О радиационной стойкости порошков ZnO, модифицированных собственными наночастицами
- Авторы: Михайлов М.М.1, Юрьев С.А.1, Лапин А.Н.1, Горончко В.А.1
-
Учреждения:
- Томский государственный университет систем управления и радиоэлектроники
- Выпуск: № 9 (2023)
- Страницы: 52-57
- Раздел: Статьи
- URL: https://medbiosci.ru/1028-0960/article/view/137812
- DOI: https://doi.org/10.31857/S1028096023090078
- EDN: https://elibrary.ru/ZMCKHS
- ID: 137812
Цитировать
Полный текст
Аннотация
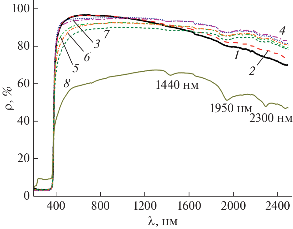
Выполнены исследования изменений спектров диффузного отражения (∆ρλ) и интегрального коэффициента поглошения (Δаs) в области 0.2–2.5 мкм после модификации порошков оксида цинка с частицами размером в несколько мкм mZnO собственными наночастицами nZnO различной концентрации в диапазоне 0.1–10.0 мас. %. Установлено уменьшение коэффициента отражения (ρ) в области 0.4–1.0 мкм и его увеличение в области 1.0–2.5 мкм в модифицированных порошках mZnO/nZnO. Облучение электронами (Е = 30 кэВ, Ф = 2 × 1016 см–2) порошков mZnO, nZnO, и mZnO/nZnO с различной концентрацией наночастиц показало: оптимальной является концентрация наночастиц 5 мас. %; радиационная стойкость модифицированного порошка при такой концентрации увеличилась в 2.95 раз; радиационная стойкость нанопорошка более чем в два раза превышает стойкость порошка с частицами размером в несколько мкм; при облучении электронами во всех трех типах порошков образуются собственные точечные дефекты, поглощающие в видимой области, и свободные электроны, поглощающие в ближней ИК-области.
Ключевые слова
Об авторах
М. М. Михайлов
Томский государственный университет систем управления и радиоэлектроники
Автор, ответственный за переписку.
Email: membrana2010@mail.ru
Россия, 634000, Томск
С. А. Юрьев
Томский государственный университет систем управления и радиоэлектроники
Автор, ответственный за переписку.
Email: yusalek@gmail.com
Россия, 634000, Томск
А. Н. Лапин
Томский государственный университет систем управления и радиоэлектроники
Email: yusalek@gmail.com
Россия, 634000, Томск
В. А. Горончко
Томский государственный университет систем управления и радиоэлектроники
Email: yusalek@gmail.com
Россия, 634000, Томск
Список литературы
- Нещименко В.В. Исследование структуры, свойств и радиационной стойкости оксидных порошков, модифицированных наночастицами: Дис. д-ра физико-математических наук: 01.04.07. Томск: ИФПМ, 2017, 325 с.
- Brown R.R., Fogdall L.B. Cannaday S.S. // Prog. Astronautics: Thermal Design Principles of Spacecraft and Entry. 1969. V. 21. P. 697.
- Heydari V., Bahreini Z. // J. Coat. Technol. Res. 2018. V. 15. P. 223.
- Mastan R., Khorsand Zak A., Pilevar Shahri R. // Ceram. Int. 2020. V. 46. P. 8582.
- Chen H., Li P., Zhou H. // Mater. Res. Bull. 2022. V. 146. P. 111572.
- Mikhailov M.M., Neshchimenko V.V., Li C., He S., Yang D. // J. Mater. Res. 2009. V. 24. P. 19.
- Kositsyn L.G., Mikhailov M.M., Kuznetsov N.Y., Dvoretskii M.I. // Instrum. Exp. Tech. 1985. V. 28. P. 929.
- ASTM E490-00a. Standard Solar Constant and Zero Air Mass Solar Spectral Irradiance Tables (2005) ASTM Int. PA, USA. https://www.astm.org/e0490-00ar19.html.
- ASTM E903-96. Standard Test Method for Solar Absorptance, Reflectance, and Transmittance of Materials Using Integrating Spheres (2005) ASTM Int. PA, USA. https://www.astm.org/e0903-96.html
- Djaja N., Montja D., Saleh R. // Adv. Mater. Phys. Chem. 2013. V. 3. P. 33.
- Shokry H.H., Elkady M.F., El-Shazly A.H., Bamufleh Hisham S. // J. Nanomaterials. 2014. P. 967492.
- Davydov A. Molecular spectroscopy of oxide catalyst surfaces. Chichester: John Wiley & Sons Ltd., 2003. 641 p.
- Boccuzzi F., Morterra C., Scala R., Zecchina A. // J. Chem. Soc. Faraday Trans. II. 1981. V. 77. P. 2059.
- Boccuzzi F., Borello E., Zecchina A., Bossi A., Camia M. // J. Catalysis. 1978. V. 51. P. 150.
- Saussey J., Lavalley J.-C., Bovet C. // J. Chem. Soc. Faraday Trans. 1. 1982. V. 78. P. 1457.
- Накамото К. ИК-спектры и спектры КР неорганических и координационных соединений. Пер. с англ. М.: Мир, 1991. 536 с.
- Indrajith Naik E., Sunil Kumar Naik T.S., Pradeepa E., Simranjeet Singh, Bhojya Naik H.S. // Mater. Chem. Phys. 2022. V. 281. P. 125860.
- Михайлов М.М., Дворецкий М.И. // Известия Вузов. Физика. 1988. № 7. С. 86.
- Шалимова К.В. Физика полупроводников. М.: Энергия, 1976, 416 с.
- Mikhailov M.M., Neshchimenko V.V., Li C. // Dyes and Pigments. 2016. V. 131. P. 256.
- Abu-Shamleh A., Alzubi H., Alajlouni A. // Photon. Nanostructures. Fundamentals Appl. 2021. V. 43. P. 100862.
Дополнительные файлы









