Application of Synchrotron Radiation Diffraction Techniques for Optimizing the Sintering Trajectory of Al2O3–Ce:(Y,Gd)AG Composite Ceramics
- 作者: Zavjalov A.P.1,2, Kosyanov D.Y.2
-
隶属关系:
- Institute of Solid-State Chemistry and Mechanochemistry SB RAS
- SEC “Advanced Ceramic Materials”, Far Eastern Federal University
- 期: 编号 10 (2023)
- 页面: 47-51
- 栏目: Articles
- URL: https://medbiosci.ru/1028-0960/article/view/141026
- DOI: https://doi.org/10.31857/S1028096023100229
- EDN: https://elibrary.ru/ZQBUTA
- ID: 141026
如何引用文章
全文:
详细
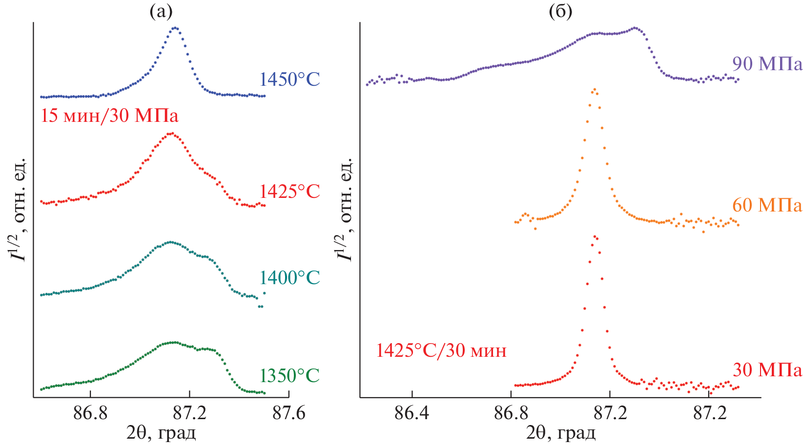
The development of most branches of lighting technology poses the challenge of developing advanced high-power white light-emitting diodes. Their design involves the combination of two basic elements – a high-power blue light-emitting diode or a laser diode with a yellow phosphor converter that can withstand high thermal loads. Recently, the development of solid-state (primarily ceramics) phosphors based on Ce:YAG, co-doped with the so-called “red” ions with high thermal conductivity and thermal stability, has been actively pursued. Additionally, the possibility of creating on their basis composite structures with a secondary thermostable phase of corundum α-Al2O3, which has many times higher thermal conductivity at a close coefficient of thermal expansion, is being considered. The development of a sintering map for complex systems based on solid ceramics solutions requires mandatory control of their structural-phase state by X-ray diffraction. However, laboratory equipment is not always sufficient to understand the processes occurring during sintering. Therefore, in this work, on the example of Al2O3–Ce:(Y,Gd)AG biphase ceramics, we optimized the trajectory of their sintering using diffraction of synchrotron radiation. The composites were synthesized by the method of reactive spark plasma sintering of powders of the initial oxides. It is shown that at the fixed applied pressure of 30 MPa and an isothermal holding for 15 min, a single phase of the Ce:(Y,Gd)AG solid solution is formed only at temperatures of at least 1450°C. At such high sintering temperatures, signs of recrystallization are observed due to the proximity of eutectic melting. Increasing the exposure time to 30 min makes it possible to lower the temperature of formation of the biphasic structure to 1425°C and prevent undesirable recrystallization. However, the subsequent increase in pressure to 90 MPa leads to the coexistence of several variations of the YAG-type phase in the system.
作者简介
A. Zavjalov
Institute of Solid-State Chemistry and Mechanochemistry SB RAS; SEC “Advanced Ceramic Materials”, Far Eastern Federal University
编辑信件的主要联系方式.
Email: Zav_Alexey@list.ru
Russia, 630128, Novosibirsk; Russia, 690922, Vladivostok
D. Kosyanov
SEC “Advanced Ceramic Materials”, Far Eastern Federal University
编辑信件的主要联系方式.
Email: Kosianov.diu@dvfu.ru
Russia, 690922, Vladivostok
参考
- Pimputkar S., Speck J.S., Denbaars S.P., Nakamura S. // Nat. Photonics. 2009. V. 3. P. 180. https://doi.org/10.1038/nphoton.2009.32
- Li S., Wang L., Hirosaki N., Xie R.-J. // Laser Photonics Rev. 2018. V. 12. № 12. P. 1800173. https://doi.org/10.1002/lpor.201800173
- Schubert E.F., Kim J.K. /// Science. 2005. V. 308. P. 1274. https://doi.org/10.1126/science.1108712
- Liu X., Qian X., Hu Z., Chen X., Shi Y., Zou J., Li J. // J. Eur. Ceram. Soc. 2019. V. 39. P. 2149. https://doi.org/10.1016/j.jeurceramsoc.2019.01.054
- Kosyanov D.Yu., Liu X., Vornovskikh A.A., Kosianova A.A., Zakharenko A.M., Zavjalov A.P., Shichalin O.O., Mayorov V.Yu., Kuryavyi V.G., Qian X., Zou J., Li J. // Mater. Charact. 2021. V. 172. P. 110883. https://doi.org/10.1016/j.matchar.2021.110883
- Ling J., Zhou Y., Xu W., Lin H., Lu S., Wang B., Wang K. // J. Adv. Ceram. 2020. V. 9. P. 45. https://doi.org/10.1007/S40145-019-0346-0
- Wang J., Tang X., Zheng P., Li S., Zhou T., Xie R.J. // J. Mater. Chem. C. 2019. V. 7. P. 3901. https://doi.org/10.1039/C9TC00506D
- Cai P.Z., Green D.J., Messing G.L. // J. Am. Ceram. Soc. 1997. V. 80. P. 1929. https://10.1111/J.1151-2916. 1997.TB03075.X
- Cai P.Z., Green D.J., Messing G.L. // J. Am. Ceram. Soc. 1997. V. 80. P. 1929. https://doi.org/10.1111/J.1151-2916.1997.TB03075.X
- Gupta T.K., Valentich J. // J. Am. Ceram. Soc. 1971. V. 54. P. 355. https://doi.org/10.1111/J.1151-2916.1971.TB12315.X
- Berman R., Foster E.L., Ziman J.M. // Proc. R. Soc. London. A. 1955. V. 231. P. 130. https://doi.org/10.1098/RSPA.1955.0161
- Cozzan C., Lheureux G., O’Dea N., Levin E.E., Graser J., Sparks T.D., Nakamura S., DenBaars S.P., Weisbuch C., Seshadri R. // ACS Appl. Mater. Interfaces. 2018. V. 10. P. 5673. https://doi.org/10.1021/acsami.8b00074
- Liu Z., Li S., Huang Y., Wang L., Zhang H., Jiang R., Huang F., Yao X., Liu X., Huang Z. // J. Alloys Compd. 2019. V. 785. P. 125. https://doi.org/10.1016/j.jallcom.2019.01.175
- Zhao H., Li Z., Zhang M., Li J., Wu M., Li X., Chen J., Xie M., Li J., Sun X. // Ceram. Int. 2020. V. 46. P. 653. https://doi.org/10.1016/j.ceramint.2019.09.017
- Li S., Zhu Q., Tang D., Liu X., Ouyang G., Cao L., Hirosaki N., Nishimura T., Huang Z., Xie R.-J. // J. Mater. Chem. C. 2016. V. 4. P. 8648. https://doi.org/10.1039/C6TC03215J
- Kosyanov D.Yu., Vornovskikh A.A., Zakharenko A.M., Gridasova E.A., Yavetskiy R.P., Dobrotvorskaya M.V., Tolmachev A.V., Shichalin O.O., Papynov E.K., Ustinov A.Yu., Kuryavyi V.G., Leonov A.A., Tikhonov S.A. // Opt. Mater. 2021. V. 112. P. 110760. https://doi.org/10.1016/j.optmat.2020.110760
- Piminov P.A., Baranov G.N., Bogomyagkov A.V., Berkaev D.E., Borin V.M., Dorokhov V.L., Karnaev S.E., Kiselev V.A., Levichev E.B., Meshkov O.I., Mishnev S.I., Nikitin S.A., Nikolaev I.B., Sinyatkin S.V., Vobly P.D., Zolotarev K.V., Zhuravlev A.N. // Phys. Proc. 2016. V. 84. P. 19. https://doi.org/10.1016/j.phpro.2016.11.005
- Shmakov A.N., Mytnichenko S.V., Tsybulya S.V., Solovyeva L.P. // J. Struct. Chem. 1994. V. 35. № 2. P. 224. https://doi.org/10.1007/BF02578312
- Wojdyr M. // J. Appl. Cryst. 2010. V. 43. P. 1126. https://doi.org/10.1107/S0021889810030499
- Ancharov A.I., Manakov A.Yu., Mezentsev N.A., Tolochko B.P., Sheromov M.A., Tsukanov V.M. // Nucl. Instrum. Methods Phys. Res. A. 2001. V. 470. № 1–2. P. 80. https://doi.org/10.1016/S0168-9002(01)01029-4
- Sai Q., Xia C. // J. Lumin. 2017. V. 186. P. 68. https://doi.org/10.1016/j.jlumin.2017.02.011


