Tungsten sputtering coefficients by light impurities of plasma
- Authors: Mikhailov V.S.1, Babenko P.Y.1, Zinoviev A.N.1
-
Affiliations:
- Ioffe Institute
- Issue: No 3 (2024)
- Pages: 33-38
- Section: Articles
- URL: https://medbiosci.ru/1028-0960/article/view/259388
- DOI: https://doi.org/10.31857/S1028096024030051
- EDN: https://elibrary.ru/hfnokw
- ID: 259388
Cite item
Full Text
Abstract
Calculations of the tungsten sputtering coefficients (the divertor material in the ITER tokamak) by He, Be, N, O – impurity atoms in the plasma – were carried out at collision energy of 0.010–100 keV using the Monte–Carlo method. To calculate the trajectory of the incident particle, pair potentials obtained within the framework of density functional theory were used. These potentials were corrected for the parameters of the potential well obtained from spectroscopic measurements. The target consisted of tungsten randomly oriented crystals the size of one lattice constant. Next, the trajectories of the recoil particles were calculated using many-particle potentials calculated using density functional theory. Thermal vibrations of target atoms were taken into account. The vibration amplitude was taken to be 0.05 Å, which corresponded to room temperature. The strong dependence of the results on the shape of the surface potential barrier is shown and the results are presented for two limiting cases of the surface state: a flat surface, when a planar surface potential barrier is realized, and a surface consisting of cones, when a spherical potential barrier occurs. In the experiment, the surface has some roughness, which depends on the experimental conditions. It is shown that the experimental results lie between the limiting cases we considered. Information was obtained on the average energy of sputtered atoms and angular distributions, necessary for calculating the entry of impurities into the tokamak plasma.
Full Text
ВВЕДЕНИЕ
Проект по созданию токамака-реактора ИТЭР является крупным шагом в осуществлении управляемого термоядерного синтеза, который послужит ключом к чистой и безопасной энергетике будущего. Работа токамака-реактора будет происходить в условиях, когда материалы первой стенки и дивертор (бериллий и вольфрам) будут подвергаться воздействию чрезвычайно интенсивных потоков быстрых атомов, ионов, электронов, нейтронов и излучения. Поступление в плазму значительного количества примесей приведет к затуханию термоядерной реакции.
В работах [1–3] приведены расчеты коэффициентов распыления бериллия и вольфрама изотопами водорода, а также энергетические и угловые распределения распыленных частиц, которые важны для расчета прохождения распыленных частиц в горячую зону плазмы.
Задачей настоящей работы было проведение расчетов коэффициентов распыления вольфрама – материала дивертора в токамаке ИТЭР – ионами легких примесей плазмы, а именно Не, Be, N и O.
Как известно, гелий нарабатывается в ходе термоядерной реакции. Быстрые альфа-частицы будут удерживаться в плазме, термолизоваться до энергии, характерной для частиц плазмы, и бомбардировать стенку камеры и дивертор.
Азот и кислород являются примесями в плазме. Их источником, как правило, является восстановление этих атомов из нитридов или окислов при бомбардировке изотопами водорода.
Планируется стенку камеры сделать из бериллия, материала с небольшим атомным номером, что значительно уменьшит радиационные потери энергии плазмой при поступлении в плазму примеси бериллия. Стенку камеры будут бомбардировать потоки быстрых атомов дейтерия, трития, покидающих горячую зону плазмы. В работе [4] было показано, что этот процесс может сопровождаться поступлением в область сепаратрисы бериллия, в этом случае концентрация Be может составлять 2–4% от плотности плазмы.
Как известно, сепаратриса является последней незамкнутой магнитной линией, ограничивающей область горячей плазмы в токамаке. Электронная температура в районе сепаратрисы может составлять 100–150 эВ, электронная плотность – 1013 частиц/см3 [5]. При этих параметрах частицы примесей ионизуются и присутствуют в плазме в виде многозарядных ионов. Поступая в область сепаратрисы, частицы быстро термализуются и имеют кинетическую энергию порядка температуры плазмы, т.е. 100–150 эВ. При бомбардировке дивертора ионы примесей ускоряются потенциалом плазма–стенка, их энергия существенно возрастает на величину потенциала плазма–стенка, умноженную на заряд иона. Тем самым ионы примесей могут вызвать значительно большее распыление дивертора, по сравнению с распылением водородными частицами. Таким образом, достоверная информация о коэффициентах распыления вольфрама легкими примесями плазмы важна для оценки работоспособности материалов, применяемых в токамаке ИТЭР.
МЕТОДИКА РАСЧЕТА КОЭФФИЦИЕНТОВ РАСПЫЛЕНИЯ
Для моделирования в настоящей работе использовали метод Монте-Карло. Вначале рассчитывали траекторию налетающей частицы. При выборе потенциала мы опирались на опыт предшествующих работ по описанию отражения атомов водорода от поверхности [6, 7], прохождения пучка через тонкие пленки [8], по расчету ядерных тормозных потерь [9]. Эти исследования показали, что парные потенциалы, полученные в рамках теории функционала плотности, хорошо согласуются с данными экспериментов по изучению рассеяния в газовой фазе [10]. В эти потенциалы вносили коррекцию на параметры потенциальной ямы, полученные из измерений методами спектроскопии в соответствии с работой [9].
Важное значение имеет также применяемая модель для описания электронных тормозных потерь. Мы использовали надежные экспериментальные данные для алюминия [11] с применением масштабирования на различие в электронной плотности в вольфраме и алюминии с использованием методики, предложенной в работе [12].
Мишень состояла из кристаллов вольфрама размером в одну постоянную решетки, случайно ориентированных в пространстве. При пролете сквозь твердое тело налетающая частица при соударениях с атомами мишени создает частицы отдачи. Массив координат, энергий и векторов скорости частиц отдачи фиксировали. Частицы отдачи в свою очередь генерируют появление каскадных частиц, которыми дополняли этот массив. Далее рассчитывали траектории частиц отдачи с использованием многочастичных потенциалов, рассчитанных с использованием теории функционала плотности [13–15]. Частицы, вышедшие в вакуум за границу поверхности и преодолевшие поверхностный барьер, считали распыленными. Учитывали тепловые колебания атомов мишени. Амплитуду колебаний принимали равной 0.05 Å, что соответствовало комнатой температуре. Обычно мы рассматривали 1 млн налетающих частиц для набора требуемой статистики, а в случае расчета порогового поведения коэффициента распыления число налетающих частиц доходило до 100 млн.
Следует отметить, что на результаты расчетов заметно влияет используемая модель потенциального барьера на границе твердое тело–вакуум [16], которая зависит от топографии поверхности. Поверхностный потенциал может быть принят изотропным (сферическим) для сильно неровной поверхности, состоящей из остриев. В этом случае энергия распыленной частицы E2 должна быть больше энергии сублимации (энергии поверхностной связи) Es. Для гладкой поверхности применима модель плоскостного потенциала. В этом случае должно выполняться условие E2cos2Θ > Es, где Θ – угол вылета распыленной частицы, отсчитываемый от нормали к поверхности.
В условиях эксперимента при измерении коэффициента распыления и в реальных условиях в токамаке форма поверхности может значительно меняться, потому мы рассчитывали коэффициенты распыления для рассмотренных выше двух предельных случаев.
КОЭФФИЦИЕНТЫ РАСПЫЛЕНИЯ ВОЛЬФРАМА ЛЕГКИМИ ПРИМЕСЯМИ
Как видно из рис. 1, наш расчет для сферического и плоскостного поверхностного потенциала задает возможный диапазон величин коэффициентов распыления. В зависимости от модели поверхности различие в величине коэффициента распыления в области максимума достигает двух раз. Особенно сильное различие наблюдается в районе порога распыления.
Рис. 1. Зависимости коэффициента распыления вольфрама атомами He (а), Be (б), N (в) и O (г) от энергии налетающей частицы. На графиках обозначены результаты расчетов: с использованием сферического потенциального барьера (1); плоскостного потенциального барьера (2); из работы [17] (3); из работы [18] (4); из работ [19] (5) и [20] (6), выполненных с использованием методов молекулярной динамики; из работы [21] (7); с помощью программы SDTrimSP из работы [22] (8). Экспериментальные данные, приведенные в [18], показаны точками.
Авторы работы [17] предложили формулу для вычисления коэффициента распыления Y тяжелых мишеней при бомбардировке легкими ионами низких энергий в виде:
Y = 1.276Es-1Q1(Z1,Z2)Q2(M1,M2)F(w), (1)
здесь Es – энергия сублимации; Z1 и Z2 – заряды ядер сталкивающихся атомов; M1 и M2 – атомные массы сталкивающихся частиц.
(2)
(3)
(4)
Пороговая энергия распыления обозначена – Eth; E0 – энергия налетающего иона. Как видно из рис. 1, кривая, полученная по этим формулам, неплохо согласуется с нашими расчетами для плоскостного потенциала. С увеличением массы налетающей частицы в области больших энергий соударения различие возрастает.
Расчеты группы Экштайна [18], выполненные для плоскостного потенциального барьера, лежат межу нашими предельными кривыми и, на наш взгляд, несколько завышают коэффициенты распыления. Как видно из рис. 1б, наши расчеты для случая Be–W неплохо согласуются с расчетами, выполненными методами молекулярной динамики [19, 20], и расчетом Ямамуры [21] и программой SDTrimSP [22].
В случае He–W (рис. 1а) экспериментальные данные имеют сильный разброс и лежат ближе к нашему расчету для плоскостного поверхностного барьера. Для системы Be–W экспериментальные данные отсутствуют. Для случая N–W экспериментальные данные лежат ниже нашего расчета, но приближаются к нему с ростом энергии соударения. Экспериментальные данные для случая O–W имеют сильный разброс и согласие с расчетами заметно хуже по сравнению с ранее рассмотренными случаями. Это может быть объяснено наличием окисла на поверхности мишени в эксперименте. Как известно, наличие окисла значительно снижает коэффициент распыления, т.к. атомы кислорода блокируют выход распыленных частиц вольфрама.
СРЕДНЯЯ ЭНЕРГИЯ РАСПЫЛЕННЫХ ЧАСТИЦ
Из рис. 2 видно, что с ростом энергии налетающей частицы наблюдается рост средней энергии распыленной частицы <Esput>. При энергии соударения более 10 кэВ этот рост замедляется. Средняя энергия распыленной частицы растет также с ростом массы налетающей частицы. Для плоскостного поверхностного барьера средняя энергия распыленной частицы больше, так как распыленные частицы с небольшой энергией не удовлетворяют условиям отбора E2cos2Ɵ > Es.
Рис. 2. Зависимость средней энергии распыленного атома вольфрама от начальной энергии бомбардирующей частицы при облучении атомами Не (1), Be (2) и N (3) в случае сферического (а) и плоскостного поверхностного барьера (б).
УГЛОВЫЕ РАСПРЕДЕЛЕНИЯ РАСПЫЛЕННЫХ ЧАСТИЦ
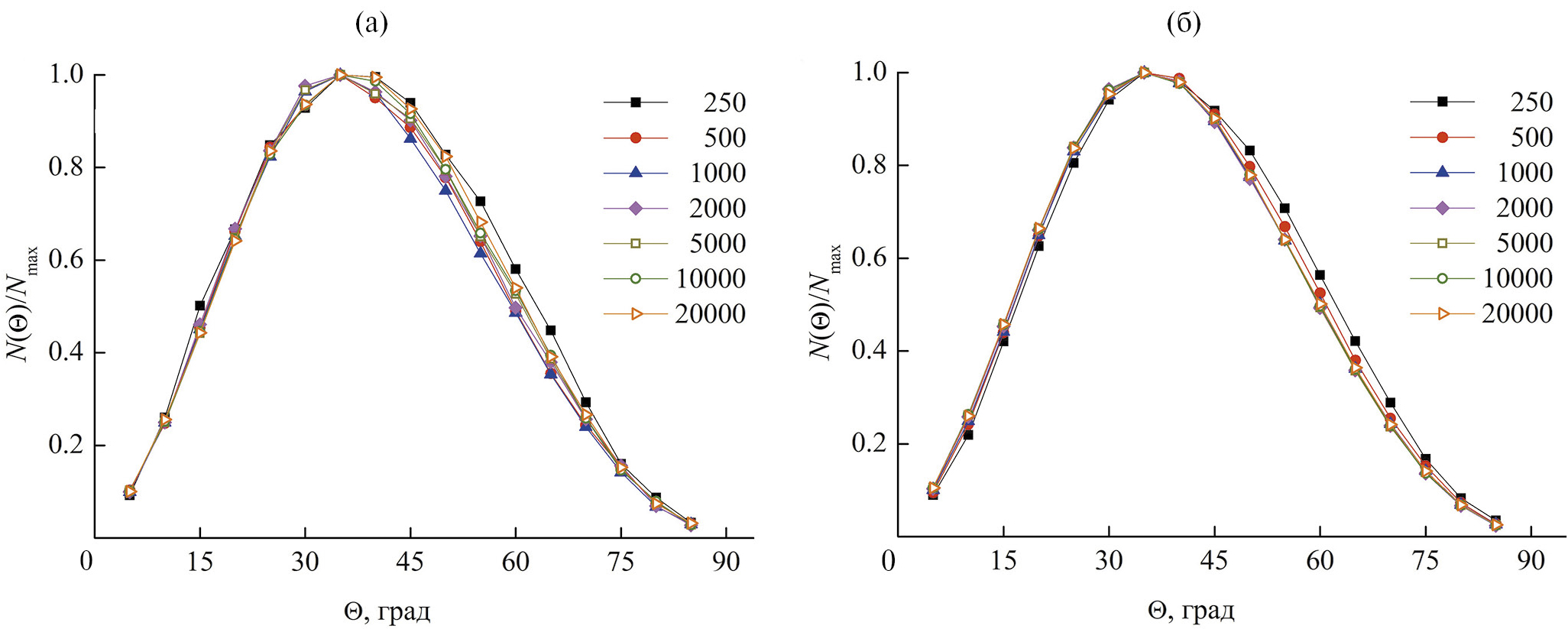
Как видно из рис. 3, угловое распределение распыленных частиц N(Θ), нормированное на значение в максимуме угловой зависимости Nmax, для широкого диапазона энергий соударения носит универсальный характер. Небольшие отличия наблюдаются только для энергий со- ударения вблизи порога распыления. Сравнение случаев бомбардировки частицами He (рис. 3а) и N (рис. 3б) демонстрирует универсальность угловой зависимости также от массы налетающей частицы. В случае сферического потенциального поверхностного барьера угловое распределение отражает распределение по углу вылета распыленных частиц до выхода из твердого тела (рис. 4).
Рис. 3. Нормированное угловое распределение распыленных частиц He (а) и N (б) с различной энергией (указана на графике в эВ) в случае сферического поверхностного потенциального барьера.
Рис. 4. Нормированное угловое распределение распыленных частиц He (а) и N (б) с различной энергией (указана на графике в эВ) в случае плоскостного потенциального поверхностного барьера.
В случае плоскостного потенциального поверхностного барьера нормированное угловое распределение уже не носит универсальный характер, что связано с условием отбора распыленных частиц E2cos2Θ > Es. С увеличением энергии налетающей частицы угловое распределение приближается к форме, характерной для сферического потенциального барьера.
ЗАКЛЮЧЕНИЕ
Рассчитаны коэффициенты распыления W атомами Не, Be, N и O в широком диапазоне энергии налетающих частиц от порога распыления до энергии 100 кэВ. Результаты расчетов согласуются с результатами, полученными другими методами моделирования. Показана сильная зависимость результатов от формы поверхностного потенциального барьера и представлены результаты для двух предельных случаев состояния поверхности: плоской поверхности, когда реализуется плоскостной поверхностный потенциальный барьер, и поверхности, состоящей из остриев, когда реализуется сферический потенциальный барьер. В эксперименте поверхность имеет некоторую шероховатость, которая зависит от условий эксперимента (подготовки образцов и интенсивности распыляющего пучка). Наблюдается большой разброс в имеющихся экспериментальных результатах, что, по-видимому, связано с различным состоянием поверхности образцов при проведении измерений. Таким образом, результаты экспериментов должны лежать между рассмотренными нами предельными случаями.
Получена информация о средних энергиях распыленных атомов и их угловых распределениях, которая нужна для оценки поступления распыленных частиц в плазму токамака.
Конфликт интересов. Авторы заявляют, что у них нет конфликта интересов.
About the authors
V. S. Mikhailov
Ioffe Institute
Author for correspondence.
Email: chiro@bk.ru
Russian Federation, 194021, St Petersburg
P. Yu. Babenko
Ioffe Institute
Email: chiro@bk.ru
Russian Federation, 194021, St Petersburg
A. N. Zinoviev
Ioffe Institute
Email: chiro@bk.ru
Russian Federation, 194021, St Petersburg
References
- Бабенко П.Ю., Михайлов В.С., Зиновьев А.Н. // Письма в ЖТФ. 2023. Т. 49. № 8. С. 42. https://www.doi.org/10.21883/PJTF.2023.08.55138.19432
- Бабенко П.Ю., Михайлов В.С., Шергин А.П., Зиновь- ев А.Н. // ЖТФ. 2023. Т. 93. № 5. С. 709. https://www.doi.org/10.21883/JTF.2023.05.55467.12-23
- Михайлов В.С., Бабенко П.Ю., Шергин А.П., Зиновьев А.Н. // ЖЭТФ. 2023. Т. 163 (принята в печать).
- Babenko P.Yu., Mironov M.I., Mikhailov V.S., Zino-viev A.N. // Plasma Phys. Control. Fusion. 2020. V. 62. № 4. P. 045020. https://www.doi.org/10.1088/1361-6587/ab7943
- Afanasyev V.I., Mironov M.I., Nesenevich V.G., Pet- rov M.P., Petrov S.Y. // Plasma Phys. Control. Fusion. 2013. V. 55. № 4. P. 045008. https://www.doi.org/10.1088/0741-3335/55/4/045008
- Бабенко П.Ю., Зиновьев А.Н., Михайлов В.С., Тенсин Д.С., Шергин А.П. // Письма в ЖТФ. 2022. Т. 48. № 14. С. 10. https://www.doi.org/10.21883/PJTF.2022.14.52862.19231
- Meluzova D.S., Babenko P.Yu., Shergin A.P., Nord-lund K., Zinoviev A.N. // Nucl. Instrum. Methods Phys. Res. B. 2019. V. 460. P. 4. https://www.doi.org/10.1016/j.nimb.2019.03.0378
- Бабенко П.Ю., Зиновьев А.Н., Тенсин Д.С. // ЖТФ. 2022. Т. 92. № 11. С. 1643. https://www.doi.org/10.21883/JTF.2022.11.53436.151-22
- Zinoviev A.N., Babenko P.Yu., Nordlund K. // Nucl. Instrum. Methods Phys. Res. B. 2021. V. 508. P. 10. https://www.doi.org/10.1016/j.nimb.2021.10.001
- Zinoviev A.N., Nordlund K. // Nucl. Instrum. Methods Phys. Res. B. 2017. V. 406. P. 511. https://www.doi.org/10.1016/J.NIMB.2017.03.047
- Primetzhofer D., Rund S., Roth D., Goebl D., Bauer P. // Phys. Rev. Lett. 2011. V. 107. № 16. P. 163201. https://www.doi.org/10.1103/PhysRevLett.107.163201
- Mann A., Brandt W. // Phys. Rev. B. 1981. V. 24. № 9. P. 4999. https://www.doi.org/10.1103/PhysRevB.24.4999
- Granberg F., Byggmästar J., Nordlund K. // J. Nucl. Mater. 2021. V. 556. P. 153158. https://www.doi.org/10.1016/j.jnucmat.2021.153158
- Bjorkas C., Nordlund K. // J. Nucl. Mater. 2013. V. 439. P. 174. https://www.doi.org/10.1016/j.jnucmat.2013.04.036
- Lyashenko A., Safi E., Polvi J., Djurabekova F., Nordlund K. // J. Nucl. Mater. 2020. V. 542. P. 152465. https://www.doi.org/10.1016/j.jnucmat.2020.152465
- Экштайн В. Компьютерное моделирование взаимодействия частиц с поверхностью твердого тела. М.: Мир, 1995. 321 с.
- Falcone G., Gullo F. // Phys. Lett. A. 1987. V. 125. № 8. P. 432. https://www.doi.org/10.1016/0375-9601(87)90178-2
- Behrisch R., Eckstein W. Sputtering by Particle Bom-bardment. Berlin: Springer, 2007. 509 p.
- Мелузова Д.С., Бабенко П.Ю., Зиновьев А.Н., Шергин А.П. // Письма в ЖТФ. 2020. Т. 46. № 24. С. 19. https://www.doi.org/10.21883/PJTF.2020.24.50422.18487
- Yang X., Hassanein A. // Appl. Surf. Sci. 2014. V. 293. P. 187. https://www.doi.org/10.1016/j.apsusc.2013.12.129
- Yamamura Y., Tawara H. // Atom. Data Nucl. Data Tabl. 1996. V. 62. P. 149. https://www.doi.org/10.1006/ADND.1996.0005
- Brezinsek S. // J. Nucl. Mater. 2015. V. 463. P. 11. https://www.doi.org/10.1016/j.jnucmat.2014.12.007
Supplementary files






