Investigation of Morphology and Electrical Properties of Structures Based on the Heterojunction Monocrystalline Si/Microcrystalline ZnO
- 作者: Semenov A.R.1, Litvinov V.G.1, Kholomina T.A.1, Ermachikhin A.V.1, Rybin N.B.1
-
隶属关系:
- Ryazan State Radio Engineering University named after V.F. Utkin
- 期: 编号 10 (2023)
- 页面: 103-112
- 栏目: Articles
- URL: https://medbiosci.ru/1028-0960/article/view/141034
- DOI: https://doi.org/10.31857/S1028096023100199
- EDN: https://elibrary.ru/GFTPXE
- ID: 141034
如何引用文章
全文:
详细
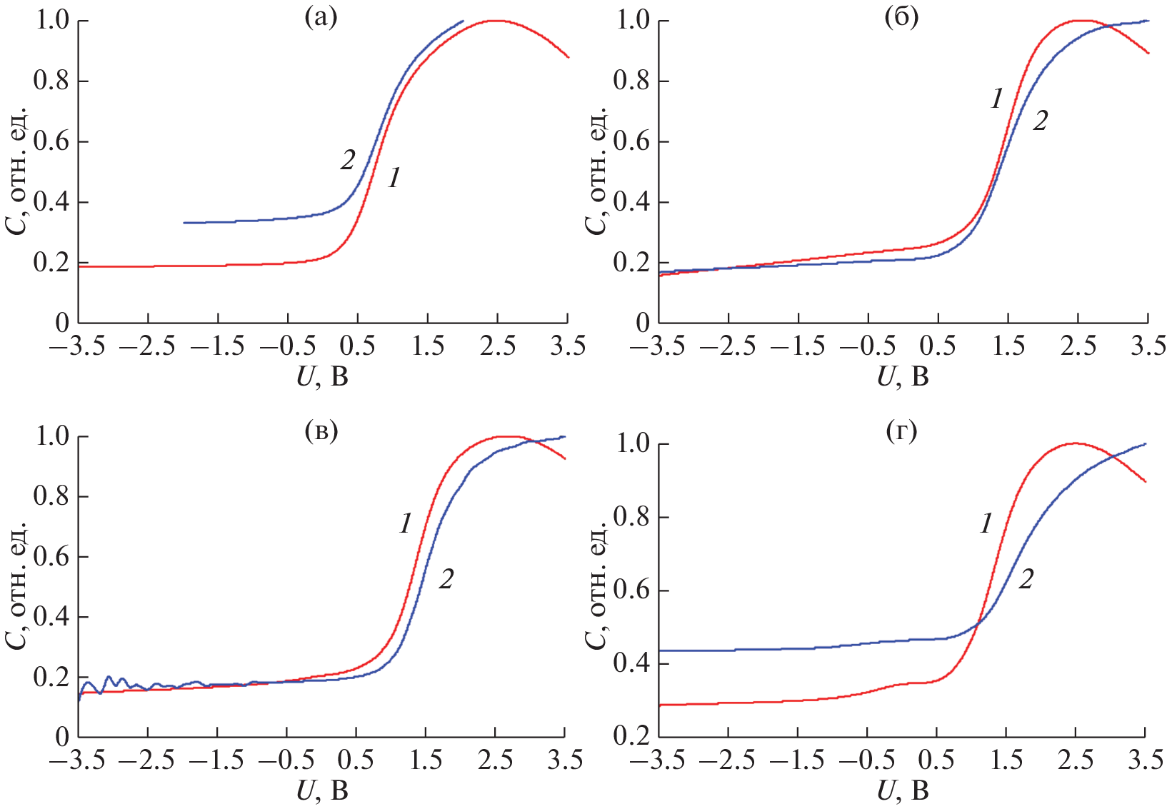
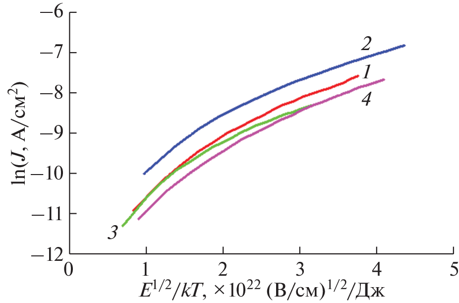
The results of an experimental study of the surface morphology of zinc oxide films and the electrical properties of structures based on the monocrystalline Si/microcrystalline ZnO heterojunction are presented. The structure of zinc oxide films grown in an atmosphere of argon and oxygen is analyzed, and the size distribution of nanoscale fibers grown on its surface is obtained. The capacitance-voltage characteristics of the In/ZnO/n-Si/Al and Au/ ZnO/n-Si/Al heterostructures have been simulated. Based on the calculations and comparison of experimental and model dependences, the concentration of free charge carriers in the sample and the position of the Fermi level were determined, the presence of a fixed charge in the structure was revealed, the density of surface states was found based on the ratio of the voltage applied to the structure and the surface potential at the interface of the materials of the layers of structures. The value of the built-in surface charge is calculated. The interrelation of the upper contact material with the volt-farad and volt-ampere characteristics of the structure is investigated. The resistance of the formed zinc oxide films is calculated. The prevailing charge transfer mechanisms are discussed. The influence of technological modes of obtaining zinc oxide films obtained by spray pyrolysis on the structure of the surface, the effective capacity of the structure, the density of electronic states, the processes of charge carrier transfer in samples under the action of an electric field is analyzed.
作者简介
A. Semenov
Ryazan State Radio Engineering University named after V.F. Utkin
编辑信件的主要联系方式.
Email: sem-a-sem@mail.ru
Russia, 390005, Ryazan
V. Litvinov
Ryazan State Radio Engineering University named after V.F. Utkin
Email: marta.tap@yandex.ru
Russia, 390005, Ryazan
T. Kholomina
Ryazan State Radio Engineering University named after V.F. Utkin
编辑信件的主要联系方式.
Email: marta.tap@yandex.ru
Russia, 390005, Ryazan
A. Ermachikhin
Ryazan State Radio Engineering University named after V.F. Utkin
Email: marta.tap@yandex.ru
Russia, 390005, Ryazan
N. Rybin
Ryazan State Radio Engineering University named after V.F. Utkin
Email: marta.tap@yandex.ru
Russia, 390005, Ryazan
参考
- Pintilie L., Pintilie I. // Mater. Sci. Eng. B. 2001. V. 80. Iss. 1–3. P. 388. https://www.doi.org/10.1016/s0921-5107(00)00605-x
- Kaidashev E.M., Loren M.Z., von Wenckstern H., Rahm A., Semmelhack H.-C., Han K.-H., Benndorf G., Bundesmann C., Hochmuth H., Grundmann M. // Appl. Phys. Lett. 2016. V. 82. Iss. 22. P. 3901. https://www.doi.org/10.1063/1.1578694
- Lashkova N.A., Maximov A.I., Ryabko A.A., Bobkov A.A., Moshnikov V.A., Terukov E.I. // Semiconductors. 2016. V. 50. Iss. 9. P. 1254. https://www.doi.org/10.1134/S106378261609013X
- Захвалинский В.С., Голев И.М., Борисенко Л.В., Прокопова Т.В., Хмара А.Н., Пилюк Е.А., Колесников Д.А. // Известия РАН: Сер. физическая. 2016. Т. 80. № 9. С. 1218. https://www.doi.org/10.7868/S0367676516090556
- Исмаилов Д.В. Наноструктурированные слои и тонкие пленки на основе оксида цинка: Дис. ... канд. техн. наук: 01.04.07. Томск: ТПУ, 2018. 158 с.
- Sekar N.K., Gumpu M.B., Ramachandra B.L., Nesakumar N., Sankar P., Babu K.J., Krishnan U.M., Rayappan J.B.B. // J. Nanosci. Nanotech. 2018. V. 18. № 6. P. 4371. https://www.doi.org/10.1166/jnn.2018.15259
- Davidova M., Laposa A., Smarhak J., Kromka A., Neykova N., Nahlik J., Kroutil J., Drahokoupil J., Voves J. // Beilstein J. Nanotech. 2018. V. 9. P. 22. https://www.doi.org/10.3762/bjnano.9.4
- Catellani A., Calzolari A. // Materials. 2017. V. 10. Iss. 4. P. 332. https://www.doi.org/10.3390/ma10040332
- Орешкин П.Т. Физика полупроводников и диэлектриков. М.: Высшая школа, 1977. 448 с.
- Muller R.S., Chan M., Kamins T.I. Device electronics for integrated circuits, 3rd Ed. Wiley India Pvt. Limited, 2003. 560 p.
- Sze S.M. Physics of Semiconductor Devices. N.Y.: Wiley-Interscience, 1981. 880 p.
- Ellmer K., Klein A., Rech B. ZnO and its applications. // Transparent Conductive Zinc Oxide. V. 104. Springer Berlin, Heidelberg, 2008. 446 p. https://www.doi.org/10.1007/978-3-540-73612-7
- Литвинов В.Г., Семенов А.Р., Холомина Т.А., Ермачихин А.В., Рыбин Н.Б., Громов Д.Г. // Вестник РГРТУ. 2018. Вып. 66-2. С. 9. https://www.doi.org/10.21667/1995-4565-2018-66-4-2-9-14
- Semenov A.R., Litvinov V.G., Kholomina T.A., Ermachikhin A.V., Rybina N.V., Gromov D.G., Oleinik S.P. // Investigating and modeling high frequency C–V characteristics of zinc oxide-based heterostructures. 7th Mediterranean Conference on Embedded Computing (MECO), Budva, Montenegro, 2018. P. 1. https://www.doi.org/10.1109/MECO.2018.8405999
- Pearson K. // Proceedings of the Royal Society of London. 1895. V. 58. Iss. 347. P. 240. https://www.doi.org/10.1098/rspl.1895.0041
- Pearton S., Norton D.P., Ip K., Heo Y.W., Steiner T. // Prog. Mater. Sci. 2005. V. 50. Iss. 3. P. 293. https://www.doi.org/10.1016/j.pmatsci.2004.04.001
- Gromov D.G., Koz’min A.M., Shulyat’ev A.S., Polomoshnov S., Bogolyubova D.N., Shamanaev S.V. // Semiconductors. 2013. V 47. № 13. P. 1687. https://www.doi.org/10.1134/S1063782613130083
- Майселл Л., Глэнг Р. Технология тонких пленок. Справочник. Т. 2 / Перевод с англ. под ред. М.И. Елинсона, Г.Г. Смолко. М.: Сов. радио, 1977. 768 с.
- Тутов Е.А., Тума Ф.А., Кукуев В.И. // Конденсированные среды и межфазные границы. 2006. Т. 8. № 4. С. 334.
- Семенов А.Р., Голованова М.В., Литвинов В.Г., Громов Д.Г., Олейник С.П., Холомина Т.А., Ермачихин А.В. // Вестник РГРТУ. 2019. Вып. 70. С. 179. https://www.doi.org/10.21667/1995-4565-2019-70-179-189
补充文件








