Study of Temperature Effect in Aqueous Solutions of Trisiloxane Surfactants at the Interface with Titanium Oxide by Neutron Reflectometry
- Authors: Gapon I.V.1, Kuzmenko M.O.2, Avdeev M.V.2,3, Ivanova N.A.4
-
Affiliations:
- Center for Energy Research
- Frank Laboratory of Neutron Physics, Joint Institute for Nuclear Research
- State University Dubna
- Research Laboratory of Photonics and Microfluidics, University of Tyumen
- Issue: No 4 (2023)
- Pages: 30-34
- Section: Articles
- URL: https://medbiosci.ru/1028-0960/article/view/137735
- DOI: https://doi.org/10.31857/S1028096023040064
- EDN: https://elibrary.ru/JJZKKO
- ID: 137735
Cite item
Full Text
Abstract
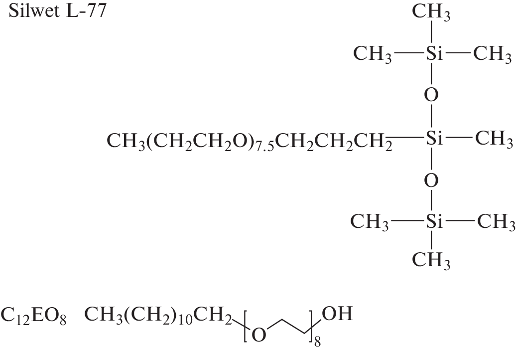
The possibility of using specular neutron reflectometry to study aqueous trisiloxane solutions during the transition to the superwetting state was shown. The adsorption of trisiloxane surfactants from solution onto a moderately hydrophobic surface (oxidized titanium film) with increasing temperature up to the cloud point of the solution was considered. To clarify the role of the hydrophobic part of trisiloxane surfactant molecules in the superwetting effect, a comparison was made with solutions of a nonionic hydrocarbon surfactant with similar polyoxyethylene chains.
About the authors
I. V. Gapon
Center for Energy Research
Email: avd@nf.jinr.ru
1121 Hungary, Budapest
M. O. Kuzmenko
Frank Laboratory of Neutron Physics, Joint Institute for Nuclear Research
Email: avd@nf.jinr.ru
Russia, 141980, Dubna
M. V. Avdeev
Frank Laboratory of Neutron Physics, Joint Institute for Nuclear Research; State University Dubna
Author for correspondence.
Email: avd@nf.jinr.ru
Russia, 141980, Dubna; Russia, 141980, Moscow Reg., Dubna
N. A. Ivanova
Research Laboratory of Photonics and Microfluidics, University of Tyumen
Email: avd@nf.jinr.ru
Russia, 625003, Tyumen
References
- Sankaran A., Karakashev S.I., Sett S. et al. // Adv. Colloid Interface Sci. 2019. V. 263 P. 1.
- Stevens P.J.G. // Pestic. Sci. 1993. V. 38. P. 103.
- Knoche M. // Weed Res. 1994. V. 34. P. 221.
- Chen J., Fine J.D., Mullin C.A. // Sci. Total Environ. 2018. V. 612. P. 415.
- Wagner R., Wu Y., Czichocki G. et al. // Appl. Organometal. Chem. 1999. V. 13. P. 201.
- Ivanova N., Starov V., Rubio R. et al. // Coll. Surf. A. 2010. V. 354. P. 143.
- Bezuglyi B., Ivanova N., Starov V. // Prog. Coll. Polymer Sci. 2011. V. 138. P. 121.
- Ivanova N.A., Kovalchuk N.M., Sobolev V.D., Starov V.M. // Soft Matter. 2016. V. 12. P. 26.
- Berthod A., Tomer S., Dorsey J.G. // Talanta. 2001. V. 55. P. 69.
- Avdeev M.V., Rulev A.A., Bodnarchuk V.I. et al. // Appl. Surf. Sci. 2017. V. 424. P. 378.
- Avdeev M.V., Rulev A.A., Ushakova E.E. et al. // Appl. Surf. Sci. 2019. V. 486. P. 287.
- Косячкин Е.Н., Гапон И.В., Рулев А.А. // Поверхность. Рентген. синхротр. и нейтрон. исслед. 2021. № 8. С. 10.
- Матвеев В.А., Плешанов Н.К., Геращенко О.В., Байрамуков В.Ю. // Поверхность. Рентген., синхротр. и нейтрон. исслед. 2014. № 10. С. 34.
- Авдеев М.В., Боднарчук В.И., Петренко В.И. и др. // Кристаллография. 2017. Т. 62. № 6. С. 986.
Supplementary files







