Assessment of the level of PD-L1 protein expression on gastric cancer material using the new clone PBM-1A4 and comparison with clones 22C3, SP142, SP263
- Authors: Sotnikova T.N.1,2, Polushkina T.V.2,3, Kalinin D.V.4, Danilova N.V.1,3
-
Affiliations:
- Petrovsky National Research Centre of Surgery
- City Сlinical Hospital named after I.V. Davydovsky of the Moscow City Health Department
- Lomonosov Moscow State University
- National Medical Research Center of Surgery named after A. Vishnevsky
- Issue: Vol 162, No 1 (2024)
- Pages: 81-95
- Section: Технические отчёты
- URL: https://medbiosci.ru/1026-3543/article/view/263602
- DOI: https://doi.org/10.17816/morph.630956
- ID: 263602
Cite item
Abstract
BACKGROUND: The study of the properties of immunotherapeutic markers is a popular and promising area in oncology. One of the most studied targets of immunotherapy is the ligand of the programmed cell death protein 1 (PD-L1). Currently, diagnostic kits for determining PD-L1 expression in tumors are manufactured overseas. To ensure the technological sovereignty of the Russian Federation in medical technologies, research with a domestic clone of PD-L1 antibodies and comparison of the results with already validated analogs are necessary.
AIM: To validate a domestic clone of an antibody to PD-L1 (PBM-1A4) , determine the relationship of the reaction with clinical and morphological parameters, and compare with clones SP142, SP263, and 22C3 in gastric cancer.
MATERIALS AND METHODS: Comparative immunohistochemical analyses of different PD-L1 clones were performed on paraffin blocks of gastric adenocarcinoma surgical material from 39 patients who had not received chemotherapy, radiation, or immunotherapy preoperatively.
RESULTS: PD-L1 expression detected by the PBM-1A4 antibody clone was present in 46.2% of gastric cancer samples. Among PD-L1(PBM-1A4)-positive tumors, neoplasms of the second macroscopic type according to R. Bormann and tubular adenocarcinomas were significantly predominant. The SP142 clone showed the greatest consistency with PBM-1A4 expression (significant consistency, Cohen’s kappa = 0.67335).
CONCLUSION: Compared with the SP142 clone, the PBM-1A4 clone to PD-L1 during immunohistochemical examination on gastric adenocarcinoma material showed a close to identical immunological picture when. The data obtained appear promising for the use of the PBM-1A4 clone in the diagnosis of malignant neoplasms for patients with cancer, taking into account its economic component and accessibility.
Keywords
Full Text
Обоснование
Рак желудка является пятым по распространённости и третьим по уровню летальности онкологическим заболеванием в мире [1]: В Российской Федерации, по данным официальной статистики, за последние годы распространённость данной патологии составляет в среднем 93–95 случаев на 100 тыс. населения [2, 3]. Несмотря на то, что показатель заболеваемости к 2018 году снизился на 12,62% по сравнению с 2008 годом (28,61 и 25,16 случаев на 100 тыс. населения соответственно), абсолютное число новых случаев составляет порядка 35–40 тыс. в год. Значительное число случаев рака желудка диагностируется на поздних стадиях, летальность в течение первого года после установления диагноза приближается к 50% [4]. Прогноз при распространённых и метастатических формах рака желудка остаётся неблагоприятным: медиана выживаемости колеблется в пределах нескольких месяцев [5].
Развитие в последнее десятилетие иммунотерапии злокачественных опухолей с применением ингибиторов контрольных точек иммунитета стало революционным открытием. Одним из наиболее изученных рецепторов «контрольных точек» является белок программируемой клеточной смерти 1 (PD1 — programmed cell death protein 1, CD279) и его лиганды, в частности PD-L1. Для клинического использования были одобрены анти-PD1-антитела (ниволумаб, Nivolumab; пембролизумаб, Pembrolizumab) [6]. Показано, что эти лекарственные химиотерапевтические средства оказывают иммуностимулирующее действие, увеличивают количество опухолеспецифичных цитотоксических Т-лимфоцитов. Для каждого из этих химиопрепаратов предусмотрены собственные диагностические системы [7], однако далеко не всегда диагностические возможности лабораторий на местах позволяют определять экспрессию PD-L1 с помощью того диагностического набора, который прописан в инструкции к химиопрепарату. Исследования по сопоставлению различных клонов антител для PD-L1 при раке желудка немногочисленны. С целью обеспечения технологического суверенитета Российской Федерации в сфере медицинских технологий необходимо проведение исследований с отечественным клоном антител к PD-L1 и сравнение результатов с уже валидированными аналогами. В 2021 году группой российских исследователей разработан собственный клон антител к PD-L1 (PBM-1A4). Таким образом, имеется существенная необходимость в сопоставлении между собой различных тест-систем для выявления PD-L1-позитивных опухолей желудка. Необходимо также проследить связь экспрессии белка PD-L1, выявленной клоном PBM-1A4, с клинико-морфологическими и прогностическими характеристиками рака желудка.
Цель исследования — оценка иммуногистохимической реакции с отечественным клоном антител к PD-L1 (PBM-1A4), определение её связи с клинико-морфологическими параметрами и сопоставление с клонами SP142, SP263 и 22С3 при раке желудка.
Материалы и методы
В исследовании использованы образцы операционного материала от 39 пациентов с диагностированным раком желудка. Пациенты не получали до операции химио-, лучевую или иммунотерапию. Критерии исключения: карцинома in situ, малый объём материала в парафиновых блоках, нейроэндокринная опухоль, лимфома или гастроинтестинальная стромальная опухоль желудка. Возраст пациентов варьировал от 22 до 82 лет (медиана — 62 года). Медиана наблюдения составила 81 мес.
Гистологические микропрепараты изучали при помощи светового микроскопа DM2500 (Leica Microsystems, Германия).
Каждый образец окрашивали иммуногистохимическим методом с антителами к ингибитору контрольных точек иммунитета PD-L1 (4 клона различных производителей, готовые к использованию (RTU)):
- SP142 (Roche Ventana, США);
- SP263 (Roche Ventana, США);
- 22C3 (Dako, США);
- PBM-1A4 («ПраймБиоМед», Россия).
Для определения экспрессии PD-L1 с использованием клонов антител SP142 и SP263 использовали систему детекции OptiView DAB IHC Detection Kit (Roche Diagnostics, США). Окрашивание производили на иммуностейнере BenchMark Ultra (Roche Ventana, США) по стандартному протоколу не позднее чем через 24 ч после изготовления парафиновых срезов. В качестве контроля использованы ткани миндалины и плаценты. Для оценки отечественных антител к PD-L1 применяли антитела клона PBM-1A4 в разведении 1:50. Инкубацию проводили в течение 30 мин. Для оценки экспрессии PD-L1 клоном 22C3 использовали мышиное моноклональное первичное антитело против PD-L1. Окрашивание выполняли на автостейнере Dako Autostainer Link 48 (Agilent Dako, США) в сочетании с системой детекции EnVision DAB (Agilent Technologies, США).
Результаты реакций оценивали с помощью светового микроскопа DM2500 двумя независимыми исследователями при увеличении об. ×20. Для получения микрофотографий использовали сканер PANNORAMIC 250 Flash III (3DHISTECH, Венгрия).
Критерием для позитивного PD-L1-статуса опухоли выбрано полное или частичное мембранное или мембранно-цитоплазматическое окрашивание не менее одной опухолевой и иммунной клетки на 100 клеток, расположенных в толще опухоли или не далее 1 мм от её границы. В подсчёт включали как опухолевые, так и иммунные клетки (использовали показатель CPS, Combined Positive Score [8]). Допускалось наличие гранулярного или зернистого окрашивания по ходу мембраны клетки. Долю окрашенных клеток подсчитывали отдельно для каждого из полей зрения и выводили среднее значение для всего препарата. Для удобства сравнения результаты оценки реакции отображали в баллах: 0 — полное отсутствие реакции, 1 — CPS 1 или менее, 2 — CPS >1<10, 3 — CPS >10, 4 — CPS >50.
Результаты оценки экспрессии маркёров сопоставлены между собой и с основными клинико-морфологическими характеристиками рака желудка: возраст, пол, локализация опухоли, макроскопический тип по R. Bormann, гистологический тип по классификации ВОЗ 2019 года, гистологический тип по классификации P. Lauren, клиническая стадия, глубина инвазии (Т), число метастазов в лимфатические узлы (N), наличие/отсутствие отдалённых метастазов (М) и другими.
Статистическую обработку данных проводили с использованием программ PASW Statistics 22 и MedCalc v. 20.021. Описательные статистики представляли в виде среднего и стандартного отклонения, медианы и 25-го и 75-го процентилей, минимального и максимального значений в выборке для количественных переменных, а также частот встречаемости и долей в выборке — для качественных переменных.
Для сравнения номинальных переменных в двух несвязанных совокупностях использовали критерий хи-квадрат, а при наличии ограничений для его использования — точный критерий Фишера. Для оценки согласованности результатов окрашивания клонов PD-L1 попарно использовали каппа-статистику Коэна, а также строили графики Бланда–Альтмана. Результаты оценки согласия методов с применением каппы Коэна (k) представлены в виде диапазона значений от минимального до максимального (min k–max k), а также среднего значения (μ). Коэффициенты согласия (каппа Коэна) расценивались следующим образом: слабый (k >0–0,2), незначимый (k >0,21–0,4), умеренный (k >0,41–0,6), существенный (k >0,61–0,8) и полное согласие (k >0,81–1,0). Анализ Бланда–Альтмана выполнен с оценкой средней разницы попарно всех методов и границы согласованности (±1,96 среднеквадратичного отклонения средней разницы), а также 95% доверительного интервала (95% ДИ). Рассчитана положительная и отрицательная согласованность для каждой пары данных (методов окрашивания) с помощью таблиц сопряжённости.
Уровень значимости (p) в целом не превышал 0,050 во всех вышеописанных сравнениях. Для множественных сравнений в трёх группах исследования использовали поправку Бонферрони, уровень значимости р принимали равным 0,050/3=0,017.
Результаты
Экспрессия PD-L1, выявленная клоном PBM-1A4, и её взаимосвязь с клинико-морфологическими параметрами рака желудка
Исследовано 39 образцов операционного материала рака желудка. Положительный PD-L1-статус с маркёром PBM-1A4 (значение CPS равно 2, 3 или 4) выявлен в 18 наблюдениях из 39 (46,2%), негативный PD-L1-статус (значение CPS равно 0 или 1) — в 21 случае (53,8%).
Положительная экспрессия маркёра выявлялась как в клетках воспалительного инфильтрата, так и в атипичных клетках. Среди 18 наблюдений с положительным PD-L1-статусом обнаружено 7 случаев со значением CPS 2 балла, 8 случаев — с CPS 3 балла и 3 случая — с уровнем экспрессии CPS 4 балла. Экспрессия PD-L1 (PBM-1A4) представлена на рис. 1, 2, описательная статистика — в приложении 1.
Рис. 1. Отсутствие экспрессии PD-L1 (PBM-1A4) в тубулярной карциноме желудка: а — тубулярная аденокарцинома желудка, окраска гематоксилином и эозином; об. ×5; b — отсутствие экспрессии PD-L1 в опухоли, иммуногистохимическая реакция с антителами к PD-L1 (PBM-1A4), об. ×5; c — отсутствие экспрессии PD-L1 в опухоли, иммуногистохимическая реакция с антителами к PD-L1 (PBM-1A4), об. ×20.
Fig. 1. Lack of PD-L1 expression (PBM-1A4) in gastric tubular adenocarcinoma: a — tubular adenocarcinoma of the stomach, hematoxylin and eosin staining; magn. ×5; b — lack of PD-L1 expression in the tumor, immunohistochemical reaction with antibodies to PD-L1 (PBM-1A4), magn. ×5; c — absence of PD-L1 expression in the tumor, immunohistochemical reaction with antibodies to PD-L1 (PBM-1A4), magn. ×20.
Рис. 2. Экспрессия PD-L1 (PBM-1A4) в тубулярной карциноме желудка: а — тубулярная карцинома желудка, окраска гематоксилином и эозином, об. ×10; b — экспрессия PD-L1 в раке желудка (CPS >50, 4 балла, положительная), иммуногистохимическая реакция с антителами к PD-L1 (PBM-1A4), об. ×10; c — экспрессия PD-L1 в раке желудка (CPS >50, 4 балла, положительная), иммуногистохимическая реакция с антителами к PD-L1 (PBM-1A4), об. ×20.
Fig. 2. Expression of PD-L1 (PBM-1A4) in gastric tubular adenocarcinoma: a — tubular adenocarcinoma of the stomach, hematoxylin and eosin staining, magn. ×10; b — PD-L1 expression in gastric cancer (CPS > 50, 4 points, positive), immunohistochemical reaction with antibodies to PD-L1 (PBM-1A4), magn. ×10; c — PD-L1 expression in gastric cancer (CPS > 50, 4 points, positive), immunohistochemical reaction with antibodies to PD-L1 (PBM-1A4), magn. ×20.
Результаты статистического анализа полученных данных представлены в табл. 1 (для качественных данных) и табл. 2 (для количественных данных).
Таблица 1. Результаты статистического анализа экспрессии PD-L1 (PBM-1A4) для качественных клинико-морфологических характеристик
Table 1. Results of statistical analysis of PD-L1 (PBM-1A4) expression for qualitative clinical and morphological characteristics
Критерии хи-квадрат Пирсона | ||
Клинико-морфологические характеристики | Клон PBM-1A4 к PD-L1 (CPS) | |
Пол | Хи-квадрат | 0,130 |
ст.св | 1 | |
p | 0,718 | |
Локализация | Хи-квадрат | 13,829 |
ст.св. | 7 | |
p | 0,054 | |
Локализация (дистальная/проксимальная) | Хи-квадрат | 0,478 |
ст.св. | 2 | |
p | 0,788 | |
Макроскопическая форма (R. Bormann) | Хи-квадрат | 11,185 |
ст.св. | 3 | |
p | 0,011 | |
Гистологический тип (ВОЗ 2019) | Хи-квадрат | 11,504 |
ст.св. | 5 | |
p | 0,042 | |
Степень дифференцировки (ВОЗ 2010) | Хи-квадрат | 4,387 |
ст.св. | 2 | |
p | 0,111 | |
Степень дифференцировки (ВОЗ 2019) | Хи-квадрат | 0,080 |
ст.св. | 1 | |
p | 0,778 | |
Наличие эмболов в лимфатических сосудах | Хи-квадрат | 0,010 |
ст.св. | 1 | |
p | 0,921 | |
Наличие эмболов в кровеносных сосудах | Хи-квадрат | 0,087 |
ст.св. | 1 | |
p | 0,768 | |
Глубина инвазии опухоли (Т) | Хи-квадрат | 1,460 |
ст.св. | 4 | |
p | 0,834 | |
Количество регионарных лимфатических узлов с метастазами (N) | Хи-квадрат | 5,827 |
ст.св. | 4 | |
p | 0,212 | |
Наличие отдалённых метастазов (M) | Хи-квадрат | 0,591 |
ст.св. | 1 | |
p | 0,442 | |
Клиническая стадия | Хи-квадрат | 1,573 |
ст.св. | 5 | |
p | 0,905 | |
Гистологический тип по P. Lauren | Хи-квадрат | 3,234 |
ст.св. | 2 | |
p | 0,199 | |
Таблица 2. Результаты статистического анализа экспрессии PD-L1 (PBM-1A4) для количественных клинико-морфологических характеристик
Table 2. Results of statistical analysis of PD-L1 (PBM-1A4) expression for quantitative clinical and morphological characteristics
Статистические критерии | |||||||
Критерии | Возраст | Размеры опухоли, см | Степень дифференцировки (ВОЗ 2010) | T | N | M | Стадия |
U Манна–Уитни | 185,500 | 158,500 | 85,000 | 187,500 | 137,500 | 168,000 | 150,000 |
Вилкоксона | 416,500 | 348,500 | 176,000 | 418,500 | 308,500 | 339,000 | 321,000 |
Z | 0,099 | 0,380 | 0,679 | 0,047 | 1,499 | 0,759 | 1,125 |
Асимптоматическая значимость (двухсторонняя) | 0,921 | 0,704 | 0,497 | 0,963 | 0,134 | 0,448 | 0,261 |
Значимые различия между PD-L1(PBM-1A4)-позитивными и PD-L1(PBM-1A4)-негативными опухолями обнаружены при сопоставлении макроскопических типов по R. Bormann (рис. 3, а): 2-й (блюдцеобразный) макроскопический тип встречался среди PD-L1(PBM-1A4)-позитивных опухолей значимо чаще, чем среди PD-L1(PBM-1A4)-негативных опухолей (61,1% против 23,8%); при статистическом анализе р=0,011. Выявлены также значимые различия по гистологическому типу опухолей (рис. 3, b). Среди PD-L1(PBM-1A4)-позитивных новообразований тубулярный гистологический тип выявлен в 83,3% наблюдений, а среди PD-L1(PBM-1A4)-негативных опухолей — в 47,6% случаев; при статистическом анализе р=0,042.
Рис. 3. Структурные диаграммы для пациентов в группах PD-L1(PBM-1A4)-негативных и PD-L1(PBM-1A4)-позитивных опухолей: а — распределение по макроскопической форме опухолей; b — распределение по гистологическому типу опухолей; c — структурная диаграмма распределения по полу; d — структурная диаграмма распределения дистальной/проксимальной локализации опухолей.
Fig. 3. Structural diagrams for patients in the groups of PD-L1(PBM-1A4)-negative and PD-L1(PBM-1A4)-positive tumors: a — distribution according to the macroscopic shape of tumors; b — distribution by histological type of tumors; c — structural diagram of gender distribution; d — structural diagram of the distribution of distal/proximal tumor localization.
По другим клинико-морфологическим параметрам различий между группами не обнаружено. В частности, у мужчин PD-L1(PBM-1A4)-позитивные опухоли обнаружены в 61,1% случаев; PD-L1(PBM-1A4)-негативные — в 66,7% случаев (р=0,718) (рис. 3, c). Средний возраст пациентов в группе PD-L1(PBM-1A4)-позитивных опухолей составил 62 года, медиана — 63 года; в группе PD-L1(PBM-1A4)-негативных опухолей средний возраст составил 61 год, медиана — также 63 года (р=0,922). Количество опухолей проксимальной и дистальной локализации среди PD-L1(PBM-1A4)-позитивных образований составило 50,0 и 33,3% соответственно, а среди PD-L1(PBM-1A4)-негативных опухолей — 57,1 и 33,3% соответственно (р=0,788) (рис. 3, d). Средний размер PD-L1(PBM-1A4)-позитивных опухолей — 7,1 см, PD-L1(PBM-1A4)-негативных — 6,8 см (р=0,707). Количество пациентов с опухолями HG среди PD-L1(PBM-1A4)-позитивных новообразований составило 66,7%, а среди PD-L1(PBM-1A4)-негативных — 61,5% (р=0,778). Не обнаружено различий и по наличию опухолевых эмболов в просветах кровеносных сосудах (р=0,768), глубине инвазии (р=0,834), количеству лимфатических узлов с метастазами (р=0,212), наличию отдалённых метастазов (р=0,442), клинической стадии (р=0,905) и подтипу по P. Lauren (р=0,199) (см. табл. 1).
Таким образом, PD-L1(PBM-1A4)-позитивные опухоли чаще относятся ко второму макроскопическому типу по R. Bormann (р=0,011), среди них преобладают тубулярные аденокарциномы (р=0,042) (см. табл. 1).
Сопоставление экспрессии PD-L1, выявленной различными клонами антител
Экспрессия PD-L1, выявленная с помощью отечественного клона антител PBM-1A4, была сопоставлена с уже ранее валидированными клонами антител: SP263, SP142 и 22С3. Для сравнения использованы 39 наблюдений рака желудка, окрашенные одновременно всеми клонами антител.
При сопоставлении с клоном SP263 выявлено, что из 24 наблюдений, положительных при окрашивании SP263, только 16 (66,7%) были положительными при окрашивании PBM-1A4 (табл. 3). Общее процентное соответствие (точность) метода с использованием клона PBM-1A4 составило 60,0% по отношению к клону SP263 (табл. 4): чувствительность — 20,0%, специфичность — 86,67%, положительная прогностичеcкая ценность (PPV) — 50,0%, отрицательная прогностическая ценность (NPV) — 61,90%. Различная экспрессия маркёров на примере одного случая тубулярной аденокарциномы желудка приведена на рис. 4.
Таблица 3. Комбинационная таблица
Table 3. Combination table
Ранее валидированные маркёры | Клон PBM-1A4 к PD-L1 (CPS) | Всего | ||
Нет экспрессии | Есть экспрессия | |||
PD-L1 SP263 (CPS) | Нет экспрессии | 13 | 2 | 15 |
Есть экспрессия | 8 | 16 | 24 | |
Всего | 21 | 18 | 39 | |
PD-L1 SP142 (CPS) | Нет экспрессии | 20 | 5 | 25 |
Есть экспрессия | 1 | 12 | 13 | |
Всего | 21 | 17 | 38 | |
PD-L1 22C3 (CPS) | Нет экспрессии | 16 | 12 | 28 |
Есть экспрессия | 5 | 6 | 11 | |
Всего | 21 | 18 | — | |
Таблица 4. Статистические показатели совпадения экспрессии PD-L1, выявленной клоном PBM-1A4 (CPS), с другими клонами антител, %
Table 4. Statistical indicators of the coincidence of PD-L1 expression detected by the PBM-1A4 clone (CPS) with other antibody clones
Статистический показатель | Значение показателя для клона SP263, % | 95% ДИ | Значение показателя для клона SP142, % | 95% ДИ | Значение показателя для клона 22С3, % | 95% ДИ |
Процент совпадений положительных результатов — чувствительность (Positive Percent Agreement, PPA) | 20,0 | 2,52–55,61 | 92,31 | 63,97–99,81 | 54,55 | 23,38–83,25 |
Процент совпадений отрицательных результатов — специфичность (Negative Percent Agreement, NPA) | 86,67 | 59,54–98,34 | 80,0 | 59,30–93,17 | 57,14 | 37,18–75,54 |
Положительная прогностичеcкая ценность (positive predictive value, PPV) | 50,0 | 14,32–85,68 | 70,59 | 51,90–84,22 | 33,33 | 20,08–49,88 |
Отрицательная прогностическая ценность (negative predictive value, NPV) | 61,90 | 52,93–70,13 | 95,24 | 75,07–99,25 | 76,19 | 60,84–86,83 |
Общее процентное соответствие — точность (overall percent agreement, OPA) | 60,0 | 38,67–78,87 | 84,21 | 68,75–93,98 | 56,41 | 39,62–72,19 |
Рис. 4. Сопоставление экспрессии PD-L1, выявленной различными клонами в тубулярной карциноме желудка: а — положительная экспрессия PD-L1 SP263 в опухоли (2 балла); b — положительная экспрессия PD-L1 SP142 в опухоли (2 балла); c — положительная экспрессия PD-L1 22C3 в опухоли (3 балла); d — отсутствие экспрессии PD-L1 PBM-1A4 в той же опухоли.
Fig. 4. Comparison of PD-L1 expression detected by different clones in gastric tubular carcinoma: a — positive expression of PD-L1 SP263 in the tumor (2 points); b — positive expression of PD-L1 SP142 in the tumor (2 points); c — positive expression of PD-L1 22C3 in the tumor (3 points); d — lack of expression of PD-L1 PBM-1A4 in the same tumor.
Показатель согласованности (каппа Коэна) результатов диагностики оказался равен 0,496 (95% ДИ: 0,23887–0,75338; стандартная ошибка — 0,13125), что может трактоваться как умеренная согласованность.
Коэффициент корреляции Пирсона между экспрессией PD-L1, выявленной клонами SP263 и PBM-1A4, составил 0,376 (95% ДИ: 0,231–0,443; р=0,361) (рис. 5, а).
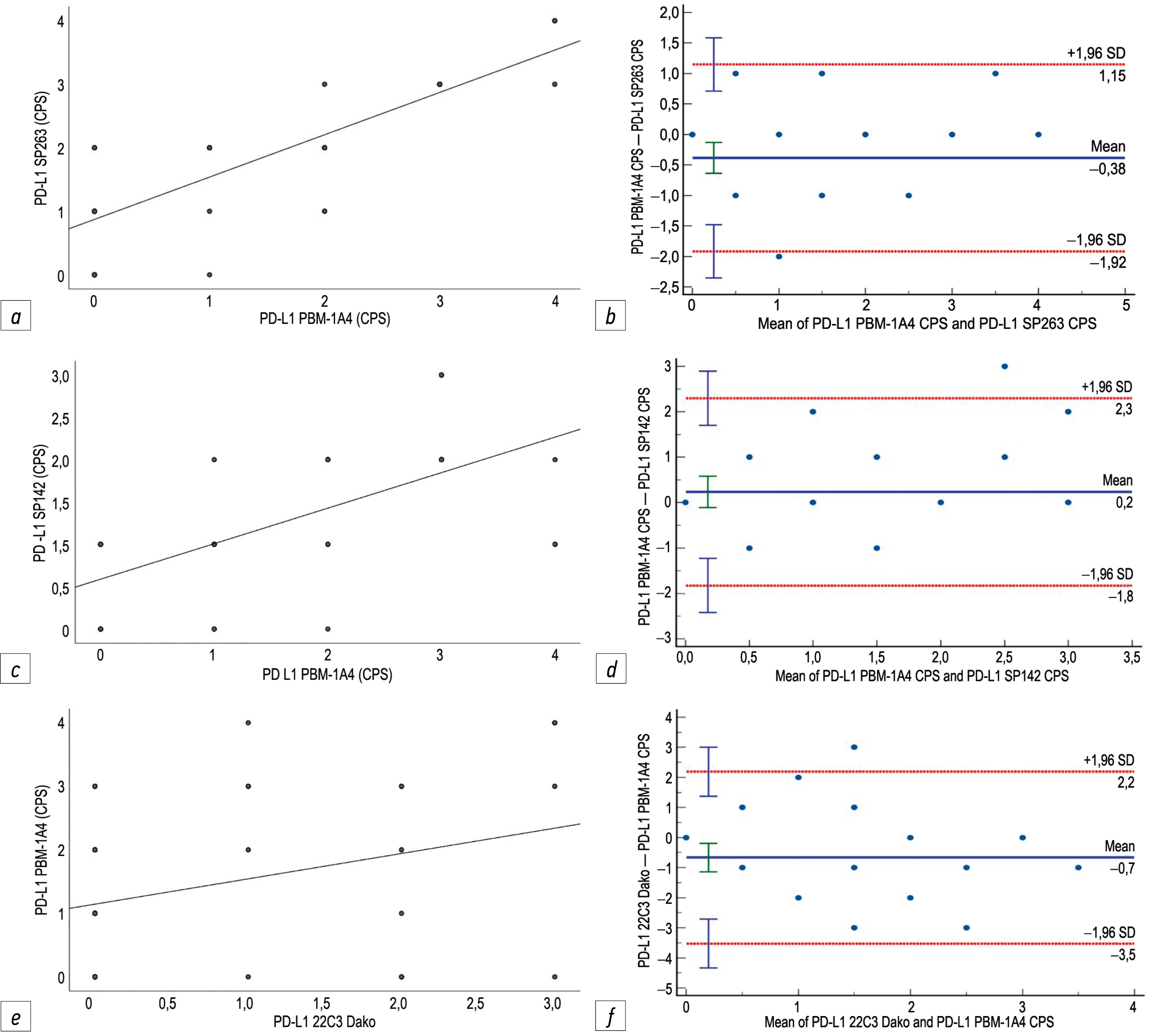
Рис. 5. Статистические показатели сравнения клонов PBM-1A4, SP263, SP142, 22С3: а — корреляция между экспрессией PD-L1, выявленной клонами SP263 и PBM-1A4; b — график Бланда–Альтмана для визуализации средней разницы в CPS между клонами PD-L1 SP263 и PD-L1 PBM-1A4; c — корреляция между экспрессией PD-L1, выявленной клонами SP142 и PBM-1A4; d — график Бланда–Альтмана для визуализации средней разницы в CPS между клонами PD-L1 SP142 и PD-L1 PBM-1A4; e — корреляция между экспрессией PD-L1, выявленной клонами 22С3 и PBM-1A4; f — график Бланда–Альтмана для визуализации средней разницы в CPS между клонами PD-L1 22С3 и PD-L1 PBM-1A4.
Fig. 5. Statistical indicators for comparison of clones PBM-1A4, SP263, SP142, 22С3: a — correlation between PD-L1 expression detected by clones SP263 and PBM-1A4; b — Bland–Altman plot to visualize the average difference in CPS between clones PD-L1 SP263 and PD-L1 PBM-1A4; c — correlation between PD-L1 expression detected by clones SP142 and PBM-1A4; d — Bland–Altman plot to visualize the average difference in CPS between clones PD-L1 SP142 and PD-L1 PBM-1A4; e — correlation between PD-L1 expression detected by clones 22C3 and PBM-1A4; f — Bland–Altman plot to visualize the average difference in CPS between clones PD-L1 22C3 and PD-L1 PBM-1A4.
Анализ Бланда–Альтмана выполнен для визуализации средней разницы в CPS между клонами PD-L1 SP263 и PD-L1 PBM-1A4 и средней экспрессии PD-L1, выявленной двумя клонами (табл. 5, рис. 5, b). Анализ графика Бланда–Альтмана определил среднюю разницу в –0,38% между экспрессией PD-L1, выявленной клонами PD-L1 SP263 и PD-L1 PBM-1A4, во всех образцах (нижний 2,5-й и верхний 97,5-й процентили различий составляли –1,92 и 1,15% соответственно).
Таблица 5. Статистические параметры анализа Бланда–Альтмана для визуализации средней разницы в CPS между клоном PBM-1A4 и другими клонами антител
Table 5. Statistical parameters of Bland–Altman analysis to visualize the mean difference in CPS between PBM-1A4 clone and other antibody clones
Показатель | Клон антител SP263 | Клон антител SP142 | Клон антител 22С3 |
Среднее арифметическое | –0,3846 | 0,2368 | –0,6667 |
95% ДИ | –0,6381…–0,1312 | –0,1086…0,5823 | –1,1390…–0,1944 |
p | 0,0039 | 0,1731 | 0,0069 |
Нижняя граница | –1,9171 | –1,8231 | –3,5224 |
95% ДИ | –2,3540…–1,4802 | –2,4187…–1,2275 | –4,3365…–2,7082 |
Верхняя граница | 1,1479 | 2,2968 | 2,1890 |
95% ДИ | 0,7110…1,5848 | 1,7012…2,8924 | 1,3749…3,0032 |
При сопоставлении с клоном SP142 выявлено, что из 13 наблюдений, положительных при окрашивании SP142, 12 (92,3%) были положительными при окрашивании PBM-1A4 (см. табл. 4). Общее процентное соответствие (точность) метода с использованием клона PBM-1A4 составило 84,21% по отношению к клону SP142 (см. табл. 5), чувствительность — 92,31%; специфичность — 80,0%; PPV — 70,59%; NPV — 95,24%.
Показатель согласованности (каппа Коэна) результатов диагностики оказался равен 0,67335 (95% ДИ: 0,43954–0,90716; стандартная ошибка — 0,11929), что может трактоваться как существенная согласованность.
Коэффициент корреляции Пирсона между экспрессией PD-L1, выявленной клонами SP142 и PBM-1A4, составил 0,581 (95% ДИ: 0,501–0,676; р=0,123) (рис. 5, c).
Анализ графика Бланда–Альтмана выполнен для визуализации средней разницы в CPS между клонами PD-L1 SP142 и PD-L1 PBM-1A4 и средней экспрессии PD-L1, выявленной двумя клонами (см. табл. 5; рис. 5, d). Этот анализ определил среднюю разницу в 0,237% между экспрессией PD-L1, выявленной клонами PD-L1 SP142 и PD-L1 PBM-1A4, во всех образцах (нижний 2,5-й и верхний 97,5-й процентили различий составляли –1,81 и 2,3% соответственно).
При сопоставлении с клоном 22С3 выявлено, что из 18 наблюдений, положительных при окрашивании 22С3, лишь 6 (30%) были положительными при окрашивании PBM-1A4 (см. табл. 3). Общее процентное соответствие (точность) метода с использованием клона PBM-1A4 составило 56,41% по отношению к клону 22С3 (см. табл. 4); чувствительность — 54,55%, специфичность — 57,14%; PPV — 33,33%; NPV — 76,19%.
Показатель согласованности (каппа Коэна) результатов диагностики оказался равен 0,097959 (95% ДИ: –0,19401…0,38993; стандартная ошибка — 0,14896), что может трактоваться как отсутствие согласованности.
Коэффициент корреляции Пирсона между экспрессией PD-L1, выявленной клонами SP142 и PBM-1A4, составил 0,192 (95% ДИ: 0,001–0,236; р=0,973) (рис. 5, e).
Анализ графика Бланда–Альтмана выполнен для визуализации средней разницы в CPS между клонами PD-L1 22С3 и PD-L1 PBM-1A4 и средней экспрессии PD-L1, выявленной двумя клонами (см. табл. 5, рис. 5, f). Этот анализ определил среднюю разницу в 0,667% между экспрессией PD-L1, выявленной клонами PD-L1 22С3 и PD-L1 PBM-1A4, во всех образцах (нижний 2,5-й и верхний 97,5-й процентили различий составляли –3,52 и 2,19% соответственно).
Таким образом, из всех валидированных ранее методик наибольшую согласованность с экспрессией PBM-1A4 демонстрирует клон SP142. Показатель согласованности (каппа Коэна) результатов диагностики оказался равен 0,67335 (95% ДИ: 0,43954–0,90716; стандартная ошибка — 0,11929), что может трактоваться как существенная согласованность. При сопоставлении с клоном SP142 выявлено, что общее процентное соответствие (точность) метода с использованием клона PBM-1A4 составило 84,21%; чувствительность — 92,31%; специфичность — 80,0%; PPV — 70,59%; NPV — 95,24%. Показатели согласованности с другими клонами PD-L1 были ниже (каппа Коэна для SP263 оказался равен 0,496, а для 22С3 — 0,097959). Общее процентное соответствие (точность) метода с использованием клона PBM-1A4 составило 60,0% по отношению к клону SP263; чувствительность — 20,0%; специфичность — 86,67%; PPV — 50,0%; NPV — 61,9%. Точность метода с использованием клона PBM-1A4 составила 56,41% по отношению к 22С3, чувствительность — 54,55%, специфичность — 57,14%, PPV — 33,33%, NPV — 76,19%.
Таким образом, из всех валидированных ранее методик наибольшую согласованность с экспрессией PBM-1A4 демонстрирует клон SP142 (Roche, Ventana). Показатели согласованности с другими клонами PD-L1 были значительно ниже.
Обсуждение
Экспрессия PD-L1, выявленная клоном PBM-1A4, и её взаимосвязь с клинико-морфологическими параметрами рака желудка
Экспрессию PD-L1, выявленную клоном PBM-1A4, ранее никогда не оценивали в злокачественных новообразованиях желудка. В литературе имеются лишь единичные публикации, исследующие клон PBM-1A4 в других солидных опухолях [9]. В нашем исследовании частота выявления PD-L1(PBM-1A4)-позитивных опухолей составила 46,2% от всех исследованных случаев, что несколько превышает опубликованные ранее данные по экспрессии PD-L1, выявленной другими клонами антител [10]. PD-L1(PBM-1A4)-позитивные опухоли значимо чаще относятся ко 2-му макроскопическому типу по R. Bormann (р=0,011), среди них значимо преобладают тубулярные аденокарциномы (р=0,042). Эти данные совпадают с литературными, поскольку с помощью других клонов антител к PD-L1 показано, что к PD-L1-позитивным новообразованиям относятся в основном тубулярные аденокарциномы желудка [7, 11, 12]. Других статистически значимых различий между PD-L1(PBM-1A4)-негативными и PD-L1(PBM-1A4)-позитивными опухолями по клинико-морфологическим параметрам не выявлено.
Таким образом, впервые на крупной выборке операционного материала от пациентов с раком желудка выполнено исследование экспрессии PD-L1 с отечественным клоном антител PBM-1A4. Данный клон антител к PD-L1 выявляет значительную часть новообразований желудка, при которых пациентам показана иммунотерапия, что является существенным прорывом в отечественных медицинских технологиях. Впервые для данного клона антител показано преобладание тубулярных аденокарцином желудка и аденокарцином 2-го типа по R. Bormann.
Сопоставление экспрессии PD-L1, выявленной различными клонами антител
Из всех валидированных ранее методик наибольшую согласованность с экспрессией PBM-1A4 демонстрирует клон SP142 (Roche Ventana, США). Показатель согласованности (каппа Коэна) результатов диагностики оказался равен 0,67335 (95% ДИ: 0,43954–0,90716, стандартная ошибка — 0,11929), что может трактоваться как существенная согласованность. При сопоставлении с клоном SP142 выявлено, что чувствительность метода с использованием клона PBM-1A4 составила 92,31%, а NPV — 95,24%. Специфичность составила 80,0%, что требует от производителя проведения дальнейших исследований и возможной модификации состава вспомогательных реагентов.
Заключение
Экспрессия PD-L1, выявленная клоном антител PBM-1A4, представлена в 46,2% образцов рака желудка. Среди PD-L1(PBM-1A4)-позитивных опухолей значимо преобладают новообразования 2-го макроскопического типа по R. Bormann и тубулярные аденокарциномы. Других корреляций с клинико-морфологическими параметрами не выявлено.
Наибольшая согласованность продемонстрирована с клоном SP142 (существенная согласованность, каппа Коэна равна 0,67335). Таким образом, клон PBM-1A4 к PD-L1 при иммуногистохимическом исследовании на материале аденокарциномы желудка показал иммунологическую картину, близкую к тождественной, при сравнении с клоном SP142. Полученные данные представляются перспективными для использования клона PBM-1A4 при диагностики злокачественных новообразований для онкологических пациентов, учитывая его экономическую составляющую и доступность.
Дополнительная информация
Приложение 1. Описательная статистика клинико-морфологических характеристик выборки пациентов c положительным и негативным PD-L1-статусом (PBM-1A4) в аденокарциноме желудка. DOI: https://doi.org/10.17816/morph.630956-4211959
Источник финансирования. Авторы заявляют об отсутствии внешнего финансирования при проведении работы.
Конфликт интересов. Авторы декларируют отсутствие явных и потенциальных конфликтов интересов, связанных с публикацией настоящей статьи.
Вклад авторов. Все авторы подтверждают соответствие своего авторства международным критериям ICMJE (все авторы внесли существенный вклад в разработку концепции, проведение исследования и подготовку статьи, прочли и одобрили финальную версию перед публикацией). Наибольший вклад распределён следующим образом: концепция и дизайн исследования — Т.Н. Сотникова, Н.В. Данилова; сбор и обработка материала — Н.В. Данилова; статистическая обработка данных — Т.Н. Сотникова; написание текста — Т.Н. Сотникова, Т.В. Полушкина; редактирование статьи — Н.В. Данилова, Д.В. Калинин.
Additional information
Supplement 1. Table 1. Descriptive statistics of clinical and morphological characteristics of a sample of patients with positive PD-L1 status (PBM-1A4) and negative PD-L1 status (PBM-1A4) in the gastric adenocarcinoma. DOI: https://doi.org/10.17816/morph.630956-4211959
Funding source. This work was not supported by any external sources of funding.
Competing interests. The authors declare that they have no competing interests.
Authors’ contribution. All authors made a substantial contribution to the conception of the work, acquisition, analysis, interpretation of data for the work, drafting and revising the work, final approval of the version to be published and agree to be accountable for all aspects of the work. The concept and design of the study — T.N. Sotnikova, N.V. Danilova; collection and processing of material — N.V. Danilova; statistical data processing — T.N. Sotnikova; writing text — T.N. Sotnikova, T.V. Polushkina; editing — N.V. Danilova, D.V. Kalinin.
About the authors
Tatyana N. Sotnikova
Petrovsky National Research Centre of Surgery; City Сlinical Hospital named after I.V. Davydovsky of the Moscow City Health Department
Author for correspondence.
Email: docsotnikova@mail.ru
ORCID iD: 0000-0002-6482-1110
SPIN-code: 4609-6164
Russian Federation, Moscow; Moscow
Tatyana V. Polushkina
City Сlinical Hospital named after I.V. Davydovsky of the Moscow City Health Department; Lomonosov Moscow State University
Email: peperonya1173@yandex.ru
ORCID iD: 0000-0001-7458-991X
SPIN-code: 1773-4243
Russian Federation, Moscow; Moscow
Dmitry V. Kalinin
National Medical Research Center of Surgery named after A. Vishnevsky
Email: dmitry.v.kalinin@gmail.com
ORCID iD: 0000-0001-6247-9481
SPIN-code: 5563-5376
MD, Cand. Sci. (Medicine)
Russian Federation, MoscowNatalia V. Danilova
Petrovsky National Research Centre of Surgery; Lomonosov Moscow State University
Email: natalyadanilova@gmail.com
SPIN-code: 6878-2025
MD, Dr. Sci. (Medicine)
Russian Federation, Moscow; MoscowReferences
- Bray F, Ferlay J, Soerjomataram I, et al. Global cancer statistics 2018: GLOBOCAN estimates of incidence and mortality worldwide for 36 cancers in 185 countries. CA Cancer J Clin. 2018;68(6):394–424. Corrected and republished from: CA Cancer J Clin. 2020;70(4):313. (In Russ.). doi: 10.3322/caac.21492
- Petrova GV, Gretsova OP, Starinsky VV. A comparison of the cancer incidence rates between the state cancer statistics and cancer registry data in the Russian Federation. Siberian Journal of Oncology. 2019;18(5):5–11. (In Russ.). EDN: LXIOLV doi: 10.21294/1814-4861-2019-18-5-5-11
- Petrova GV, Starinsky VV, Gretsova OP, и др. Cancer care to the population of Russia in 2017 according to the data of federal statistical observation. P.A. Herzen Journal of Oncology. 2019;8(1):32–40. (In Russ.). EDN: ZCQTIL doi: 10.17116/onkolog2019801132
- Caprin AD, Starinskiy VV, Khaylova ZhV, Shakhzadova AO. The comparative analysis of achieving the indicators of the regional projects “Control of oncological diseases” based on the real-time monitoring data in January-May 2018–2019. Vestnik Roszdravnadzora. 2019(4):64–71. (In Russ.). EDN: ZPNGGD doi: 10.35576/article_5d651dbc693279.10409311
- Di Pinto F, Armentano R, Arborea G, et al. Are immunohistochemical markers useful in phenotypic gastric cancer classification? Oncology. 2020;98(8):566–574. doi: 10.1159/000506077
- Robert C, Ribas A, Wolchok JD, et al. Anti-programmed-death-receptor-1 treatment with pembrolizumab in ipilimumab-refractory advanced melanoma: a randomised dose-comparison cohort of a phase 1 trial. Lancet. 2014;384(9948):1109–1117. doi: 10.1016/s0140-6736(14)60958-2
- Danilova NV, Sotnikova TN, Kalinin DV. PD-L1 expression in EBV-associated gastric carcinomas. Arkhiv patologii. 2022;84(4):5–12. (In Russ.). EDN: CPYSZS doi: 10.17116/patol2022840415
- Ma J, Li J, Qian M, et al. PD-L1 expression and the prognostic significance in gastric cancer: a retrospective comparison of three PD-L1 antibody clones (SP142, 28–8 and E1L3N). Diagn Pathol. 2018;13(1):91. doi: 10.1186/s13000-018-0766-0
- Abdulzhaliev AT, Boulytcheva IV, Kovaleva OV, et al. PD-L1 and PU.1 expression in malignant peripheral nerve sheath tumors. Clinical and Experimental Morphology. 2023;12(2):44–53. (In Russ.). EDN: LMFJQQ doi: 10.31088/CEM2023.12.2.44-53
- Sotnikova TN, Danilova NV, Polushkina TV, Kalinin DV. Association between PD-L1 status detected by SP142 and SP263 antibody clones and clinical and morphological features of gastric cancer factors. Journal of Anatomy and Histopathology. 2023;12(4):68–75. (In Russ.). EDN: MJHJQY doi: 10.18499/2225-7357-2023-12-4-68-75
- Katona BW, Rustgi AK. Gastric cancer genomics: advances and future directions. Cell Mol Gastroenterol Hepatol. 2017;3(2):211–217. doi: 10.1016/j.jcmgh.2017.01.003
- Setia N, Agoston AT, Han HS, et al. A protein and mRNA expression-based classification of gastric cancer. Mod Pathol. 2016;29(7):772–784. doi: 10.1038/modpathol.2016.55
Supplementary files






