Structural and Phase Changes in Concentrated Solid Solutions of the V–Nb–Ta–Ti System Irradiated with Helium Ions
- Authors: Uglov V.V.1, Sapar A.D.2, Mustafin D.A.2, Kurakhmedov A.E.2, Ivanov I.A.2, Ke J.3, Ryskulov A.E.2, Belov M.M.1, Zlotski S.V.1, Bikhert Y.V.2
-
Affiliations:
- Belarusian State University
- Institute of Nuclear Physics
- Beijing Institute of Technology
- Issue: No 2 (2023)
- Pages: 40-48
- Section: Articles
- URL: https://medbiosci.ru/1028-0960/article/view/137707
- DOI: https://doi.org/10.31857/S1028096023020140
- EDN: https://elibrary.ru/DTMNBU
- ID: 137707
Cite item
Full Text
Abstract
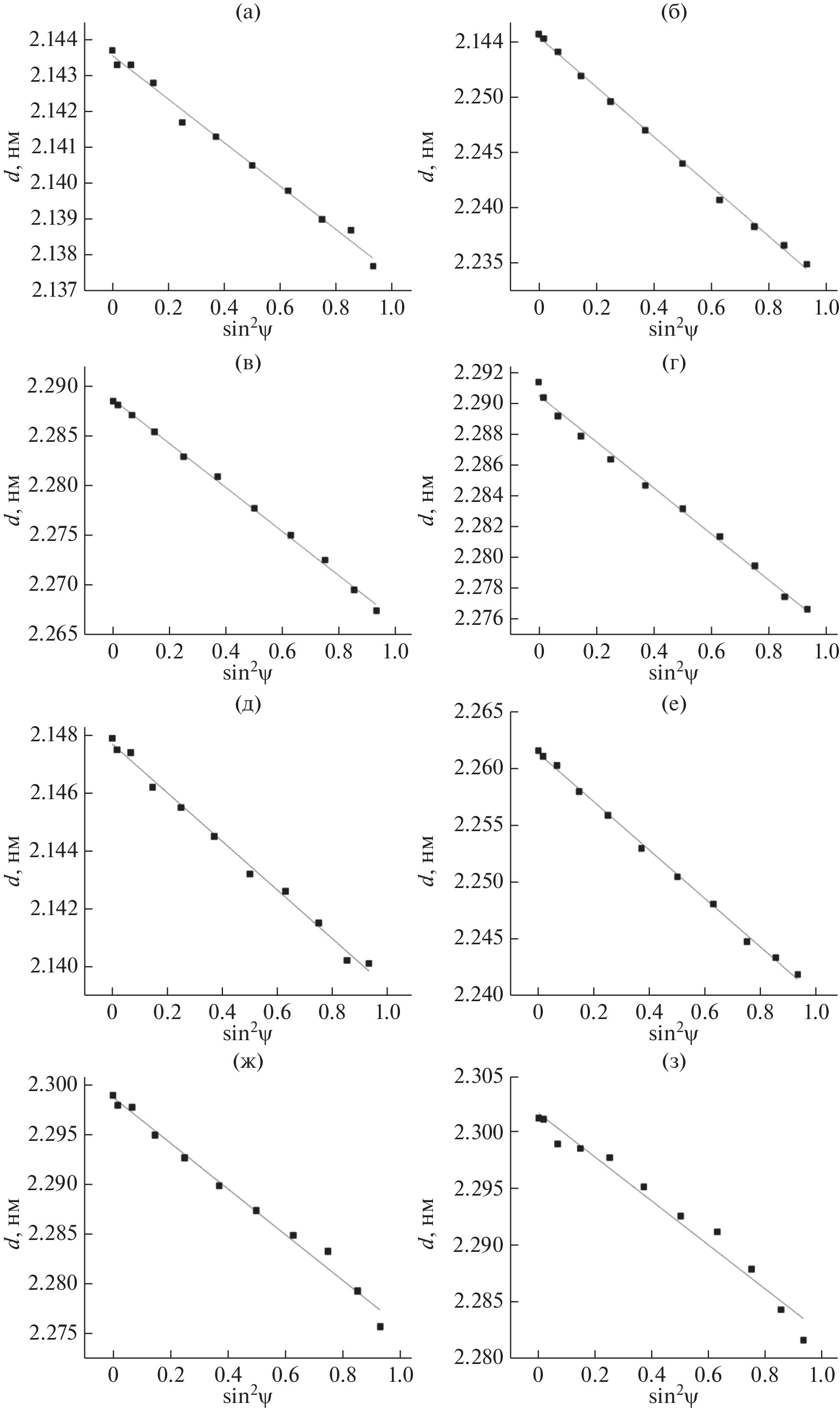
The aim of this work is to study the effect of irradiation with low-energy helium ions with a fluence 2 × 1017 cm–2 and an energy of 40 keV on the structural-phase state of multicomponent solid solutions based on V–Nb–Ta–Ti. These studies are aimed at obtaining new data on the radiation resistance of multicomponent solid solutions, which have great potential for use as structural materials for new generation reactors. As a result of the work carried out by scanning electron microscopy and X-ray diffraction analysis, it was found that all alloys of the system belong to equiatomic single-phase solid solutions and in the initial state, have a homogeneous distribution of elements on the surface and have compressive micro- and macro-stresses. The conducted studies have shown that irradiation with helium ions of alloys of the V–Nb–Ta–Ti system does not lead to the decay of the solid solution and disturbance of the equiatomicity and uniformity of the distribution of elements on the surface. Irradiation with helium ions does not lead to a significant change in the level of micro- and macro-stresses for VNb and VNbTa systems, while for VNbTaTi alloy there is an increase in compressive stresses, which may be due to the segregation of elements and the accumulation of helium-vacancy clusters.
About the authors
V. V. Uglov
Belarusian State University
Author for correspondence.
Email: Uglov@bsu.by
Belarus, 220030, Minsk
A. D. Sapar
Institute of Nuclear Physics
Email: Uglov@bsu.by
Kazakhstan, 050032, Nur-Sultan
D. A. Mustafin
Institute of Nuclear Physics
Email: Uglov@bsu.by
Kazakhstan, 050032, Nur-Sultan
A. E. Kurakhmedov
Institute of Nuclear Physics
Email: Uglov@bsu.by
Kazakhstan, 050032, Nur-Sultan
I. A. Ivanov
Institute of Nuclear Physics
Email: Uglov@bsu.by
Kazakhstan, 050032, Nur-Sultan
Jin Ke
Beijing Institute of Technology
Email: Uglov@bsu.by
China, 100811, Beijing
A. E. Ryskulov
Institute of Nuclear Physics
Email: Uglov@bsu.by
Kazakhstan, 050032, Nur-Sultan
M. M. Belov
Belarusian State University
Email: Uglov@bsu.by
Belarus, 220030, Minsk
S. V. Zlotski
Belarusian State University
Author for correspondence.
Email: Zlotski@bsu.by
Belarus, 220030, Minsk
Y. V. Bikhert
Institute of Nuclear Physics
Email: Uglov@bsu.by
Kazakhstan, 050032, Nur-Sultan
References
- Armstrong R.C., Wolfram C., de Jong K. et al. // Nat. Energy. 2016. V. 1. P. 15020. https://doi.org/10.1038/nenergy.2015.20
- Zinkle S.J., Busby J.T. // Mater. Today. 2009. V. 12. P. 12. https://doi.org/10.1016/S1369-7021(09)70294-9
- Henry J., Maloy S.A. // Structural Materials for Generation IV Nuclear Reactors. Elsevier, 2017. P. 329. https://doi.org/10.1016/B978-0-08-100906-2.00009-4
- Murty K., Charit I. // J. Nucl. Mater. 2008. V. 383. P. 189. https://doi.org/10.1016/j.jnucmat.2008.08.044
- Zinkle S.J, Terrani K.A., Snead L.L. // Curr. Opin. Solid. St. Mater. 2016. V. 20. P. 401. https://doi.org/10.1016/j.cossms.2016.10.004
- Jin K., Bei H. // Front. Mater. 2018. V. 5. P. 1. https://doi.org/10.3389/fmats.2018.00026
- Yeh J.W., Chen Y.L., Lin S.J. et al. // Mater. Sci. Forum. 2007. V. 560. P. 1. https://doi.org/10.4028/www.scientific.net/MSF.560.1
- Tsai M.-H., Yeh J.-W. // Mater. Res. Lett. 2014. V. 2. P. 107. https://doi.org/10.1080/21663831.2014.912690
- Jien-Wei Y. // Ann. Chim. Sci. Mat. 2006. V. 31. P. 633. https://doi.org/10.3166/acsm.31.633-648
- Miracle D.B., Senkov O.N. // Acta Materialia. 2017. V. 122. P. 448. https://doi.org/10.1016/j.actamat.2016.08.081
- Sellami N., Debelle A., Ullah M.W. et al. // Curr. Opin. Solid State Mater. Sci. 2019. V. 23. P. 107. https://doi.org/10.1016/j.cossms.2019.02.002
- Jin K., Mu S., An K. et al. // Mater. Des. 2017. V. 117. P. 185. https://doi.org/10.1016/j.matdes.2016.12.079
- Zarkadoula E., Samolyuk G., Weber W.J. // Comput. Mater. Sci. 2019. V. 162. P. 156. https://doi.org/10.1016/j.commatsci.2019.02.039
- Zhao S., Stocks G.M., Zhang Y. // Phys. Chem. Chem. Phys. 2016. V. 18. P. 24043 https://doi.org/10.1039/C6CP05161H
- Zhao S., Egami T., Stocks G.M. et al. // Phys. Rev. Mater. 2018. V. 2. P. 013602. https://doi.org/10.1103/physrevmaterials.2.013602
- Zhao S., Osetsky Y., Barashev A.V. // Acta Mater. 2019. V. 173. P. 184. https://doi.org/10.1016/j.actamat.2019.04.060
- Lu C., Niu L., Chen N. // Nat. Commun. 2016. V. 7. P. 13564. https://doi.org/10.1038/ncomms13564
- Lu C., Yang T., Niu L. // J. Nucl. Mater. 2018. V. 509. P. 237. https://doi.org/10.1016/j.jnucmat.2018.07.006
- Zinkle S.J., Was G.S. // Acta Mater. 2013. V. 61. P. 735. https://doi.org/10.1016/j.actamat.2012.11.004
- Agarwal S., Trocellier P., Serruys Y. // Nucl. Instrum. Methods Phys. Res. B. 2014. V. 327. P. 117. https://doi.org/10.1016/j.actamat.2016.08.062
- Birkholz M. Thin Film Analysis by X-ray Scattering. Print ISBN:9783527310524, 2005
- Nath D., Singh F., Das R. // Mater. Chem. Phys. 2020. V. 239. P. 122021. https://doi.org/10.1016/j.matchemphys.2019.122021
- Prevey P.S. // ASM International, ASM Handbook. 1986. V. 10. P. 380. https://doi.org/10.31399/asm.hb.v10.a0001761
- James F.Z., Ziegler M.D., Biersack J.P. // Nucl. Instrum. Methods Phys. Res. B: Beam Interact. Mater. At. 2010. V. 268. P. 1818. https://doi.org/10.1016/j.nimb.2010.02.091
- Jia N., Li Y., Huang H. // Curr. Opin. Solid State Mater. Sci. 2021. V. 550. P. 152937. https://doi.org/10.1016/j.jnucmat.2021.152937
- Kozak R., Sologubenko A., Steurer W. // Cryst. Mater. 2015. V. 230. P. 55. https://doi.org/10.1515/zkri-2014-1739
- Trinkaus H., Singh B.N. // J. Nucl. Mater. 2003. V. 323. P. 229. https://doi.org/10.1016/j.jnucmat.2003.09.001
- Jia N., Li Y., Huang H. et al. // J. Nucl. Mater. 2021. V. 550. P. 152937. https://doi.org/10.1016/j.jnucmat.2021.152937
- Kombaiah B., Jin K., Bei H. et al. // Mater. Des. 2018. V. 160. P. 1208. https://doi.org/10.1016/j.matdes.2018.11.006
- He M.R., Wang S., Shi S., Jin K. et al. // Acta Mater. 2017. V. 126. P. 182. https://doi.org/10.1016/j.actamat.2016.12.046
- Harrison R.W., Greaves G., Le H. et al. // Curr. Opin. Solid. St. Mater. 2019. V. 23. P. 100762. https://doi.org/10.1016/j.cossms.2019.07.001
Supplementary files











