических пластин, например, при установке электродов на основаниях пьезоэлемента в виде круглой пластины с поляризацией по ее толщине вдоль оси r3 при 33 = 0 аналог коэффициента a* (5.7) запишем в виде
(6.1)
где значения деформационных пьезомодулей: d33 = 0.3732 нм/В, d31 = = -0.1704 нм/В (2.2), коэффициент Пуассона n13 = 0.383 для керамики PZT-5 (табл. 1). Аналоги: , , коэффициентов , где в цилиндрической системе координат индексы 1 и 2 соответствуют радиальному и осевому, а индекс 3 – окружному направлениям координатных линий диска (рис. 1) запишем для двух случаев размещения электродов. В первом случае электроды установлены на верхнем и нижнем основаниях (торцах) дисковой (рис. 1, a) или кольцевой (рис. 1, b) пластины с поляризацией по толщине
(6.2)
а во втором случае на внутренней и внешней цилиндрических поверхностях кольцевой пластины с поляризацией по радиусу (рис. 1, b)
(6.3)
где h – толщина пластины, R – разность внешнего и внутреннего радиусов кольцевой пластины. Преимущество предложенного пьезоэлектрического катушечного композитного FibrCD-актюатора перед подобными традиционными дисковыми актюаторами оценим по значениям коэффициентов эффективности вида: и , в частности, для актюаторов с торцевыми плоско-параллельными электродами
(6.4)
или концентрическими цилиндрическими электродами
(6.5)
где e33, e31 пьезомодули керамики PZT-5 (табл. 1). Например, при значениях параметров: h = ÄR = 10 мм имеем для FibrCD-актюатора значения коэффициентов эффективности: z ≈ -107, 1′ = 2′′ ≈ -70, 2′ = 1′′ ≈ 24, 3′ = 3′′ ≈ 105 с учетом данных в табл.1, 2; при этом знак этих коэффициентов может быть изменен сменой знака управляющего электрического напряжения Ucon на выходах электродов.
Рис. 4. Функции перемещения ur [мкм] (a), электрического потенциала [В] (b), напряженности [кВ/мм] (c) и индукции [мКл/м2] (d) по радиальной координате r пьезоэлектрического слоя составной ячейки при = 10 МПа, Ucon = 0 В.
Рис. 5. Функции перемещения ur [мкм] (a), радиальной и окружной деформаций (b) по радиальной координате r составной ячейки при Ucon = 1500 В.
Рис. 6. Функции электрического потенциала [кВ] (a), напряженности [кВ/мм] (b) и индукции [Кл/м2] (c) по радиальной координате r пьезоэлектрического слоя при Ucon =1500 В (○), 500 В (); пунктирная линия –линейная аппроксимация (для сравнения).
Таблица 2. Эффективные упругие и пьезоэлектрические константы композита
k* | c13* = c23* | * | 1* | 3* |
ГПа | мкВ-1 | МПа/В | ||
64.011 | 48.295 | 0.2939 | 0.0376 | –0.0567 |
Рис. 7. Эффективный коэффициент * [мкВ-1] пьезоэлектрического расширения композита при a0= 0.1 (○), 0.05 (), 0.01 () [мм].
Рис. 8. Эффективные коэффициенты (a), (b) [МПа/В] пьезоэлектрических напряжений композита при a0= 0.1 (○), 0.05 (Ä), 0.01 () [мм].
Заключение. Разработана микроструктурная модель композитного пьезоволоконного катушечного дискового FibrCD-актюатора (рис. 1, 2) [18] и с использованием подхода [28] получено точное аналитическое решение связанной краевой задачи электроупругости для деформационного и электрического полей внутри его элементарной составной ячейки типа «пьезоэлектрический кабель/оболочка связующего» (рис. 3, а) в рамках полидисперсной модели (рис. 3, b) волоконной структуры актюатора. Электромеханическое нагружение составной ячейки осуществляется приложением управляющего электрического напряжения Ucon к электродам кабеля и граничными условиями (s, u) на его внешнем контуре. Точные решения для электроупругих полей (4.9), (4.10), (4.12)–(4.17) как функций радиальной координаты r внутри составной ячейки (рис. 3, а) использованы далее для нахождения аналитических решений (2.4), (5.1) (5.7) эффективных коэффициентов пьезоэлектрического линейного расширения * и пьезоэлектрических напряжений * FibrCD-актюатора (рис. 1) с цилиндрической анизотропией, когда ось симметрии эффективных электроупругих свойств волокнистонго катушечного композита ориентирована по окружной координате актюатора. Графики на рис. 4 иллюстрируют существенную нелинейность распределения электрического потенциала φ по радиальной координате r для случая растяжения напряжением в поперечной плоскости составной ячейки при отсутствии управляющего электрического напряжения, Ucon = 0. Установлено, что большие значения задаваемого управляющего электрического напряжения Ucon, в частности, 500 или 1500 В на электродах обусловливают близкое к линейному распределение электрического потенциала φ по радиальной координате r (рис. 6, a). Осуществлен расчет и численный анализ коэффициентов *, *ij FibrCD-актюатора в сравнении с аналогичными характеристиками традиционных актюаторов (6.1)–(6.5) при различных значениях макроскопических и структурных геометрических параметров FibrCD-актюатора, в частности, толщины h диска или кольца, разности внешнего и внутреннего радиусов DR кольца, относительных размеров толщины слоя полимерного связующего (как минимальной гарантированной прослойки связующего между витками) составной ячейки и радиуса электропроводной жилы a0 пьезоэлектрического кабеля. Выявлено, что при значениях управляющего электрического напряжения Ucon > 0 составная ячейка, в целом, осесимметрично расширяется, но при этом жила внутри ячейки находится в состоянии всестороннего сжатия в трансверсальной плоскости (рис. 5). При смене знака управляющего электрического напряжения, т.е. при Ucon < 0 имеем сжатие составной ячейки и растяжение жилы в трансверсальной плоскости. Зависимости эффективных коэффициентов *, 1*′ составной ячейки от параметра q = a/b относительного значения толщины пьезоэлектрического слоя имеют монотонный характер (рис.7, 8, a). Немонотонный характер зависимости от параметра q имеет лишь величина 3*′ (рис. 8, b) с наличием ярко выраженных экстремумов. Выявлено увеличение абсолютных значений всех коэффициентов *, 1*′, 3*′ при уменьшении толщины пьезоэлектрического слоя при фиксированном значении внешнего радиуса составной ячейки (рис. 7, 8).
Результаты получены при выполнении государственного задания Министерства науки и высшего образования Российской Федерации на выполнение фундаментальных научных исследований (проект № FSNM-2023-0006).
Sobre autores
A. Pan’kov
Perm National Research Polytechnic University
Autor responsável pela correspondência
Email: a_a_pankov@mail.ru
Rússia, Perm
Bibliografia
- Berlinkur D., Kerran D., ZHaffe G. P’ezoelektricheskie i p’ezomagnitnye materialy i ih primenenie v preobrazovatelyah [Piezoelectric and piezomagnetic materials and their applications in transducers] // Fizicheskaya akustika. T.1: Metody i pribory ul’trazvukovyh issledovanij. CHast’ A. Moscow: Mir, 1966. P. 204-326. (in Russian)
- Mezon U. P’ezoelektricheskie kristally i ih primeneniya v ul’traakustike [Piezoelectric crystals and their applications in ultraacoustics]. Moscow: Izd–vo inostr. lit., 1952. 448 p. (in Russian)
- Panich A.E. P’ezokeramicheskie aktyuatory [Piezoceramic actuators]. Rostov-on-Don: RGU, 2008. 160 p. (in Russian)
- Performance-drivencontrol of nano-motionsystems / by Roel J.E. Merry. – Eindhoven University of Technology, 2009. – 285 p.
- Pan’kov A.A. Piezoelectroluminescent fiber-optic sensors for temperature and deformation fields // Sensors and Actuators A: Physical. 2019. V. 288. P. 171–176. https://doi.org/10.1016/j.sna.2019.01.030
- Patent US 2003/0056351 A1. Piezoelectric Macro-Fiber Composite Actuator and Method for Making Same / Wilkie W.K., et al. Application Publ. March 27, 2003.
- Patent RU № 2803015. P›ezoelektricheskij MDS-aktyuator [Piezoelectric MDS-actuator] / Pan’kov A.A., Opubl.: 05.09.2023 Byul. № 25, zayavka № 2023109123 ot 11.04.2023 g. (in Russian)
- Patent RU № 2801619. P›ezoelektricheskij CDS-aktyuator [Piezoelectric CDS-actuator] / Pan’kov A.A., Opubl.: 11.08.2023 Byul. № 23, zayavka № 2023111440 ot 03.05.2023 g. (in Russian)
- Patent RU № 2811420. Sposob izgotovleniya p›ezoelektricheskogo aktyuatora [Manufacturing method of piezoelectric actuator] / Pan’kov A.A., Opubl.: 11.01.2024 Byul. № 2, zayavka № 2023127236 ot 24.10.2023 g. (in Russian)
- Patent RU № 2811455. P›ezoelektricheskij aktyuator [Piezoelectric actuator] / Pan’kov A.A., Opubl.: 11.01.2024 Byul. № 2, zayavka № 2023113448 ot 24.05.2023 g. (in Russian)
- Emad D., Fanni M.A., Mohamed A.M., Yoshida S. Low-Computational-Cost Technique for Modeling Macro Fiber Composite Piezoelectric Actuators Using Finite Element Method // Materials (Basel). 2021. № 14(15). P. 4316.
- Park J.-S., Kim J.-H. Analytical development of single crystal Macro Fiber Composite actuators for active twist rotor blades // Smart Mater. Struct. 2005. № 14. P. 745–753. doi: 10.1088/0964-1726/14/4/033
- Sertifikat RU № 2018666421. Komp’yuternaya programma “MFC PROPERTIES” (MFCP) [Computer program “MFC PROPERTIES” (MFCP )] / Pisarev P.V., Anoshkin A.N., Pan›kov A.A., Opubl.: 17.12.2018. zayavka № 2018663978 ot 05.12.2018. (in Russian)
- Pan’kov A.A., Anoshkin A.N., Pisarev P.V., Bayandin S.R. Using an electromechanical analogy to describe the damping characteristics of an MFC actuator // IOP Conference Series: Materials Science and Engineering. 2021. V. 1093. P. 012023.
- Patent RU № 2811455. P’ezoelektricheskij aktyuator [Piezoelectric actuator] / Pan’kov A.A., Opubl.: 11.01.2024 Byul. № 2, zayavka № 2023113448 ot 24.05.2023 g. (in Russian)
- Patent RU № 2811499. P'ezoelektricheskij aktyuator [Piezoelectric actuator] / Pan’kov A.A., Opubl.: 12.01.2024 Byul. № 2, zayavka № 2023114457 ot 01.06.2023 g. (in Russian)
- Pan’kov A.A. Membrane piezoelectric MDS-actuator with a flat double helix of interacting electrodes // Mechanics of Solids. – 2024. V. 59, № 2. P. 664–678.
- Patent RU № 2793564. P’ezoelektricheskij bimorf izgibnogo tipa [Bending-type piezoelectric bimorph] / Pan’kov A.A., Opubl.: 04.04.2023 Byul. № 10, zayavka № 2022129727 ot 16.11.2022 g. (in Russian)
- Patent RU № 2827058.P'ezoelektricheskij FibrCD-aktyuator [Piezoelectric FibrCD-actuator] / Pan’kov A.A., Opubl.: 23.09.2024 Byul. № 27, zayavka № 2024102307 ot 30.01.2024 g. (in Russian)
- Patent US № 4629925. Piezoelectric coaxial cable / M. Booth, R.J. Penneck, Application Date: 20.11.1984. Publication Date: 16.12.1986. 8 p. https://patents.google.com/patent/US4629925A/en
- Patent US № 4609845. Stretched piezoeleci‘ric polymer coaxial cable / P.L. Soni, N.R. Farrar. Application Date: 06.07.1984. Publication Date: 02.09.1986. 7 p. https://insight.rpxcorp.com/patent/US4609845A
- Pan’kov A.A. P’ezokompozity i datchiki: monografiya v 3-h chastyah / CHast’ 1. Statisticheskaya mekhanika p’ezokompozitov [Piezocomposites and sensors: monograph in 3 parts / Part 1. Statistical mechanics of piezocomposites]. – Perm’: Izd-vo Permskogo nacional’nogo issledovatel’skogo politekhnicheskogo universiteta, 2022. – 234 p. (in Russian)
- Pan’kov A.A. P’ezokompozity i datchiki: monografiya v 3-h chastyah / CHast’ 2. Piroelektromagnitnye effekty kompozitov [Piezocomposites and sensors: monograph in 3 parts / Part 2. Pyroelectromagnetic effects of composites]. – Perm’: Izd-vo Permskogo nacional’nogo issledovatel’skogo politekhnicheskogo universiteta, 2023. – 211 p. (in Russian)
- Grinchenko V.T., Ulitko A.F., SHul›ga N.A. Mekhanika svyazannyh polej v elementah konstrukcij [Mechanics of connected fields in structural elements]. – Kiev: Nauk. dumka, 1989. 279 p. (in Russian)
- Vatul’yan A.O., Kiryutenko A.YU., Nasedkin A.V. Ploskie volny i fundamental’nye resheniya v linejnoj termoelektrouprugosti [Plane waves and fundamental solutions in linear thermoelectroelasticity] // PMTF. 1996. T. 37. № 5. P. 135–142. https://doi.org/10.1007/BF02369312 (in Russian)
- SHul’ga N.A. Radial’nye elektromekhanicheskie nestacionarnye kolebaniya pologo p’ezokeramicheskogo cilindra pri elektricheskom vozbuzhdenii [Radial electromechanical non-stationary oscillations of a hollow piezoceramic cylinder under electric excitation] // Prikladnaya mekhanika. 2009. T. 45. № 2. P. 30–35. (in Russian)
- Grigorenko A.A., Loza I.A. O svobodnyh neosesimmetrichnyh kolebaniyah polyh p’ezokeramicheskih cilindrov konechnoj dliny s radial’noj polyarizaciej [On free non-symmetric oscillations of hollow piezoceramic cylinders of finite length with radial polarization] // Prikladnaya mekhanika. 2010. T. 46. № 11. P. 20–30. (in Russian)
- Shlyahin D.A. Nestacionarnaya osesimmetrichnaya zadacha elektrouprugosti dlya anizotropnogo p’ezokeramicheskogo radial’no polyarizovannogo cilindra [Non-stationary axisymmetric electroelasticity problem for an anisotropic piezoceramic radially polarized cylinder] // Izv. RAN. MTT. 2009. № 1. P. 73–81. (in Russian)
- He T., Tian X., Shen Y. A generalized electromagneto-thermoelastic problem foran infinitely long solid cylinder // European Journal of Mechanics – A/Solids. 2005. V. 24. № 2. P. 349–359. https://doi.org/10.1016/j.euromechsol.2004.12.001
- Vatul’yan A.O., Nesterov S.A. Dinamicheskaya zadacha termoelektrouprugostidlya funkcional›no-gradientnogo sloya [Dynamic problem of thermoelectroelastic properties of the functional gradient layer] // Vychislitel›naya mekhanika sploshnyh sred. 2017. T. 10. № 2. P. 117–126. https://doi.org/10.7242/1999-6691/2017.10.2.10 (in Russian)
- Shlyahin D.A., Kal'mova M.A. Svyazannaya nestacionarnaya zadacha termoelektrouprugosti dlya dlinnogo pologo cilindra [Coupled transient thermoelectroelasticity problem for a long hollow cylinder] // Vestn. Samarskogo gosudarstvennogo tekhnicheskogo universiteta. Ser. Fiz.-mat. nauki. 2020. T. 24. № 4. P. 677–691. https://doi.org/10.14498/vsgtu1781 (in Russian)
- Belokon’ A.V., Skaliuh A.S. Matematicheskoe modelirovanie neobratimyh processov polyarizacii [Mathematical modeling of irreversible polarization processes]. Moscow: Fizmatlit, 2010. 328 p. (in Russian)
- Nasedkin A.V., Nasedkina A.A., Nassar M.E. Homogenization of porous piezocomposites with extreme properties at pore boundaries by effective moduli method // Mech.Solids, 2020. V. 55. P 827–836. https://doi.org/10.3103/S0025654420050131
- Nasedkin A.V., Nasedkina A.A., Rybyanets A.N. Numerical analysis of effective properties of heterogeneously polarized porous piezoceramic materials with local alloying pore surfaces // Materials Physics & Mechanics. 2018. V. 40. № 1. P. 12–21. http://dx.doi.org/10.18720/MPM.4012018_3
- Pan'kov A.A., Pisarev P.V. Numerical modeling in ANSYS of electroelastic fields in a piezo-electroluminescent fiber optic sensor for diagnosing the volumetric deformed state of the composite // PNRPU Mechanics Bulletin. 2017. № 3. P. 153-166. (in Russian)
- Pobedrya B.E. Mekhanika kompozicionnyh materialov [Mechanics of composite materials]. Moscow: Izd–vo Mosk. universiteta, 1984. 336 p. (in Russian)
- Getman I.P., Mol'kov V.A. Ob effektivnyh harakteristikah p’ezoaktivnyh kompozitov s cilindricheskimi vklyucheniyami [On the effective characteristics of piezoactive composites with cylindrical inclusions] // Prikladnaya matematika i mekhanika. 1992. T. 35. № 3. P. 501-509. (in Russian)
- Kristensen R. Vvedenie v mekhaniku kompozitov [Introduction to composites mechanics]. M.: Mir, 1982. 334 p. (in Russian)
- Dong X.-J., Meng G. Dynamic analysis of structures with piezoelectric actuators based on thermal analogy method // International Journal of Advanced Manufacturing Technology. 2006. V. 27. P. 841–844. https://doi.org/10.1007/s00170-004-2290-5
Arquivos suplementares









