Magnetic Structure of Dy–Co Superlattice near the Compensation Temperature
- Autores: Makarova M.V.1,2, Kravtsov E.A.1,2, Proglyado V.V.1, Subbotin I.A.3, Pashaev E.M.3, Kholin D.4, Khaydukov Y.N.5,6
-
Afiliações:
- Institute of Metal Physics, Ural Branch, Russian Academy of Sciences
- Ural Federal University
- National Research Center “Kurchatov Institute”
- P.L. Kapitza Institute for Physical Problems RAS
- Max Planck Institute for Solid State Physics
- Skobeltsyn Institute of Nuclear Physics, Moscow State University
- Edição: Nº 4 (2023)
- Páginas: 50-54
- Seção: Articles
- URL: https://medbiosci.ru/1028-0960/article/view/137737
- DOI: https://doi.org/10.31857/S102809602304012X
- EDN: https://elibrary.ru/JOJKQF
- ID: 137737
Citar
Texto integral
Resumo
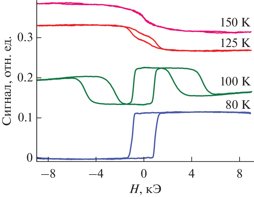
The magnetic ordering of the multilayer structure of Dy–Co was studied using complementary methods of polarized neutron reflectometry and Kerr magnetometry. It was found that during the deposition of a layered structure, the Dy and Co layers are partially mixed with the formation of the DyCo2 intermetallic compound. The profiles of the magnetization of individual layers at the atomic level were determined. It was managed to describe a noncollinear magnetic structure of the layers near the compensation point using the neutron reflectometry data. The triple hysteresis loops observed in the same temperature range most likely indicated the non-identity of the outer and inner superlattice layers. The inhomogeneity profile of the DyCo2 layer magnetization distribution can be explained by the strong exchange interaction at the interfaces. In a small applied magnetic field, the interlayer exchange interaction dominates over by the Zeeman energy. The antuparallel ordering of the magnetic moments of the Co and DyCo2 layers was distorted by the magnetic field; as a result, the angle between the magnetization vectors was maximum at the Co/DyCo2 interfaces only.
Sobre autores
M. Makarova
Institute of Metal Physics, Ural Branch, Russian Academy of Sciences; Ural Federal University
Autor responsável pela correspondência
Email: makarova@imp.uran.ru
Russia, 620137, Ekaterinburg; Russia, 620002, Ekaterinburg
E. Kravtsov
Institute of Metal Physics, Ural Branch, Russian Academy of Sciences; Ural Federal University
Email: makarova@imp.uran.ru
Russia, 620137, Ekaterinburg; Russia, 620002, Ekaterinburg
V. Proglyado
Institute of Metal Physics, Ural Branch, Russian Academy of Sciences
Email: makarova@imp.uran.ru
Russia, 620137, Ekaterinburg
I. Subbotin
National Research Center “Kurchatov Institute”
Email: makarova@imp.uran.ru
Russia, 123182, Moscow
E. Pashaev
National Research Center “Kurchatov Institute”
Email: makarova@imp.uran.ru
Russia, 123182, Moscow
D. Kholin
P.L. Kapitza Institute for Physical Problems RAS
Email: makarova@imp.uran.ru
Russia, 119334, Moscow
Yu. Khaydukov
Max Planck Institute for Solid State Physics; Skobeltsyn Institute of Nuclear Physics, Moscow State University
Email: makarova@imp.uran.ru
Germany, 70569, Stuttgart; Russia, 119234, Moscow
Bibliografia
- Mangin S., Gottwald M., Lambert C.-H., Steil D. // Nature Materials. 2014. V. 13. P. 286. https://doi.org/10.1038/NMAT3864
- Kravtsov E., Haskel D., te Velthuis S.G.E., Jiang J.S., Kirby B.J. // Phys. Rev. B. 2009. V. 79. P. 134438. https://doi.org/10.1103/PhysRevB.79.134438
- Drovosekov A.B., Kreines N.M., Savitsky A.O., Kravtsov E.A., Ryabukhina M.V., Proglyado V.V., Ustinov V.V. // J. Phys.: Condens. Matter. 2017. V. 29. P. 115802. https://doi.org/10.1088/1361-648X/aa54f1
- Mangin S., Hauet T., Fischer P., Kim D.H., Kortright J.B., Chesnel K., Arenholz E., Fullerton E.E. // Phys. Rev. B. 2008. V. 78. P. 024424. https://doi.org/10.1103/Phys.RevB.78.024424
- Kirilyuk A., Kimel A.V., Rasing T. // Rev. Mod. Phys. 2010. V. 82. P. 2731. https://doi.org/10.1103/RevModPhys.82.2731
- Lambert C.-H., Mangin S., Varaprasad B.S.D.Ch.S., Takahashi Y.K., Hehn M., Cinchetti M., Malinowski G, Hono K, Fainman Y, Aeschlimann M, Fullerton E.E. // Science. 2014. V. 345. P. 1337. https://doi.org/10.1126/science.1253493
- Romer S., Marioni M.A., Thorwarth K., Joshi N.R., Corticelli C.E., Hug H.J., Oezer S., Parlinska–Wojtan M., Rohrmann H. // Appl. Phys. Lett. 2012. V. 101. P. 222404. https://doi.org/10.1063/1.4767142
- Becker J., Tsukamoto A., Kirilyuk A. // Phys. Rev. Lett. 2017. V. 118. P. 117203. https://doi.org/10.1103/PhysRevLett.118.117203
- Arora A., Mawass M.-A., Sandig O., Luo Ch., Ünal Ah.A., Radu F., Valencia S., Kronast F. // Sci. Rep. 2017. V. 7. P. 9456. https://doi.org/10.1038/s41598-017-09615-1
- Shan Z.S., Sellmyer D.J. // Phys. Rev. B. 1990. V. 42. № 16. P. 10433. https://doi.org/10.1103/PhysRevB.42.10433
- Shan Z.S., Sellmyer D.J., Jaswal S.S., Wang Y.J., Shen J.X. // Phys. Rev. Lett. 1989. V. 63. № 4. P.443. https://doi.org/10.1103/physrevlett.6.449
- Subbotin I.A., Pashaev E.M., Vasiliev A.L., Chesnokov Yu.M., Prutskov G.V., Kravtsov E.A., Makarova M.V., Proglyado V.V., Ustinov V.V. // Physica B. 2019. V. 573. P. 28. https://doi.org/10.1016/j.physb.2019.06.044
- Макарова М.В., Кравцов Е.А., Проглядо В.В., Хайдуков Ю.Н., Устинов В.В. // ФТТ. 2020. Т. 62. № 9. С. 1499.
- Yakunin S.N., Makhotkin I.A., Nikolaev K.V., van de Kruijs R.W.E., Chuev M.A., Bijkerk F. // Optics Express. 2014. V.22. № 17. P. 20076. https://doi.org/10.1364/OE.22.020076
- Zameshin A.A., Makhotkin I.A., Yakunin S.N., van de Kruijs R.W., Yakshin A.E., Bijkerk F. // J. Appl. Crystallography. 2016. V. 49. № 4. P. 1300. https://doi.org/10.1364/OE.22.020076
- Chesnokov Y.M., Vasiliev A.L., Prutskov G.V., Pashaev E.M., Subbotin I.A., Kravtsov E.A., Ustinov V.V. // Thin Solid Films. 2017. V. 632. P. 79. https://doi.org/10.1016/j.tsf.2017.04.033
- Björck M., Andersson G. // J. Appl. Cryst. 2007. V. 40. P. 1174. https://doi.org/10.1107/S0021889807045086
- Chen K., Lott D., Radu F. // Sci. Rep. 2015. P. 18377. https://doi.org/10.1038/srep18377
- Higgs T.D.C., Bonetti S., Ohldag H., Banerjee N., Wang X.L., Rosenberg A.J., Cai Z., Zhao J.H., Moler K.A., Robinson J.W.A. // Sci. Rep. 2016. V. 6. P. 30092. https://doi.org/10.1038/srep30092
- Liao J., He H., Zhang Z., Ma B., Jin Q.Y. // J. Appl. Phys. 2011. V. 109. P. 023907. https://doi.org/10.1063/1.3536476
Arquivos suplementares




