Wave nature and modulation of annual fluctuations in the level of the Baltic Sea
- Authors: Zakharchuk E.A.1, Sukhachev V.N.1,2, Tikhonova N.A.1,2
-
Affiliations:
- Saint-Petersburg State University
- N. N. Zubov State Oceanographic Institute
- Issue: Vol 31, No 2 (2024)
- Pages: 208-230
- Section: Analysis of observational results and methods of calculation of ocean hydrophysical fields
- URL: https://medbiosci.ru/1573-160X/article/view/256398
- ID: 256398
Cite item
Full Text
Abstract
Purpose. The study is purposed at estimating the features of spatial-temporal variability of the characteristics of annual fluctuations of the Baltic Sea level based on satellite and contact measurements, their comparing with theoretical dispersion relations of the low-frequency waves of different types, as well as investigating possible mechanisms of the amplitude modulation of annual fluctuations of the Baltic Sea level.
Methods and results. The hypothesis on a wave nature of annual fluctuations of the Baltic Sea level is tested and the reasons for their amplitude modulation are investigated based on the harmonic analysis of satellite altimetry data and the 132-year series of tide gauge sea level measurements in Stockholm. It is shown that the wave-like annual disturbances in the sea level field propagate from the southwest to the northeast at the speed from 0.06 to 0.36 m/s. A comparison of the estimated characteristics of annual waves and theoretical dispersion relations of different types of low-frequency waves has shown that they are identified as internal Kelvin waves over the most of the sea area and their characteristics agree with the theoretical dispersion relations of baroclinic topographic Rossby waves in rare cases only in the southwest of the sea. The perceptible interdecadal changes in the annual wave parameters in the sea level field were noted. As compared to the 1993–2021 period, the 1993–2002 decade is characterized by a decrease of the Sa harmonic amplitude by 1.5–3 times, later onset of the maximum of the sea level annual variation (about 1 month later), as well as a noticeable slowdown of the annual wave phase velocity in the southwest of the sea.
Conclusions. The reasons for the amplitude modulation of annual waves in the sea level field are related to the impact of the oscillations with periods 352, 374 and 379 days which are identified in the form of small but significant amplitude maxima in the Fourier series spectra of sea level, wind speed and atmospheric pressure. One more mechanism of the amplitude modulation of annual waves is assumed to be related to the changes in frequency of the Baltic Sea natural baroclinic oscillations due to the interannual variations of its stratification.
Full Text
Introduction
Annual fluctuations are the main component of seasonal sea level variations. They have a pronounced rhythm and the largest amplitude maxima in the spectra of mean monthly sea level values1 [1, 2]. Theoretical concepts show that seasonal sea level fluctuations are caused by seasonal changes in wind speed and direction, atmospheric pressure, currents, seawater density and water balance components (precipitation, evaporation, continental runoff and water exchange with adjacent sea basins) [3, 4].
The characteristic features of the average annual variation of the Baltic Sea level are its spring minimum, autumn–winter maximum and pronounced asymmetry of level changes manifested in a relatively rapid (4-5 months) decrease in sea level in winter–spring to the minimum value in April – May and a more long-term (7–8 months) level elevation in summer and autumn to the maximum value in November – January [5–10].
The seasonal winter and spring decrease in the Baltic Sea level occurs due to atmospheric pressure increase observed during this period, decrease in the precipitation amount, low continental runoff, sea water density increase, decrease in the speed of southwest winds and change in their direction to the northeast, which contributes to increased water outflow from the Baltic to the North Sea [8]. Mean seasonal increase in the Baltic Sea level from spring to winter takes place as a result of spring increase in river flow, summer increase in precipitation, autumn–winter decrease in atmospheric pressure and sea water density, as well as autumn increase in southwest winds promoting the water inflow from the North Sea into the Baltic one [5, 8].
The observed asymmetry in the annual variation of the Baltic Sea level is due to the fact that hydrometeorological processes causing sea level decrease have spring extremes, while the processes that cause sea level elevation have extreme values separated in time: the maximum river flow is observed in spring and the maximum amount of atmospheric precipitation – in summer, the minimum atmospheric pressure values and the maximum speeds of southwest winds and the inflow of North Sea waters are observed in autumn and winter [5, 8].
The comparative contributions of all the listed hydrometeorological processes to the annual variation of the Baltic Sea level are different. Most scientists believe that the main influence on the mean annual variation of the Baltic Sea level is influenced by seasonal changes in wind speed and, to a lesser extent, atmospheric pressure and water exchange with the North Sea, while the contribution of other hydrometeorological processes is insignificant [8, 9, 11–15].
Annual level fluctuations play an important role in the hydrological regime of the Baltic Sea having a noticeable impact on its shores and coastal infrastructure [16, 17]. They indicate changes in meteorological processes, observed climate warming [7, 18], as well as water exchange with the North Sea [19–21]. Some years also demonstrate a noticeable contribution of seasonal fluctuations of the Baltic Sea to dangerous level elevations in the east of the Gulf of Finland [22]. Numerical hydrodynamic modeling of the Baltic Sea free fluctuations showed that in a stratified sea, rapidly damped baroclinic modes of eigenoscillations are generated with periods of about a year, the magnitude of which is comparable to the average long-term estimates of annual level fluctuations obtained based on the tide gauge and satellite altimetry data analysis [2, 23].
Significant increase of the number of stations for tide gauge level measurements by the end of the 20th century contributed to the studies of regional differences in changes in the characteristics of annual level fluctuations in the coastal Baltic Sea. M. Ekman [24] and I. Medvedev [2] in their works studied the spatial variability of the amplitudes of annual fluctuations in the coastal zone of the Baltic Sea using harmonic analysis of long-term series of mean monthly values of tide gauge sea level measurements. The results indicated an increase in the annual harmonic amplitude from 4–6 cm in the Danish straits to 12–13 cm at the tops of the Gulf of Finland and the Gulf of Bothnia [2, 24]. In addition to amplitude estimates, the article by I. Medvedev also presented the phase values of annual sea level fluctuations at various coasts of the Baltic Sea indicating its increase by 50° when moving from the Danish straits through the Baltic Proper to the top of the Gulf of Bothnia [2].
Long duration of the series of mean monthly sea level values (153–200 years) at some tide gauge stations in the Baltic made it possible to estimate the interannual variability of annual fluctuations in the 19th and 20th centuries [1, 11, 12]. The observed significant positive trend in changes in the annual component of sea level is associated with secular changes in oceanographic conditions in the northeastern part of the North Atlantic due to the movement of the oceanic polar front [1], with the North Atlantic Oscillation on decadal time scales and a general trend towards climate warming [11] and also with secular changes in the Baltic Sea region atmospheric precipitation [12]. However, a study of the interannual variability of the Sa harmonic (365.2-day period) in Stockholm for the later period of 1889–2020 already showed the presence of an insignificant positive linear trend, against the background of which multidirectional trends in changes in the Sa harmonic amplitude were observed. At the same time, the most significant decrease in the amplitudes of annual sea level fluctuations in various areas of the Baltic Sea has been noted since the early 1980s to the present time and was associated with a decrease in the amplitude of annual fluctuations in wind speed and, to a lesser extent, atmospheric pressure [9].
In [15], S. Barbosa and R. Donner studied annual changes in the Baltic Sea level for 1900–2012 based on its monthly average values at nine coastal stations using discrete wavelet analysis. They did not evaluate the linear trend of changes in the amplitude of the annual component of seasonal level fluctuations identified by other authors [1, 9, 11, 12] but found alternating periods of high and low amplitudes in variations in the annual cycle of seasonal level fluctuations [15]. In [9], E.A. Zakharchuk et al. associated these features of interannual changes in annual fluctuations with their amplitude modulation but the reasons for this modulation were not studied.
New, broader opportunities for studying the variability of seasonal level fluctuations in open areas of oceans and seas have opened up with the advent of continuous satellite altimetry measurements of sea level. In [6], Y. Cheng et al. used the method of cyclostationary empirical orthogonal functions to study the spatial structure patterns and temporal changes in the annual level cycle in the Baltic Sea based on monthly average satellite altimetry data for 1993–2014. To study the reasons for interannual changes in estimates of the annual variation of the Baltic Sea level, a correlation analysis of the main components of the annual variation of sea level calculated from satellite altimetry data and the main components of various meteorological parameters (zonal wind speed, values of the North Atlantic Oscillation index, atmospheric pressure and air temperature) was carried out. The results showed high correlation coefficients, reaching 0.60–0.80 in all cases [6].
Works [8, 9] proposed to exclude the stationary component of seasonal fluctuations for all hydrometeorological processes from all series before carrying out cross-correlation analysis for a more representative estimate of correlations between interannual changes in seasonal fluctuations in sea level and various hydrometeorological processes. The results showed that a high correlation was observed only between annual anomalies of sea level and annual anomalies of fluctuations in wind speed, atmospheric pressure and air temperature [8]. However, a cross-correlation analysis of annual sea level anomalies in the central part of the open Baltic and annual anomalies of steric changes in the sea level revealed no connection between these processes [9].
Despite the fact that satellite altimetry data make it possible to estimate changes in the amplitudes and phases of seasonal sea level fluctuations in space in sufficient detail, the hypothesis about the wave nature of annual level fluctuations in the Baltic Sea has not yet been studied, although the wave interpretation of annual disturbances in the sea level field has been used repeatedly for other World Ocean regions (for example, in [25–29]). In these works, annual sea level disturbances were identified as baroclinic Kelvin and Rossby waves.
The study is purposed at estimating the features of spatial-temporal variability of the characteristics of annual fluctuations of the Baltic Sea level based on satellite and contact measurements, their comparing with theoretical dispersion relations of the low-frequency waves of different types, as well as investigating possible mechanisms of the amplitude modulation of annual fluctuations of the Baltic Sea level.
Data and methods
An array of combined altimetry data from the following satellites was used to study annual fluctuations in the Baltic Sea level: Jason-3, Sentinel-3A, HY-2A, Saral/AltiKa, Cryosat-2, Jason-2, Jason-1, T/P, ENVISAT, GFO, ERS1/2, including sea level anomaly (SLA) fields with a spatial resolution of 0.25° × 0.25° and a resolution of 1 day (E.U. Copernicus Marine Service Information 2) obtained by the optimal interpolation method for 1993–2021 [30, 31]. When creating the array, corrections for orbital and instrumental errors, correction for the troposphere and ionosphere impact on the delay of the sounding and reflected altimeter pulse were introduced into the initial altimetry data [32]. In addition, fluctuations associated with the static effect of atmospheric pressure, wind waves, as well as ocean and land tides, were excluded from the altimetry data.
F i g. 1. Bathymetry map of the Baltic Sea and location of the Stockholm tide gauge station (a), number of gaps (as a percentage of the total number of series terms) in the nodes of altimetry data grid area (b)
Most works devoted to studies of the annual variation of the Baltic Sea level used data from mean monthly level values [1, 2, 11, 12, 24]. However, it was shown in [9] that it is necessary to use series of mean daily sea level values rather than monthly ones for a more accurate estimate of the characteristics of annual sea level fluctuations. Therefore, the present paper uses data from mean daily values of tide gauge and satellite altimetry observations of the Baltic Sea level.
Altimetry data were checked for gaps. The largest number of them varying from 2 to 25% is associated with the presence of fast and drifting ice in winter and occurs in the northern part of the Gulf of Bothnia, as well as in the central and eastern parts of the Gulf of Finland (Fig. 1, b).
To study the reasons for the amplitude modulation of annual fluctuations in the Baltic Sea level, we used the longest series of continuous mean daily sea level values at the Stockholm tide gauge station (Fig. 1, a) for 1889–2021 obtained from E.U. Copernicus Marine Service 2.
The amplitude (A) and phase (G) of annual level fluctuations in a stationary approximation were calculated using harmonic analysis carried out according to the least squares method taking into account the recommendations from the work by G.N. Voinov [33]:
where ASa is amplitude; wSa is frequency; GSa is annual harmonic phase from the beginning of the series; t is time.
In areas where altimetry data had gaps due to the presence of ice in winter, the characteristics of annual level fluctuations were estimated as follows. First, gaps in the altimetry data series were filled with the average level value. Then, the Sa harmonic amplitudes and phases were estimated using the aforementioned harmonic analysis procedure. Next, the series of annual sea level fluctuations were pre-calculated based on the estimated amplitudes and phases. The level values were selected from the series of annual sea level fluctuations pre-calculated in this way to fill the gaps in the series of initial altimetry data. Then, the harmonic analysis procedure was repeated and the estimates of the Sa harmonic amplitude and phase a obtained in this way were accepted as the final result.
The accuracy of the amplitudes and phases calculated in the stationary approximation of annual sea level fluctuations was estimated using the method proposed in work3. According to it, correlation coefficient r between the harmonic and the original series of mean daily level values in Stockholm is used to estimate the Sa harmonic significance, which is determined by the Student’s test:
where r is correlation coefficient between the original series and Sa harmonic; n is series length. The harmonic is considered significant if St > Stcr, where Stcr is table value of the Student’s criterion from work 4 depending on the significance level and the number of freedom degrees.
Then, all significant harmonics were excluded from the amplitude spectrum of the Fourier series. The maximum value of the amplitude of the residual series was taken as the root-mean-square error of the Sa harmonic amplitude (). Root-mean-square error of phase calculation was calculated using the following formula:
where is root-mean-square error of Sa harmonic phase calculation; is root-mean-square error of Sa harmonic amplitude calculation; N is number of series members; ; is Sa harmonic amplitude.
Based on the values of the phase difference between the nodes of the altimetry data grid area, the velocity of movement of annual level fluctuations was estimated:
(1)
where are components of the velocity vector projection onto the parallel and meridian; ∆x, ∆y is distance between adjacent nodes of the grid area along the parallel and meridian; is velocity vector module; T is period of fluctuations; ∆Fx, ∆Fy is phase difference between grid area nodes along parallel and meridian.
To study the wave nature of annual disturbances in the sea level field, the characteristics of seasonal level fluctuations with a period of 1 year estimated using satellite altimetry data were compared with the known theoretical dispersion relations of various types of low-frequency waves: barotropic and baroclinic topographic Rossby waves belonging to the class of gradient- vorticity waves 5 [34] and Kelvin waves belonging to the class of gravitational waves [35, 36].
Theoretical dispersion curves of topographic Rossby waves were calculated using the dispersion relation derived by V.R. Fuks in the linear approximation for closed basin conditions [37, 38]:
(2)
where: w is wave frequency; is β-plane approximation, f is Coriolis parameter; are wavenumber components; are wavelengths along the x and y axes respectively; Н is sea depth; R is Rossby deformation radius.
To estimate the dispersion curves of barotropic topographic Rossby waves, barotropic (external) radius of deformation was used with its values equal to 150, 175 and 200 km [40], where g is free fall acceleration. Dispersion curves of baroclinic topographic Rossby waves were calculated by introducing into equation (2) estimates of baroclinic (inner) Rossby deformation radius where is Väisälä–Brent frequency; ρ is water density. According to [40–42], the values of the first baroclinic mode were taken to be 2, 5 and 9 km. Specific bottom slopes of the Baltic Sea along the x and y axes were 4.2×10−5; 4.6×10−5; 5.0×10−6; lx, ly are basin dimensions along the x and y axes taken to be 400 and 1500 km, respectively; m, p is standing wave mode number.
The first term in the numerator of equation (2) describes the wave-forming mechanism for Rossby waves associated with the combined effect of sphericity and rotation of the Earth and the second and third ones are applied for topographic waves generated under the influence of the joint effect of bottom topography variability and the Earth’s rotation. In the denominator, the first two terms describe the spatial scale of the basin and the horizontal modes of the standing wave, the third and fourth ones describe the contribution of translational wave motion, and the last term in the denominator describes the environmental conditions (the sea basin depth and its stratification).
The theoretical phase velocities of long barotropic gravitational waves (Kelvin waves) were estimated using the known formula:
(3)
where H is sea depth; g is acceleration of gravity.
The theoretical phase velocities of long baroclinic gravity waves (internal Kelvin waves) were estimated using the following formula:
(4)
where is reduced free fall acceleration, g is free fall acceleration, r – is average seawater density; is difference in densities of the upper and lower layers; h´ is thickness of the upper quasi-homogeneous layer of the sea [43, 44].
To solve this problem using data on vertical distributions of seawater density obtained from the E.U. Copernicus Marine Service2, we estimated average stratification conditions for different Baltic regions for 1993–2018. They made it possible to obtain the following values of the parameters included in formula (4): h´ = 5, …, 60 m; = 0.2, …, 75×10−4, g´= 0.2, …, 73×10−3 m/s2.
To estimate amplitude modulation features and mechanisms of annual fluctuations in the Baltic Sea level, a 132-year series of average daily sea level values in Stockholm was subjected to moving harmonic analysis [11] without overlap with a period of quasi-stationarity (sliding window) equal to one year. Based on the estimated amplitudes and phases for each period of quasi-stationarity, the series of annual fluctuations were reconstructed. Then, they were combined into the ζSa(t1) series describing the interannual changes in the Sa harmonic. Sharp jumps in height were sometimes observed at the junctions of reconstructed series. They were smoothed using the cubic spline method [45] with a smoothing window of 60 days (the last 30 days of the previous quasi-stationarity period and the first 30 days of the next quasi-stationarity period).
To identify fluctuations with frequencies close to the Sa frequency which can cause its amplitude modulation, a harmonic analysis of the 132-year series of average daily sea level values in Stockholm was carried out in a stationary approximation. The amplitudes and phases of fluctuations with periods of 441, 434, 419, Sa, 379, 373 and 352 days were estimated. Harmonics with these periods, as well as the sea level series which is a superposition of these harmonics, were reconstructed from the amplitudes and phases. This series was subtracted from the original series of daily average sea level in Stockholm. A series of amplitudes was formed in the range of periods from 90 to 490 days based on the results of harmonic analysis of the residual series. An estimate of 3s (where s is standard deviation of the residual series of amplitudes in the range of periods from 90 to 490 days) was taken as a 99% confidence interval [46]. The frequencies of significant amplitude maxima of level fluctuations were identified. The amplitude maxima were then used to describe the amplitude modulation of the Sa harmonic.
The Rayleigh criterion was used to separate the signal of the polar tide (a period of about 14 months) and the signal at the Sa harmonic frequency:
(5)
where is difference between the Sa harmonic and polar tide frequencies. This criterion makes it possible to determine the series length required to separate the signals of these processes during harmonic analysis.
A harmonic analysis of series of average daily atmospheric pressure values for 1939–2021 and wind speeds for 1950–2021 in Stockholm obtained from the Swedish Meteorological and Hydrological Institute (SMHI 6) portal was carried out to study the causes of amplitude modulation of annual sea level fluctuations.
Results and their interpretation
Figure 2 shows estimates of the amplitudes and phases of the annual Sa harmonic obtained at the grid nodes of satellite altimetry data using harmonic analysis of series of average daily sea level values for various periods, root‑mean‑square errors of their calculation, as well as movement speed of annual fluctuations in the sea level field calculated by formula (1). Estimates of root-mean-square errors prove that the amplitudes of the annual harmonic are reliably identified for all Baltic Sea regions. The minimum amplitude of level fluctuations with a year period is observed in the southwest of the Baltic, where it was 4.5–5 cm in 1993–2021 (Fig. 2, a). The amplitude of annual level fluctuations increases to 7–8.5 cm when moving towards the Kattegat Strait and towards the Baltic Proper. The maximum amplitudes of level fluctuations with a period of one year are observed in the north of the Gulf of Bothnia and in the east of the Gulf of Finland, where they reach 9–10 cm (Fig. 2, a). These estimates are consistent with the results of the analysis of annual level fluctuations obtained earlier in the works by M. Ekman [24] and I. Medvedev [2] based on the results of a harmonic analysis of long-term tide gauge observations of sea level at coastal points of the Baltic, as well as from the results of satellite altimetry data analysis over a shorter period [8].
According to the phase estimates (Fig. 2, a), its quasi-monotonic increase when moving from the southwest of the sea to the north and northeast is noted, which indicates the wave nature of annual disturbances in the level field of the Baltic Sea. These spatial phase changes are reliable since they exceed the root-mean-square error of their calculation significantly (Fig. 2, b). The phase values indicate that the maximum annual sea level fluctuations in the Kattegat Strait are observed in early and mid October (275–285°) and in the north of the Gulf of Bothnia and east of the Gulf of Finland – in very late November (330°) (Fig. 2, a). Propagation velocity of annual waves in the sea level field is 6–36 cm/s (Fig. 2, c).
A comparison of the annual fluctuation characteristics for individual decades shows that the same features of their spatial distribution are noted at the qualitative level: the smallest amplitudes of the Sa harmonic are in the southwest of the sea and the maximum ones are in the north and northeast, a quasi-monotonic increase in phase is observed from the southwest to north. However, the quantitative differences in the characteristics of annual fluctuations in different decades are very noticeable. Compared to the 1993–2021 period, the southwest of the sea is marked by a several-fold decrease in the amplitude of the Sa harmonic (up to 1–2 cm) and its decrease by almost 1.5 times in the north of the Gulf of Bothnia and east of the Gulf of Finland (up to 7–8 cm), later maximum of the annual level variation (by approximately a month), as well as noticeable slowdown in the phase velocity of the annual wave in the southwest of the sea in 1993–2002 (Fig. 2, f).
On the contrary, in 2003–2012, throughout the entire sea area, the Sa harmonic amplitude increased significantly reaching its maximum values of 5–6 cm in the southwest of the sea and 11–12 cm in the north of the Gulf of Bothnia, the east of the Gulf of Finland and in the Riga Gulf (Fig. 2, h); the wave phase velocity increased (Fig. 2, j), maximum of the annual level variation was observed approximately 10–15 days earlier (Fig. 2, h) compared to the long-term average value estimated for 1993–2021.
In 2012–2021, the annual harmonic amplitude decreased reaching its long-term average values calculated for 1993–2021 in the southern and central parts of the open Baltic while in other sea areas the amplitude exceeded the average values (see Fig. 2, j). In this decade, in the southwest of the sea, the phase velocity of the annual wave decreased noticeably again (Fig. 2, l) and its amplitude maximum was noted here significantly earlier compared to the long-term average value, although in other areas it corresponded generally to the average value.
Estimates of the probability of phase velocity distribution by gradation indicate that annual waves in the Baltic Sea level field propagated most often at the velocities of 17–36 cm/s (Fig. 3). The phase velocity range of 6–16 cm/s accounts for only 12% of cases (Fig. 3).
Theoretical estimate of phase velocity of barotropic gravity waves calculated using formula (3) for the Baltic Sea average depth of 54 m [3] is 23 m/s, which is two orders of magnitude higher than the values of phase velocities of annual waves estimated from satellite altimetry data (see Figs. 2 and 3). This comparison indicates that annual waves cannot be barotropic gravity ones in the Baltic Sea level field.
F i g. 2. Amplitude-phase characteristics of the annual Sa harmonic in the Baltic Sea estimated by satellite altimetry data (isolines indicate phases in degrees) (a, d, g, j), root-mean-square errors in the estimates of amplitude and phase (isolines) of the annual harmonic (b, e, h , k) and estimates of motion velocity of annual sea level fluctuations calculated by formula (1) (c, f, i, l) for 1993–2021 (a – c), 1993–2002 (d – f), 2003–2012 (g – i) and 2012–2021 (j – l)
F i g. 3. Probability of the distribution of annual wave phase velocities estimated by satellite altimetry data in the Baltic Sea level field
Estimates of theoretical phase velocities of baroclinic Kelvin waves made using formula (4) for characteristic stratification conditions of the Baltic Sea demonstrate that the velocity values vary from 0.03 to 2.09 m/s. The results presented in Fig. 3 indicate that the propagation velocities of annual sea level disturbances calculated from satellite altimetry data are within the range of theoretical phase velocities of internal gravity waves obtained from formula (4); this makes it possible to identify these waves as baroclinic Kelvin waves.
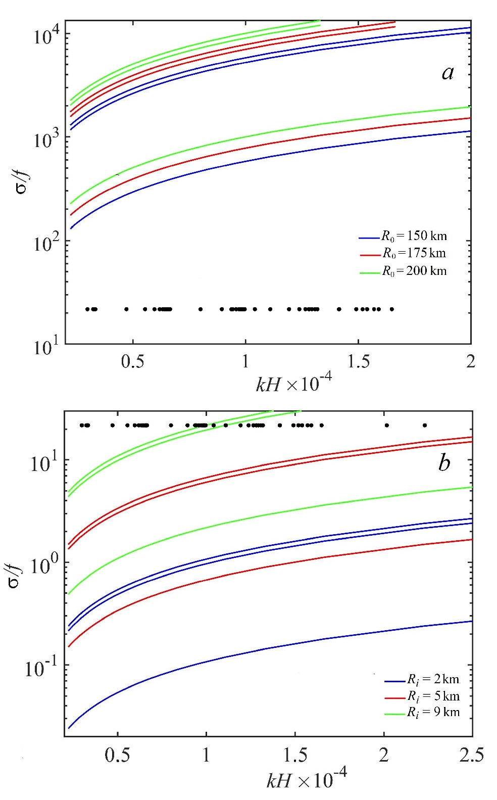
Figure 4 contains the comparison of empirical characteristics of annual wave-like sea level disturbances estimated from satellite altimetry data with the theoretical dispersion curves of barotropic and baroclinic topographic Rossby waves calculated from relation (2). It is clearly seen that the theoretical dispersion curves of barotropic topographic Rossby waves lie significantly higher than the empirical characteristics of annual sea level fluctuations (Fig. 4, a). The empirical values of annual sea level fluctuations do not intersect with the majority of theoretical dispersion curves of baroclinic topographic Rossby waves (Fig. 4, b). The exception is theoretical curves describing the propagation of baroclinic topographic Rossby waves under conditions of sharp stratification () and relatively small bottom slopes (4.2×10−5). The southwest of the Baltic Proper is most suitable for such conditions [41, 42]. However, the empirical phase velocities of annual waves intersected by theoretical baroclinic topographic Rossby wave curves correspond to 6–12 cm/s range. This is the range of the slowest annual waves which occur only in 9% of cases (see Fig. 3).
Thus, annual disturbances in the sea level field are identified as baroclinic Kelvin waves most often in much of the Baltic Sea waters and their empirical characteristics correspond to the theoretical dispersion relations of baroclinic topographic Rossby waves in rare cases only in the southwest of the sea.
We propose new wave interpretation of annual level fluctuations for the Baltic Sea. Previously, other hypotheses related to the Ekman mechanism of seasonal increases and decreases in sea level, seasonal changes in water density and water balance components were expressed and studied [5, 10, 12, 13].
F i g. 4. Comparison of the characteristics of annual fluctuations in the Baltic Sea level calculated using altimetry (black dots) with theoretical dispersion curves of barotropic (a) and baroclinic (b) topographic Rossby waves (lines)
The difference between waves and non-wave oscillations is usually explained by the orbital movements of water particles in the wave, propagation of the waveform in space without mass transfer which is unusual for other types of oscillatory motions, as well as dispersion relation which associates wave frequency with wave number [27, 35, 36]. Wave processes occur in the spectra as narrow-band significant peaks (tidal oscillations serve as a striking example here). Quasi-monotonic propagation of the phase of annual oscillations in the sea level field in space observed in our case (see Fig. 2) and good agreement of their empirical characteristics with theoretical dispersion relations of baroclinic low-frequency waves (see Fig. 4) indicate the wave nature of annual sea level fluctuations.
If quasi-monotonic propagation of Sa harmonic phase were associated, for example, with the observed different times of the high water onset on rivers flowing into the Baltic Sea, then the maximum annual level fluctuations would be observed in spring, when the maximum river runoff is recorded and high relationship between changes in annual level fluctuations and river runoff would be noted. However, the maximum annual level fluctuations are observed in the autumn–winter period and correlation between changes in annual level fluctuations and river runoff is absent [8, 13]. The lack of correlation is also observed with changes in annual fluctuations of other water balance components [8, 9, 12], as well as with steric vibrations [9], while the relationship with changes in wind speed and atmospheric pressure is high [8, 9].
At the same time, the Ekman mechanism cannot be considered as the main one in generating annual fluctuations in the Baltic Sea level. If this were so, our Fourier analysis results would show two amplitude maxima (in the northeast and southwest of the sea), not one, since in autumn and winter seasonal winds blow from the southwest, and in spring and summer from the north and northeast [8]. Therefore, in this case, the spatial distribution of amplitude-phase characteristics at the Sa harmonic frequency would be the same as that of a single-node seiche – with two amplitude maxima at opposite ends of the sea and zero amplitude values at the nodal line which would intersect the open Baltic Sea approximately from the west to the east. In our case (see Fig. 2), no such features are noted: not a maximum but a minimum of annual fluctuations is observed in the southwest of the sea, and the phase and level values increase quasi-monotonically when moving from the southwest to the northeast.
The listed results indicate that annual fluctuations in the sea level field are low-frequency waves identified mainly as baroclinic Kelvin waves. These waves are generated mainly by changes in tangential wind friction and atmospheric pressure. According to estimates [15], the contribution of annual variations in the zonal component of wind speed and atmospheric pressure to the generation of annual sea level fluctuations at different coastal stations for 1979–2012 is 31–62 and 30–47%, respectively.
Thus, the response of the Baltic Sea level surface to the effect of tangential wind friction and atmospheric pressure is not local but wave at the Sa harmonic frequency and this response is much greater in magnitude than the one of the level surface to changes in water density and water balance components.
The baroclinic nature of low-frequency waves with one-year period indicates the dependence of their characteristics on stratification which has significant interannual variations in the substantially enclosed and shallow Baltic Sea caused by changes in water exchange with the North Sea, amount of precipitation, continental runoff and evaporation [5, 47–49]. These changes in stratification lead to noticeable variations in the phase velocity (Fig. 2) of baroclinic annual waves in the sea level field from decade to decade.
Figure 5 shows a series of interannual changes in the annual sea level fluctuations in Stockholm obtained using a moving harmonic analysis performed for a quasi-stationarity period of one year. A significant interannual variability in the amplitudes of annual fluctuations is observed. In some years, they reach values of more than 20 cm and decrease to several centimeters in other years. The time course of the Sa harmonic demonstrates amplitude modulation with a period from 7–15 to 30–35 years.
F i g. 5. Reconstructed series of annual sea level fluctuations in Stockholm for the quasi-stationary period equal to one year
A similar feature in changes of the Baltic Sea annual level fluctuations was noted by S. Barbosa and R. Donner [15] from the results of discrete wavelet analysis of series of monthly average values of tide gauge sea level measurements.
To study the causes for the amplitude modulation of annual sea level fluctuations, we will consider the amplitude spectrum of the Fourier series in Stockholm (Fig. 6). The second largest significant amplitude maximum after the peak at the Sa harmonic frequency is observed at a period of 434 days. Next to it, smaller but also significant amplitude maxima are observed at periods of 419 and 441 days. Level fluctuations with such periods are associated with the polar tide, which is caused by free nutation of the Earth’s rotation axis [1, 50, 51].
We use Rayleigh criterion (5) in order to separate the polar tide signal (P = 419 days) from the Sa harmonic signal. The calculations revealed that the length of the series for separating the signals should be eight years.
F i g. 6. A part of amplitude spectrum of the Fourier series of the average daily sea level values in Stockholm (numbers above the amplitude maxima are the periods in days) for 1889–2021 which describes the range of seasonal and interannual variability. Red line shows the 99 % confidence interval
Figure 7, a shows a reconstructed series of annual sea level fluctuations in Stockholm obtained using a moving harmonic analysis for a quasi-stationary period of eight years and a sliding period of one year. Comparison of this figure with Fig. 5 indicates that the time structure of the modulation of annual fluctuations has been preserved as a whole, although sharp changes in the Sa harmonic amplitude with periods from one to several years caused by an increase in the quasi-stationarity period have disappeared. Same as in Fig. 5, we observe a decrease in annual fluctuations in the 1900s, 1940s and 1990s, as well as their increase in the 1920s, 1950s, 1970–1980s and 2000s. This result suggests that the pole tide does not affect the amplitude modulation of the annual sea level fluctuations in Stockholm.
F i g. 7. Pre-calculated series of annual sea level fluctuations in Stockholm for the quasi-stationary period equal to eight years and a one year period of sliding (a), as well as a series of level fluctuations obtained by stationary harmonic analysis using equation (6) (b)
According to the Rayleigh criterion, a series length of 44 years which exceeds the modulation periods of annual fluctuations is required to separate the Sa harmonic signals from the satellite closest to it with a period of 373 days (see Fig. 6). In this regard, the amplitudes and phases of harmonics that have significant amplitude maxima near the annual cycle were estimated using stationary harmonic analysis:
(6)
where numerical indices indicate the periods of significant amplitude maxima closest to the Sa harmonic.
The series of four harmonics were reconstructed by the estimated amplitudes and phases. Fig. 7, b shows a series of superpositions of these four harmonics. It can be seen that the changes in annual sea level fluctuations reconstructed by equation (5) contain the same features of the modulation process as under natural conditions: close variations in the amplitudes of level fluctuations from 5 to 14 cm, coincidence in time of the main maxima and minima, presence of amplitude modulation from 25 to 30 years in the process of periods, alternation of the largest and smallest maxima. This result indicates that small amplitude fluctuations with periods of 352, 373 and 379 days still have a noticeable effect on the amplitude modulation of annual fluctuations in the Baltic Sea level. However, the physical mechanisms for the origin of these fluctuations are unknown. They have not been studied in any scientific publications which is apparently stipulated by their small amplitudes.
Several studies demonstrate that interannual variations in annual fluctuations in the Baltic Sea level are most closely associated with interannual variability of seasonal fluctuations in atmospheric pressure and wind speed [6, 8, 9, 11–15], while we observe their low correlation with steric level fluctuations and water balance components [8, 9]. Therefore, it can be assumed that oscillations with periods of 352, 373 and 379 days are also present in the spectra of atmospheric pressure and wind speed fluctuations affecting the amplitude modulation of these meteorological processes.
In this regard, we are to consider the amplitude spectra of the series of average daily atmospheric pressure values for 1939–2021 and wind speeds for 1950–2021 in Stockholm (Fig. 8). Although the length of the series of these meteorological processes is significantly less than that of the sea level series in Stockholm, it provides fairly well separation of the signals of the Sa harmonic and the closest satellite with a period of 373 days which stands out in the sea level spectrum in the form of a significant amplitude maximum (see Fig. 6) according to the Rayleigh criterion. Fig. 8 indicates that the spectra of atmospheric pressure and zonal wind speed component contain small amplitude maxima for oscillations with a period of 379 days as in the sea level spectrum, although this maximum is absent in the spectrum of meridional wind speed component (Fig. 8, b). Unlike sea level, the maxima for the period of 373 days is absent in the amplitude spectra of meteorological processes but we observe peaks with periods of 348, 353 days (Fig. 8) which are close to the amplitude maximum of sea level fluctuations of 352 days (see Fig. 6).
F i g. 8. A part of amplitude spectrum of the Fourier series of the average daily values of atmospheric pressure (a), zonal (b) and meridional (c) wind speed components in Stockholm (numbers above the amplitude maxima are the periods in days) for 1939–2021 which describes the range of seasonal and interannual variability. Red line shows the 99 % confidence interval
Thus, we observe amplitude maxima at the same or similar frequencies as for sea level fluctuations in the spectra of atmospheric pressure and wind speed fluctuations at frequencies located near the Sa harmonic frequency, which can lead to a similar modulation of the meteorological processes under consideration.
Another cause for the Sa harmonic modulation can be the effect of the Baltic Sea baroclinic eigenoscillations. Numerical experiments with a three-dimensional baroclinic hydrodynamic model of the Baltic Sea revealed that baroclinic modes of eigenoscillations with periods of about one year were generated in a stratified sea in contrast to the barotropic case; their maximum values are observed in the central part of the Baltic Proper and reach 4–5.5 cm [23]. Significant interannual variations in the Baltic Sea stratification which have been observed in recent decades [47] should lead to a shift in the frequency of its baroclinic eigenoscillations relative to the frequency of forced level oscillations generated at the Sa harmonic frequency. If the frequency of the baroclinic eigenoscillations coincides with the Sa harmonic frequency, a resonance occurs and the amplitude of annual fluctuations increases significantly. When the frequency of baroclinic eigenoscillations deviates from the Sa harmonic frequency, the amplitude of annual oscillations decreases and amplitude modulation further appears during the annual sea level variation. Long-term fluctuations in the Baltic Sea stratification are associated mainly with changes in the components of its freshwater balance and water exchange with the North Sea [47]. Our estimates indicated that the Sa harmonic modulation periods varied from 7–15 to 30–35 years (see Figs. 5 and 7). Instrumental measurements show that interannual variations in river runoff, precipitation and water exchange through the Danish straits also demonstrate similar cyclicities [5, 47–49]. However, this hypothesis requires additional research using numerical experiments with a three-dimensional baroclinic model.
Conclusion
- The results of harmonic analysis of satellite altimetry data for the 1993–2021 period indicate that the average Sa harmonic amplitude varies from 4.5–5 cm in the southwest of the Baltic Sea to 9–10 cm in the north of the Gulf of Bothnia and the east of the Gulf of Finland. A quasi-monotonic increase in the Sa harmonic phase from the southwest to the north and northeast of the sea indicates the wave nature of the annual fluctuations. The propagation velocity of annual fluctuations in the Baltic Sea varies from 0.06 to 0.36 m/s.
- A comparison of characteristics of annual fluctuations in the Baltic Sea level field with theoretical dispersion relations of various classes of low-frequency waves revealed that annual disturbances in the sea level field are identified as baroclinic Kelvin waves in most cases over most of the Baltic Sea water area and their empirical characteristics correspond to the theoretical dispersion relations of baroclinic topographic Rossby waves in rare cases only in the southwest of the sea.
- Noticeable changes in the characteristics of annual waves in the sea level field are observed among decades. Compared to the 1993–2021 period, we observe a 1.5–3-fold decrease in the Sa harmonic amplitude, later maximum of the annual level variation (by approximately 1 month), as well as noticeable slowdown of the annual wave phase velocity in the southwest of the sea in the 1993–2002 decade.
On the contrary, the Sa harmonic amplitude increased significantly throughout the entire sea area reaching its maximum values of 5–6 cm in the southwest of the sea and 11–12 cm in the north of the Gulf of Bothnia, the east of the Gulf of Finland and the Gulf of Riga in the 2003–2012 decade; wave phase velocity increased and the maximum of the annual level variation was observed approximately 10–15 days earlier compared to the long-term average value estimated for the 1993–2021 period.
In 2012–2021, the annual harmonic amplitude decreased reaching its long-term average values calculated for 1993–2021 in the southern and central parts of the open Baltic Sea, while in other areas of the sea amplitude exceeded average values. In this decade, the annual wave phase velocity decreased noticeably again in the southwest of the sea and its amplitude maximum was noted there significantly earlier compared to the long-term average value, although in other areas it corresponded generally to it.
- The results of a moving harmonic analysis of a 132-year series of average daily sea level values in Stockholm demonstrate a pronounced amplitude modulation in the temporal variation of the Sa harmonic amplitude with a period from approximately 7–15 to 30–35 years. The cause of modulation is shown to be associated with the impact of level fluctuations with periods of 352, 374 and 379 days which stand out in the form of small but significant amplitude maxima in the spectrum of the Fourier series of the sea level in Stockholm. These fluctuations can be caused by atmospheric pressure and wind speed variations. Their spectra contained amplitude maxima at the same or similar frequencies as sea level fluctuations. It is assumed that another mechanism of amplitude modulation of annual waves can be associated with changes in the frequency of the Baltic Sea baroclinic eigenoscillations due to interannual variations in its stratification.
1 German, V.Kh. and Levikov, S.P., 1988. [Probabilistic Analysis and Modeling of the Sea Level Oscillations]. Leningrad: Gidrometeoizdat, 231 p. (in Russian).
2 Copernicus. Copernicus Marine Data Store. 2024. [online] Available at: http://marine.copernicus.eu [Accessed: 05 April 2024].
3 Malinin, V.N., 2020. [Statistical Methods for Hydrometeorological Data Analysis. Volume 2. Analysis of Time Series and Random Fields]. Saint Petersburg: RGGMU, 196 p. (in Russian).
4 Korn, G.A. and Korn, T.M., 1961. Mathematical Handbook for Scientists and Engineers. Definitions, Theorems, and Formulas for Reference and Review. New York; Toronto; London: McGraw-Hill Book Company, Inc., 943 p.
5 Tareyev, B.A., 1974. [Dynamics of Baroclinic Disturbances in the Ocean]. Moscow: MSU, 180 p. (in Russian).
6 The Swedish Meteorological and Hydrological Institute. SMHI: Data. 2024. [online] Available at: https://www.smhi.se/data [Accessed: 05 April 2024].
About the authors
Eugeny A. Zakharchuk
Saint-Petersburg State University
Email: eazakharchuk@yandex.ru
ORCID iD: 0000-0001-6079-5739
Scopus Author ID: 6603158329
ResearcherId: N-1644-2013
Head of Oceanology Department, Institute of Earth Sciences, DSc (Geogr.)
Russian Federation, 33–35, 10th Line of Vasilievsky Island, 199178, Saint-PetersburgVladimir N. Sukhachev
Saint-Petersburg State University; N. N. Zubov State Oceanographic Institute
Author for correspondence.
Email: syhachev@mail.ru
ORCID iD: 0000-0003-4821-4342
Scopus Author ID: 55969236600
ResearcherId: N-7470-2015
Research Associate, Institute of Earth Sciences, Research Associate, Saint-Petersburg Branch of N.N. Zubov State Oceanographic Institute
Russian Federation, 33–35, 10th Line of Vasilievsky Island, Saint-Petersburg, 199178; MoscowNatalia A. Tikhonova
Saint-Petersburg State University; N. N. Zubov State Oceanographic Institute
Email: i@ntikhonova.ru
ORCID iD: 0000-0002-4546-4920
Scopus Author ID: 11239410500
ResearcherId: I-4647-2015
Assistant Professor of Oceanology Department, Institute of Earth Sciences, Acting Head of Laboratory, DSc (Geogr.), Saint-Petersburg Branch of N.N. Zubov State Oceanographic Institute
Russian Federation, 33–35, 10th Line of Vasilievsky Island, Saint-Petersburg, 199178; MoscowReferences
- Ekman, M. and Stigebrandt, A., 1990. Secular Change of the Seasonal Variation in Sea Level and of the Pole Tide in the Baltic Sea. Journal of Geophysical Research: Oceans, 95(C4), pp. 5379-5383. https://doi.org/10.1029/jc095ic04p05379
- Medvedev, I.P., 2014. Seasonal Fluctuations of the Baltic Sea Level. Russian Meteorology and Hydrology, 39(12), pp. 814-822. https://doi.org/10.3103/S106837391412005X
- Gill, A.E. and Niller, P.P., 1973. The Theory of the Seasonal Variability in the Ocean. Deep-Sea Research and Oceanographic Abstracts, 20(2), pp. 141-177. https://doi.org/10.1016/0011-7471(73)90049-1
- Leppäranta, M. and Myrberg, K., 2009. Physical Oceanography of the Baltic Sea. Berlin; Heidelberg: Springer, 378 p. https://doi.org/10.1007/978-3-540-79703-6
- Terziev, F.S., Rozhkov, V.A. and Smirnova, A.I., eds., 1992. Hydrometeorology and Hydrochemistry of the Seas of the USSR. Volume 3. Baltic Sea. Issue 1. Hydrometeorological Conditions. Saint Petersburg: Gidrometeoizdat, 449 p. (in Russian).
- Cheng, Y., Xu, Q. and Li, X., 2018. Spatio-Temporal Variability of Annual Sea Level Cycle in the Baltic Sea. Remote Sensing, 10(4), 528. https://doi.org/10.3390/rs10040528
- Männikus, R., Soomere, T. and Viška, M., 2020. Variations in the Mean, Seasonal and Extreme Water Level on the Latvian Coast, the Eastern Baltic Sea, during 1961-2018. Estuarine, Coastal and Shelf Science, 245, 106827. https://doi.org/10.1016/j.ecss.2020.106827
- Zakharchuk, E.A., Sukhachev, V.N., Tikhonova, N.A., Kouraev, A. and Zakharova, E., 2022. Seasonal Fluctuations in Baltic Sea Level Determined from Satellite Altimetry. Continental Shelf Research, 249, 104863. https://doi.org/10.1016/j.csr.2022.104863
- Zakharchuk, E.A., Sukhachev, V.N., Tikhonova, N.A. and Litina, E.N., 2022. Stationary and Non-Stationary Description of the Seasonal Sea Level Oscillations in the Baltic Sea Based on the Tide Gauge Data. Physical Oceanography, 29(6), pp. 636-658. https://doi.org/10.22449/1573-160X-2022-6-636-658
- Lisitzin, E., 1974. Sea-Level Changes. Amsterdam; New York: Elsevier Scientific Pub. Co., 286 p.
- Plag, H.P. and Tsimplis, M.N., 1999. Temporal Variability of the Seasonal Sea-Level Cycle in the North Sea and Baltic Sea in Relation to Climate Variability. Global and Planetary Change, 20(2-3), рр. 173-203. https://doi.org/10.1016/S0921-8181(98)00069-1
- Hünicke, B. and Zorita, E., 2008. Trends in the Amplitude of Baltic Sea Level Annual Cycle. Tellus A: Dynamic Meteorology and Oceanography, 60(1), рр. 154-164. https://doi.org/10.1111/j.16000870.2007.00277.x
- Stramska, M., Kowalewska-Kalkowska, H. and Świrgoń, M., 2013. Seasonal Variability in the Baltic Sea Level. Oceanologia, 55(4), pp. 787-807. https://doi.org/10.5697/oc.55-4.787
- Johansson, M.M. and Kahma, K.K., 2016. On the Statistical Relationship between the Geostrophic Wind and Sea Level Variations in the Baltic Sea. Boreal Environment Research, 21, рр. 25-43.
- Barbosa, S.M. and Donner, R.V., 2016. Long-Term Changes in the Seasonality of Baltic Sea Level. Tellus A: Dynamic Meteorology and Oceanography, 68(1), 30540. https://doi.org/10.3402/tellusa.v68.30540
- Łabuz, T.A. and Kowalewska-Kalkowska, H., 2011. Coastal Erosion Caused by the Heavy Storm Surge of November 2004 in the Southern Baltic Sea. Climate Research, 48(1), pp. 93-101. https://doi.org/10.3354/cr00927
- Weisse, R., Dailidiene, I., Hünicke, B., Kahma, K., Madsen, K., Omstedt, A., Parnell, K., Schöne, T., Soomere, T. [et al.], 2021. Sea Level Dynamics and Coastal Erosion in the Baltic Sea Region. Earth System Dynamics, 12(3), pp. 871-898. https://doi.org/10.5194/esd-12-871-2021
- Gordeeva, S.M. and Malinin, V.N., 2014. Gulf of Finland Sea Level Variability. Saint Petersburg: RSHU Publishers, 179 p. (in Russian).
- Samuelsson, M. and Stigebrandt, A., 1996. Main Characteristics of the Long-Term Sea Level Variability in the Baltic Sea. Tellus A: Dynamic Meteorology and Oceanography, 48(5), pp. 672-683. https://doi.org/10.3402/TELLUSA.V48I5.12165
- Gustafsson, B.G. and Andersson, H.C., 2001. Modeling the Exchange of the Baltic Sea from the Meridional Atmospheric Pressure Difference across the North Sea. Journal of Geophysical Research: Oceans, 106(C9), pp. 19731-19744. https://doi.org/10.1029/2000JC000593
- Ekman, M., 2009. The Changing Level of the Baltic Sea during 300 Years: A Clue to Understanding the Earth. Åland Islands: Summer Institute for Historical Geophysics, 155 p.
- Zakharchuk, E.A. and Tikhonova, N.A., 2011. On the Spatiotemporal Structure and Mechanisms of the Neva River Flood Formation. Russian Meteorology and Hydrology, 36(8), pp. 534-541. https://doi.org/10.3103/S106837391108005X
- Zakharchuk, E.A., Tikhonova, N.А., Zakharova, E. and Kouraev, A.V., 2021. Spatiotemporal Structure of Baltic Free Sea Level Oscillations in Barotropic and Baroclinic Conditions from Hydrodynamic Modelling. Ocean Science, 17(2), pр. 543-559. https://doi.org/10.5194/os-17-543-2021
- Ekman, M., 1996. A Common Pattern for Interannual and Periodical Sea Level Variations in the Baltic Sea and Adjacent Waters. Geophysica, 32(3), pp. 261-272.
- Chelton, D.B. and Schlax, M.G., 1996. Global Observations of Oceanic Rossby Waves. Science, 272(5259), pp. 234-238. https://doi.org/10.1126/science.272.5259.234
- Döös, K., 1999. Influence of the Rossby Waves on the Seasonal Cycle in the Tropical Atlantic. Journal of Geophysical Research: Oceans, 104(C12), pp. 29591-29598. https://doi.org/10.1029/1999jc900126
- Belonenko, T.V., Zakharchuk, E.A. and Fuks, V.R., 2004. [Ocean Gradient-Vorticity Waves]. Saint Petersburg: SPSU, 215 p. (in Russian).
- Yuan, D. and Han, W., 2006. Roles of Equatorial Waves and Western Boundary Reflection in the Seasonal Circulation of the Equatorial Indian Ocean. Journal of Physical Oceanography, 36(5), pp. 930-944. https://doi.org/10.1175/JPO2905.1
- Calafat, F.M., Wahl, T., Lindsten, F., Williams, J. and Frajka-Williams, E., 2018. Coherent Modulation of the Sea-Level Annual Cycle in the United States by Atlantic Rossby Waves. Nature Communications, 9(1), 2571. https://doi.org/10.1038/s41467-018-04898-y
- Bretherton, F.P., Davis, R.E. and Fandry, C.B., 1976. A Technique for Objective Analysis and Design of Oceanographic Experiments Applied to MODE-73. Deep-Sea Research and Oceanographic Abstracts, 23(7), pp. 559-582. https://doi.org/10.1016/0011-7471(76)90001-2
- Pujol, M.-I., Faugère, Y., Taburet, G., Dupuy, S., Pelloquin, C., Ablain, M. and Picot, N., 2016. DUACS DT2014: The New Multi-Mission Altimeter Data Set Reprocessed over 20 Years. Ocean Science, 12(5), pp. 1067-1090. https://doi.org/10.5194/os-12-1067-2016
- Le Traon, P.-Y., Nadal, F. and Ducet, N., 1998. An Improved Mapping Method of Multisatellite Altimeter Data. Journal of Atmospheric and Oceanic Technology, 15(2), pp. 522-534. https://doi.org/10.1175/1520-0426(1998)015<0522:AIMMOM>2.0.CO;2
- Voinov, G.N., 2002. Non-Tidal Sea Level Oscillation. In: V. A. Volkov, O. M. Johannessen, V. E. Borodachev, G. N. Voinov, L. H. Pettersson, L. P. Bobylev and A. V. Kouraev, 2002. Polar Seas Oceanography. An Integrated Case Study of the Kara Sea. Berlin, Heidelberg: Springer, pp. 61-77.
- Tareyev, B.A., 1971. Gradient-Vorticity Waves on a Shelf. Izvestiya of Academy of Sciences, USSR. Atmospheric and Oceanic Physics, 7(4), pp. 431-436 (in Russian).
- LeBlond, P.H. and Mysak, L.A., 1978. Waves in the Ocean. Amsterdam; Oxford; New York: Elsevier Scientific Publ. Co., 602 p.
- Pedlosky, J., 1979. Geophysical Fluid Dynamics. New York: Springer-Verlag, 626 p.
- Gusev, A.K., Zakharchuk, E.A., Ivanov, N.E., Klevancyov, U.P., Rogkov, V.A., Tikhonova, N.A. and Fuks, V.R., 2007. [The Dynamics of the Baltic Sea in the Synoptic Range of Spatial and Temporal Scales]. Saint-Petersburg: Gidrometeoizdat, 354 p. (in Russian).
- Fuks, V.R., 2005. Gradient-Eddy Waves in the Baltic Sea. Russian Meteorology and Hydrology, (9), pp. 47-51.
- Gill, A.E., 1982. Atmosphere – Ocean Dynamics. New York: Academic Press Inc., 662 p.
- Fennel, W., Seifert, T. and Kayser, B., 1991. Rossby Radii and Phase Speeds in the Baltic Sea. Continental Shelf Research, 11(1), pp. 23-36. https://doi.org/10.1016/0278-4343(91)90032-2
- Osiński, R., Rak, D., Walczowski, W. and Piechura, J., 2010. Baroclinic Rossby Radius of Deformation in the Southern Baltic Sea. Oceanologia, 52(3), pp. 417-429. https://doi.org/10.5697/oc.52-3.417
- Kurkin, A., Kurkina, O., Rybin, A. and Talipova, T., 2020. Comparative Analysis of the First Baroclinic Rossby Radius in the Baltic, Black, Okhotsk, and Mediterranean Seas. Russian Journal of Earth Sciences, 20(4), ES4008. https://doi.org/10.2205/2020ES000737
- Konyaev, K.V. and Sabinin, K.D., 1992. [Waves inside the Ocean]. Saint Petersburg: Gidrometeoizdat, 271 p. (in Russian).
- Carmack, E.C. and Kulikov, E.A., 1998. Wind-Forced Upwelling and Internal Kelvin Wave Generation in Mackenzie Canyon, Beaufort Sea. Journal of Geophysical Research: Oceans, 103(C9), pp. 18447-18458. https://doi.org/10.1029/98JC00113
- De Boor, C., 1978. A Practical Guide to Splines. New York: Springer, 348 p.
- Voinov, G.N., 2012. Techniques for Computations of the Seasonal Variation in the Main Constituents of Tides with the Small Range of Tide (as an Example of the Baltic Sea). Arctic and Antarctic Research, (3), pp. 101-109 (in Russian).
- Liblik, T. and Lips, U., 2019. Stratification Has Strengthened in the Baltic Sea – An Analysis of 35 Years of Observational Data. Frontiers in Earth Science, 7, 174. https://doi.org/10.3389/feart.2019.00174
- Litina, E.N., Zakharchuk, E.A. and Tikhonova, N.A., 2020. Dynamics of Hypoxic Zones in the Baltic Sea in the Late XX–Early XXI Century. Water Resources, 47(3), pp. 478-485. https://doi.org/10.1134/S0097807820030082
- Lehmann, A., Myrberg, K., Post, P., Chubarenko, I., Dailidiene, I., Hinrichsen, H.-H., Hüssy, K., Liblik, T., Meier, H.E.M. [et al.], 2022. Salinity Dynamics of the Baltic Sea. Earth System Dynamics, 13(1), pp. 373-392. https://doi.org/10.5194/esd-13-373-2022
- Maksimov, I.V. and Karklin, V.P., 1965. “Pole Tide” in the Baltic Sea. Doklady Akademii Nauk SSSR, 161(3), pp. 580-582 (in Russian).
- Medvedev, I.P., Rabinovich, A.B. and Kulikov, E.A., 2014. Pole Tide in the Baltic Sea. Oceanology, 54(2), pp. 121-131. doi: 10.1134/S0001437014020179
Supplementary files










