Первые нейтронные измерения на рефлектометрах ТНР и NERO-2
- Авторы: Дьячков М.В.1, Матвеев В.А.1, Сыромятников В.Г.1,2, Тарнавич В.В.1, Ульянов В.А.1
-
Учреждения:
- Национальный исследовательский центр “Курчатовский Институт” — Петербургский институт ядерной физики
- Санкт-Петербургский государственный университет
- Выпуск: № 8 (2024)
- Страницы: 11-19
- Раздел: Статьи
- URL: https://medbiosci.ru/1028-0960/article/view/274320
- DOI: https://doi.org/10.31857/S1028096024080027
- EDN: https://elibrary.ru/ELVORZ
- ID: 274320
Цитировать
Полный текст
Аннотация
В работе кратко описаны основные узлы нейтронных рефлектометров ТНР и NERO-2, установленных в зале горизонтальных экспериментальных каналов нового высокопоточного исследовательского реактора “ПИК” (НИЦ “Курчатовский институт” — ПИЯФ) в рамках программы по вводу в эксплуатацию первых пяти станций приборной базы этого реактора. Нейтронные рефлектометры ТНР и NERO-2 предназначены для проведения исследований магнитных и немагнитных многослойных наносистем, включая аттестацию нейтронно-оптических элементов для нейтронных станций. На ТНР реализована возможность работы в режимах (модах) измерений с “белыми” неполяризованным/поляризованным пучками и с монохроматическими неполяризованным/поляризованным пучками нейтронов (длины волн 0.09–0.50 нм). NERO-2 — рефлектометр высокого разрешения с фиксированной длиной волны излучения и возможностью работы как с неполяризованным, так и с поляризованным монохроматическим пучком нейтронов. В работе обсуждены результаты первых измерений нейтронно-оптических образцов на стеклянных подложках, проведенных на рефлектометрах ТНР и NERO-2 при запуске реактора “ПИК” на мощности 7 МВт. На ТНР выполняли измерения с суперзеркалом, представляющим собой апериодическую многослойную наносистему из 171 пары чередующихся слоев Ni и Ti (m = 2.5). На NERO-2 использовали зеркальный монохроматор, представляющий собой периодическую многослойную наносистему из 60 пар чередующихся слоев NiMo и Ti толщиной 60 Å каждый.
Полный текст
Введение
В последние годы заметно вырос интерес к исследованиям структурных характеристик и магнитных свойств многослойных тонкопленочных наносистем (МТН) с помощью метода нейтронной рефлектометрии [1, 2]. Привлекательность нейтронной рефлектометрии связана с тем, что нейтроны обладают рядом преимуществ, несмотря на существенно более низкие плотности потоков по сравнению с потоками, получаемыми на рентгеновских и тем более синхротронных источниках. Одно из преимуществ состоит в том, что длина ядерного когерентного рассеяния нейтронов не зависит от порядкового номера химического элемента мишени и отличается для изотопов одного и того же элемента. Это значит, что оптический контраст (или разность нейтронно-оптических потенциалов) между слоями многослойных тонкопленочных наносистем, от которого зависит коэффициент отражения, будет заметным, что позволит проводить исследования для большего количества материалов, используемых при создании многослойных тонкопленочных наносистем, по сравнению с рентгеновской рефлектометрией, где величина оптического контраста зависит от разности порядковых номеров химических элементов. Другим преимуществом является наличие у нейтрона спина, что дает зависимость показателя преломления излучения на границе с пленкой-образцом от величины и ориентации вектора магнитной индукции внешнего поля относительно направления спина нейтрона, падающего на образец. Зависимость намагниченности от глубины в многослойной тонкопленочной наносистеме неоднородна, но с помощью рефлектометрии нейтронов с поляризованным спином можно восстановить это распределение. Таким образом, рефлектометрия поляризованных нейтронов [3–6] позволяет характеризовать послойное распределение в магнитных многослойных тонкопленочных наносистемах не только ядерной плотности, но и вектора намагниченности, включая сложные случаи неколлинеарных распределений этого вектора.
Рефлектометры поляризованных нейтронов (РПН) можно разделить на работающие по времяпролетной методике с “белым” пучком, т.е. имеющие широкое, как правило, максвелловское распределение по длинам волн излучения [7–11] и c фиксированной длиной волны излучения [12–14], позволяющие использовать оба эти метода или их комбинацию [15–17].
Рефлектометры NERO-2 и ТНР были размещены в зале горизонтальных экспериментальных каналов (ГЭК) реактора “ПИК”. Рефлектометр ТНР предназначен для тестирования элементов нейтронной оптики нейтронных станций, строящихся в рамках приборной базы реакторного комплекса “ПИК”, а также тестирования новых поляризующих и неполяризующих магнитных покрытий с параметром m = θкр/θкрNi > 2.5 (информация о параметре m подробнее изложена в работах [18, 19]), где θкр — критический угол полного отражения нейтронов для материала покрытия; θкрNi — критический угол полного отражения для никеля. Прибор создавали на основе “НР-4М” — четырехмодового нейтронного рефлектометра с двумя модулями для изменения спина частиц (spin flipper) [20] и с анализатором поляризации пучка после взаимодействия с образцом [17]. ТНР предполагает возможность работы в режимах (модах) измерений с “белым”, неполяризованным/поляризованным пучками и с монохроматическим, неполяризованным/поляризованным пучками. Выбор режима (моды) измерений определяется решаемой физической задачей. Во времяпролетном режиме используют нейтроны с длинами волн от 0.09 до 0.5 нм при разрешении по длине волны 0.006 нм; в режиме с постоянной длиной волны излучения используют нейтроны с длиной волны около 0.2 нм и относительным разрешением по длине волны около 7%. Доступный диапазон по переданному импульсу составляет от 0.03 до 3 нм–1.
NERO-2 — рефлектометр высокого разрешения [21] с фиксированной длиной волны излучения и с вертикальным положением образца. Рефлектометр NERO-2 — многозадачный инструмент для исследования многослойных тонкопленочных наносистем, состоящих из магнитных и немагнитных материалов. Прибор имеет следующие основные параметры: рабочую длину волны нейтронов λ = 3 Å; режимы работы в высоком (Δλ/λ ~ 0.02) и среднем (Δλ/λ ~ 0.07) разрешении; возможность работы с неполяризованным и поляризованным пучками нейтронов; диапазон углов регистрации рассеянных нейтронов от –20° до 100° относительно направления падающего пучка нейтронов; поляризацию нейтронного пучка не менее 98%.
В статье представлены параметры рефлектометров ТНР и NERO-2 и результаты первых нейтронных измерений на эталонных образцах, проведенных на этих рефлектометрах после запуска реактора “ПИК” на мощности 7 МВт.
Измерения на нейтронном рефлектометре ТНР
Схема рефлектометра ТНР представлена на рис. 1. Нейтронный пучок из внутриканального коллиматора 1 падает под малым углом на отклоняющее (фильтрующее) зеркало 5. Отраженный от зеркала пучок проходит через прерыватель пучка 8, диафрагму 10, нейтронно-оптический четырехмодовый формирователь пучка 11, радиочастотный модуль для изменения спина частиц 13 [20], диафрагму 14, узел с образцом 15 и регистрируется детектором 19. Для отслеживания изменения мощности реактора 6 использован счетчик “Гелий-18” (диаметр 18 мм). Все узлы рефлектометра установлены на немагнитную виброустойчивую приборную платформу 17. Внутриканальный коллиматор 1 размерами 1000 × 25 × 1 мм задает первичную форму нейтронного пучка с расходимостью в 1 мрад в горизонтальной плоскости и снижает фон от быстрых нейтронов и γ-квантов из активной зоны реактора. Комбинированная защита 2 отклоняющего (фильтрующего) пучок зеркала состоит из свинца, стали и борированного полиэтилена БП-5. Лазерный юстировочный модуль служит для проведения юстировки элементов рефлектометра без нейтронного пучка. Это устройство позволяет сформировать лазерные пучки в двух противоположных направлениях, модуль установлен на специальном столике.
Рис. 1. Схема нейтронного рефлектометра ТНР: 1 — внутриканальный коллиматор в защите реактора “ПИК”; 2 — защита отклоняющего (фильтрующего) пучок зеркала; 3, 10, 14 — дистанционно управляемые диафрагмы; 4 — лазерный юстировочный модуль; 5 — отклоняющее (фильтрующее) пучок зеркало; 6 — монитор нейтронного пучка; 7 — защита прерывателя нейтронного пучка; 8 — прерыватель нейтронного пучка; 9 — заслонка пучка; 11 — нейтронно-оптический формирователь пучка; 12 — магнитная система для создания ведущего магнитного поля; 13 — радиочастотный модуль для изменения спина частиц; 15 — узел с образцом; 16 — вакуумный тракт; 17 — базисная немагнитная приборная платформа; 18 — дистанционно управляемая диафрагма; 19 — детектор в блоке защиты; 20 — виброустойчивый приборный стапель; 21 — стапель для персонала; 22 — шкаф с электроникой; 23 — управляющий компьютер; 24 — рабочий стол; 25 — вакуумный насос.
Отклоняющее суперзеркало 5 (m = 2) является немагнитным, состоит из чередующихся слоев NiMo и Ti [22] и служит для отклонения пучка нейтронов от оси реакторного канала на 0.33°, что позволяет очистить пучок от γ-квантов и быстрых нейтронов из активной зоны реактора. Это значительно снижает фон на детекторе. Размеры отклоняющего суперзеркала составляют 5 × 80 × 210 мм. Зеркало помещено на юстировочный стол в специальном держателе. Непосредственно за отклоняющим суперзеркалом установлен фильтр из борированного полиэтилена для поглощения прямого пучка быстрых нейтронов и γ-квантов, а также для пропускания отклоненного пучка тепловых нейтронов.
Прерыватель пучка 8 выполнен в виде титан-кадмиевого диска диаметром 500 мм, закрепленного на валу электродвигателя. Рабочая часть диска имеет кольцо из кадмия толщиной 2 мм и четыре щели размером 1.8 × 40 мм. При номинальной скорости вращения диска 1440 об/мин, частота прерывания пучка составляет 98 Гц. Прерыватель пучка установлен на юстировочном столе и отдельном стапеле. Прерыватель пучка служит в качестве одного из основных элементов для осуществления измерения времяпролетных нейтронных спектров. Заслонка пучка 9 изготовлена из пластины кадмия толщиной 2 мм и предназначена для перекрытия пучка, отраженного от отклоняющего зеркала и прошедшего через прерыватель. Ее используют при проведении юстировочных и наладочных работ на установке.
Дистанционно управляемые диафрагмы 3, 10, 14, шторки которых изготовлены из кадмия толщиной 2 мм, позволяют изменять размеры падающего на образец пучка по ширине и высоте. Нейтронно-оптический формирователь пучка 11 является одним из основных узлов ТНР. Формирователь пучка помещен в зазор постоянного магнита с напряженностью H = 500 Э. Магнит установлен на программно-управляемом юстировочном столе, позволяющем совершать его перемещение перпендикулярно пучку и вращение. Формирователь пучка служит для создания пучков, определяющих четыре режима работы рефлектометра: с использованием монохроматического поляризованного пучка (мода 1); “белого” неполяризованного пучка (мода 2); “белого” поляризованного пучка (мода 3); монохроматического неполяризованного пучка (мода 4) [3]. В формирователе пучка также есть юстировочный канал шириной 2.3 мм с неотражающими стенками (мода F). Выбор режима формирователя пучка определяется решаемой физической задачей. Система для создания ведущего магнитного поля 12 служит для сохранения поляризации пучка.
Узел для установки образца 15 состоит из программно-управляемого юстировочного столика, на котором установлен электромагнит с зазором 150 мм. Столик позволяет совершать вращение и перемещение перпендикулярно пучку. Электромагнит создает в области образца однородное вертикальное магнитное поле напряженностью H до 600 Э, его используют для намагничивания образца в плоскости поля. Существует возможность программно-управляемого изменения направления тока в обмотках электромагнита для перемагничивания образца.
“Вакуумный тракт” 16 представляет собой вакуумируемую трубу длиной порядка 2.5 м. Служит для уменьшения потерь пучка нейтронов из-за рассеяния и поглощения их в воздухе.
Дистанционно управляемая диафрагма 18 установлена перед окном в защите детектора и служит для снятия профиля отраженного пучка — зависимости интенсивности нейтронного пучка от координаты в горизонтальном направлении. Диафрагма изготовлена из кадмия толщиной 2 мм и имеет окно размером 0.2 × 100 мм. Детектор 19 представляет собой счетчик нейтронов “Гелий-18”, окруженный защитой из борированного полиэтилена и кадмия. Детектор в блоке защиты установлен на программно-управляемый юстировочный стол, позволяющий перемещать детектор перпендикулярно оси прямого пучка.
Для контроля и быстрой юстировки положения узлов рефлектометра в нейтронном пучке в рамках настоящей работы был разработан и использован нейтронный интенсиметр. Защитный корпус интенсиметра благодаря новому поглощающему нейтронное излучение композитному материалу позволяет использовать его вблизи мощных нейтронных источников [23].
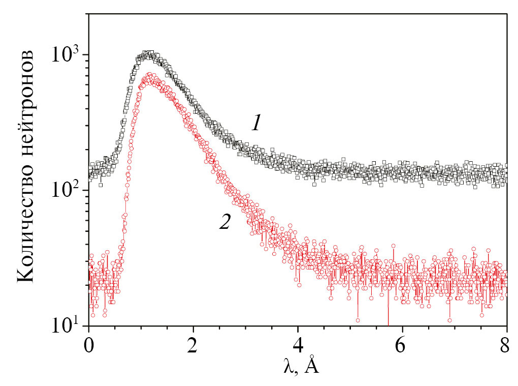
На первом этапе тестирования работы установки ТНР был проанализирован нейтронный пучок, отраженный от отклоняющего зеркала. Он проходил через окно диска прерывателя пучка и регистрировался детектором. На рис. 2 показаны нейтронные времяпролетные спектры, измеренные на прямом пучке, вышедшем из внутриканального коллиматора (кривая 1) и на пучке, отраженном от отклоняющего зеркала (кривая 2) соответственно. Как следует из рис. 2, фон для спектра 2 существенно меньше, чем для спектра 1.
Рис. 2. Нейтронные спектры прямого пучка, вышедшего из внутриканального коллиматора (1) и отраженного от отклоняющего зеркала (2), при экспозиции 600 с.
Рис. 3. Спектр прямого пучка юстировочной моды F при экспозиции 600 с.
Затем ширину диафрагмы на выходе прерывателя (4, рис. 1) установили на 0.5 мм, что соответствовало максимуму интенсивности нейтронного пучка, на юстировочный стол был установлен формирователь пучка (11, рис. 1), и юстировочный канал с неотражающими стенками (мода F) был выставлен с помощью лазерного юстировочного модуля (4, рис. 1). Нейтронный пучок, прошедший через диафрагму и юстировочный канал формирователя, регистрировали с помощью детектора. На рис. 3 и 4 представлены, соответственно, спектр и профиль прямого пучка юстировочной моды F.
После юстировки были проведены измерения с нейтронно-оптическим образцом — суперзеркалом, представляющим собой апериодическую многослойную наносистему из 171 пары чередующихся слоев Ni и Ti (m = 2.5), каждая пара — толщиной 150 Å. Слои были нанесены на полированную стеклянную подложку размером 10 × 80 × 250 мм с помощью напылительной установки ПИЯФ, предназначенной для изготовления нейтронно-оптических элементов для нейтроноводной системы и новых нейтронных станций реактора “ПИК”. На рис. 5 представлена кривая зависимости коэффициента отражения R от нормальной компоненты переданного импульса Qz от образца суперзеркала. Как следует из рисунка, коэффициент отражения достигает R > 0.7 в области Qz < 0.056 Å–1, что соответствует параметру m = 2.56, близкому к расчетному значению, полученному при напылении покрытия образца m = 2.5. Таким образом, суперзеркало вполне пригодно для использования в качестве нейтронно-оптического элемента в нейтроноводе.
Измерения на нейтронном рефлектометре NERO-2
На рис. 6 приведена схема рефлектометра поляризованных нейтронов NERO-2. Источником нейтронов для рефлектометра является горизонтальный канал “ГЭК-8” реактора “ПИК”. Пучок нейтронов, летящих из канала, проходит через внутриканальный коллиматор 1, установленный в биологической защите реактора, и попадает на фокусирующий монохроматор 2 [24]. Монохроматор (производство НИЦ “КИ” — ПИЯФ), состоит из держателя с установленными в нем пластинами пиролитического графита, вырезанными по плоскости (002) с мозаичностью 0.66°. Монохроматор размещен на гониометре и отклоняет пучок нейтронов на угол 2θ = 26°. Монохроматический пучок нейтронов с длиной волны 1.5 Å выходит из защиты монохроматора 3 через фоновый коллиматор 4 с сечением 2 × 50 мм. Далее пучок проходит через диафрагму 5 в нейтронно-оптический формирователь пучка 6. Диафрагма 5 позволяет варьировать сечение пучка нейтронов по двум взаимно перпендикулярным направлениям. Размеры окна диафрагмы можно изменять по ширине 0.2–20.0 мм и по высоте 0.2–60.0 мм. Оптическая часть нейтронно-оптического формирователя оснащена двумя каналами среднего разрешения (поляризующим и неполяризующим) и технологическим каналом, используемым для предварительной юстировки формирователя. В поляризующий канал установлено поляризующее суперзеркало, состоящее из слоев FeCo и TiZr (m = 2), с поглощающим нижним слоем TiZrGd [25]. В неполяризующий канал установлено суперзеркало, состоящее из слоев NiMo и Ti (m = 2) [22]. Выходящий из формирователя нейтронный пучок пропускают через систему двух диафрагм 7 и 10 и установленный между ними радиочастотный модуль для изменения спина частиц 8 [20]. Образец закрепляют в держателе, установленном в центре гониометра 12, позволяющего осуществлять юстировку образца поворотами вокруг трех взаимно перпендикулярных осей. Измерение картины отражаемого от образца нейтронного излучения осуществляют с помощью детектора “Гелий-18” 15, размещенного в блоке защиты из борированного полиэтилена и кадмия. Для проведения юстировки и уменьшения фона незеркально рассеиваемых на образце нейтронов перед детектором установлена управляемая диафрагма детектора 14, сечение которой можно варьировать в пределах 0.05–17.10 мм. Управление всеми узлами рефлектометра осуществляют с помощью программного комплекса.
Рис. 4. Профиль прямого пучка юстировочной моды F при экспозиции 3 с.
Рис. 5. Кривая зависимости коэффициента отражения R образца суперзеркала Ni/Ti (m = 2.5) от нормальной компоненты переданного импульса Qz.
В качестве эталонного образца для измерений был выбран зеркальный монохроматор, структура которого представляет собой 60 пар слоев NiMo и Ti толщиной 60 Å каждый, нанесенных на стеклянную подложку. Образец изготовлен на напылительной установке “Луна” (НИЦ “КИ” — ПИЯФ). Размер образца составляет 80 × 100 × 2.5 мм. После изготовления образец был аттестован с помощью метода рентгеновской рефлектометрии с помощью рентгеновского комплекса Rigaku SmartLab (излучение CuKα). На рис. 7 приведены экспериментальная (символы) и расчетная (сплошная линия) зависимости коэффициента отражения рентгеновского излучения от образца.
Для проведения нейтронных измерений с помощью системы диафрагм был сформирован пучок шириной 0.2 и высотой 30 мм, угловая расходимость падающего пучка в горизонтальной плоскости составила 0.01° (0.17 мрад). Для подавления фона незеркально рассеиваемых нейтронов перед детектором установили дополнительную диафрагму шириной 0.25 и высотой 70 мм. Юстировку образца осуществляли путем перемещения перпендикулярно пучку и вращением вокруг вертикальной оси. На рис. 8 представлены экспериментальная (символы) и расчетная (сплошная линия) зависимости коэффициента отражения нейтронов.
Параметры эталонного образца, полученные из данных рентгеновской и нейтронной рефлектометрии, даны в табл. 1. Как видно из сравнения данных, величины толщины слоев исследованной периодической системы, полученные двумя методами, хорошо согласуются между собой. Различие в величинах шероховатости, полученных по данным нейтронной и рентгеновской рефлектометрии, объясняется тем, что рентгеновские лучи проникают на значительно меньшую глубину в образец из-за высокого поглощения. Соответственно, метод рентгеновской рефлектометрии дает информацию о шероховатости границ самых верхних слоев образца, которые обычно имеют наибольшую шероховатость. В то же время поглощение нейтронов в образце практически отсутствует, поэтому в этом случае мы получаем информацию об усредненной шероховатости всех границ.
Рис. 6. Cхема рефлектометра поляризованных нейтронов NERO-2: 1 — коллиматор в защите реактора; 2 — фокусирующий монохроматор; 3 — защита монохроматора с фоновым коллиматором; 4 — заслонка пучка; 5 — коллимирующая диафрагма; 6 — нейтронно-оптический формирователь пучка; 7, 10 — дистанционно управляемые диафрагмы; 8 — радиочастотный модуль для изменения спина частиц; 9 — рама рефлектометра; 11 — виброустойчивый стапель; 12 — узел c образцом; 13 — стапель персонала; 14 — диафрагма детектора; 15 — детектор в защите; 16 — управляющий компьютер; 17 — стойки с электроникой.
Рис. 7. Зависимость коэффициента отражения рентгеновского излучения RX-ray образца NiMo/Ti от величины переданного импульса Q. Точками отмечены экспериментальные данные, сплошной кривой — результат аппроксимации.
Рис. 8. Зависимость коэффициента отражения нейтронов R образца NiMo/Ti от величины переданного импульса Q. Точками отмечены экспериментальные данные, сплошной кривой — результат аппроксимации.
Заключение
На рефлектометре ТНР проведено измерения образца нейтронного суперзеркала Ni/Ti. Экспериментально определенный параметр суперзеркала m = 2.56 был близок к его расчетному значению при напылении m = 2.5. Продемонстрирована возможность использования рефлектометра ТНР, построенного в рамках создания приборной базы реакторного комплекса “ПИК”, для исследования нейтронно-оптических образцов.
На рефлектометре NERO-2 были определены параметры периодической многослойной структуры образца NiMo/Ti. Совпадение параметров структуры, полученных с использованием рефлектометрии нейтронов и рентгеновского излучения, свидетельствует о достоверности результатов и корректной работе нового нейтронного рефлектометра NERO-2.
Таблица 1. Параметры периодической структуры образца NiMo/Ti по данным рентгеновской (I) и нейтронной (II) рефлектометрии
Слой | Метод | Толщина слоя, Å | Шероховатость, Å |
NiMo | II | 58 ± 2 | 20 ± 2 |
I | 58 ± 1 | 25 ± 3 | |
Ti | II | 59 ± 2 | 18 ± 2 |
I | 60 ± 1 | 26 ± 3 |
БЛАГДАРНОСТИ
Авторы выражают благодарность своим коллегам А.В. Васильеву, А.В. Гартвику, Д.С. Головастову, С.И. Калинину, М.Р. Колхидашвили, Е.Н. Медведеву, А.О. Полюшкину, А.В. Сизову, А.А. Сумбатяну и А.П. Карабцу за помощь при создании нейтронных рефлектометров ТНР и NERO-2 и при измерениях, проводимых на них. Авторы благодарят также А.И. Зайцеву за критические замечания по статье.
ФИНАНСИРОВАНИЕ РАБОТЫ
Работа выполнена при финансовой поддержке Российского научного фонда (проект № 22-29-01186 “Разработка и исследование композитных материалов с повышенными характеристиками по радиационной защите”).
КОНФЛИКТ ИНТЕРЕСОВ
Авторы данной работы заявляют, что у них нет конфликта интересов.
Об авторах
М. В. Дьячков
Национальный исследовательский центр “Курчатовский Институт” — Петербургский институт ядерной физики
Автор, ответственный за переписку.
Email: dyachkov_mv@pnpi.nrcki.ru
Россия, Гатчина, 188300
В. А. Матвеев
Национальный исследовательский центр “Курчатовский Институт” — Петербургский институт ядерной физики
Email: matveev_va@pnpi.nrcki.ru
Россия, Гатчина, 188300
В. Г. Сыромятников
Национальный исследовательский центр “Курчатовский Институт” — Петербургский институт ядерной физики; Санкт-Петербургский государственный университет
Email: syromyatnikov_vg@pnpi.nrcki.ru
Faculty of Physics
Россия, Гатчина, 188300; Санкт-Петербург, 198504В. В. Тарнавич
Национальный исследовательский центр “Курчатовский Институт” — Петербургский институт ядерной физики
Email: dyachkov_mv@pnpi.nrcki.ru
Россия, Гатчина, 188300
В. А. Ульянов
Национальный исследовательский центр “Курчатовский Институт” — Петербургский институт ядерной физики
Email: dyachkov_mv@pnpi.nrcki.ru
Россия, Гатчина, 188300
Список литературы
- Боднарчук В.И., Булкин А.П., Кравцов Е.А., Плешанов Н.К., Сыромятников В.Г., Ульянов В.А. // Кристаллография. 2022. Т. 67. № 1. С. 57. https://www.doi.org/10.31857/S0023476122010040
- Penfold J., Thomas R.K. // J. Phys.: Condensed Matter. 1990. V. 2. P. 1369.
- Никитенко Ю.В., Сыромятников В.Г. Рефлектометрия поляризованных нейтронов. М.: Физматлит, 2013. 224 с.
- Fitzsimmons M.R., Shuller I.K. // J. Magn. Magn. Mater. 2014. V. 350. P. 199. https://doi.org/10.1016/j.jmmm.2013.09.028
- Zabel H., Theis-Bröhl K., Toperverg B.P. // The Hand-book of Magnetism and Advanced Magnetic Materials, V. 3: Novel Techniques / Ed. Kronmüller H., Parkin S.P.S. N.Y.: Wiley, 2007. P. 1237. https://doi.org/10.1002/9780470022184.hmm303
- Felcher G.P. Neutron reflection as a probe of surface magnetism. // Phys. Rev. B. 1981. V. 24. P. 1595. https://doi.org/10.1103/PhysRevB.24.1595
- Campbell R.A., Wacklin H.P., Sutton I., Cubitt R., Fragneto G. // Eur. Phys. J. Plus. 2011. V. 126. P. 107. https://www.doi.org/10.1140/epjp/i2011-11107-8
- Aksenov V.L., Jernenkov K.N., Kozhevnikov S.V., Lauter H., Lauter-Pasyuk V., Nikitenko Yu.V., Petrenko A.V. // JINR Comm. 2004. http://www1.jinr.ru/Preprints/2004/047(D13-2004-47) e.pdf
- Авдеев М.В., Боднарчук В.И., Петренко В.И., Гапон И.В., Томчук А.В., Нагорный А.В., Ульянов В.А., Булавин Л.А., Аксенов В.Л. // Кристаллография. 2017. Т. 62. № 6. С. 1014. https://doi.org/10.7868/S0023476117060029
- Aksenov V.L., Korneev D.A., Chernenko L.P. The time-of-flight four-beam neutron reflectometer REFLEX at the high flux pulsed reactor IBR-2: some polarized neutron reflectometry applications. // Proc. SPIE “Neutron Optical Device and Applications”. 1992. V. 1738. P. 335. https://doi.org/10.1117/12.130643
- Li X., Huang Ch., Wang Y., Chen B., Sun G., Liu Y., Gong J., Kang W., Liu H. // Eur. Phys. J. Plus. 2016. V. 131. P. 407. https://doi.org/10.1140/epjp/i2016-16407-9
- Mattauch S., Koutsioubas A., Pütter S. // J. Large-Scale Research Facilities. 2015. V. 1. P. A8. https://www.doi.org/10.17815/jlsrf-1-29
- Bottyán L., Merkel D.G., Nagy B., Füzi J., Sajti Sz., Deák L., Endrőczi G., Petrenko A.V., Major J. // Rev. Sci. Instrum. 2013. V. 84. P. 015112. https://www.doi.org/10.1063/1.4770129
- Devishvili A., Zhernenkov K., Dennison A.J.C., Toperverg B.P., Wolff M., Hjörvarsson B., Zabel H. // Rev. Sci. Instrum. 2023. V. 84. P. 025112.
- Saerbeck Th., Cubitt R., Wildes A., Manzin G., Andersen K.H., Gutfreund Ph. // J. Appl. Cryst. 2018. V. 51. P. 249. https://doi.org/10.1107/S160057671800239X
- Clemens D., Gross P., Keller P., Schlumpf N., Koennecke M. // Physica B. 2000. V. 276–278. P. 140.
- Syromyatnikov V.G., Pleshanov N.K., Pusenkov V.M., Schebetov A.F., Ul’yanov V.A., Kasman Ya.A., Khakhalin S.I., Kolkhidashvilli M.R., Slyusar V.N., Sumbatyan A.A. Four-modes neutron reflectometer NR-4M. // Preprint PNPI. Gatchina. 2005. № 2619. 47 P.
- Mezei F. // Comm. Phys. 1976. V. 1. P. 81.
- Böni P. // Nucl. Instrum. Methods Phys. Res. A. 2008. V. 586. Iss. 1. P. 1. https://www.doi.org/10.1016/J.NIMA.2007.11.059
- Grigoriev S.V., Runov V.V., Okorokov A.I. // Nucl. Instrum. Methods Phys. Res. A. 1997. V. 384. Iss. 2–3. P. 451.
- Solina D., Lott D., Tietze U., Frank O., Leiner V., Schreyer A. // Physica B. 2006. V. 385–386. P. 1167. https://www.doi.org/10.1016/j.physb.2006.05.401.
- Schebetov A. // Neutron News. 1998. V. 9. Iss. 3. P. 35. https://www.doi.org/10.1080/10448639808233462
- Chetverikov Y.O., Bykov A.A., Krotov A.V., Mistonov A.A., Murashev M.M., Smirnov I.V., Tarnavich V.V. // Nucl. Instrum. Methods Phys. Res. A. 2023. V. 1055. P. 168406. https://doi.org/10.1016/j.nima.2023.168406
- Xie L., Chen X., Fang L., Sun G., Xie Ch., Chen B., Li H., Ulyanov V.A., Solovei V.А., Kolkhidashvili M.R., Bulkin A.P., Kalinin S.I., Wang Y., Wang X. // Nucl. Instrum. Methods Phys. Res. A. 2019. V. 915. P. 31. https://www.doi.org/10.1016/j.nima.2018.10.002
- Schebetov A.F., Metelev S.V., Peskov B.G., Pleshanov N.K., Pusenkov V.M., Syromyatnikov V.G., Ul’yanov V.A., Kraan W.H., de Vroege C.F., Rekveldt M.Th. // Physica B. 2003. V. 335. P. 223. https://doi.org/10.1016/S0921-4526(03)00242-4
Дополнительные файлы










