Temporal variability of the Beryllium-7 (7Ве) scavenging ratio in the Sevastopol Region
- Authors: Kremenchutskii D.A.1
-
Affiliations:
- Marine Hydrophysical Institute of RAS
- Issue: Vol 31, No 2 (2024)
- Pages: 246-257
- Section: Experimental and field research
- URL: https://medbiosci.ru/1573-160X/article/view/256402
- ID: 256402
Cite item
Abstract
Purpose. The study is purposed at identifying the features of temporal variability in the relation of 7Ве scavenging ratio at the seasonal and interannual time intervals depending on the amount and frequency of precipitation.
Methods and Results. The scavenging ratio was assessed based on the field data on the 7Ве concentration values in the atmosphere and precipitation in 2012–2020. Application of ANOVA made it possible to examine the relationship between the scavenging ratio and the variations in 7Be concentrations in the atmosphere and precipitation. The relationship between the scavenging ratio and the precipitation amount and frequency was studied by the correlation method of analysis.
Conclusions. The scavenging ratio values averaged over a season and a year varied within the ranges 423–1286 and 508–919, respectively. The geometric mean value of the scavenging ratio was . The intraannual variability of the scavenging ratio is absent at the 95% confidence level. The variability in average annual values of the scavenging ratio demonstrates a decrease in 2013 (as compared to 2012) from 664 to 508, an increase to 919 in 2016 and again a decrease to 516 in 2020. The ANOVA results indicate that variability of the scavenging ratio values averaged over a season and a year is due to the variation in 7Ве concentration in precipitation by 90 and 74%, respectively. In its turn, the long-term seasonal variability of 7Ве concentration in precipitation is conditioned by the variations in 7Ве concentration in the atmosphere (r = 0.64) and in the precipitation amount (r = −0.50). The relationship between the annual values of 7Ве concentration in precipitation and its concentration in the atmosphere or with the precipitation parameters has not been revealed. The correlation analysis results indicate that the variability of precipitation parameters (amount and frequency) produces no statistically significant effect at the 95% confidence level upon the variability of scavenging ratio values at seasonal and annual time intervals.
Full Text
Introduction
Beryllium-7 (7Be) is a radionuclide of cosmogenic origin characterized by a relatively short half-life (~ 53 days). It is formed in the atmosphere: approximately 2/3 in the stratosphere and the remaining 1/3 in the troposphere [1]. 7Be enters the marine environment mainly (80–90%) with precipitation [2]. The remaining 10–20% accrue to the dry deposition flux. Works discussing the possibility of using [3–6] or using [7–9] this radionuclide as a tracer to obtain quantitative estimates of the entry of other substances (primarily so-called geotracers) from the atmosphere into the marine environment have been issued since the last decade. For this purpose, the parameters for removing substances from the atmosphere based on data on the 7Be concentration in the atmosphere and precipitation (or marine environment) are first calculated and then their flux is estimated. Such parameters can be deposition velocity and scavenging ratio according to [5, 10–12]. The deposition velocity relates the substance flux to its concentration in the atmosphere while the scavenging ratio relates the substance concentration in precipitation to its concentration in the atmosphere. Although each of these two parameters can be used to obtain quantitative estimates of both substance flux from the atmosphere with precipitation and its concentration in precipitation, the first parameter (deposition velocity) receives objectively more attention than the second one (scavenging ratio). In particular, the available literature contains information on the monthly, seasonal and annual average values of the 7Be deposition velocity, their temporal variability and factors determining it [11, 13–15]. At the same time, the depth of research into the scavenging ratio is limited by calculating this parameter value [11, 16–18].
The study is purposed at identifying the features of temporal variability in the relation of 7Ве scavenging ratio in rainfall to its concentration in the atmosphere at the seasonal and interannual time intervals depending on the amount and frequency of precipitation.
Materials and methods
Determination of 7Be concentration in the surface atmosphere and in atmospheric precipitation. The methods used for collecting and processing samples of atmospheric precipitation and aerosols with the subsequent determination of 7Be activity in them are described in detail in [15, 19, 20]. A summary of these methods is given below.
Atmospheric aerosol and precipitation samples were taken from the roof of the building of Marine Hydrophysical Institute of RAS. A Petryanov filter (FPP-15-1.5) was used to concentrate the aerosol. The average speed of air pumping through the filter was ~ 525 m3·h−1. As a rule, four daily samples (Monday – Friday) and one three-day sample (Friday – Monday) were taken during the week. The filter was compressed into a tablet with a diameter of 5.2 cm and a height of 0.5 cm after the completion of air filtration. Moist atmospheric precipitation samples were collected using a 0.64 m2 cuvette connected to a 50 L plastic barrel. The precipitation in the barrel, if any, was collected immediately after sampling the atmospheric aerosol. Radionuclide concentration from wet atmospheric precipitation samples was carried out using Dowex HCR-S/S cation exchange resin. The resin was packaged in a Petri dish with a diameter of 5.2 cm and a height of 1.4 cm or in a test tube with a diameter of 2.8 cm and a height of 7 cm.
In all cases, 7Be activity measurements in the samples were carried out on a gamma spectrometer with one of two detectors: a NaI(Tl) crystal with a diameter and a height of 6.3 cm or a NaI(Tl) crystal with a diameter and a height of 10 cm with a well with a diameter of 3 cm and a height of 6 cm. Both crystals had a resolution of 7% for the 137Cs peak and were located in a low-background multilayer protection. The single sample activity was recorded for 5–24 hours. The total error in measuring 7Be activity in samples usually did not exceed 15%.
The total number of 2,056 samples of atmospheric aerosols and 405 samples of rainfall was collected and processed in 2012–2020. The obtained atmospheric and precipitation 7Be concentrations were averaged for each individual season and year under this study. As a result, two series of average seasonal and average annual values lasting 36 seasons and 9 years were obtained for each parameter.
Meteorological parameters. Precipitation amount data was obtained by normalizing the precipitation sample volume to the sampler area. Precipitation frequency data represents the number of days with precipitation in a particular season or year.
Scavenging ratio of 7Ве was calculated as follows:
(1)
where W is scavenging ratio; к is correction taking into account the difference in density of water and air, equal to 1.2·10−3; Сw and Ca are seasonally averaged 7Be concentrations in moist atmospheric precipitation and on atmospheric aerosols, respectively, Bq·m−3.
Knowing the scavenging ratio, it is possible to estimate the 7Be flux from the atmosphere with precipitation using the following equation:
(2)
where F is flux, Bq·m−2·season−1; Pr is precipitation amount, mm·season−1.
Results and discussion
Basic statistics. Figure 1 shows the obtained series of observations of 7Be concentrations in the atmosphere and precipitation, as well as the scavenging ratio estimates. Seasonally and annually averaged values of 7Be concentration in precipitation varied in the ranges of 1.2–5.4 and 1.5–3.0 Bq·L−1, respectively, in 2012–2020 (Fig. 2, a). The majority (80%) of the seasonally averaged concentration values were in the range of 1.4–3.6 Bq·L–1. The 10th and 90th percentiles for average annual values coincide with the minimum and maximum of this series due to its relatively short duration for this series and the remaining two series shown in Fig. 2. Variation coefficients were 38.5 and 22.8% for seasonal and annual values. The arithmetic mean and median values of seasonally averaged 7Be concentrations were 2.4 and 2.2 Bq·L−1, respectively. This indicates that the distribution of seasonal concentration values may be different from normal.
F i g. 1. Seasonal variability of 7Ве concentrations in the atmosphere and precipitation, as well as their scavenging ratio
F i g. 2. Frequency distribution of the data on seasonal and annual values of 7Be concentrations: a – in precipitation, b – in the atmosphere; c – scavenging ratio
Seasonally and annually averaged values of 7Be concentrations in the atmosphere varied within the range of 1.9–6.5 and 2.6–4.7 mBq·m−3, respectively (Fig. 2, b). The main variability (80%) of the seasonally averaged values occurred in the range of 2.5–5.5 mBq·m−3. As in the case of 7Be concentration in atmospheric precipitation, the 10th and 90th percentile values for the average annual concentration of this radionuclide in the atmosphere coincide with the minimum and maximum, respectively. Variation coefficients were 30.7 and 19.5% for seasonal and annual values. The arithmetic mean and median values of seasonally averaged 7Be concentrations in the atmosphere were 3.9 and 3.6 mBq·m−3. They are close, but not equal to each other, which can indicate that their distribution is different from normal.
The seasonally and annually averaged values of the scavenging ratio varied in the ranges of 423–1286 and 508–919, respectively (Fig. 2, c), according to the estimates obtained using equation (1). The 10th and 90th percentile values were 537 and 1078 for the seasonal mean scavenging ratios. Variation coefficients were 28.8 and 19.8% for seasonal and annual values. The arithmetic mean (746) and median (695) values of seasonal ratios are close, but not equal to each other.
Analysis of the results of the Shapiro–Wilk tests for normality shows that the distributions of data on the 7Be concentration in precipitation and on scavenging ratio are statistically significantly different from normal at the 95% confidence level. On the contrary, the distribution of data on the 7Be concentration in the atmosphere is not statistically significantly different from normal at the 95% confidence level.
The obtained mean 7Ве concentrations in precipitation (geometric mean – Bq·L−1) and in the atmosphere (arithmetic mean 3.9 ± 1.2 mBq·m−3), and scavenging ratio (geometric mean – ) coincide well with the literature data. The available literature shows the following values concerning 7Ве concentration in precipitation (Bq·L−1): 2.9 – for Detroit, Michigan, USA [16]; 2.5 – for Huelva, Spain [11]; 2.6 – for Malaga, Spain [17]; – for Mangalore, India [18]. The following values are given concerning 7Ве concentration in the atmosphere (mBq·m−3): 4.8 – for Detroit, Michigan, USA [16]; 4.9 – for Huelva, Spain [11]; 4.0 – for Lisbon, Portugal [21]; 4.2 – for Malaga, Spain [17]; – for Mangalore, India [18]. The following estimates have been published regarding the scavenging ratios: 948 – for Detroit, Michigan, USA [16]; 496 ± 180 – for Huelva, Spain [11]; 840 – for Malaga, Spain [17]; – for Mangalore, India [18].
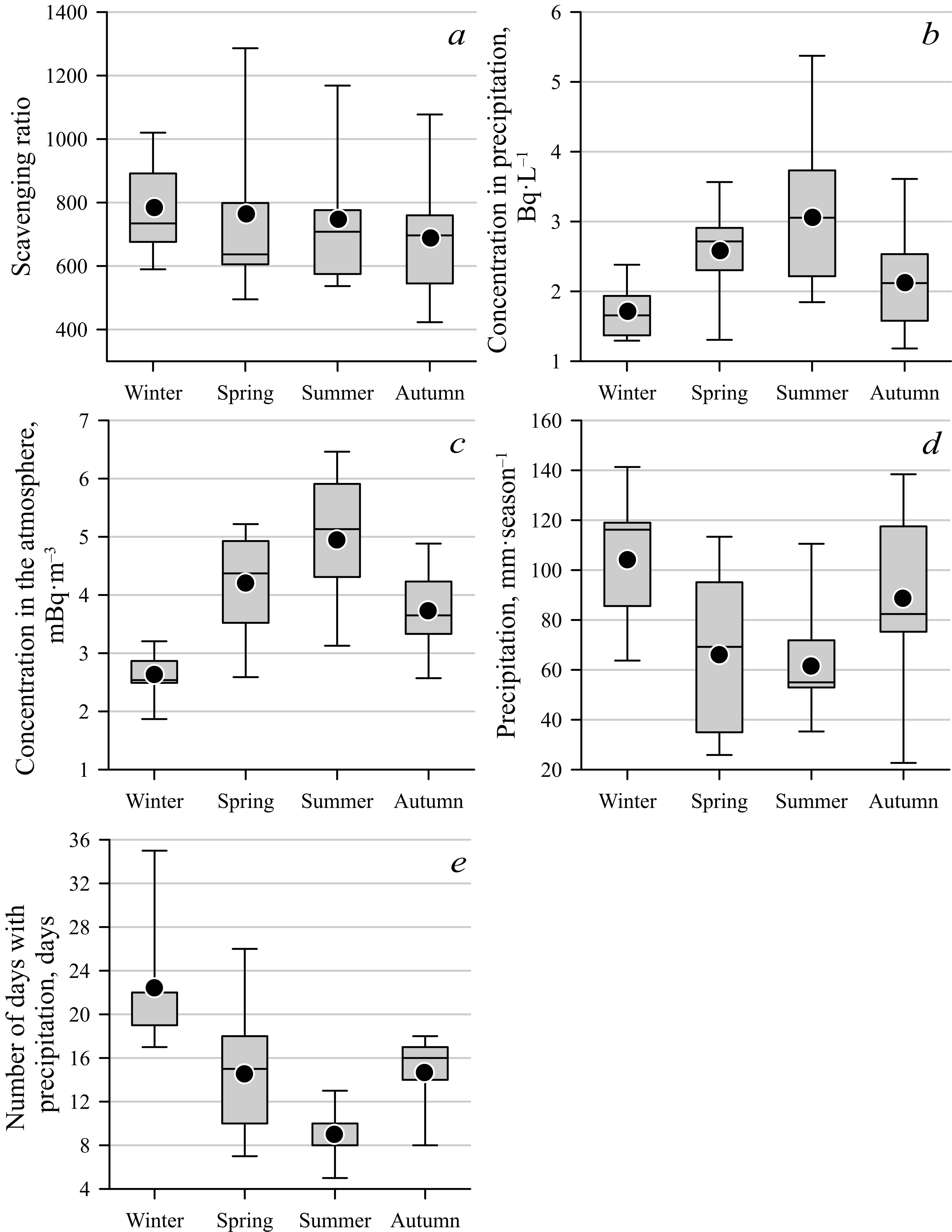
Seasonal variability of the scavenging ratio averaged over the entire observation period is shown in Fig. 3, a. No pronounced seasonal variability can be seen in the series under consideration. An ANOVA was carried out in order to confirm that the difference in seasonal mean scavenging ratios was not statistically significant. Its results show that the seasonal average values differ from each other statistically insignificantly at the 95% confidence level. Thus, it can be concluded that the period under study revealed no seasonal variability in the scavenging ratio.
The ANOVA was carried out in order to obtain quantitative estimates of the influence of variations in 7Be concentration in the atmosphere and in precipitation on the seasonal variability of the scavenging ratio. Its results show that the temporal variability of the scavenging ratio is determined by variations in 7Be concentration in precipitation and in the atmosphere by 90 and 10%, respectively. The correlation analysis results indicate a strong, statistically significant correlation at the 99% confidence level (r = 0.62) between the scavenging ratio and 7Be concentration values in precipitation (Fig. 4, a). No statistically significant correlation between the scavenging ratio variability and 7Be concentration in the atmosphere can be observed even at the 90% confidence level (r = −0.20) (Fig. 4, b). No relationship between the long-term variability of seasonal average scavenging ratio and the precipitation amount and frequency was confirmed as the correlation coefficients were – 0.25 (p = 0.14) and 0.004 (p = 0.98), respectively.
F i g. 3. Averaged over the observation period data on seasonal variability of: scavenging ratio (a), 7Be concentration in precipitation (b), 7Be concentration in the atmosphere (c), precipitation amount (d) and precipitation frequency (e)
F i g. 4. Relationship between the seasonal values of various parameters: a – scavenging ratio and 7Ве concentration in precipitation; b – scavenging ratio and 7Ве concentration in the atmosphere; с – 7Ве concentrations in precipitation and atmosphere; d – 7Ве concentration in precipitation and precipitation amount; e – 7Ве concentration in precipitation and a number of days with precipitation, f – 7Ве concentration in the atmosphere and precipitation amount; g – 7Ве concentration in the atmosphere and precipitation frequency; and h – precipitation amount and precipitation frequency
Fig. 3, b shows the intraannual variability of 7Be concentration in precipitation averaged over the entire observation period. The ANOVA results confirm a statistically significant seasonal variability of 7Be concentration in precipitation with a maximum in the summer season (2.9 Bq·L−1) and a minimum in the winter season (1.7 Bq·L−1) at the 95% confidence level. The correlation analysis results show that the temporal variability of the seasonally averaged 7Be concentration in precipitation is statistically significantly associated at the 95% confidence level with the temporal variability of 7Be concentration in the atmosphere (r = 0.64), as well as with the amount (r = −0.50) and frequency (r = −0.39) of precipitation (Fig. 4, c – e). Note that the strongest connection is observed precisely with 7Be concentration in the atmosphere. Thus, an increase in the 7Be concentration in the atmosphere and a decrease in the precipitation amount and frequency are accompanied by an increase in the radionuclide concentration in precipitation. 7Be concentration in the atmosphere takes on a maximum value in the summer season (Fig. 3, c) and the precipitation amount and frequency is minimal (Fig. 3, d, e), which explains the observed maximum concentration of this radionuclide in precipitation in this season (Fig. 3, b). 7Be concentration in the atmosphere takes a minimum value in winter and the precipitation amount and frequency is maximum, which determines the minimum 7Be concentration in precipitation observed at this time. The authors of [17] noted the presence of a similar seasonal variation in 7Be concentration in precipitation for a station located in Malaga, Spain. They indicated that such seasonal variability is most likely due to the intraannual distribution of precipitation and 7Be concentrations in the atmosphere, which were similar to those noted in the present study.
Temporal variability of seasonally averaged values of 7Be concentration in the atmosphere is statistically significantly associated with the precipitation amount (r = −0.38) and frequency (r = −0.51) at the 95% confidence level (Fig. 4, f, g). Thus, a decrease in the precipitation amount and frequency increases 7Be content in the atmosphere. In turn, the considered precipitation parameters (amount and frequency) are also interrelated. Thus, an increase in the frequency of precipitation is accompanied by an increase in its quantity with a correlation coefficient of 0.61 (Fig. 4, h). This relationship between the seasonal variability of 7Be concentration in the atmosphere and precipitation parameters, as well as the relationship between the parameters under consideration, has already been noted in recent studies [15, 22].
Interannual variability of the scavenging ratio. Figure 5 shows the resulting series of observations of interannual variability of the studied parameters.
A decrease in the scavenging ratio values from 664 to 508 was observed in 2012–2013, then followed by a long period of their growth to 919 in 2016, which then was followed by a long period of decrease to 516 in 2020. Thus, the average annual scavenging ratio values changed by 1.8 times during the period under study. Interannual variability of 7Be concentration in precipitation shows similar dynamics: a decrease from 2.3 to 1.5 Bq·L−1 was observed in 2012–2013, then followed by a short period of relatively small fluctuations (1.8 and 1.6 Bq·L−1 in 2014 and 2015), an increase in concentration to 3.0 Bq·L−1in 2017 and then its decrease to 2.0 Bq·L−1 in 2020. Thus, the average annual values of 7Be concentration in precipitation changed by a factor of 2 in 2012–2020.
The ANOVA results show that the temporal variability of the average annual scavenging ratio values is determined by 74% by 7Be concentration variations in precipitation and by 26% in the atmosphere. Thus, the contribution of variability in 7Be concentration in the atmosphere to the variation in average annual scavenging ratios increased by 2.6 times compared to the same for seasonal values.
F i g. 5. Temporal variability of annual values of: scavenging ratio (a), 7Ве concentration in precipitation (b), precipitation amount (c), precipitation frequency (d) and 7Ве concentration in the atmosphere (e)
The correlation analysis results show no statistically significant relationships at the 95% confidence level between the variability of annual concentration ratios and the amount (r = 0.19, p = 0.63) or frequency (r = 0.66, p = 0.06) of precipitation. A strong, statistically significant correlation at the 90% confidence level between the scavenging ratio and the number of days with precipitation (the more rainy days in a year, the higher the average annual value of the scavenging ratio) is a rather unexpected result. Formula (1) shows that the scavenging ratio value is directly proportional to 7Be concentration in precipitation and inversely proportional to its concentration in the atmosphere. On a synoptic time scale, an increase in the precipitation frequency can lead to a decrease in the 7Be concentration in the atmosphere due to the fact that it takes time for its concentration to recover after precipitation (1–2 days) [23]. As a result of a decrease in 7Be concentration in the atmosphere, its concentration in precipitation decreases proportionally (all other precipitation parameters being equal). Thus, no relationship between precipitation frequency and scavenging ratios is to be expected (the lack of such a relationship for temporal variability in seasonal values is reported above). Physical processes that cause such a relationship between annual values are not obvious.
No statistically significant correlations at the 90% confidence level between 7Be concentration in the atmosphere and the studied precipitation parameters were indicated. Thus, the obtained values of the correlation coefficients between 7Be concentration in the atmosphere and the precipitation amount and frequency were 0.18 (p = 0.64) and 0.53 (p = 0.14), respectively.
Conclusions
This paper presents field data on the temporal variability of 7Be concentrations in the atmosphere and precipitation in 2012–2020. Seasonally averaged concentrations of this radionuclide in the atmosphere and precipitation varied in the ranges of 1.9–6.5 mBq·m−3and 1.2–5.4 mBq·L−1. These data made it possible to obtain quantitative estimates of the seasonal and annual scavenging ratio values, which were 423–1286 and 508–919, respectively, with a geometric mean of . The ANOVA results show that temporal fluctuations in seasonal and annual scavenging ratio values are determined to a greater extent by variations in 7Be concentration in precipitation (90 and 74%, respectively) than by variations in its concentration in the atmosphere. The correlation analysis results indicate that fluctuations in seasonal values of 7Be concentration in precipitation are associated with variations in its concentration in the atmosphere (r = 0.64, p < 0.01) and with variability in precipitation amount (r = −0.50, p < 0.01). The variability of annual values of 7Be concentration in precipitation is statistically significant at the 95% confidence level and is not associated with variations in the considered precipitation parameters (amount and frequency). The analysis results indicate that there is no relation between time series of concentration ratios and precipitation parameters at seasonal and annual time intervals. In other words, it is not possible to estimate the seasonal or annual average scavenging ratio using precipitation amount and frequency data only.
About the authors
Dmitrii A. Kremenchutskii
Marine Hydrophysical Institute of RAS
Author for correspondence.
Email: d.kremenchutskii@mhi-ras.ru
ORCID iD: 0000-0002-8747-6612
ResearcherId: AAC-1673-2020
Senior Researcher, CSc (Geogr.)
Russian Federation, 2 Kapitanskaya Str., Sevastopol, 299011References
- Lal, D. and Peters, B., 1967. Cosmic Ray Produced Radioactivity on the Earth. In: K. Sitte, ed., 1967. Kosmische Strahlung II / Cosmic Rays II. Handbuch der Physic / Encyclopedia of Physics, vol. 9/46/2. Berlin; Heidelberg: Springer, pp. 551-612. https://doi.org/10.1007/978-3-642-46079-1_7
- Zhang, F., Wang, J., Baskaran, M., Zhong, Q., Wang, Y., Paatero, J. and Du, J., 2021. A Global Dataset of Atmospheric 7Be and 210Pb Measurements: Annual Air Concentration and Depositional Flux. Earth System Science Data, 13(6), pp. 2963-2994. https://doi.org/10.5194/essd-13-2963-2021
- Ioannidou, A., 2021. Activity Size Distribution of 7Be in Association with Trace Metals in the Urban Area of the City of Thessaloniki, Greece. Atmospheric Environment, 45(6), pp. 1286-1290. https://doi.org/10.1016/j.atmosenv.2010.12.006
- Kadko, D., Landing, W.M. and Shelley, R.U., 2015. A Novel Tracer Technique to Quantify the Atmospheric Flux of Trace Elements to Remote Ocean Regions. Journal of Geophysical Research: Oceans, 120(2), pp. 848-858. https://doi.org/10.1002/2014JC010314
- Anderson, R.F., Cheng, H., Edwards, R.L., Fleisher, M.Q., Hayes, C.T., Huang, K.-F., Kadko, D., Lam, P.J., Landing, W.M. [et al.], 2016. How Well Can We Quantify Dust Deposition to the Ocean? Philosophical Transactions of the Royal Society A: Mathematical, Physical and Engineering Sciences, 374(2081), 20150285. https://doi.org/10.1098/rsta.2015.0285
- Kadko, D., Landing, W.M. and Buck, C.S., 2020. Quantifying Atmospheric Trace Element Deposition over the Ocean on a Global Scale with Satellite Rainfall Products. Geophysical Research Letters, 47(7), e2019GL086357. https://doi.org/10.1029/2019GL086357
- Kadko, D., Aguilar-Islas, A., Bolt, C., Buck, C.S., Fitzsimmons, J.N., Jensen, L.T., Landing, W.M., Marsay, C.M., Rember, R. [et al.], 2019. The Residence Times of Trace Elements Determined in the Surface Arctic Ocean during the 2015 US Arctic GEOTRACES Expedition. Marine Chemistry, 208, pp. 56-69. https://doi.org/10.1016/j.marchem.2018.10.011
- Kadko, D., Aguilar-Islas, A., Buck, C.S., Fitzsimmons, J.N., Landing, W.M., Shiller, A., Till, C.P., Bruland, K.W., Boyle, E.A. [et al.], 2020. Sources, Fluxes and Residence Times of Trace Elements Measured during the U.S. GEOTRACES East Pacific Zonal Transect. Marine Chemistry, 222, 103781. https://doi.org/10.1016/j.marchem.2020.103781
- Marsay, C.M., Kadko, D., Landing, W.M. and Buck, C.S., 2022. Bulk Aerosol Trace Element Concentrations and Deposition Fluxes during the U.S. GEOTRACES GP15 Pacific Meridional Transect. Global Biogeochemical Cycles, 36(2), e2021GB007122. https://doi.org/10.1029/2021GB007122
- Papastefanou, C., 2006. Radioactive Nuclides as Tracers of Environmental Processes. Journal of Radioanalytical and Nuclear Chemistry, 267(2), pp. 315-320. https://doi.org/10.1007/s10967-006-0050-8
- Lozano, R.L., San Miguel, E.G., Bolívar, J.P. and Baskaran, M., 2011. Depositional Fluxes and Concentrations of 7Be and 210Pb in Bulk Precipitation and Aerosols at the Interface of Atlantic and Mediterranean Coasts in Spain. Journal of Geophysical Research: Atmospheres, 116(D18), D18213. https://doi.org/10.1029/2011JD015675
- Kremenchutskii, D.A., 2022. Precipitation Scavenging of Beryllium-7 (7Be): Observation Results and Parameterization. Chemosphere, 307(2), 135908. https://doi.org/10.1016/j.chemosphere.2022.135908
- Chae, J.-S. and Kim, G., 2019. Large Seasonal Variations in Fine Aerosol Precipitation Rates Revealed Using Cosmogenic 7Be as a Tracer. Science of The Total Environment, 673, pp. 1-6. https://doi.org/10.1016/j.scitotenv.2019.03.482
- Liu, G., Wu, J., Li, Y., Su, L. and Ding, M., 2020. Temporal Variations of 7Be and 210Pb Activity Concentrations in the Atmosphere and Aerosol Deposition Velocity in Shenzhen, South China. Aerosol and Air Quality Research, 20(7), pp. 1607-1617. https://doi.org/10.4209/aaqr.2019.11.0560
- Kremenchutskii, D.A., 2022. Temporal Variability of Aerosol Wet Deposition Velocity in the Sevastopol Region: Observational Data. Physical Oceanography, 29(4), pp. 321-333.
- McNeary, D. and Baskaran, M., 2003. Depositional Characteristics of 7Be and 210Pb in Southeastern Michigan. Journal of Geophysical Research: Atmospheres, 108(D7), 4210. https://doi.org/10.1029/2002JD003021
- Dueñas, C., Gordo, E., Liger, E., Cabello, M., Cañete, S., Pérez, M. and De La Torre-Luque, P., 2017. 7Be, 210Pb and 40K Depositions over 11 Years in Málaga. Journal of Environmental Radioactivity, 178–179, pp. 325-334. https://doi.org/10.1016/j.jenvrad.2017.09.010
- Mohan, M.P., D’Souza, R.S., Nayak, S.R., Kamath, S.S., Shetty, T., Kumara, K.S., Mayya, Y.S. and Karunakara, N., 2019. Influence of Rainfall on Atmospheric Deposition Fluxes of 7Be and 210Pb in Mangaluru (Mangalore) at the Southwest Coast of India. Atmospheric Environment, 202, pp. 281-295. https://doi.org/10.1016/j.atmosenv.2019.01.034
- Kremenchutskii, D.A. and Konovalov, S.K., 2022. Beryllium-7 (7Be) and Its Variability in the Near-Surface Atmosphere of Crimea, the Black Sea Region. Atmospheric Pollution Research, 13(5), 101406. https://doi.org/10.1016/J.APR.2022.101406
- Kremenchutskii, D.A. and Batrakov, G.F., 2023. Seasonal Variations in Total Deposition Velocity and Washout Ratio of Fine Aerosols Revealed from Beryllium-7 (7Be) Measurements in Sevastopol, the Black Sea Region. Atmospheric Pollution Research, 14(3), 101698. https://doi.org/10.1016/J.APR.2023.101698
- Carvalho, A.C., Reis, M., Silva, L. and Madruga, M.J., 2013. A Decade of 7Be and 210Pb Activity in Surface Aerosols Measured over the Western Iberian Peninsula. Atmospheric Environment, 67, pp. 193-202. https://doi.org/10.1016/j.atmosenv.2012.10.060
- Efimov, V.V., Volodin, E.M., Anisimov, A.E. and Barabanov, V.S., 2015. Regional Projections of Climate Change for the Black Sea – Caspian Sea Area in Late XXI Century. Physical Oceanography, (5), pp. 49-66. https://doi.org/10.22449/1573-160X-2015-5-49-66
- Kremenchutskii, D.A., 2021. Influence of Precipitation on the Daily Beryllium-7 (7Be) Activity Concentration in the Atmospheric Surface Layer. Journal of Environmental Radioactivity, 237, 106722. https://doi.org/10.1016/J.JENVRAD.2021.106722
Supplementary files








