Взаимодействие радиационного излучения с иерархическими структурами
- Авторы: Оксенгендлер Б.Л.1,2,3, Аширметов А.Х.4, Искандарова Ф.А.4, Зацепин А.Ф.3, Никифорова Н.Н.1, Сулейманов С.Х.2, Тураева Н.Н.5
-
Учреждения:
- Институт ионно-плазменных и лазерных технологий им. У.А. Арифова Академии наук Республики Узбекистан
- Институт материаловедения Академии наук Республики Узбекистан, Научно-производственного объединения “Физика-Солнце”
- Физико-технологический институт Уральского федерального университета
- Центр развития нанотехнологии при НУУ им. М. Улугбека
- Departmen of Biological Sciences, Webster University
- Выпуск: № 1 (2023)
- Страницы: 37-49
- Раздел: Статьи
- URL: https://medbiosci.ru/1028-0960/article/view/137657
- DOI: https://doi.org/10.31857/S1028096023010193
- EDN: https://elibrary.ru/BLWCHR
- ID: 137657
Цитировать
Полный текст
Аннотация
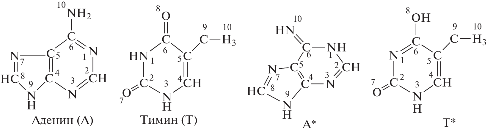
Радиационная физика XXI в., комбинирующая особые физические свойства материалов и объектов (нанообъектов, фракталов и других) с сильной неравновесностью, демонстрирует множество необычных нелинейных эффектов и их трактовку. Это особенно проявляется в случае высокоинтенсивного облучения различной природы и широкого энергетического спектра. Учет пяти различных каналов передачи энергии от радиации к веществу (упругое рассеяние, ионизация, тепловыделение, упругие и ударные волны) делает труднообозримым число новых необычных комбинаций радиационного отклика, изучение которого на современном этапе, по-видимому, оказывается возможным с помощью концепции “сложность”. Среди различных характеристик облучаемых объектов особую роль играет иерархичность их структуры, которая принципиально важна для объектов как неживой, так и живой природы. Особенность включения в анализ радиационных эффектов объектов иерархической структуры приводит к новой ситуации – вовлечению идей кибернетики в радиационную физику. Здесь возникают вопросы нового типа, касающиеся взаимосвязи радиации и информации, в частности, влияния всего многообразия параметров радиации (энергии, интенсивности, дозы) на передачу информации с нижней платформы иерархических структур на более высокие и сжатие ее при этом. Решение этих проблем требует использования как новых теоретических подходов, так и модификации традиционных схем по отношению к элементарным актам атомных перестроек, типа кинетики и подходов к выявлению механизмов радиационных эффектов. Этот спектр вопросов сформулирован, и получено определенное решение применительно к объектам неживой и живой природы.
Об авторах
Б. Л. Оксенгендлер
Институт ионно-плазменных и лазерных технологийим. У.А. Арифова Академии наук Республики Узбекистан; Институт материаловедения Академии наук Республики Узбекистан,
Научно-производственного объединения “Физика-Солнце”; Физико-технологический институт Уральского федерального университета
Автор, ответственный за переписку.
Email: oksengendlerbl@yandex.ru
Узбекистан, 100125, Ташкент; Узбекистан, 100084, Ташкент; Россия, 620078,
Екатеринбург
А. Х. Аширметов
Центр развития нанотехнологии при НУУ им. М. Улугбека
Email: oksengendlerbl@yandex.ru
Узбекистан, 100174, Ташкент
Ф. А. Искандарова
Центр развития нанотехнологии при НУУ им. М. Улугбека
Email: oksengendlerbl@yandex.ru
Узбекистан, 100174, Ташкент
А. Ф. Зацепин
Физико-технологический институт Уральского федерального университета
Email: oksengendlerbl@yandex.ru
Россия, 620078,
Екатеринбург
Н. Н. Никифорова
Институт ионно-плазменных и лазерных технологийим. У.А. Арифова Академии наук Республики Узбекистан
Email: oksengendlerbl@yandex.ru
Узбекистан, 100125, Ташкент
С. Х. Сулейманов
Институт материаловедения Академии наук Республики Узбекистан,Научно-производственного объединения “Физика-Солнце”
Email: oksengendlerbl@yandex.ru
Узбекистан, 100084, Ташкент
Н. Н. Тураева
Departmen of Biological Sciences, Webster University
Email: oksengendlerbl@yandex.ru
USA, 63119, MO, Saint Louis
Список литературы
- Stoneham A.M., Itoh N. // Appl. Surf. Sci. 2000. V. 168. № 1–4. P. 186.
- Вавилов В.С., Кив А.Е., Ниязова О.Р. Механизмы образования и миграции дефектов в полупроводниках. М.: Наука, 1981. 368 с.
- Оксенгендлер Б.Л., Тураева Н.Н. Радиационная физика конденсированных сред. Концепци. Т. 1. Ташкент: Фан, 2006. 136 с.
- Николис Г., Пригожин И. Познание сложного. Введение. М.: URSS, 2017. 360 с.
- Николис. Дж. Динамика иерархических систем: Эволюционное представление. М.: Мир, 1989. 488 с.
- Oksengendler B.L., Turaeva N.N., Ashirmetov A.Kh., Ivanov N.V., Karpova O.V., Maksimov S.E., Pelenovich V.O., Ashurov Kh.B. // Horizons in World Physics. N.Y.: Nova Science Publishers. V. 298. 2019. P. 1.
- Anderson P.W. // Pros. US Nation. Acad. Sci. 1994. V. 92. P. 6653.
- Bak P. How Nature Works: The Theory of Self-Organized Criticality. N.Y.: Springer, 2013. 117 p.
- Вайсбург Д.И., Семин Б.Н., Таваноа Э.Г., Матлис С.Б., Балычекв И.Н., Геринг Г.И. Высокоэнергетическая электроника твердого тела. Новосибирск: Наука, 1982. 225 с.
- Оксенгендлер Б.Л., Зацепин А.Ф., Аширметов А.Х., Тураева Н.Н., Сулейманов С.Х., Никифорова Н.Н., Ашуров Х.Б. // Поверхность. Рентген., синхротр. и нейтрон. исслед. 2022. № 6. С. 53. https://doi.org/10.31857/S1028096022060139
- Oksengendler B.L., Maksimov S.E., Turaeva N.N., Djurabekova F.G. // Nucl. Instrum. Methods Phys. Res. B. 2014. V. 326. P. 45.https://doi.org/10.1016/j.nimb.2013.09.040
- Maksimov S.E., Oksengendler B.L., Turaev N.Yu. // J. Surf. Invest.: X-ray, Synchrotron Neutron Tech. 2013. V. 7. P. 333.https://doi.org/10.1134/S1027451013020419
- Djurabekova F., Ashurov K.B., Maksimov S.E., Oksengendler B.L. // Phys. Stat. Sol. C. 2013. V. 10. № 4. P. 685.https://doi.org/10.1002/pssc.201200751
- Oksengendler B.L., Turaeva N.N., Maksimov S.E. // J. Experim. Theor. Phys. 2010. V. 111. № 3. P. 415. https://doi.org/10.1134/S1063776110090104
- Никифорова Н.Н., Ашуров Х.Б., Ашуров Р.Х., Аскаров Б., Максимов С.Е., Марасулов М.Б., Нургалиев И.Н., Никифоров В.Н. // Поверхность. Рентген., синхротр. и нейтрон. исслед. 2018. № 2. С. 63.https://doi.org/10.1134/S1027451018010305
- Kurbanov M.Sh., Oksengendler B.L. // J. Phys.: Conf. Ser. 2021. V. 2036. № 1. P. 012018.https://doi.org/10.1088/1742-6596/2036/1/012018
- Oksengendler B.L., Turaeva N.N., Akhmedov M., Karpova O. // Perovskite Solar Cells: Properties, Application and Efficiency. Chapter 2. N.Y.: Nova Science Publishers, 2019. P. 77.
- Оксенгендлер Б.Л., Тураев Н.Ю., Тураева Н.Н., Сулейманов С.Х. // ДАН АН РУз. 2020. № 3. С. 43.
- Оксенгендлер Б.Л., Тураева Н.Н., Никифорова Н.Н., Минина М.В., Чечулина М.В., Искандарова Ф. // Russ. J. Biol. Phys. Chem. 2020. V. 5. № 4. P. 51.
- Оксенгендлер Б.Л., Аширметов А.Х., Тураева Н.Н., Сулейманов С.Х., Зацепин А.Ф. // Тр. ХХX Междунар. конфер. “Радиационная физика твердого тела”. Севастополь, 2020. С. 457.
- Oksengendler B.L., Ashirmetov A. Kh., Turaeva N.N., Nikiforova N.N., Suleymanov S.X. // Nucl. Instrum. Methods Phys. Res. B. 2022. V. 512. № 4. P. 66.https://doi.org/10.1016/j.nimb.2021.12.009
- Rodel.Fr., Arenas M., Ott O.J., Fournier C., Georgakilas A.G., Tapio S., Trott R., Gaipl U.S. // Strahlentherapie und Onkologie. 2020. V. 196. P. 679.https://doi.org/10.1007/s00066-020-01635-7
- Ладик Я. Квантовая биохимия для химиков и биологов. М.: Мир, 1975. 256 с.
- Oksengendler B.L., Mukimov K., Letfullin R., Turaeva N., Abdurakhmanov G., Yuldashev Sh. // Bull. National University of Uzbekistan: Mathematics and Natural Sciences. 2019. V. 2. № 2. P. 94.
- Твердислов В.А., Малышко Е.В. // УФН. 2019. Т. 189. № 4. С. 375.https://doi.org/10.3367/UFNr.2018.08.038401
- Иваницкий Г.Р. // УФН. 2010. Т. 180. № 4. С. 337.https://doi.org/10.3367/UFNr.0180.201004a.0337
- Гольданский В.И., Кузьмин В.В. // УФН. 1989. Т. 157. № 1. С. 45. https://doi.org/10.3367/UFNr.0157.198901a.0003
- Эйдус Л.Х. Физико-химические основы радиобиологических процессов и защиты от излучений. М.: Атомиздат, 1979. 240 с.
- Дамаск А., Динс Дж. Точечные дефекты в металлах. М.: Мир, 1966. 292 с.
- Холтон Дж. Тематический анализ науки. М.: Прогресс, 1981. 384 с.
- Михайлин В.В. Синхротронное излучение в спектроскопии. М.: НИИЯФ МГУ, 2007. 161 с.
- Suleymanov S.Kh., Babashov V.G., Oksengendler B.L., Daskovsky M.I., Skripachev S.Yu., Djanklich M.U., Kulagina N.A., Amirov Sh.Ye. // Appl. Sol. En. 2021. V. 57. № 6. P. 486.https://doi.org/10.3103/S0003701X21060165
- Ван Кампен Н.Г. Стохастические процессы в физике и химии. М.: Высшая школа, 1990. 376 с.
- Payzullakhanov M.S., Payziyev Sh.D., Suleymanov S.Kh. // Appl. Sol. En. 2019. V. 55. № 6. P. 404.https://doi.org/10.3103/S0003701X19060082
- Кравченко В.А., Орлов А.Н., Петров Ю.Н., Прохоров А.М. // Тр. ИОФАН. Резонансные гетерогенные процессы в лазерном поле. Т. 11. М.: Наука, 1988. С. 4.
- Стратонович Р.Л. Неравновесная нелинейная термодинамика. М.: Наука, 1985. 480 с.
- Zatsepin A.F., Kiryakov A.N., Zatsepin D.A, Gavrilov N., Oksengendler B.L. // Vacuum. 2020. V. 175. P. 109243.https://doi.org/10.1016/j.vacuum.2020.109243
- Авилов А.Б., Оксенгендлер Б.Л., Хамраева Р., Юнусов М.С. // Узбекский физический журн. 1992. № 5. С. 47.
- Гусева М.Б. Ионная стимуляция процессов на поверхности твердого тела. Автореферат дис. … д-ра физ.-мат. наук. М.: МГУ, 1988. 32 с.
- Арапов Б., Авилов А.Б., Оксенгендлер Б.Л. Радиационное дефектообразование и квазихимические реакции в неметаллических кристаллах. Бишкек: Илим, 2003. 120 с.
- Авилов А.Б., Арапов Б., Оксенгендлер Б.Л., Гусева М.Б. // Поверхность. Рентген., синхротр. и нейтрон. исслед. 2006. № 5. С. 103.
- Khabibullaev P.K., Oksengendler B.L., Pakharukov Yu.V. // Pizma v JTF. 1986. V. 22. P. 1321.
- Ландау Л.Д., Лифшиц Е.М. Курс теоретической физики. Гидродинамика. М.: Наука, 1988. 734 с.
- Волькенштейн М.В. Биофизика. М.: Наука, 1988. 592 с.
- Фогель Ф., Мотульски А. Генетика человека. Т. 2. М.: Мир, 1990. 384 с.
- Кудряшов Ю.Б. Радиационная биофизика (ионизирующие излучения). М.: Физматлит, 2004. 448 с.
- Parilis E.S., Kishinevsky L.M., Turaev N.Yu., Baklitzky B.E., Umarov F.F., Verleger V.Kh., Nizhnaya S.L., Bitensky I.S. Atomic Collisions on Solid Surfaces. Amsterdam: Elsevier Sci. Pub, 1993. 664 p. https://www. worldcat.org/title/atomic-collisions-on-solid-surfaces/ oclc/25315981
Дополнительные файлы







