Surface Crystallization and Magnetization Reversal Processes in Amorphous Microwires
- Authors: Aksenov O.I.1, Fuks A.A.1,2, Abrosimova G.E.1, Matveev D.V.1, Aronin A.S.1
-
Affiliations:
- Institute of Solid State Physics
- National Research University Higher School of Economics
- Issue: No 9 (2023)
- Pages: 11-17
- Section: Articles
- URL: https://medbiosci.ru/1028-0960/article/view/137806
- DOI: https://doi.org/10.31857/S1028096023090029
- EDN: https://elibrary.ru/ZLHMIO
- ID: 137806
Cite item
Full Text
Abstract
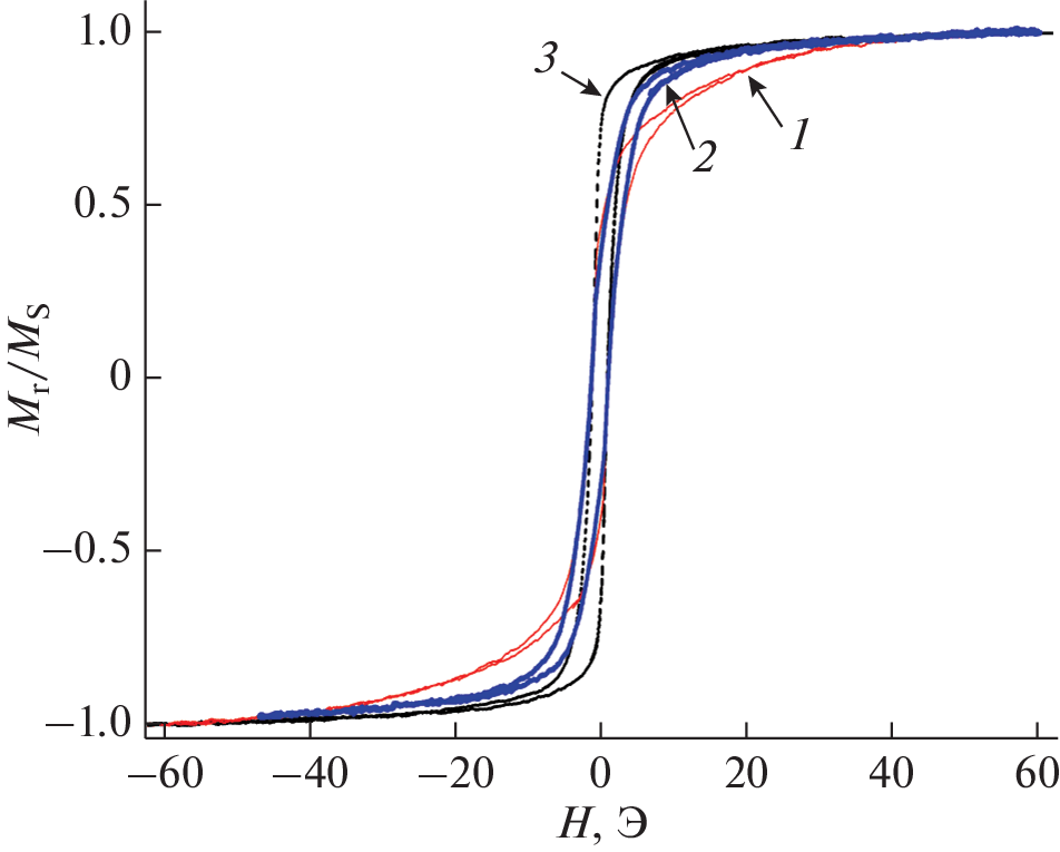
The bulk-inhomogeneous crystallization of amorphous microwires of composition Fe73.8Cu1Nb3.1B9.1Si13 has been studied. An assumption was put forward about the influence of the non-uniform distribution of tensile and compressive stresses in the bulk of microwires on their crystallization. It has been established that at the initial stages of crystallization the crystallization occurs in the near-surface region of a microwire with a thickness of about 2.5 μm. It has been established that the sizes of nanocrystals in the surface region of microwire are about 10 nm. It was found that the formation of an amorphous nanocrystalline layer on the microwire surface leads to an increase in the Mr/MS ratio (ratio of remanent magnetization to saturation magnetization), which is associated with a decrease in the magnetic anisotropy due to a decrease in the stress level during heat treatment and nanocrystallization. Chemical etching of annealed microwires leads to a significant increase in the Mr/MS ratio, which is due to an increase in the relative volume of the central domain layer. The results obtained indicate the potential for creating composite amorphous-nanocrystalline structures based on microwires. In the case of microwires of Fe73.8Cu1Nb3.1B9.1Si13 composition, the predominant crystallization of the surface layer can increase the effect of the giant magnetic impedance. Such objects may have potential applications in sensorics, in particular, in magnetic field and strain sensors.
About the authors
O. I. Aksenov
Institute of Solid State Physics
Author for correspondence.
Email: oleg_aksenov@inbox.ru
Russia, Chernogolovka, Moscow Region,142432
A. A. Fuks
Institute of Solid State Physics; National Research University Higher School of Economics
Email: oleg_aksenov@inbox.ru
Russia, Chernogolovka, Moscow Region,142432; 105066 Russia, Moscow
G. E. Abrosimova
Institute of Solid State Physics
Email: oleg_aksenov@inbox.ru
Russia, Chernogolovka, Moscow Region,142432
D. V. Matveev
Institute of Solid State Physics
Email: oleg_aksenov@inbox.ru
Russia, Chernogolovka, Moscow Region,142432
A. S. Aronin
Institute of Solid State Physics
Email: oleg_aksenov@inbox.ru
Russia, Chernogolovka, Moscow Region,142432
References
- Greer A.L., Cheng Y.Q., Ma E. // Mater. Sci. Eng. 2013. V. R74. P. 71. https://doi.org/10.1016/j.mser.2013.04.001
- Постнова Е.Ю., Абросимова Г.Е., Аронин А.С. // Поверхность. Рентген., синхротр. и нейтрон. исслед. 2021. № 11. С. 5.
- Абросимова Г.Е., Аронин А.С. // Поверхность. Рентген., синхротр. и нейтрон. исслед. 2018. № 5. С. 91.
- Glezer A.M., Khriplivets I.A., Sundeev R.V., Louzguine-Luzgin D.V., Pogozhev Yu.S., Rogachev S.O., Bazlov A.I., Tomchuk A.A. // Mater. Let. 2020. V. 281. P. 128659. https://doi.org/10.1016/j.matlet.2020.128659
- Inoue A., Ochiai T., Horio Y., Masumoto T. // Mater. Sci. Eng. 1994. V. A179/A180. P. 649. https://doi.org/10.1016/0921-5093(94)90286-0
- Louzguine D.V., Inoue A. // J. Non-Cryst. Solids. 2002. V. 311. P. 281. https://doi.org/10.1016/S0022-3093(02)01375-3
- Yavari A. R., Georgarakis K., Antonowicz J., Stoica M., Nishiyama N., Vaughan G., Chen M., Pons M. // Phys. Rev. Lett. 2012. V. 109. P. 085501. https://doi.org/10.1103/PhysRevLett.109.085501
- Chiriac H., Ovari T.A., Pop G. // Phys. Rev. B 1995. V. 52. P. 10104. https://doi.org/10.1103/PhysRevB.52.10104
- Herzer G. // Phys. Scr. 1993. V. 49. P. 307. https://doi.org/10.1088/0031-8949%2F1993%2FT49A% 2F054
- Chiriac H., Ovari T.A. // ProgMater Sci. 1996. V. 40. P. 333. https://doi.org/10.1016/S0079-6425(97)00001-7
- Fuks A., Abrosimova G., Aksenov O., Churyukanova M., Aronin A. // Crystals. 2022. V. 12. P. 1494. https://doi.org/10.3390/cryst12101494
- Talaat A., Zhukova V., Ipatov M., Blanco J.M., Gonzalez-Legarreta L., Hernando B., del Val J.J., González J., Zhukov A. // J. Appl. Phys. 2014. V. 115. P. 17A313. https://doi.org/10.1063/1.4863484
- Corte-León P., Zhukova V., Ipatov M., Blanco J.M., Gonzalez J., Zhukov A. // Intermetallics. 2019. V. 105. P. 92. https://doi.org/10.1016/j.intermet.2018.11.013
- Gonzalez A., Zhukova V., Corte-Leon P., Chizhik A., Ipatov M., Blanco J. M., Zhukov A. // Sensors. 2022. V. 22. № 3. P. 1053. https://doi.org/10.3390/s22031053
- Churyukanova M., Kaloshkin S., Shuvaeva E., Mitra A., Panda A.K., Roy R.K., Murugaiyan P., Corte-Leon P., Zhukova V., Zhukov A. // J. Magn. Magn. Mater. 2019. V. 492. P. 165598. https://doi.org/10.1016/j.jmmm.2019.165598
- Zhukov A., Ipatov M., Corte-León P., Gonzalez- Legarreta L., Churyukanova M., Blanco J.M., Gonzalez J., Taskaev S., Hernando B., Zhukova V. // J. Alloys Compd. 2020. V. 814. P. 152225. https://doi.org/10.1016/j.jallcom.2019.152225
- Clavaguera N., Pradell T., Jie Z., Clavaguera-Mora M.T. // Nanostruct. Mater. 1995. V. 6. P. 453. https://doi.org/10.1016/0965-9773(95)00094-1
- Abrosimova G.E., Aronin A.S., Kholstinina N.N. // Phys. Solid State. 2010. V. 52. P. 445.
- Chizhik A., Stupakiewicz A., Zhukov A., Maziewski A., Gonzalez J. // IEEE Trans. Magn. 2015. V. 51. P. 200234. https://doi.org/10.1109/INTMAG.2015.7157157
- Chen D.M., Xing D.W., Qin F.X., Liu J.S., Wang H., Wang X.D., Sun J.F. // Phys. Status Solidi. A. 2013. V. 210. P. 2515. https://doi.org/10.1002/pssa.201329246
- Usov N., Antonov A., Dykhne A., Lagarkov A. // J. Magn. Magn. Mater. 1997. V. 174. P. 127. https://doi.org/10.1016/S0304-8853(97)00130-3
- Chiriac H., Ovari T.A., Pop G. // J. Magn. Magn. Mater. 1996. V. 157. P. 227. https://doi.org/10.1016/S0079-6425(97)00001-7S0079642597000017
Supplementary files







