Активация симпатоадреналовой системы при действии миметика глюкагоноподобного пептида-1 у крыс
- Авторы: Балботкина Е.В.1, Марина А.С.1, Кутина А.В.1
-
Учреждения:
- Институт эволюционной физиологии и биохимии им. И.М. Сеченова РАН
- Выпуск: Том 41, № 4 (2024)
- Страницы: 352-361
- Раздел: Статьи
- URL: https://medbiosci.ru/1027-8133/article/view/273863
- DOI: https://doi.org/10.31857/S1027813324040066
- EDN: https://elibrary.ru/EHATPO
- ID: 273863
Цитировать
Полный текст
Аннотация
Глюкагоноподобный пептид-1 (ГПП-1) – основной инкретин, обеспечивающий секрецию инсулина и нормализацию гликемии после приема пищи. Миметики ГПП-1 используются для терапии сахарного диабета 2 типа и ожирения. Помимо инсулинотропного действия у ГПП-1 и его миметиков выявлены эффекты на функции сердечно-сосудистой и эндокринной систем, центральные механизмы регуляции аппетита и метаболизма, ионорегулирующую и осморегулирующую функции почек, а также обнаружено парадоксальное гипергликемическое действие инкретиномиметиков. В представленной работе исследованы механизмы участия симпатоадреналовой системы в развитии гипергликемического и натрийуретического эффектов миметика ГПП-1 эксенатида у крыс. В экспериментах на здоровых крысах показано, что ГПП-1 и его миметик эксенатид усиливают экскрецию ионов натрия почками. У эксенатида в дозах 0.15-5 нмоль/кг, но не у ГПП-1 (1.5 нмоль/кг), выявлено гипергликемическое действие (глюкоза крови повышалась до 7.2-9.1 мМ в течение первого часа). Показано, что рост уровня глюкозы в крови при введении инкретиномиметика ассоциирован с ростом экскреции почками метаболитов катехоламинов, задерживается при предварительном введении ганглиоблокатора (пентамин 30 мг/кг) и значительно нивелируется неселективным β- и селективным β2-адреноблокаторами (пропранолол 5 мг/кг, ICI-118551 1 мг/кг). Выявлена значимая модуляция натрийуреза в ответ на введение эксенатида при блокаде различных подтипов адренорецепторов. α1- и α2-адреноблокаторы существенно уменьшают (на 80%), а β1- и β2-адреноблокаторы повышают (на 150%) экскрецию натрия почками при действии эксенатида. Таким образом, получены данные об активации инкретиномиметиком симпатоадреналовой системы, которая модулирует направленность и выраженность эффектов эксенатида на уровень глюкозы в крови и экскрецию натрия почками у здоровых животных. Потенциальное влияние на симпатоадреналовую систему важно учитывать для оценки рисков развития неблагоприятных побочных эффектов при терапии инкретиномиметиками.
Ключевые слова
Полный текст
Список использованных сокращений:
ГПП-1 – глюкагоноподобный пептид-1
ДПП-4 – дипептидилпептидаза-4
ВВЕДЕНИЕ
Глюкагоноподобный пептид-1 (ГПП-1) является основным инкретином, гормоном, секретируемым L-клетками подвздошной кишки и вызывающим глюкозозависимую секрецию инсулина и нормализацию постпрандиального уровня гликемии [1]. Миметики или агонисты рецепторов ГПП-1 (инкретиномиметики) и ингибиторы фермента, расщепляющего ГПП-1 (ингибиторы дипептидилпептидазы-4 (ДПП-4)), все шире внедряются в клиническую практику для лечения пациентов с сахарным диабетом 2 типа и ожирением [2]. Наряду с основным действием на углеводный обмен, аппетит и потребление пищи ГПП-1 и его миметики оказывают кардио- и нейропротективное действие, влияют на водно-солевой обмен и функции почек, на метаболизм костей и развитие остеопороза и т.д. [3]. В нашей лаборатории, а также в ряде работ других авторов была выявлена парадоксальная способность миметиков ГПП-1 (эксенатид [4–5], лираглутид [6]) повышать уровень глюкозы в крови у здоровых крыс, что может быть обусловлено активацией симпатической нервной системы и надпочечников. Показано, что гипергликемический эффект эксенатида ингибируется антагонистом рецептора ГПП-1 [4–5], устраняется введением гексометония (ганглиоблокатор) и гуанетидина (истощает запас норадреналина в адренэргических окончаниях) [6] и отсутствует у крыс после адреналэктомии [4]. Известно, что катехоламины, высвобождающиеся из симпатических нервных окончаний в тканях и секретируемые мозговым веществом надпочечников в кровь, вовлечены в регуляцию секреции инсулина и глюкагона поджелудочной железой, потребления глюкозы скелетными мышцами и жировой тканью, гликогенолиза и глюконеогенеза в печени. Эти многочисленные эффекты катехоламинов опосредуются различными подтипами адренорецепторов. При высоких уровнях циркулирующих катехоламинов развивается нарушение толерантности к глюкозе и гипергликемия [7]. Исследований, посвященных вкладу отдельных подтипов адренорецепторов в реализацию гипергликемического эффекта миметиков ГПП-1, не проводилось. Определение механизмов парадоксального гипергликемического ответа на инкретиномиметики является важным для понимания вовлечения ГПП-1 в регуляцию симпатоадреналовой системы, а также для оценки рисков развития неблагоприятных побочных эффектов при терапии инкретиномиметиками и ингибиторами деградации ГПП-1.
Ранее в нашей лаборатории было показано и детально исследовано натрийуретическое действие ГПП-1 и его миметиков [8–9]. Показано, что основным механизмом натрийуреза при действии ГПП-1 и его миметиков является угнетение реабсорбции натрия в проксимальном отделе нефрона [10–11]. Остается открытым вопрос о модуляции натрийуретического эффекта миметиков ГПП-1 при сопутствующей активации симпатоадреналовой системы.
Цель работы – исследование механизмов участия симпатоадреналовой системы в развитии гипергликемического и натрийуретического эффектов миметика ГПП-1 эксенатида у крыс. В задачи работы входили оценка эффектов эксенатида и ГПП-1 на уровень глюкозы капиллярной крови и на экскрецию ионов натрия почками, анализ экскреции с мочой метаболитов адреналина и норадреналина при действии эксенатида у крыс, исследование эффектов различных адреноблокаторов и ганглиоблокатора на уровень глюкозы в крови и экскрецию ионов натрия почками у крыс после введения эксенатида.
МЕТОДЫ ИССЛЕДОВАНИЯ
Исследования проведены на 60 самках крыс Вистар в возрасте 2–3 мес. Животные были получены из экспериментально-биологической клиники ИЭФБ РАН. В виварии животные содержались при стандартном световом (12/12 часов) и температурном режимах в клетках по 5 особей и получали гранулированный корм для грызунов (ООО “Аллер Петфуд”, Россия) и воду ad libitum. Во всех экспериментах животные участвовали натощак, для чего их за 10 часов до опыта лишали корма при сохранении свободного доступа к воде. До проведения основных серий экспериментов крыс адаптировали к экспериментальным условиям и клеткам для сбора мочи.
Основные серии экспериментов:
- Исследование эффектов эксенатида (Баета®, Eli Lilly, США), вводимого внутримышечно в дозах 0.05, 0.15, 0.5, 1.5 и 5 нмоль/кг, на уровень глюкозы капиллярной крови (через 30 мин) и экскрецию ионов натрия почками за 2 часа.
- Оценка экскреции с мочой метаболитов адреналина и норадреналина в контрольной группе и при действии эксенатида в дозах 0.5 и 1.5 нмоль/кг. В пробирку для сбора мочи добавляли 6Н HCl из расчета 10 мкл на 1 мл пробы в качестве консерванта.
- Исследование эффектов адреноблокаторов и ганглиоблокатора на уровень глюкозы в крови и экскрецию ионов натрия почками у крыс после введения эксенатида.
Ганглиоблокатор пентамин (ОАО “Дальхимфарм”, Россия) в дозе 30 мг/кг и адреноблокаторы (табл. 1) вводили внутрибрюшинно в объеме 1 мл/кг за 30 мин до инъекции эксенатида в дозах 0.5 или 5 нмоль/кг внутримышечно. Дозы адреноблокаторов были подобраны на основании данных литературы [12–13] и предварительных пилотных исследований в нашей лаборатории.
Таблица 1. Селективность и дозы адреноблокаторов, использованных в работе
Название | Селективность | Доза, мг/кг | Растворитель |
Фентоламин* | α | 1 | вода для инъекций |
Доксазозин$ | α1 | 1 | 5% ДМСО |
Раувольфсцин$ | α2 | 1 | вода для инъекций |
Пропранолол$ | β | 5 | вода для инъекций |
Атенолол$ | β1 | 2 | вода для инъекций |
ICI-118551$ | β2 | 1 | вода для инъекций |
L-748337# | β3 | 1 | 5% ДМСО |
Производитель: * – TRC (Канада), $ – Sigma-Aldrich (США), # – Tocris (Великобритания).
- Исследование эффектов ГПП-1 на уровень глюкозы капиллярной крови (через 30 мин) и экскрецию ионов натрия почками за 2 часа.
ГПП-1 (Bachem, США) вводили внутрибрюшинно в дозе 1.5 нмоль/кг с или без предварительного введения ингибитора ДПП-4 вилдаглиптина (Matrix Scientific, США) в дозе 1 мг/кг внутрибрюшинно за 30 мин до ГПП-1 [14].
Эксперименты на животных проводили 1 раз в неделю в течение 1.5 мес. Рандомизация на группы проводилась в начале каждой недели. Общая схема экспериментальных групп представлена на рис. 1. Утром крыс забирали из вивария и после введения им препаратов в соответствии со схемой экспериментов помещали на 2 или 4 часа в индивидуальные клетки-пеналы с проволочным дном и мерной пробиркой для сбора мочи. Уровень глюкозы определяли глюкометром AccuChek Performa Nano (Roche Diagnostics, Германия) через 30 мин после инъекции ГПП-1 или эксенатида в капле капиллярной крови, полученной из кончика хвоста. Во время эксперимента крысы не имели доступа к воде и корму. После каждого опыта крыс возвращали в клетки вивария.
Рис. 1. Схема экспериментальных групп
Р – рандомизация на группы (3, 4 или 6 групп по 10 животных в каждой), О – отдых, М 2 и М 4 – сбор мочи 2 и 4 часа, Г 30 и Г дин – определение глюкозы капиллярной крови из кончика хвоста на 30 мин или в динамике на 0, 30, 60, 90 и 120 мин эксперимента. Э 0.05, Э 0.15, Э 0.5, Э 1.5 и Э 5 – эксенатид в дозах 0.05, 0.15, 0.5, 1.5 и 5 нмоль/кг, ГПП-1 – глюкагоноподобный пептид-1 (1.5 нмоль/кг), В – вилдаглиптин (1 мг/кг), П – пентамин (30 мг/кг), α – фентоламин (1 мг/кг), α1 – доксазозин (1 мг/кг), α2 – раувольсцин (1 мг/кг), β – пропранолол (5 мг/кг), β1 – атенолол (2 мг/кг), β2 – ICI-118551 (1 мг/кг), β3 – L-748337 (1 мг/кг), К – контроль ($ – 0.9% раствор NaCl внутримышечно 1 мл/кг, # – 5% ДМСО внутрибрюшинно 1 мл/кг + 0.9% раствор NaCl внутримышечно 1 мл/кг, & – 0.9% NaCl внутрибрюшинно 1 мл/кг, § – вода для инъекций внутрибрюшинно 1 мл/кг + 0.9% раствор NaCl внутримышечно 1 мл/кг). В некоторых сериях дополнительно к эксенатиду в качестве контроля к антагонистам адренорецепторов вводили: @ – вода для инъекций внутрибрюшинно 1 мл/кг, * – 5% водный раствор ДМСО внутрибрюшинно 1 мл/кг
В пробах мочи определяли концентрацию креатинина кинетическим методом по реакции Яффе на автоматическом биохимическом анализаторе Erba XL-200 (Чехия) и концентрацию ионов натрия на пламенном фотометре Sherwood-420 (Великобритания). Измерение концентрации метанефрина и норметанефрина в моче было выполнено методом ВЭЖХ на хромато-масс-спектрометре LCMS-8060 (Shimadzu, Япония) специалистами КЛД АО “Северо-западного центра доказательной медицины”.
Параметры функции почек рассчитывали по стандартным формулам и нормализовали на кг массы тела. Показатели гликемии и функциональные показатели работы почек были обработаны методами непараметрической статистики в программе GraphPad Prism 8. Для описания данных использовалась медиана и межквартильный размах, для сравнения групп – критерии Крускала-Уоллиса и Манна-Уитни, при множественных сравнениях групп применялась поправка Бонферрони. Различия рассматривались как статистически значимые при p < 0.05. В каждую экспериментальную группу было включено по 10 животных, что потенциально достаточно для выявления 30% различий в исследуемых параметрах (величина эффекта d = 1.4) при мощности критериев 0.80 и уровне значимости 0.05.
РЕЗУЛЬТАТЫ ИССЛЕДОВАНИЯ
Подтвержден парадоксальный гипергликемический эффект инкретиномиметика и выявлен диапазон доз, в котором он проявляется. Эксенатид в дозах от 0.15 нмоль/кг и выше вызывал статистически значимый рост уровня глюкозы крови (рис. 2). Через 30 мин после инъекции эксенатида в дозах 0.5-5 нмоль/кг концентрация глюкозы в крови достигала 8.4 (7.4; 8.9) мМ. Экскреция ионов натрия с мочой возросла после введения миметика ГПП-1 в дозах от 0.15 нмоль до 5 нмоль/кг. Эксенатид в дозе 0.5 нмоль/кг вызывал максимальный натрийурез, далее кривая дозозависимости выходила на плато (рис. 2).
Рис. 2. Концентрация глюкозы в крови и экскреция ионов натрия с мочой у крыс после введения эксенатида в различных дозах
Здесь и на рис. 3–9 данные представлены в виде медианы и межквартильных размахов, здесь и на рис. 3–6 и 8–9 точками показаны отдельные наблюдения.
* – статистически значимые различия по сравнению с контролем (0 нмоль/кг), критерий Манна-Уитни с поправкой Бонферрони на 5 сравнений
В отличие от эксенатида сам инкретин ГПП-1 в дозе 1.5 нмоль/кг не оказывал влияния на уровень глюкозы в крови животных (рис. 3). Концентрация глюкозы крови не отличалась от таковой в контрольной группе как при инъекции ГПП-1, так и при совместном введении ГПП-1 с ингибитором ДПП-4. Наблюдался рост экскреции ионов натрия почками при действии ГПП-1 совместно с вилдаглиптином. Натрийурез был сопоставим по величине с эффектом высоких доз эксенатида (рис. 3).
Рис. 3. Концентрация глюкозы в крови и экскреция ионов натрия с мочой у крыс после введения ГПП-1, вилдаглиптина, ГПП-1 + вилдаглиптина
К – контроль (0.9% раствор NaCl внутрибрюшинно 1 мл/кг), В – вилдаглиптин (1 мг/кг), ГПП-1 – глюкагоноподобный пептид-1 (1.5 нмоль/кг)
* – статистически значимые различия по сравнению с контролем, критерий Манна-Уитни с поправкой Бонферрони на 3 сравнения
Для проверки гипотезы об активации симпатоадреналовой системы в ответ на введение миметика ГПП-1 была оценена экскреция метаболитов адреналина и норадреналина с мочой. Введение эксенатида в дозах 0.5 и 1.5 нмоль/кг дозозависимо увеличивало экскрецию почками метанефрина в 9 и 17 раз, а норметанефрина в 2 и 2.5 раза (рис. 4), что свидетельствует о повышении уровня катехоламинов в крови у животных.
Рис. 4. Экскреция метаболитов адреналина и норадреналина с мочой у крыс после введения эксенатида
* – статистически значимые различия по сравнению с контролем (0 нмоль/кг), критерий Манна-Уитни с поправкой Бонферрони на 2 сравнения
Было предположено, что основным источником катехоламинов при действии эксенатида является мозговое вещество надпочечников, и проведена серия экспериментов с предварительным введением животным ганглиоблокатора пентамина. Пентамин является антагонистом Н-холинорецепторов в вегетативных ганглиях и должен блокировать передачу сигнала с преганлионарных на постганглионарные волокна, а также на хромафинные клетки мозгового вещества надпочечников. Предварительное введение пентамина задержало рост гликемии в ответ на инкретиномиметик: через 30 мин после введения эксенатида в дозах 0.5 и 5 нмоль/кг концентрация глюкозы в крови была значимо ниже, чем у животных, которым вводили только эксенатид (рис. 5). Введение ганглиоблокатора без эксенатида не влияло на уровень глюкозы в крови (рис. 5).
Рис. 5. Влияние ганглиблокатора пентамина на развитие гипергликемии у крыс после введения эксенатида
К – контроль (вода для инъекций внутрибрюшинно 1 мл/кг + 0.9% раствор NaCl внутримышечно 1 мл/кг), П – пентамин (30 мг/кг), Э 0.5 и Э 5 – эксенатид (0.5 и 5 нмоль/кг)
* – статистически значимые различия по сравнению с соответствующей группой без введения пентамина, критерий Манна-Уитни
Для анализа механизма гипергликемии при действии эксенатида был использован ряд неселективных и селективных адреноблокаторов. Неселективный α-адреноблокатор фентоламин не препятствовал повышению концентрации глюкозы в крови, в то время как неселективный β-блокатор пропранолол снижал прирост уровня гликемии в ответ на инъекцию миметика ГПП-1 (рис. 6). Пропранолол уменьшал гипергликемию вызванную как низкой (0.5 нмоль/кг), так и высокой (5 нмоль/кг) дозой эксенатида (рис. 6). Введение пропранолола без эксенатида не влияло на уровень глюкозы в крови (рис. 6).
Рис. 6. Влияние неселективных α- и β-адреноблокаторов на концентрацию глюкозы в крови у крыс
К – контроль (вода для инъекций внутрибрюшинно 1 мл/кг + 0.9% раствор NaCl внутримышечно 1 мл/кг), Э 0.5 и Э 5 – эксенатид (0.5 и 5 нмоль/кг), β – неселективный β-адреноблокатор пропранолол в дозе 5 мг/кг, α – неселективный α-адреноблокатор фентоламин в дозе 1 мг/кг
* – статистически значимые различия по сравнению с соответствующей группой без введения адреноблокаторов, критерий Манна-Уитни без или с поправкой Бонферрони на 2 сравнения
Характер действия пентамина и пропранолола на уровень гликемии после инъекции эксенатида был проанализирован в динамике на протяжении 2 часов. После введения эксенатида в дозе 5 нмоль/кг гипергликемия достигала максимума 7.7 (7.2; 9.1) мМ к 30 мин эксперимента и сохранялась на протяжении 2 часов, постепенно снижаясь до значений в контроле (рис. 7). Предварительное (за 30 мин до инкретиномиметика) внутрибрюшинное введение животным ганглиоблокатора пентамина в дозе 30 мг/кг на 30 минут задерживало развитие эксенатид-стимулированной гипергликемии (рис. 7), рост концентрации глюкозы в крови у крыс в этом случае наблюдался с 60 минуты и достигал максимума 8.8 (7.5; 8.9) мМ на 90 минуте наблюдения (рис. 7). Неселективный β-блокатор пропранолол вызывал статистически значимое снижение эксенатид-стимулированной гипергликемии на протяжении всего периода наблюдения, т.е. в течение 2 часов (рис. 7).
Рис. 7. Динамика концентрации глюкозы в крови в течение 2 часов после введения эксенатида в дозе 5 нмоль/кг
1 – контроль (вода для инъекций внутрибрюшинно 1 мл/кг + 0.9% раствор NaCl внутримышечно 1 мл/кг), 2 – эксенатид, 3 – пентамин + эксенатид, 4 – пропранолол + эксенатид
Статистически значимые различия (p<0.05): * – по сравнению с контролем, # – по сравнению с эксенатидом 5 нмоль/кг, критерий Манна-Уитни с поправкой на 6 сравнений
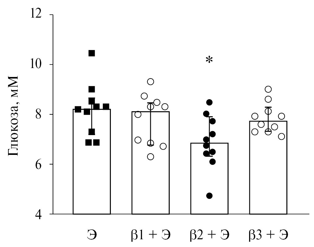
Использование селективных β-блокаторов показало, что наиболее значимое снижение эксенатид-индуцированной гипергликемии наблюдалось при введении β2-адреноблокатора (ICI-11855). β1-адреноблокатор (атенолол) и β3-адреноблокатор (L-748337) не препятствовали повышению концентрации глюкозы в крови в ответ на введение эксенатида в дозе 0.5 нмоль/кг (рис. 8).
Рис. 8. Концентрация глюкозы в крови у крыс в ответ на эксенатид после предварительного введения блокаторов отдельных подтипов β-адренорецепторов
Э – эксенатид (0.5 нмоль/кг), β1 – атенолол (2 мг/кг), β2 – ICI-11855 (1 мг/кг), β3 – L-748337 (1 мг/кг). В группе без антагонистов для контроля вводили воду для инъекций внутрибрюшинно 1 мл/кг (n = 5) или 5% водный раствор ДМСО внутрибрюшинно 1 мл/кг (n = 5).
* – статистически значимые различия по сравнению с группой без введения адреноблокаторов, критерий Манна-Уитни с поправкой Бонферрони на 3 сравнения
Выявлена существенная модуляция натрийуретического ответа почки на эксенатид при блокаде различных подтипов адренорецепторов. При предварительной блокаде α-адренорецепторов экскреция ионов натрия почками была значительно меньше, а при блокаде β-адренорецепторов выше, чем при действии эксенатида без введения адреноблокаторов (рис. 9). Наиболее выраженный натрийурез отмечался при введении эксенатида на фоне селективного антагониста β2-адренонорептора.
Рис. 9. Экскреция ионов натрия у крыс после введения эксенатида на фоне предварительной блокады адренорецепторов
Э – эксенатид (0.5 нмоль/кг), α – фентоламин (1 мг/кг), α1 – доксазозин (1 мг/кг), α2 – раувольсцин (1 мг/кг), β – пропранолол (5 мг/кг), β1 – атенолол (2 мг/кг), β2 – ICI-11855 (1 мг/кг), β3 – L-748337 (1 мг/кг). В группе без антагонистов для контроля вводили воду для инъекций внутрибрюшинно 1 мл/кг (n = 5) или 5% водный раствор ДМСО внутрибрюшинно 1 мл/кг (n = 5).
* – статистически значимые различия по сравнению с группой без введения адреноблокаторов, критерий Манна-Уитни с поправкой Бонферрони на 7 сравнений
ОБСУЖДЕНИЕ РЕЗУЛЬТАТОВ
В нашей работе было выявлено гипергликемическое действие инкретиномиметика эксенатида в диапазоне доз 0.15-5 нмоль/кг у здоровых крыс. Показано, что рост концентрации глюкозы в крови ассоциирован с ростом экскреции почками метаболитов катехоламинов. Предварительное введение ганглиоблокатора задерживает рост концентрации глюкозы в крови в ответ на эксенатид, а инъекция неселективного β- или селективного β2-адреноблокатора значительно нивелирует гипергликемический эффект инкретиномиметика.
Гипергликемия у крыс наблюдалась нами только в ответ на инъекцию инкретиномиметика эксенатида, но не на сам ГПП-1. Аналогичные данные были получены в работе Pérez-Tilve et al. [4]. Различия в эффектах эксенатида и ГПП-1 могут быть обусловлены существенными различиями в химической структуре [15] и сродстве к рецепторам, в продолжительности циркуляции в системном кровотоке [5] и длительности физиологического действия этих пептидов. Проведенные эксперименты с введением ГПП-1 совместно с ингибитором ДПП-4 показывают, что при создании условий для пролонгированной циркуляции ГПП-1 в крови выявляется натрийуретическое действие гормона, но уровень глюкозы крови остается на контрольном уровне, т.е., по-видимому, различия в длительности действия не являются определяющими для активации симпатоадреналовой системы. В ряде работ было показано, что при центральном введении ГПП-1 вызывает активацию системы гипоталамус-гипофиз-надпочечник, вегетативных центров гипоталамуса и ствола головного мозга, активирует экспрессию тирозингидроксилазы в катехоламинэргических нейронах ствола головного мозга [16–17], вызывает повышение в крови уровня АКТГ, кортикостерона, альдостерона, адреналина и норадреналина [18]. Перечисленные выше эффекты центрального (внутрижелудочкового) введения ГПП-1 воспроизводятся при периферическом введении (подкожно, внутрибрюшинно, внутримышечно) миметиков ГПП-1 в терапевтическом диапазоне доз [5, 17, 19–22]. Кроме того, выявлена экспрессия рецепторов ГПП-1 в хромаффинных клетках мозгового вещества надпочечников и описаны прямые влияния ГПП-1 и эксенатида на экзоцитоз нейромедиаторов [23].
Описано, что в отличие от самого ГПП-1 его миметики могут вызывать рост артериального давления и частоты сердечных сокращений [16, 24]. Эти эффекты на сердечнососудистую систему ассоциированы с активацией нейронов в мозговом веществе надпочечников и нейронов в вегетативных ядрах головного мозга у крыс, включая катехоламинэргические нейроны продолговатого мозга, блокируются антагонистом ГПП-1 рецепторов, не проявляются у животных после адреналэктомии [16, 24].
Принципиально важным является ответ на вопрос, оказывают ли инкретиномиметики аналогичное влияние на симпатоадреналовую систему у человека, как это показано для крыс. Основная часть работ, посвященная изучению инкретиномиметиков, выполнена на пациентах с сахарным диабетом и ожирением. У здоровых добровольцев было выявлено развитие парадоксальной гипергликемии при физической нагрузке на фоне предварительного введения эксенатида, в состоянии покоя такого эффекта у человека не наблюдали [25]. Учитывая широкое внедрение инкретиномиметиков в клиническую практику для лечения сахарного диабета, ожирения и других эндокринных и не эндокринных патологий, важно изучение потенциальных контринсулярных эффектов препаратов у человека.
Физиологические последствия повышенного выброса катехоламинов наиболее подробно изучены при феохромоцитоме. Показано, что катехоламины часто приводят к нарушению толерантности к глюкозе. Механизм включает как нарушение секреции инсулина, так и повышение инсулинорезистентности (стимуляция выброса глюкагона, активация гликогенолиза и глюконеогенеза) [7]. Вероятно, последний механизм в нашем случае является ведущим, так как предотвращение выброса катехоламинов при использовании ганглиоблокатора и блокада β2-адренорецепторов в наибольшей степени препятствовали росту концентрации глюкозы в крови при введении высоких доз эксенатида. Таким образом, развитие гипергликемии после введения эксенатида опосредованно выбросом катехоламинов и их влиянием на β2-адренорецепторы, что согласуется с данными о β2-адренергической стимуляции процессов гликогенолиза и глюконеогенеза в печени [7].
Ранее было показано, что у крыс с ожирением диуретическое и натрийуретическое действие эксенатида снижено и восстанавливается при абляции почечных симпатических нервов [26]. Важным представляется вопрос о роли активации симпатоадреналовой системы в механизме натрийуретического действия инкретиномиметиков. Нами показано, что ГПП-1 в отличие от эксенатида оказывает натрийуретическое, но не гипергликемическое действие. Поэтому более вероятно, что механизм натрийуреза, вызванного ГПП-1 и его миметиками, связан с их прямым действием в почке (опосредованное рецепторами ГПП-1 снижение канальцевой реабсорбции натрия), а не с активацией симпатоадреналовой системы. В то же время нами выявлена значимая модуляция натрийуреза в ответ на введение эксенатида при блокаде различных подтипов адренорецепторов. α1- и α2-адреноблокаторы существенно уменьшали (на 80%), а β1- и β2-адреноблокаторы повышали (на 150%) экскрецию натрия почками при действии эксенатида. β1-адренорецепторы расположены преимущественно в толстом восходящем отделе петли Генле, а β2-адренорецепторы обнаружены в проксимальных канальцах нефрона [27] и собирательных трубках [28]. Известно, что возможно усиление реабсорбции натрия при активации синаптических β1-адренорецепторов и внесинаптических β2-адренорецепторов в почке. Повышенный уровень катехоламинов, вероятно, частично ограничивает потерю натрия почками при действии эксенатида. Блокада β-адренорецепторов в условиях стимуляции секреции катехоламинов эксенатидом вызывает увеличение экскреции ионов натрия в связи с уменьшением реабсорбции в указанных отделах; противоположный эффект оказывает блокада α-адренорецепторов. Модулирующее влияние α-адренорецепторов ранее отмечалось при действии диуретиков, а у пациентов с артериальной гипертензией показано, что α1-адреноблокаторы могут способствовать задержке натрия в организме [29].
ЗАКЛЮЧЕНИЕ
Получены данные об активации инкретиномиметиком симпатоадреналовой системы, которая модулирует направленность и выраженность эффектов эксенатида на уровень глюкозы в крови и экскрецию натрия почками у здоровых животных. Потенциальное влияние на симпатоадреналовую систему важно учитывать для оценки рисков развития неблагоприятных побочных эффектов при терапии инкретиномиметиками.
ИСТОЧНИК ФИНАНСИРОВАНИЯ
Работа выполнена в рамках государственного задания ИЭФБ РАН № 075-00264-24-00.
СОБЛЮДЕНИЕ ЭТИЧЕСКИХ НОРМ
Конфликт интересов. Авторы заявляют об отсутствии явных и потенциальных конфликтов интересов в связи с публикацией данной статьи.
Этическое одобрение. Исследования с животными проводились в соответствии с законодательством Российской Федерации, положениями Директивы 2010/63/EU Европейского парламента и совета Европейского Союза от 22.09.2010 г. по охране животных, используемых в научных целях, требованиями и рекомендациями Руководства по содержанию и использованию лабораторных животных и были одобрены на заседании комиссии по биоэтике ИЭФБ РАН (протокол № 2-1/2024 заседания № 2 от 29.02.2024 г.).
Об авторах
Е. В. Балботкина
Институт эволюционной физиологии и биохимии им. И.М. Сеченова РАН
Email: kutina_anna@mail.ru
Россия, Санкт-Петербург
А. С. Марина
Институт эволюционной физиологии и биохимии им. И.М. Сеченова РАН
Email: kutina_anna@mail.ru
Россия, Санкт-Петербург
А. В. Кутина
Институт эволюционной физиологии и биохимии им. И.М. Сеченова РАН
Автор, ответственный за переписку.
Email: kutina_anna@mail.ru
Россия, Санкт-Петербург
Список литературы
- Huber H., Schieren A., Holst J.J., Simon M.C. // Am. J. Clin. Nutr. 2024. V. 119. N 3. P. 599–627. doi: 10.1016/j.ajcnut.2024.01.007.
- Liakos A., Karagiannis T., Avgerinos I., Malandris K., Tsapas A., Bekiari E. // Hormones (Athens). 2023. V. 22. № 4. P. 677–684. doi: 10.1007/s42000-023-00488-w.
- Brown E., Heerspink H.J.L., Cuthbertson D.J., Wilding J.P.H. // Lancet. 2021. V. 398. № 10296. P. 262–276. doi: 10.1016/S0140-6736(21)00536-5.
- Pérez-Tilve D., González-Matías L., Aulinger B.A., Alvarez-Crespo M., Gil-Lozano M., Alvarez E., Andrade-Olivie A.M., Tschöp M.H., D’Alessio D.A., Mallo F. // Am. J. Physiol. Endocrinol. Metab. 2010. V. 298. № 5. P. E1088–E1096. doi: 10.1152/ajpendo.00464.2009.
- Wen S., Nguyen T., Gong M., Yuan X., Wang C., Jin J., Zhou L. // Diabetes. Metab. Syndr. Obes. 2021. V. 14. P. 2955–2972. doi: 10.2147/DMSO.S312527.
- Hsu C.C., Cheng J.T., Hsu P.H., Li Y., Cheng K.C. // Pharmaceuticals (Basel). 2022. V. 15. № 7. P. 904. doi: 10.3390/ph15070904.
- Abe I., Islam F., Lam A.K. // Front. Endocrinol. (Lausanne). 2020. V. 11. P. 593780. doi: 10.3389/fendo.2020.593780.
- Kutina A.V., Marina A.S., Shakhmatova E.I., Natochin Yu.V. // Clin. Exp. Pharmacol. Physiol. 2013. V. 40. № 8. P. 510–517.
- Kutina A.V., Golosova D.V., Marina A.S., Shakhmatova E.I., Natochin Y.V. // J. Neuroendocrinol. 2016. V. 28. № 4. P. 1–8. doi: 10.1111/jne.12367.
- Marina A.S., Kutina A.V., Shakhmatova E.I., Natochin Y.V. // Bull. Exp. Biol. Med. 2017. V. 162. № 4. P. 436–440. doi: 10.1007/s10517-017-3634-0.
- Каравашкина Т.А., Балботкина Е.В., Савина Ю.А., Кутина А.В. // Эксп. Клинич. Фармакол. 2020. Т. 83. № 2. С. 17–22. doi: 10.30906/0869-2092-2020-83-2-17-22.
- Hallberg H., Almgren O., Svensson T.H. // Psychopharmacology (Berl). 1982. V. 76. № 2. P. 114–117. doi: 10.1007/BF00435263.
- Zarrindast M.R., Fazli-Tabaei S., Semnanian S., Fathollah Y., Yahyavi S.H. // Pharmacol. Biochem. Behav. 2000. V. 65. № 2. P. 275–279. doi: 10.1016/s0091-3057(99)00198-7.
- Балботкина Е.В., Спириденко Е.А., Каравашкина Т.А., Кутина А.В. // Патологическая физиология и экспериментальная терапия. 2019. Т. 63. № 3. С. 73–80.
- Clark L. // JAAPA. 2024. V. 37. № 4. P. 1–4. doi: 10.1097/01.JAA.0001007388.97793.41.
- Yamamoto H., Lee C.E., Marcus J.N., Williams T.D., Overton J.M., Lopez M.E., Hollenberg A.N., Baggio L., Saper C.B., Drucker D.J., Elmquist J.K. // J. Clin. Invest. 2002. V. 110. № 1. P. 43–52. doi: 10.1172/JCI15595.
- Yamamoto H., Kishi T., Lee C.E., Choi B.J., Fang H., Hollenberg A.N., Drucker D.J., Elmquist J.K. // J. Neurosci. 2003. V. 23. № 7. P. 2939–2946. doi: 10.1523/JNEUROSCI.23-07-02939.2003.
- Arai J., Okada S., Yamaguchi-Shima N., Shimizu T., Sasaki T., Yorimitsu M., Wakiguchi H., Yokotani K. // Clin Exp Pharmacol. Physiol. 2008. V. 35. № 8. P. 965–970. doi: 10.1111/j.1440-1681.2008.04957.x.
- Malendowicz L.K., Nussdorfer G.G., Nowak K.W., Ziolkowska A., Tortorella C., Trejter M. // Int. J. Mol. Med. 2003. V. 12. № 2. P. 237–241.
- Baraboi E.D., St-Pierre D.H., Shooner J., Timofeeva E., Richard D. // Am. J. Physiol. Regul. Integr. Comp. Physiol. 2011. V. 301. № 4. P. R1011–R1024. doi: 10.1152/ajpregu.00424.2010.
- Gil-Lozano M., Romaní-Pérez M., Outeiriño-Iglesias V., Vigo E., Brubaker P.L., González-Matías L.C., Mallo F. // Am. J. Physiol. Endocrinol. Metab. 2013. V. 304. № 10. P. 1105–1117. doi: 10.1152/ajpendo.00529.2012.
- Diz-Chaves Y., Gil-Lozano M., Toba L., Fandiño J., Ogando H., González-Matías L.C., Mallo F. // J. Endocrinol. 2016. V. 230. № 2. P. R77–R94. doi: 10.1530/JOE-16-0118.
- González-Santana A., Estévez-Herrera J., Seward E.P., Borges R., Machado J.D. // Cell Rep. 2021. V. 36. № 8. P. 09609. doi: 10.1016/j.celrep.2021.109609.
- Barragán J.M., Rodríguez R.E., Eng J., Blázquez E. // Regul. Pept. 1996. V. 67. № 1. P. 63–68. doi: 10.1016/s0167-0115(96)00113-9.
- Khoo E.Y., Wallis J., Tsintzas K., Macdonald I.A., Mansell P. // Diabetologia. 2010. V. 53. № 1. P. 139–143. doi: 10.1007/s00125-009-1579-1.
- Liu X., Patel K.P., Zheng H. // J. Am. Heart Assoc. 2021. V. 10. № 21. P. e022542. doi: 10.1161/JAHA.121.022542.
- Arif E., Nihalani D. // Nephrology (Carlton). 2019. V. 24. № 5. P. 497–503. doi: 10.1111/nep.13584. PMID: 30848004.
- Morla L., Edwards A., Crambert G. // World J. Biol. Chem. 2016. V. 7. № 1. P. 44–63. doi: 10.4331/wjbc.v7.i1.44.
- Bryson C.L., Psaty B.M. // Curr. Control Trials Cardiovasc. Med. 2002. V. 3. № 1. P. 7. doi: 10.1186/1468-6708-3-7.
Дополнительные файлы











