Повышенный уровень малых внеклеточных везикул в сыворотке крови больных депрессией, эпилепсией и эпилепсией с депрессией
- Авторы: Яковлев А.А.1,2, Дружкова Т.А.2, Стефанович А.3, Моисеева Ю.В.1, Лазарева Н.А.1, Зинчук М.С.2, Ридер Ф.К.2, Гехт А.Б.2,4, Гуляева Н.В.1,2
-
Учреждения:
- Институт высшей нервной деятельности и нейрофизиологии РАН
- Научно-практический психоневрологический центр им. З.П. Соловьева ДЗМ
- Первый Московский государственный медицинский университет имени И.М. Сеченова
- Российский национальный исследовательский медицинский университет им. Н.И. Пирогова
- Выпуск: Том 40, № 4 (2023)
- Страницы: 381-395
- Раздел: Клиническая нейрохимия
- URL: https://medbiosci.ru/1027-8133/article/view/231943
- DOI: https://doi.org/10.31857/S1027813323040246
- EDN: https://elibrary.ru/OSXXQV
- ID: 231943
Цитировать
Полный текст
Аннотация
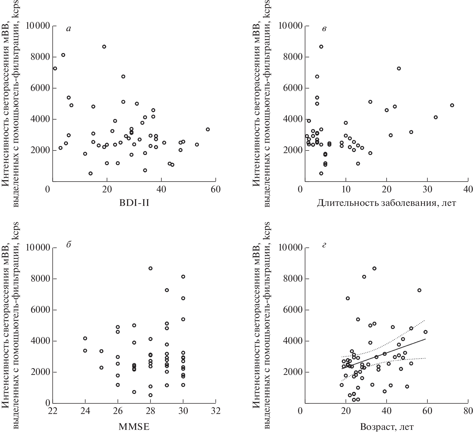
Свойства малых внеклеточных везикул (мВВ) и их состав в настоящее время изучены недостаточно, особенно в контексте психических расстройств. Для выяснения роли мВВ проведен количественный анализ мВВ в крови у больных фокальной эпилепсией, больных фокальной эпилепсией с депрессией, психогенными неэпилептическими приступами (ПНЭП) с депрессией, чистой депрессией и биполярным аффективным расстройством (БАР) с текущим депрессивным эпизодом. (ДЭ). Малые ВВ выделяли из сыворотки с помощью гель-фильтрации или преципитации ПЭГ, и оба метода показали очень похожие результаты. Во фракции мВВ определяли активность лизосомальных ферментов. Кроме того, были выделены и количественно охарактеризованы нейрональные мВВ. Концентрация мВВ в крови у пациентов с депрессией, фокальной эпилепсией или депрессией с фокальной эпилепсией была выше, чем у здоровых добровольцев. Не было обнаружено различий между пациентами и контрольной группой с точки зрения концентрации нейрональных мВВ. Еще одним выводом нашей работы является то, что мВВ в сыворотке больных содержат различные лизосомальные ферменты. Мы предполагаем, что концентрация мВВ в крови у больных с депрессией или эпилепсией выше за счет секреции мВВ иммунными клетками. Обнаружение мВВ в крови пациентов с депрессией и фокальной эпилепсией делает обоснованными будущие попытки использовать мВВ в качестве диагностических инструментов для этих расстройств.
Об авторах
А. А. Яковлев
Институт высшей нервной деятельности и нейрофизиологии РАН; Научно-практический психоневрологический центрим. З.П. Соловьева ДЗМ
Email: nchjournal@gmail.com
Россия, Москва; Россия, Москва
Т. А. Дружкова
Научно-практический психоневрологический центрим. З.П. Соловьева ДЗМ
Email: nchjournal@gmail.com
Россия, Москва
А. Стефанович
Первый Московский государственный медицинский университетимени И.М. Сеченова
Email: nchjournal@gmail.com
Россия, Москва
Ю. В. Моисеева
Институт высшей нервной деятельности и нейрофизиологии РАН
Email: nchjournal@gmail.com
Россия, Москва
Н. А. Лазарева
Институт высшей нервной деятельности и нейрофизиологии РАН
Email: nchjournal@gmail.com
Россия, Москва
М. С. Зинчук
Научно-практический психоневрологический центрим. З.П. Соловьева ДЗМ
Email: nchjournal@gmail.com
Россия, Москва
Ф. К. Ридер
Научно-практический психоневрологический центрим. З.П. Соловьева ДЗМ
Email: nchjournal@gmail.com
Россия, Москва
А. Б. Гехт
Научно-практический психоневрологический центрим. З.П. Соловьева ДЗМ; Российский национальный исследовательский медицинский университет
им. Н.И. Пирогова
Email: nchjournal@gmail.com
Россия, Москва; Россия, Москва
Н. В. Гуляева
Институт высшей нервной деятельности и нейрофизиологии РАН; Научно-практический психоневрологический центрим. З.П. Соловьева ДЗМ
Email: nchjournal@gmail.com
Россия, Москва; Россия, Москва
Список литературы
- Thery C., Witwer K.W., Aikawa E., Alcaraz M.J., Anderson J.D., Andriantsitohaina R., Antoniou A., Arab T., Archer F., Atkin-Smith G.K. et al. // J. Extracell. Vesicles. 2018. V. 7. № 1. P. 1535750.
- Kalluri R., LeBleu V.S. // Science. 2020. V. 367. № 6478. eaau6977.
- Druzhkova T.A., Yakovlev A.A. // Neurochem. J. 2018. V. 12. № 3. P. 195–204.
- Ardashirova N.S., Fedotova E.Y., Illarioshkin S.N. // Neurochem. J. 2020. V. 14. № 2. P. 127–132.
- Ivanova M.V., Chekanova E.O., Belugin B.V., Tutykhina I.L., Dolzhikova I.V., Zakroishchikova I.V., Vasil’ev A.V., Zakharova M.N. // Neurochem. J. 2019. V. 13. № 3. P. 229–239.
- Kapogiannis D., Mustapic M., Shardell M.D., Berkowitz S.T., Diehl T.C., Spangler R.D., Tran J., Lazaropoulos M.P., Chawla S., Gulyani S., Eitan E., An Y., Huang C.W., Oh E.S., Lyketsos C.G., Resnick S.M., Goetzl E.J., Ferrucci L. // JAMA Neurol. 2019. V. 76. № 11. P. 1340–1351.
- Chung C.-C., Chan L., Chen J.-H., Bamodu O.A., Chiu H.-W., Hong C.-T. // FASEB J. 2021. V. 35. № 10. e21895.
- Yakovlev A.A., Druzhkova T.A., Nikolaev R.V., Kuznetsova V.E., Gruzdev S.K., Guekht A.B., Gulyaeva N.V. // Neurochem. J. 2019. V. 13. № 4. P. 385–390.
- Buschmann D., Kirchner B., Hermann S., Marte M., Wurmser C., Brandes F., Kotschote S., Bonin M., Steinlein O.K., Pfaffl M.W., Schelling G., Reithmair M. // J. Extracell. Vesicles. 2018. V. 7. № 1. P. 1481321.
- Quesnel A., Broughton A., Karagiannis G.S., Filippou P.S. // Cancer Metastasis Rev. 2022. V. 41. № 4. 789–801.
- Raimondi L., De Luca A., Amodio N., Manno M., Raccosta S., Taverna S., Bellavia D., Naselli F., Fontana S., Schillaci O., Giardino R., Fini M., Tassone P., Santoro A., De Leo G., Giavaresi G., Alessandro R. // Oncotarget. 2015. V. 6. № 15. P. 13772–13789.
- Onufriev M.V., Yakovlev A.A., Lyzhin A.A., Stepanichev M.Y., Khaspekov L.G., Gulyaeva N.V. // Biochem. 2009. V. 74. № 3. P. 281–287.
- Yakovlev A.A., Kvichansky A.A., Lyzhin A.A., Khaspekov L.G., Gulyaeva N.V. // Neurochem. J. 2013. V. 7. № 2. P. 111–120.
- Scheffer I.E., Berkovic S., Capovilla G., Connolly M.B., French J., Guilhoto L., Hirsch E., Jain S., Mathern G.W., Moshe S.L., Nordli D.R., Perucca E., Tomson T., Wiebe S., Zhang Y.H., Zuberi S.M. // Epilepsia. 2017. V. 58. № 4. P. 512–521.
- Zlobina M.V., Pervushina O.N. // Reflexio. 2018. V. 11. P. 83–98.
- Beck A.T., Steer R.A., Ball R., Ranieri W.F. // J. Pers. Assess. 1996. V. 67. № 3. P. 588–597.
- Mosolov S.N., Ushkalova A.V., Kostukova E.G., Shafarenko A.A., Alfimov P.V., Kostyukova A.B., Angst J. // J. Affect. Disord. 2014. V. 155. P. 90–95.
- Angst J., Adolfsson R., Benazzi F., Gamma A., Hantouche E., Meyer T.D., Skeppar P., Vieta E., Scott J. // J. Affect. Disord. 2005. V. 88. № 2. P. 217–233.
- Folstein M.F., Folstein S.E., McHugh P.R. // J. Psychiatr. Res. 1975. V. 12. № 3. P. 189–198.
- Witwer K.W., Buzás E.I., Bemis L.T., Bora A., Lässer C., Lötvall J., Nolte-‘t Hoen E.N., Piper M.G., Sivaraman S., Skog J., Théry C., Wauben M.H., Hochberg F. // J. Extracell. Vesicles. 2013. V. 2. № 1. P. 20360.
- Gamez-Valero A., Monguio-Tortajada M., Carreras-Planella L., Marcel-la F., Beyer K., Borras F.E. // Sci. Rep. 2016. V. 6. P. 33641.
- Rider M.A., Hurwitz S.N., Meckes D.G. // Sci. Rep. 2016. V. 6. P. 23978.
- Osteikoetxea X., Balogh A., Szabo-Taylor K., Nemeth A., Szabo T.G., Paloczi K., Sodar B., Kittel A., Gyorgy B., Pallinger E., Matko J., Buzas E.I. // PLoS One. 2015. V. 10. № 3. e0121184.
- Goetzl E.J., Boxer A., Schwartz J.B., Abner E.L., Petersen R.C., Miller B.L., Kapogiannis D. // Neurology. 2015. V. 85. № 1. P. 40–47.
- Schiera G., Di Liegro C.M., Di Liegro I. // Int. J. Mol. Sci. 2019. V. 21. № 1. 266.
- Yakovlev A.A., Lyzhin A.A., Aleksandrova O.P., Khaspekov L.G., Gulyaeva N.V. // Biochem. Suppl. Ser. B Biomed. Chem. 2020. V. 14. № 1. P. 1–5.
- Giricz Z., Varga Z.V, Baranyai T., Sipos P., Paloczi K., Kittel A., Buzas E.I., Ferdinandy P. // J. Mol. Cell. Cardiol. 2014. V. 68. P. 75–78.
- Hoshino A., Costa-Silva B., Shen T.L., Rodrigues G., Hashimoto A., Tesic Mark M., Molina H., Kohsaka S., Di Giannatale A., Ceder S., Singh S., Williams C., Soplop N., Uryu K., Pharmer L., King T., Bojmar L., Davies A.E., Ararso Y., Zhang T., Zhang H., Hernandez J., Weiss J.M., Dumont-Cole V.D., Kramer K., Wexler L.H., Narendran A., Schwartz G.K., Healey J.H., Sandstrom P., Jørgen Labori K., Kure E.H., Grandgenett P.M., Hollingsworth M.A., De Sousa M., Kaur S., Jain M., Mallya K., Batra S.K., Jarnagin W.R., Brady M.S., Fodstad O., Muller V., Pantel K., Minn A.J., Bissell M.J., Garcia B.A., Kang Y., Rajasekhar V.K., Ghajar C.M., Matei I., Peinado H., Bromberg J., Lyden D. // Nature. 2015. V. 527. № 7578. P. 329–335.
- Gomez-Molina C., Sandoval M., Henzi R., Ramirez J.P., Varas-Godoy M., Luarte A., Lafourcade C.A., Lopez-Verrilli A., Smalla K.H., Kaehne T., Wyneken U. // Int. J. Neuropsychopharmacol. 2019. V. 22. № 3. P. 232–246.
- Gulyaeva N.V. // Biochemistry-Moscow. 2019. V. 84. № 11. P. 1306–1328.
- Saeedi S., Israel S., Nagy C., Turecki G. // Transl. Psychiatry. 2019. V. 9. № 1. P. 122.
- Ceylan D., Tufekci K.U., Keskinoglu P., Genc S., Özerdem A. // J. Affect. Disord. 2020. V. 262. P. 99–107.
- Fries G.R., Lima C.N.C., Valvassori S.S., Zunta-Soares G., Soares J.C., Quevedo J. // J. Affect. Disord. 2019. V. 255. P. 10–14.
- Kapogiannis D., Dobrowolny H., Tran J., Mustapic M., Frodl T., Meyer-Lotz G., Schiltz K., Schanze D., Rietschel M., Bernstein H.G., Steiner J. // Eur. Psychiatry. 2019. V. 62. P. 124–129.
- Amoah S.K., Rodriguez B.A., Logothetis C.N., Chander P., Sellgren C.M., Weick J.P., Sheridan S.D., Jantzie L.L., Webster M.J., Mellios N. // Neuropsychopharmacology. 2020. V. 45. № 4. P. 656–665.
- Goetzl E.J., Srihari V.H., Guloksuz S., Ferrara M., Tek C., Heninger G.R. // FASEB J. 2021. V. 35. № 2. e21339.
- Ke F., Xu J.X., Chen X.X., Gao X.R., Huang L.L., Du A.Q., Jiang C., Ge J.F. // J. Affect. Disord. 2020. V. 274. P. 144–158.
- Kuwano N., Kato T.A., Mitsuhashi M., Sato-Kasai M., Shimokawa N., Hayakawa K., Ohgidani M., Sagata N., Kubo H., Sakurai T., Kanba S. // J. Affect. Disord. 2018. V. 240. P. 88–98.
- Nasca C., Dobbin J., Bigio B., Watson K., de Angelis P., Kautz M., Cochran A., Mathe A.A., Kocsis J.H., Lee F.S., Murrough J.W., McEwen B.S., Rasgon N. // Mol. Psychiatry. 2021. V. 26. № 9. P. 5140–5149.
- Fruhbeis C., Frohlich D., Kuo W.P., Kramer-Albers E.M. // Front. Cell. Neurosci. 2013. V. 7. P. 182.
- Brites D., Fernandes A. // Front. Cell. Neurosci. 2015. V. 9. 476.
- Zhang Y., Zhao Y., Tian C., Wang J., Li W., Zhong C. // Eur. J. Psychiatry. 2018. V. 32. № 3. P. 105–112.
- Hulsmans M., Holvoet P. // Cardiovasc. Res. 2013. V. 100. № 1. P. 7–18.
- Lin Z.J., Gu Y.X., Zhou R.J., Wang M.L., Guo Y., Chen Y.Y., Ma J.H., Xiao F., Wang X.F., Tian X. // Front. Neurosci. 2020. V. 14. P. 737.
- Gao X.Y., Mian G., Liu J., Zhu Y.M., Cui Y., Shu S.J., Gou H.Y., Sun F.X., Qi S.H., Sun J.H. // J. Cell. Mol. Med. 2020. V. 24. № 22. P. 12980–12993.
- van Niel G., D’Angelo G., Raposo G. // Nat. Rev. Mol. Cell Biol. 2018. V. 19. № 4. P. 213–228.
- Skryabin G.O., Komelkov A.V., Savelyeva E.E., Tchevkina E.M. // Biochem. 2020. V. 85. № 2. P. 177–191.
- Tan C.F., Teo H.S., Park J.E., Dutta B., Tse S.W., Leow M.K.S., Wahli W., Sze S.K. // Cells. 2020. V. 9. № 5. P. 1320.
- Bijnsdorp I.V., Maxouri O., Kardar A., Schelfhorst T., Piersma S.R., Pham T.V., Vis A., van Moorselaar R.J., Jimenez C.R. // J. Extracell. Vesicles. 2017. V. 6. P. 1313091.
- Ciferri S., Emiliani C., Guglielmini G., Orlacchio A., Nenci G.G., Gresele P. // Thromb. Haemost. 2000. V. 83. № 1. P. 157–164.
- Kormelink T.G., Arkesteijn G.J.A., van de Lest C.H.A., Geerts W.J.C., Goerdayal S.S., Altelaar M.A.F., Redegeld F.A., Nolte-’t Hoen E.N.M., Wauben M.H.M. // J. Immunol. 2016. V. 197. № 8. P. 3382–3392.
- Yakovlev A.A., Gulyaeva N.V. // Biochem. 2015. V. 80. № 2. P. 163–171.
- Jaiswal J.K., Andrews N.W., Simon S.M. // J. Cell Biol. 2002. V. 159. № 4. P. 625–635.
- Min S.H., Suzuki A., Stalker T.J., Zhao L., Wang Y.H., McKennan C., Riese M.J., Guzman J.F., Zhang S.H., Lian L.R., Joshi R., Meng R.H., Seeholzer S.H., Choi J.K., Koretzky G., Marks M.S., Abrams C.S. // Nat. Commun. 2014. V. 5. P. 4691.
- Hessvik N.P., Verbye A., Brech A., Torgersen M.L., Jakobsen I.S., Sandvig K., Llorente A. // Cell. Mol. Life Sci. 2016. V. 73. № 24. P. 4717–4737.
- Yang Y., Qin M.L., Bao P.H., Xu W.C., Xu J. // PLoS One. 2017. V. 12. № 7. e0180892.
- Medina D.L., Fraldi A., Bouche V., Annunziata F., Mansueto G., Spampanato C., Puri C., Pignata A., Martina J.A., Sardiello M., Palmieri M., Polishchuk R., Puertollano R., Ballabio A. // Dev. Cell. 2011. V. 21. № 3. P. 421–430.
- Buratta S., Tancini B., Sagini K., Delo F., Chiaradia E., Urbanelli L., Emiliani C. // Int. J. Mol. Sci. 2020. V. 21. № 7. P. 2576.
- Machado E., White-Gilbertson S., van de Vlekkert D., Janke L., Moshiach S., Campos Y., Finkelstein D., Gomero E., Mosca R., Qiu X.H., Morton C.L., Annunziata I., d’Azzo A. // Sci. Adv. 2015. V. 1. № 11. e1500603.
- Kim M.S., Muallem S., Kim S.H., Kwon K.B. // Biochem. Biophys. Res. Commun. 2019. V. 510. № 3. P. 409–415.
- Miao Y.X., Li G.J., Zhang X.L., Xu H.X., Abraham S.N. // Cell. 2015. V. 161. № 6. P. 1306–1319.
- Basisty N., Kale A., Jeon O.H., Kuehnemann C., Payne T., Rao C., Holtz A., Shah S., Sharma V., Ferrucci L., Campisi J., Schilling B. // Plos Biol. 2020. V. 18. № 1. e3000599.
- Yadati T., Houben T., Bitorina A., Shiri-Sverdlov R. // Cells. 2020. V. 9. № 7. P. 1679.
- Hoppe G., O’Neil J., Hoff H.F., Sears J. // Biochim. Biophys. Acta-Molecular Basis Dis. 2004. V. 1689. № 1. P. 33–41.
- Deng D., Jiang N., Hao S.J., Sun H., Zhang G.J. // Biochim. Biophys. Acta-Biomembranes. 2009. V. 1788. № 2. P. 470–476.
- Boya P., Kroemer G. // Oncogene. 2008. V. 27. № 50. P. 6434–6451.
- Raposo G., Stoorvogel W. // J. Cell Biol. 2013. V. 200. № 4. P. 373–383.
- Settembre C., Fraldi A., Medina D.L., Ballabio A. // Nat. Rev. Mol. Cell Biol. 2013. V. 14. № 5. P. 283–296.
- Maxfield F.R., McGraw T.E. // Nat. Rev. Mol. Cell Biol. 2004. V. 5. № 2. P. 121–132.
Дополнительные файлы






