Исследование возможностей анализа везикулярной структуры нанолекарств на основе фосфолипидной транспортной наносистемы по данным малоуглового рассеяния нейтронов
- Авторы: Киселев М.А.1,2, Земляная Е.В.1,2, Жабицкая Е.И.1,2, Башашин М.В.1,2, Иваньков А.И.1,3,4
-
Учреждения:
- Объединенный институт ядерных исследований
- Государственный университет “Дубна”
- Институт проблем безопасности АЭС НАН Украины
- Киевский национальный университет им. Т. Шевченко
- Выпуск: № 1 (2023)
- Страницы: 3-8
- Раздел: Статьи
- URL: https://medbiosci.ru/1028-0960/article/view/137652
- DOI: https://doi.org/10.31857/S1028096023010119
- EDN: https://elibrary.ru/BLDRAL
- ID: 137652
Цитировать
Полный текст
Аннотация
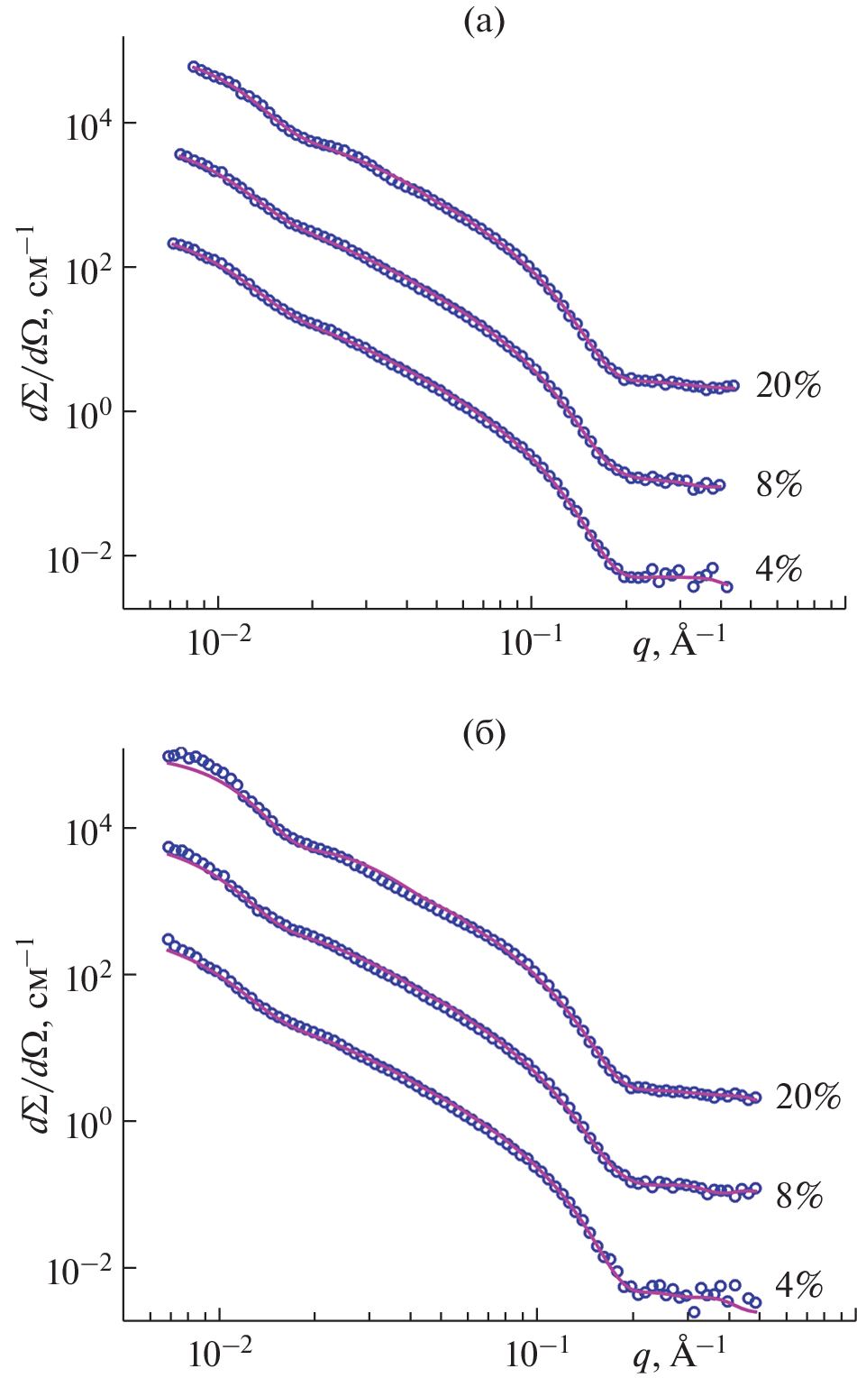
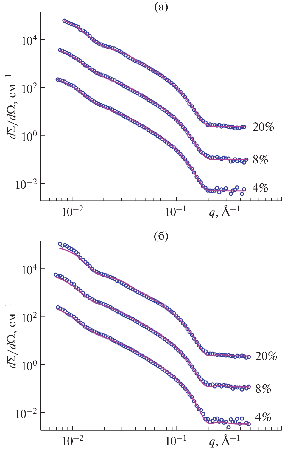
Проведен анализ спектров малоуглового рассеяния нейтронов на полидисперсных популяциях однослойных везикул в зависимости от концентрации мальтозы в растворе тяжелой воды. Измерения спектров проведены на малоугловом спектрометре “ЮМО”. Исследованы два вида наносистем: фосфолипидная транспортная наносистема, а также нанолекарство “Индолип” на основе фосфолипидной транспортной наносистемы. Обсуждены возможности получения информации о везикулярной структуре нанолекарств на базе фосфолипидной транспортной наносистемы по данным малоуглового рассеяния нейтронов. Проведенный анализ спектров малоуглового рассеяния основан на применении метода разделенных формфакторов. Полученные значения базовых структурных параметров указанных везикулярных систем (средний радиус везикул в популяции, толщина бислоя поперек мембраны, коэффициент полидисперсности и др.) в целом согласуются с соответствующими результатами аналогичной обработки данных малоуглового рассеяния рентгеновских лучей. Однако по сравнению с малоугловым рентгеновским рассеянием метод малоуглового рассеяния нейтронов оказывается менее чувствительным к детальному учету особенностей структуры бислоя оболочки везикул.
Об авторах
М. А. Киселев
Объединенный институт ядерных исследований; Государственный университет “Дубна”
Автор, ответственный за переписку.
Email: kiselev@jinr.ru
Россия, 141980, Дубна; Россия, 141980, Дубна
Е. В. Земляная
Объединенный институт ядерных исследований; Государственный университет “Дубна”
Email: kiselev@jinr.ru
Россия, 141980, Дубна; Россия, 141980, Дубна
Е. И. Жабицкая
Объединенный институт ядерных исследований; Государственный университет “Дубна”
Email: kiselev@jinr.ru
Россия, 141980, Дубна; Россия, 141980, Дубна
М. В. Башашин
Объединенный институт ядерных исследований; Государственный университет “Дубна”
Email: kiselev@jinr.ru
Россия, 141980, Дубна; Россия, 141980, Дубна
А. И. Иваньков
Объединенный институт ядерных исследований; Институт проблем безопасности АЭС НАН Украины; Киевский национальный университет им. Т. Шевченко
Email: kiselev@jinr.ru
Россия, 141980, Дубна; Украина, 07270, Чернобыль; Украина, 01601, Киев
Список литературы
- Das S., Chaudhury A. // AAPS Pharm. Sci. Tech. 2011. V. 12. P. 62. https://www.doi.org/10.1208/s12249-010-9563-0
- Martins S., Sarmento B., Ferreira D.C. et al. // Int. J. Nanomedicine. 2007. V. 2. P. 595.
- Стрекалова О.С. Фосфолипидные наночастицы: получение, характеристика, использование для транспорта лекарств в организме: Автореферат дисс. канд. биологических наук: 03.01.04. М.: ИБМХ РАМН, 2010. 27 с.
- Киселев М.А. // Физика элементарных частиц и атомного ядра. 2011. Т. 42. С. 578.
- Свергун Д.И., Фейгин Л.А. Рентгеновское и нейтронное малоугловое рассеяние. М.: Наука, 1986. 276 с.
- Kucerka N., Mu-Ping Nieh, John Katsaras J. // Advances in Planar Lipid Bilayers and Liposomes. Elsevier; Burlington: Academic Press, 2010. V. 12. P. 201.
- Kiselev M.A., Lombardo D. // Biochim. Biophys. Acta. 2017. V. 1861. P. 3700. https://www.doi.org/10.1016/j.bbagen.2016.04.022
- Kiselev M.A., Lesieur P., Kisselev F.M. et al. // J. Appl. Phys. A. 2002. V. 74. P. S1654. https://www.doi.org/10.1007/s003390201837
- Kiselev M.A., Zemlyanaya E.V., Aswal V.K., Neubert R. // Eur. Biophys. J. 2006. V. 35. P. 477. https://www.doi.org/10.1007/s00249-006-0055-9
- Киселев М.А., Земляная Е.В. // Кристаллография. 2017. Т. 62. С. 795. https://www.doi.org/10.7868/S0023476117050113
- Zemlyanaya E.V., Kiselev M.A., Zbytovska J. et al. // Crystallogr. Rep. 2006. V. 51. P. 22. https://www.doi.org/10.1134/S1063774506070054
- Земляная Е.В., Киселев М.А., Нойберт Р. и др. // Поверхность. Рентген., синхротр. и нейтрон. исслед. 2008. № 11. С. 14.
- Kiselev M.A., Zemlyanaya E.V., Ryabova N.Y. et al. // Appl. Phys. A. 2014. V. 116. P. 319. https://www.doi.org/10.1007/s00339-013-8123-3
- Киселев М.А., Земляная Е.В., Жабицкая Е.И., Аксенов В.Л. // Кристаллография. 2015. Т. 60. С. 140. https://www.doi.org/10.7868/S0023476115010117
- Киселев М.А., Земляная Е.В., Грузинов А.Ю. и др. // Поверхность. рентген., синхротр. и нейтрон. исслед. 2019. № 2. С. 49. https://www.doi.org/10.1134/S0207352819020057
- Патент 2 463 057 (Российская Федерация). Наноформа фосфолипидного препарата для перорального применения и способ ее получения / Научно-исследовательский институт биомедицинской химии им. В.Н. Ореховича РАМН(ИБМХРАМН). Арчаков А.И., Гусева М.К., Учайкин В.Ф. и др. // МПК A61K 31/685 A61K 9/127 A61K 1/16 B82B 1/00.
- Ipatova O.M., Torkhovskaya T.I., Medvedeva N.V. et al. // Biomed. Chem. 2010. V. 4. P. 82.
- Kiselev M.A., Zemlyanaya E.V., Ipatova O.M. et al. // J. Pharmaceutical Biomed. Analysis 2015 V. 114. P. 288. https://www.doi.org/10.1016/j.jpba.2015.05.034
- Kuklin A.I., Ivankov O.I., Rogachev A.V. et al. // Crystallography Reports. 2021. V. 66. № 2. P. 230. https://www.doi.org/10.1134/S1063774521020085
- Soloviev A.G., Solovjeva T.M., Ivankov O.I. et al. // J. Phys.: Conference Series. 2017. V. 848. P. 012020. https://www.doi.org/10.1088/1742-6596/848/1/012010
- Kiselev M.A., Lesieur P., Kisselev A.M., et al. // Nuclr. Instrum. Methods Phys. Res. A. 2001. V. 470. P. 409. https://www.doi.org/10.1016/S0168-9002(01)01087-7
- Библиотека компьютерных программ JINRLIB (2016) ОИЯИ, Дубна. http://www.jinr.ru/programs/jinrlib
- Dymov S.N., Kurbatov V.S., Silin I.N., Yaschenko S.V. // Nucl. Instrum. Methods Phys. Res. A. 2000. V. 440. P. 431. https://www.doi.org/10.1016/S0168-9002(99)00758-5
- Zhabitskaya E.I., Zhabitsky M.V. // Lecture Notes in Computer Science. Springer, 2012. V. 7125. P. 328.
- Жабицкая Е.И., Жабицкий M.В. // Математическое моделирование. 2012. Т. 24. № 12. С. 33.
- Земляная Е.В., Киселев М.А., Лукьянов К.В. и др. // Системный анализ в науке и образовании. 2017. № 4. С. 1.
Дополнительные файлы





